Research Article
Recepción: 05 Agosto 2017
Aprobación: 24 Octubre 2017
Resumen: Este trabajo construye un Índice de Bancarización (IB) usando información georreferenciada de la zona central de la Argentina a partir de las dos primeras componentes principales obtenidas aplicando la metodología MULTISPATI que permite una mejor visualización de la variabilidad espacial. A pesar de observar un peso relativo similar de los indicadores parciales utilizados para medir las dimensiones de análisis de la bancarización sobre la primera componente, no sucede lo mismo sobre la segunda donde se detectan diferencias. El IB revela un nivel de bancarización heterogéneo dentro del área central de Argentina.
Palabras clave: Índice de bancarización, Datos georreferenciados, MULTISPATI, Argentina..
Abstract: This paper constructs a Banking Index (BI) of geographic coverage and applies it to the central area of Argentina. The Index is created using georeferenced data from the first two principal components obtained applying MULTISPATI methodology, which facilitates visualization of the spatial distribution of coverage. Although the relative weights are similar for the partial indicators used to measure the first component of the Banking Index, some differences are detected in the weights for the second component. The BI reveals a heterogeneous level of banking coverage within the central area of Argentina.
Key words: Banking services index, Georeferenced data, MULTISPATI, Argentina..
Introducción
La bancarización resulta importante en tanto constituye un motor para el desarrollo económico y social de un país o región al favorecer la disponibilidad de servicios financieros para la población y las empresas y el nivel de acceso y utilización de tales servicios por parte de los distintos agentes económicos (Grupo de Monitoreo Macro-económico (GMM), 2011). En consecuencia, una adecuada medición del nivel y grado de disponibilidad y utilización de los servicios bancarios resulta indispensable, pues permite conocer la situación real de cada economía y facilita el diseño de medidas de política apropiadas que promuevan una mejor bancarización.
No por casualidad, la bancarización y la inclusión financiera se han convertido, en los últimos años, en objetivos importantes en todos los países y en particular en la Argentina. En este sentido, se puede mencionar, como una de las iniciativas más recientes del Banco Central de la República Argentina (BCRA), la puesta en marcha del Plan Nacional de Bancarización Inclusiva 2015-2019, el cual contempla un conjunto de acciones y medidas tendientes a garantizar una mayor inclusión financiera en el país. En clara consonancia con este cometido, una medición adecuada de la evolución del proceso de bancarización a través de un Índice de Bancarización (IB) resulta clave en tanto facilita la comprensión de la bancarización y contribuye a que exista un reconocimiento respecto a su trascendencia como elemento que puede apoyar al crecimiento y desarrollo económico.
Más allá de las características propias que le caben a la Argentina en lo que a bancarización se refiere, despierta particular interés el caso de las provincias de Córdoba, Entre Ríos y Santa Fe, las que integran la denominada Región Centro1. Situada en el centro de la Argentina, la Región Centro posee una ubicación estratégica inmejorable para la conexión interna regional, nacional y de integración con los países del Mercado Común del Sur (MERCOSUR). Su economía es diversificada, con una producción de bienes primarios e industriales y de servicios de gran variedad, la cual tiene una importancia clave para el desarrollo socio-económico del país. La región genera algo más del 20% del Producto Bruto Geográfico (PBG) argentino, ubicándose en segundo lugar luego de la región de Buenos Aires que concentra 55,5% del PBG. Desde el punto de vista de los servicios financieros, es de destacar que la región es la segunda en importancia, casi en un correlato directo con la participación en el PBG, en relación a la presencia de infraestructura bancaria. En efecto, información provista por el BCRA para el año 2015 da cuenta que el número de sucursales bancarias para la región comprende 23,9% y 21,5% del total de sucursales y cajeros automáticos existentes en el país respectivamente; aunque esta misma información permite inferir que la distribución y propiedad tanto de sucursales como cajeros dista de ser uniforme.
Bajo los preceptos anteriores, este trabajo plantea la construcción de un IB para la Región Centro de la Argentina para el año 2010, usando información georreferenciada a nivel departamental y aplicando la metodología MULTISPATI.
