Trabajo Teórico Experimental
Comparación de esquemas de generación de corrientes de referencia en parques fotovoltaicos bajo fallas desbalanceadas
Comparison of reference current generation schemes in photovoltaic units under unbalanced faults
Comparación de esquemas de generación de corrientes de referencia en parques fotovoltaicos bajo fallas desbalanceadas
Ingeniería Energética, vol. XLII, núm. 3, pp. 13-24, 2021
Instituto Superior Politécnico José A. Echeverría.Cujae
Recepción: 12 Abril 2021
Aprobación: 05 Julio 2021
Resumen: Las caídas de voltaje desbalanceadas pueden dar lugar a inyecciones de corriente no sinusoidales y oscilaciones de potencia al doble de la frecuencia fundamental de la red en parques fotovoltaicos conectados al sistema eléctrico. Estas oscilaciones pueden deteriorar el capacitor del enlace de corriente continua del inversor, que es uno de los componentes que más limita la vida útil del inversor. Los controles adecuados de estos convertidores pueden abordar este problema de manera eficiente. En esas soluciones, el cálculo de corriente de referencia es uno de los problemas más importantes que deben abordarse para una operación confiable de convertidores bajo fallas desbalanceadas de la red. Este artículo presenta una comparación de los esquemas de generación de corriente de referencia, durante una falla monofásica en la red. Proporcionando una evaluación del desempeño de diferentes técnicas y pudiendo ayudar en la selección del control adecuado durante fallas importantes de la red.
Palabras clave: Corrientes de referencia, fallas desbalanceadas, oscilaciones de potencia.
Abstract: Unbalanced voltage drops can lead to non-sinusoidal current injections and power oscillations at twice the fundamental frequency of the grid in photovoltaic parks connected to the electrical system. These oscillations can damage the inverter DC link capacitor, which is one of the components that most limits the life of the inverter. Proper controls of these converters can address this problem efficiently. In those solutions, the reference current calculation is one of the most important problems to be addressed for reliable operation of converters under unbalanced grid faults. This article presents a comparison of the reference current generation schemes, during a single-phase fault in the network..It provides an evaluation of the performance of different techniques and being able to help in the selection of the appropriate control during major network failures.
Key Words: Reference currents, unbalanced faults, power oscillations.
Introducción
Con el desarrollo de la energía renovable, los sistemas de generación de energía fotovoltaica ha aumentado rápidamente en las últimas décadas [1]. El crecimiento de la generación fotovoltaica y su integración en gran escala a la red eléctrica aceleró la actualización de los requisitos o normas de conexión de varios países, en este texto denominados de códigos de red.
Lo que se busca con estas nuevas actualizaciones es hacer con que la generación a base de energías renovables se comporten de manera similar a los generadores convencionales y, así, contribuyan para mejorar la calidad de la tensión y la frecuencia, mejorando la estabilidad y confiabilidad del sistema eléctrico, tanto sobre condiciones normales de operación como durante contingencias [2].
Las nuevas actualizaciones de los códigos de red incluyen soportabilidad a bajo voltaje (LVRT de sus siglas en inglés), la cual es una de las capacidades más críticas para los parques fotovoltaicos conectados a la red [3]. El criterio técnico LVRT exige que los parques fotovoltaicos permanezcan conectados cuando ocurren disturbios que provoquen una caída de tensión para valores por debajo de un determinado porcentaje de la tensión nominal (normalmente 15%) y, en algunos casos, hasta cero por un período de tiempo especificado. Después de la eliminación de la falla, el parque fotovoltaico debe recuperar rápidamente su generación de potencia activa y reactiva para el valor de pre falla [4]. Algunos códigos de red estipulan que el parque fotovoltaico debe entregar potencia reactiva para ayudar a la recuperación de la tensión durante la falla, como se realiza con los generadores síncronos convencionales [5, 6, 7].
Los requisitos LVRT de varios países se comparan en la tabla 1, y se presentan gráficamente en la figura 1. Por ejemplo, el código de red brasileño indica que la tensión en el punto de conexión puede caer hasta 20% de su valor nominal por 0,5 s (tiempo máximo de duración da falla Tmaxf) seguido por la recuperación de la tensión para el 85% de la tensión nominal en el punto de conexión común (PCC) en 1 s (tiempo máximo de recuperación Tmaxr) [7, 8].


Las fallas de la red se pueden clasificar principalmente en fallas balanceadas y no balanceadas. La falla equilibrada es una condición en la que la caída o el aumento de voltaje en las tres líneas son iguales. Pero estas situaciones ocurren raramente en los sistemas de energía. Una situación más práctica es una falla desequilibrada. Esto ocurre cuando una o dos fases están en corto a tierra o entre sí. Durante fallas desbalanceadas, la tensión de la red consta de componentes de secuencia positiva y negativa. Debido a la caída desequilibrada en los voltajes de la red, la corriente de secuencia negativa fluye incontrolablemente del parque fotovoltaico a la red. Esta corriente de secuencia negativa tiene dos efectos indeseables que afectan el funcionamiento de la falla: 1) Puede activar dispositivos de protección 2) Los componentes de secuencia negativa en voltajes y las corrientes del parque fotovoltaico producen oscilaciones de frecuencia dupla en el sistema. Las oscilaciones de doble frecuencia en la potencia inyectada por la generación fotovoltaica a la red aparecerán como una ondulación de doble frecuencia en el voltaje de la barra de corriente continua (CC) del inversor. Si se excede la tensión máxima de esta barra, el sistema fotovoltaico saldría de operación [9].