El resto del trabajo se organiza como sigue. En la sección 2 se revisan las principales contribuciones en torno a la bancarización y a las aproximaciones empíricas que tratan de medirla. En la sección 3 se presenta la metodología estadística propuesta para la construcción del IB. En la sección 4 se presenta el IB construido a nivel departamental. Por último, en la sección 5 se ensayan algunos comentarios finales.
1. Revisión bibliográfica
Existe una amplia literatura empírica que analiza la bancarización. Entre los trabajos pioneros, pueden mencionarse a Jacobs (1965) y Lanzilotti y Saving (1969), cuyas investigaciones se han focalizado en los efectos de la desregulación en los Estados Unidos sobre la accesibilidad a los servicios bancarios. En esta misma línea se inscriben los trabajos de Savage y Humphrey (1979), Seaver y Fraser (1979, 1983) y Evanoff (1988), quienes aunque utilizando las mismas metodologías, sugieren algunos cambios tanto en la definición de la variable utilizada para medir la accesibilidad a los servicios bancarios como en la unidad geográfica de análisis.
En términos generales, sin embargo, la literatura ha abordado el fenómeno de la bancarización a través de estudios que buscan analizar los determinantes de la misma. En el caso de América Latina, en particular cabe mencionar los estudios para Brasil, Colombia y México. Para el primero de los países mencionados, Kumar (2005) utilizando datos a nivel de municipios, analiza los determinantes del acceso a los servicios financieros, empleando como indicadores, la presencia de sucursales, la densidad de sucursales, y el valor de los depósitos y préstamos en relación al PIB. Para la modelación de tales indicadores usan modelos Probit y Tobit, y encuentran una buena performance estadística para las variables socio-económicas ingreso per cápita (asociación positiva) y densidad de población y población rural (asociación negativa); con un efecto diferencial para la banca pública y privada.
Para el caso de Colombia, Medina y Nuñez (2006), usando modelos Logit y Poisson para la presencia y número de sucursales bancarias, respectivamente, muestran que el número de sucursales por sector censal es creciente con la seguridad del sector, la infraestructura en salud y el porcentaje del sector ocupado por comercio, mientras resulta decreciente en el porcentaje del sector ocupado por la industria, la densidad de población y la tasa de desempleo.
Por último, Castellanos et al. (2009) analizan el sector bancario de México, utilizando modelos de regresión Probit y Lineal, respectivamente, para explicar la presencia, y el número de sucursales y cajeros automáticos. Encuentran una mayor cobertura en las regiones más pobladas y con mayores niveles de ingreso, educación y actividad económica formal (particularmente para bancos grandes). Encuentran, también, una relación inversa entre la instalación de sucursales y el costo de transporte al municipio con sucursales más cercano.
En el caso argentino, a pesar de la importancia del fenómeno y de su impacto sobre la economía, la literatura es aun relativamente novel. Al respecto, corresponde mencionar el trabajo de Anastasi et al. (2010), quienes manifiestan que, en ausencia de datos específicos sobre bancarización provenientes de encuestas que permitan cuantificar el nivel de acceso y utilización real de los servicios bancarios, la disponibilidad de agencias bancarias (sucursales y cajeros automáticos) y el nivel de depósitos y préstamos, como indicadores alternativos, constituyen una aproximación razonable. El estudio encontró una correlación significativa con la cantidad de habitantes y la situación socioeconómica de la localidad (índice de calidad de la vivienda, nivel de instrucción, desocupación), la superficie del departamento y el nivel de actividad económica y ambiente de negocios de la provincia. Estos determinantes difieren según si la entidad es pública, privada nacional o extranjera, reflejando el diferente perfil de negocios.
Sin embargo, si bien es vasta la literatura empírica que estudia la bancarización, son prácticamente nulos los trabajos que se han dedicado a la construcción de un indicador de bancarización. El antecedente más importante como sugerencia hacia un avance en este sentido lo constituye el documento del GMM (2011), el cual propone un indicador compuesto de bancarización para los países miembros del MERCOSUR. Este trabajo presenta dos metodologías para la construcción del indicador: el Análisis de Componentes Principales (PCA, son sus siglas en inglés) y Doing Business Adaptada; aunque utiliza esta última debido a que decide otorgar una misma ponderación a cada una de las dimensiones consideradas para explicar el fenómeno de la bancarización2. El indicador construido tiene la ventaja de la sencillez, sin perder un rigor teórico y conceptual. Igualmente, permite el análisis para la región en su conjunto y para cada uno de los países. No obstante, una limitación o particularidad se refiere a que constituye un indicador de medidas globales cuya unidad de medida se refiere al país en su conjunto, cuando puede que en ciertos casos sea deseable una mayor desagregación a nivel de provincias o departamentos. Este tipo de restricción implica que cierta información es perdida en la agregación y diferencias regionales y entre las ciudades no pueden ser capturadas.
Aunque interesante, en tanto ambas propuestas posibilitan una medición del fenómeno de manera global y sintética, podría verse afectada tal medición por los patrones espaciales subyacentes en los datos que resultan ignorados por ambas. Es decir, las dos metodologías pasan por alto la dimensión espacial del fenómeno, no resultando posible encontrar un estudio que incorpore este aspecto. En este sentido, este trabajo constituye un aporte metodológico significativo en tanto introduce en la construcción del IB la restricción dada por los datos georreferenciados.
2. Metodología
Para la construcción del IB, se considera como punto de partida el PCA3. La utilización de esta metodología se ha extendido especialmente en aquellos casos donde no existe un consenso entre los expertos sobre la importancia relativa de las variables, debido a que internamente proporciona un mayor peso a las variables más altamente correlacionadas con el conjunto de variables restantes en el sistema (Domínguez et al., 2011). La elección del PCA fue motivada, adicionalmente, por la posibilidad de incorporar información espacial en la construcción de dicho indicador constituyendo de esta manera, una propuesta original para la medición del nivel de bancarización.
Cuando los datos están georreferenciados, es decir asociados con una localización geográfica, es importante remarcar que la estructura de co-variación reflejada por un análisis multivariado clásico (PCA en este trabajo) puede verse afectada por los patrones espaciales subyacentes en los datos4. La incorporación de la información geográfica puede realizarse a posteriori del PCA mediante la asignación de los valores de las componentes a cada uno de los sitios georreferenciados o ajustando semivariogramas (Schabenberger y Pierce, 2002). La presencia de autocorrelación espacial en las Componentes Principales (CPs), también se puede detectar utilizando el estadístico I de Moran (Moran, 1950) o el C de Geary (Geary, 1954).
Dray etal. (2011), proponen un método de análisis multivariado que incorpora la información espacial previo al análisis multivariado, conocido como MULTISPATI. Constituye una extensión del PCA a datos espaciales, es decir se basa en el PCA pero incorpora la restricción dada por los datos espaciales mediante el cálculo del índice de Moran para medir la autocorrelación espacial entre las observaciones, para lo cual es necesario definir una matriz de pesos espaciales denominada W5. MULTISPATI maximiza el producto entre la varianza y la autocorrelación espacial de las CPs, mientras que PCA maximiza sólo la varianza.
En este estudio se ha considerado como unidad de análisis espacial el departamento. Si bien, según surge de la revisión bibliográfica, se recomienda trabajar con la menor unidad territorial (Evanoff, 1988), la decisión de trabajar a este nivel obedece a la no disponibilidad de datos a nivel de área de gobierno local para determinadas variables, tratándose en ambos casos de datos de área o lattice (unidades poligonales)6.
Yendo específicamente al cometido de este trabajo, en el proceso de construcción del IB se sigue a Nardo et al. (2008). El punto de partida de este procedimiento es la definición de un marco conceptual adecuado, que permitirá definir las dimensiones del fenómeno a estudiar. Siguiendo la propuesta del GMM (2011), se tienen en cuenta tres dimensiones de análisis: “Magnitudes Agregadas” (se consideran los aspectos macroeconómicos o medidas globales de bancarización, como elementos que dan una idea general del tamaño del sistema financiero), “Disponibilidad y Cobertura Geográfica” (para medir la capilaridad del sistema financiero a través de la existencia o no de sucursales y cajeros automáticos) y “Acceso y Utilización” (que permiten medir el grado de utilización de los servicios financieros)7.
Una vez definido el marco conceptual, se procede a la selección de los indicadores parciales que se utilizan para medir cada una de las dimensiones consideradas. Esta etapa constituye un primer proceso de validación de la utilidad de los indicadores seleccionados, ya que supone verificar su pertinencia para estimar el comportamiento de las dimensiones elegidas para su estudio.
En este trabajo, se utilizan los indicadores sintéticos propuestos por el GMM para la construcción del Indicador Único de Bancarización MERCOSUR. El primer grupo de indicadores considerado se refiere a aquellos que capturan la bancarización desde el punto de vista de las “Magnitudes Agregadas”. Aunque los indicadores propuestos son los Depósitos del Sector Privado como proporción del PIB y los Créditos al Sector Privado como proporción del PIB, debido a que no está disponible el PIB desagregado a nivel departamental (a excepción de la Provincia de Córdoba), se adoptó una definición alternativa del indicador (también sugerida por GMM): el Saldo de Depósitos [DEPPOB] y Préstamos [PREPOB] al Sector Privado en referencia a la Población total8.
Respecto a la “Disponibilidad y Cobertura Geográfica”, los indicadores propuestos capturan información sobre el número de sucursales y cajeros automáticos. Dentro de los indicadores que procuran medir la cobertura geográfica media o global de servicios financieros, se proponen el Número de Sucursales [SUCKM2] y Cajeros Automáticos [CAJKM2] por 1.000 kilómetros cuadrados. La disponibilidad media de tales servicios es capturada en cambio, a través del Número de Sucursales y Cajeros Automáticos cada 100.000 habitantes.
El último grupo de indicadores refiere a la “Utilización y Acceso” al sistema financiero. Los indicadores propuestos son el Número de Cuentas Bancarias, Tarjetas de Débito y Crédito cada 100.000 habitantes. Aunque dicha información está disponible, sólo es de acceso público agregada a nivel de país y no a nivel departamental; motivo por el cual no se utilizaron. En su lugar se utiliza la Proporción de Población con Cobertura de Servicios Bancarios [COB], es decir que vive en localidades que cuentan con infraestructura bancaria (presencia de sucursal y/o cajero) y la Proporción de localidades del departamento que cuenta con infraestructura bancaria [COBLOC]9.
Cabe aclarar que en el proceso de selección de los indicadores se han considerado también aspectos adicionales, los cuales refieren a que los mismos deben poder ser calculados regularmente, a partir de información proporcionada por una autoridad confiable, de acuerdo a estándares y que se encuentren disponibles para el público en general.
Dichos indicadores se construyeron a partir de información proporcionada por el BCRA y el Instituto Nacional de Estadísticas y Censos (INDEC) correspondiente al año 2010. Si bien existen datos más actualizados correspondientes al saldo de Depósitos, y Préstamos al sector privado, Número de Sucursales y Cajeros Automáticos, la información más actualizada correspondiente a la Población a nivel de localidad y departamental corresponde al Censo 2010.
Como los indicadores seleccionados están medidos en distintas escalas, se hace necesario un proceso de normalización para que puedan ser agregados de manera comparable. Nardo et al. (2008) sugieren varios métodos. En este trabajo se considera el procedimiento de estandarización de los datos, el cual convierte el indicador a una escala común con media cero y varianza uno10.
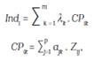
Domínguez et al. (2011) hacen una revisión de la literatura existente distinguiendo distintas metodologías que resultan útiles para agregar la información disponible en una medida global única. En este trabajo, como se señaló anteriormente, se utiliza MULTISPATI. Es decir, el indicador sintético se define a partir de la agregación de los valores de las CPs seleccionadas. En este proceso de agregación (en algunos casos realizados a través de una suma ponderada) se utiliza como ponderación la cuantía de los valores propios asociados a cada componente.
(1)donde Indi es el valor del indicador para la i-ésima unidad de análisis (departamento en esta aplicación), λ k es el autovalor asociado a la k-ésima CP, CP ik es el valor de la k-ésima CP para la i-ésima unidad, m es el número de CP retenidas, a jk es el factor de peso correspondiente a la j-ésima variable en la k-ésima CP y Z ij es el valor estandarizado de la j-ésima variable en la k-ésima CP y Zij es el valor estandarizado de la j-ésima variable para la i-ésima unidad.
Finalmente se decidió transformar el valor del indicador a una escala [0-100] para facilitar su interpretación.
(2)3. Resultados
El análisis descriptivo previo de los indicadores parciales permitió detectar la presencia de un sesgo muy marcado y de valores atípicos en los indicadores Número de Sucursales y Cajeros Automáticos cada 1.000 kilómetros cuadrados, por lo que su inclusión en el análisis podría introducir distorsiones en la construcción del IB. Por tal motivo se decidió realizar una transformación logarítmica a tales indicadores ([LNSUCKM2] y [LNCAJKM2] respectivamente).
A modo ilustrativo, la Tabla 1 muestra los estadísticos descriptivos de los indicadores parciales utilizados en la construcción del IB, calculados para el año 2010. Las variables PREPOB y DEPPOB exhiben una dispersión relativa similar aunque DEPPOB presenta un valor medio superior. En relación a las variables LNSUCKM2 y LNCAJKM2, se observa que la transformación permitió reducir notablemente el sesgo de las distribuciones, aunque se destaca la gran dispersión relativa de ambas. Las variables SUCPOB y CAJPOB exhiben una dispersión relativa similar aunque se destaca la mayor disponibilidad media de servicios financieros a través de cajeros respecto a sucursales. En relación a los indicadores COB Y COBLOC, se observa una elevada cobertura global de servicios aunque resulta significativamente menor si se considera el porcentaje de localidades con cobertura de servicios financieros.

En forma complementaria, el Gráfico 1 permite, a través de mapas de coropletas, visualizar el comportamiento de dichos indicadores. Estos mapas exhiben la distribución espacial de los indicadores parciales mediante diferentes tonalidades11. Si bien la observación de los mapas permite captar de forma intuitiva la existencia de patrones espaciales, resulta fundamental contar con criterios estadísticos objetivos, el estadístico I de Moran en nuestro caso, capaces de detectar la presencia significativa de autocorrelación espacial12.

Posteriormente, se procedió a su agregación en un solo indicador global, aplicando PCA. Debido a que las variables originales están en distintas unidades y presentan distintas escalas de medida se decidió trabajar con la matriz de correlaciones (Peña, 2002). Se seleccionaron dos CPs, siguiendo la regla de conservar aquellas CPs con valor propio mayor a la unidad, debido a que se trabaja con la matriz de correlación13.
Para el cálculo del Índice de Moran se utilizó la matriz de pesos espaciales W. Para su construcción se consideró un criterio combinado de distancia y contigüidad y para ello se usó un umbral que permite reducir la conectividad entre todas las regiones y que pondera por la inversa de la distancia a las regiones vecinas siendo el promedio de vecinos similar al obtenido por contigüidad. En particular, se utiliza como punto de referencia al centroide de cada departamento y considera vecinos aquellos departamentos ubicados a menos de 104 km14. En el Gráfico 2 se muestra el mapa de contactos o vecindad de acuerdo al criterio utilizado.

En las Tablas 2 y 3 se presentan las varianzas y los coeficientes de autocorrelación espacial (I de Moran) para las dos primeras CPs generadas a partir de PCA y MULTISPATI, respectivamente.


En el PCA se observa que las dos primeras CPs explican 81,9% de la variabilidad. Debido a que existe una alta correlación positiva entre todos los indicadores parciales, la primera componente tiene todos sus elementos (factores de peso) del mismo signo y puede interpretarse como un promedio ponderado de dichos indicadores. Siguiendo a Peña op. cit. se puede interpretar como un factor global del “tamaño”, en nuestra aplicación, de la bancarización. La segunda componente, es considerada un factor de “forma” y tiene coordenadas positivas y negativas, que implica que contraponen unos grupos de variables frente a otros. Esta componente es dominada por el indicador SUCPOB (con efecto positivo) y LNCAJKM2 (con efecto negativo).
La disponibilidad de datos georreferenciados motivó la aplicación de técnicas que incorporen la información espacial, lo cual se logró mediante la implementación de la metodología MULTISPATI. De hecho, la presencia de autocorrelación espacial significativa en los indicadores parciales utilizados confirmó la existencia de una estructura espacial. Para ello se introdujo la matriz de pesos espaciales W en el PCA de la matriz de datos originales, permitiendo estudiar las relaciones entre las variables medidas y, al mismo tiempo, la estructura espacial.
Los resultados muestran que si bien las CPs que obtiene el PCA espacial explican una menor proporción de la varianza acumulada en los dos primeros ejes o CPs, en esta aplicación, respecto de PCA (79,9% vs. 81,9%), la variabilidad que explican es aquella con mayor estructura espacial. Esto puede observarse mediante los valores del índice de Moran calculados para las dos primeras CPs, los cuales sugieren que la estimación de autocorrelación espacial aumentó cuando se usó MULTISPATI respecto de la contenida en las CPs del PCA, en el caso del eje 1 (0,529 vs. 0,555), que es el que explica la mayor parte de la variabilidad total, al igual que para el eje 2 (0,404 vs. 0,430). Este resultado permitiría una visualización mejor de la variabilidad espacial y corroborar que PCA espacial resulta más adecuado, en nuestra aplicación, en relación a PCA.
Los indicadores parciales en la primera componente tienen un peso similar y resultan levemente diferentes a los obtenidos con PCA. Se observa un mayor peso del indicador de disponibilidad media de servicios a través de sucursales [SUCPOB] y menor incidencia de la cobertura geográfica media tanto de sucursales como cajeros (LNSUCKM2 y LNCAJKM2). Sobre la segunda componente se detecta un peso dominante de los indicadores de disponibilidad y cobertura geográfica, aunque menor respecto a PCA, que se compensa con el mayor peso de los indicadores de magnitudes agregadas (DEPPOB y PREPOB). En forma similar a PCA, se contraponen SUCPOB (con efecto positivo) versus LNSUCKM2 y LNCAJKM2 (con efecto negativo).
De esta manera, sería recomendable avanzar en la construcción del IB a partir de las CPs obtenidas a través de MULTISPATI. De acuerdo a lo establecido en la sección anterior se definió el indicador sintético a partir de la agregación (a través de una suma ponderada) de los valores de las dos primeras CPs espaciales. En este proceso se utilizaron como ponderación los valores propios asociados a cada componente.
(3)donde Ind i es el valor del indicador para la i-ésimo departamento, λ 1 y λ 2 son los autovalores asociados a la CP 1 y CP 2 respectivamente, a j1 y a j2 son los factores de peso correspondiente a la j-ésima variable en la CP 1 y CP 2 respectivamente y Z ij es el valor estandarizado de la j-ésima variable para el i-ésimo departamento. Finalmente se transformó el valor del indicador a una escala [0-100].
El Gráfico 3 muestra la distribución espacial del IB departamental para la Región Centro para el año 2010 generado a partir de PCA espacial. A efectos de definir el nivel de bancarización se consideraron los siguientes intervalos: [0,20) Bajo, [20,40) Medio-Bajo, [40,60) Medio, [60,80) Medio-Alto y [80,100] Alto. Según se puede observar sólo para tres departamentos la clasificación según la escala anterior comparando PCA y PCA espacial no coincidió: Juárez Celman (Córdoba), Feliciano (Entre Ríos) y General López (Santa Fe), siendo en los tres casos el nivel de bancarización mayor teniendo en cuenta PCA espacial.
Del gráfico se infiere que la provincia de Santa Fe es la que presenta un mayor nivel de bancarización. Sólo 4 de los 19 departamentos poseen niveles Bajo y Medio-Bajo, perteneciendo el resto mayoritariamente al nivel Medio-Alto. Sigue en importancia la provincia de Córdoba, pero con un comportamiento más heterogéneo (mayor coeficiente de variación) que contrasta con el de la provincia de Entre Ríos, que aunque presenta un nivel de bancarización menor (mayoritariamente los departamentos pertenecen a la categoría Medio-Bajo), exhibe un comportamiento más homogéneo.

Esta información puede complementarse con la Tabla 4 que exhibe algunas medidas descriptivas calculadas para el IB obtenido a partir de PCA espacial para la región y discriminado por provincia, la que permite confirmar el ordenamiento realizado anteriormente.

4. Comentarios finales
La bancarización y la inclusión financiera en los últimos años se han convertido en objetivos importantes a nivel internacional y en particular para la Argentina. En esta línea se puede mencionar una de las iniciativas más recientes del BCRA, la puesta en marcha el Plan Nacional de Bancarización Inclusiva 2015-2019, el cual contempla un conjunto de acciones y medidas tendientes a garantizar una mayor inclusión financiera en el país. En este sentido, una medición adecuada de la evolución del proceso de bancarización resulta clave en la búsqueda de la inclusión financiera.
Con esta premisa, este estudio elabora un IB para la Región Centro para el año 2010 considerando aspectos referentes a las diferentes dimensiones de análisis: Magnitudes Agregadas, Disponibilidad y Cobertura Geográfica y Acceso y Utilización. El IB facilita la comprensión de la bancarización y contribuye a que exista un reconocimiento respecto a su trascendencia como elemento que puede apoyar al crecimiento y desarrollo económico, al considerar la dimensión espacial de los datos.
Este trabajo constituye un aporte metodológico significativo en tanto introduce en la construcción del IB la restricción dada por los datos georreferenciados. La disponibilidad de estos datos motivó la aplicación de técnicas que incorporen la información espacial, lo cual se logró mediante la implementación de la metodología MULTISPATI. Los resultados obtenidos muestran que las dos primeras CPs explican 79,9% de la variabilidad total (aquella con mayor estructura espacial), por lo que el IB se construyó a partir de estas CPs.
Los indicadores parciales en la primera CP exhiben un peso similar, es decir que no se observa una mayor importancia relativa de las diferentes dimensiones de análisis. Sobre la segunda CP en cambio, se detecta un peso dominante de los indicadores de disponibilidad y cobertura geográfica, relegando a un segundo lugar los indicadores de magnitudes agregadas. Se destacan SUCPOB (con efecto positivo) que se contrapone a LNSUCKM2 y LNCAJKM2 (con efecto negativo).
La construcción del IB utilizando datos georreferenciados, resulta valioso en tanto permite la medición de manera global y sintética al incorporar la dimensión espacial de los datos. Así, facilita una visión general de la bancarización en la región Centro en su conjunto y en cada una de las provincias que la componen. Se destaca la provincia de Santa Fe, exhibiendo un mayor nivel de bancarización. Sigue en importancia la provincia de Córdoba, pero con un comportamiento más heterogéneo que contrasta con el de la provincia de Entre Ríos, que aunque presenta un nivel de bancarización menor exhibe un comportamiento más homogéneo.
Se considera que el IB propuesto es un elemento importante para sintetizar e interpretar la bancarización de manera sencilla y constituye un insumo valioso para facilitar la toma de decisiones tanto de los hacedores de política (en materia de política económica y financiera) como de las instituciones financieras.
Pese a las limitaciones del índice, vinculadas fundamentalmente a la imposibilidad de contar con datos de indicadores parciales que midan en forma más adecuada las dimensiones Magnitudes Agregadas y Acceso y Utilización, este indicador debería ser considerado como una primera aproximación a la medición de la bancarización regional y, acaso, como un trabajo en proceso.
Finalmente, debe remarcarse la utilidad de medir el indicador a nivel de un área geográfica menor (localidad), estando limitada por la dificultad, cuando no la imposibilidad, de obtener información que permita medir a ese nivel los indicadores parciales con los que se construye el IB.
Referencias
Acevedo Bohórquez, I. y Velásquez Ceballos, E. (2008) “Algunos conceptos de la econometría espacial y el análisis exploratorio de datos espaciales”, Ecos de Economía, 27: 9-34.
Anastasi, A., E. Blanco, P. Elosegui y Sangiácomo, M. (2010). La bancarización y los determinantes de la disponibilidad de servicios bancarios en Argentina. Ensayos Económicos. Banco Central de la República Argentina, 60, 137-209.
Banco Central de la República Argentina (2013). “Tabla SISCEN T0011 - Codificación de las unidades de servicios”, disponible en: http://www.bcra.gov.ar/pdfs/estadistica/Tabt0011.xls.
Banco Central de la República Argentina (2013). “Disponibilidades, Préstamos y Depósitos clasificados según la ubicación geográfica de la casa o sucursal de la entidad financiera”, disponible en: http:www.bcra.gov. ar/pdfs/estadistica/locser.xls.
Castellanos, S., V. Castellanos y B. Flores (2009). Factores de influencia en la localización regional de infraestructura bancaria. Economía Mexicana XVIII: 283-330.
Djankov, S., D. Manraj, C. McLieshy R. Ramalho (2005). Doing Business Indicators: Why Aggregate, and How to Do It. World Bank, Washington.
Domínguez Serrano, M., Blancas Peral, F.J., Guerrero Casas, F.M., y González Lozano, M. (2011). Una revisión crítica para la construcción de indicadores sintéticos. Revista de Métodos Cuantitativos para la Economía y la Empresa, 11, 41-70.
Dray, S. y Jombart, T. (2011). Revisiting Guerry's data: introducing spatial constraints in multivariate Analysis. The Annals of Applied Statistics, 5 (4), 2278-2299.
Evanoff, D. (1988). Branch Banking and Service Accessibility. Journal of Money, Credit and Banking, 20: 191- 202.
Geary, R. C. (1954). The contiguity ratio and statistical mapping. The Incorporated Statistician, 5 (3), 115-145.
Grupo de Monitoreo Macroeconómico (2011). Indicadores de bancarización, Buenos Aires.
Instituto Nacional de Estadísticas y Censos (2013). “Censo Nacional de Población, Hogares y Viviendas 2010, procesado con Redatam+SP”, disponible en http://www.indec.gov.ar.
Kumar, A. (2005). Access to Financial Services in Brazil. Directions in Development, TheWorld Bank, Washington .
Lanzillotti, R. y T. Saving (1969). State branching restrictions and the availability of branching services: Comment. Journal of Money, Credit and Banking , 1: 778-788.
Medina, C. y J. Núñez (2006). La Oferta de Servicios del Sector Financiero Formal en Bogotá. Documento CEDE, Universidad de los Andes, Colombia.
Moran, P. (1950). Notes on Continuous Stochastic Phenomena. Biometrika, 37 (1), 17-23.
Nardo, M., Saisana, M., Saltelli, A., Tarantola, S., Hoffmann, A., y Giovannini, E. (2008). Handbook on Constructing Composite Indicators: Methodology and User Guide, OECD Publishing.
Peña, D., (2002), Análisis de datos multivariantes, Madrid, España, Mc Graw.
Savage, D. y D. Humphrey (1979). Branching Laws and Banking Offices: Comment. Journal of Money, Credit and Banking , 11: 227-230.
Seaver, W. y D. Fraser (1983). Branch Banking and the Availability of Banking Offices in Nonmetropolitan Areas. Atlantic Economic Journal, 11: 72-78.
Seaver, W. y D. Fraser (1979). Banking and the availability of banking services in metropolitan areas. The Journal of Financial and Quantitative Analysis, 14: 153-160.
Notas
Notas
Notas
Notas
Notas
Notas
Notas
Notas
Notas
Notas
Notas
Notas
Notas
Notas