Los requisitos LVRT para sistemas fotovoltaicos que operan en condiciones de voltaje desequilibrado son materia de investigaciones en curso [10, 11, 12]. La detección de caídas de tensión, limitación de corriente, cálculo de corriente de referencia, y oscilación de tensión de la barra de CC del inversor se encuentran entre los aspectos importantes.
Además, son las cuestiones clave para el correcto funcionamiento de los convertidores fotovoltaicos conectados a la red en caso de avería [9]. Entre ellos, el cálculo de corriente de referencia es uno de los aspectos más importante para satisfacer los requisitos de la red [13, 14], especialmente bajo fallas de red no balanceadas.
En la literatura se han propuesto diferentes estrategias para determinar las corrientes de referencias apropiadas con diferentes características de calidad de la energía. En este trabajo se realiza un estudio del desempeño de los diferentes esquemas de generación de corriente sugeridos en la literatura. El primer método estudiado en este trabajo es el método convencional de la teoría de potencia, los demás métodos se conocen internacionalmente por sus nombres en inglés como: Instantaneous Active Reactive Control (IARC), Positive and Negative Sequence Compensation (PNSC), Average Active-Reactive Control (AARC), Balanced Positive-Sequence Control (BPSC). Los esquemas se comparan en función de su desempeño para una falla monofásica siguiendo los requisitos LVRT impuestos por la norma brasileña.
Desarrollo
Código de Red Brasileño
Como se mencionó anteriormente el código de red brasileño permite que la tensión en el punto de conexión caiga hasta 20% de su valor nominal por 0,5 s, seguidos por la recuperación de la tensión para el 85% de la tensión nominal en el PCC en 1 s. Durante el hueco de tensión el código de red exige que las plantas fotovoltaicas deban ser capaces de ayudar a la recuperación de la tensión mediante la inyección de potencia reactiva para tensiones de secuencia positiva por debajo del 85% de la tensión nominal, conforme a lo exhibido en la figura 2, [7].

El código de red brasileño también estipula que durante el hueco de tensión la potencia activa que entrega la generación fotovoltaica debe reducirse hasta cero. El parque fotovoltaico debe comenzar a entregar potencia activa nuevamente una vez que la tensión alcanza el 85% de su valor nominal debiendo alcanzar el 85% de la potencia activa de pre falla en un tempo máximo de 4 s [8].
Estrategias de cálculo de corrientes de referencias bajos fallas desbalanceadas
Las siguientes sub secciones abordan de forma resumida cinco estrategias diferentes para generar corrientes de referencia para inversores fotovoltaicos con el fin de entregar a la red potencia activa y reactiva según los diferentes códigos de red. Las expresiones matemáticas siguientes se obtienen aplicando transformación invariante en potencia, los valores de referencias de cada una de las variables serán representados por el sobre escrito (*) y el complejo conjugado por el sobre escrito (†).
A. Teoría de potencia instantánea
Considerando la ecuación de potencia aparente instantánea S, que se muestra en la ecuación (1), valida en cualquier referencial, y aplicando una transformación invariante en potencia, tenemos que:
Siendo P y Q las potencia total instantánea activa y reactiva respectivamente y vαβ, iαβ los valores de la tensión y la corriente en el sistema referencial estacionario α-β.
La expresión anterior puede ser representada en notación compleja en referencial estacionario, según se muestra en la ecuación (2):
Separando parte real y parte imaginaria se obtiene la ecuación (3):
La potencia activa se representa en la ecuación (4).
Y la potencia reactiva se muestra en la ecuación (5).
Escribiendo la ecuación (3), en forma matricial se obtiene la ecuación (6):
(6)Así, las corrientes de referencias que son entregadas por el inversor son definidas como según se muestra en la ecuación (7):
(7)B. Instantaneous Active Reactive Control (IARC)
Instantaneous Active Reactive Control es el esquema de generación de corriente de referencia más simple y la corriente activa ip puede ser determinada por la ecuación (8).
(8)Donde |v| denota el módulo del vector de voltaje trifásico y g es la conductancia instantánea vista desde la salida del inversor. El valor de g es una constante en condiciones sinusoidales equilibradas, pero bajo fallas de la red, la componente de secuencia negativa da lugar a oscilaciones del doble de la frecuencia fundamental en |v|. En consecuencia, las corrientes inyectadas no mantendrán su forma de onda sinusoidal.
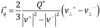
En esta estrategia, la corriente de referencia reactiva iq es instantáneamente proporcional al vector de voltaje en cuadratura v_1, según se muestra en ecuación (9).
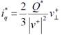
(9)C. Positive and Negative Sequence Compensation (PNSC)
En este método, el objetivo del control es mantener en cero las oscilaciones de potencia. La potencia activa se puede entregar a la red inyectando corrientes sinusoidales de secuencia positiva y negativa en el PCC. Para lograr esto, se deben imponer algunas restricciones en el cálculo de la corriente de referencia.
En la estrategia PNSC, la potencia reactiva a inyectar en la red debe ser el resultado de la interacción entre voltajes y corrientes reactivas con la misma secuencia.
Además, las oscilaciones de potencia reactiva resultantes de la interacción de voltajes y corrientes reactivas con diferentes secuencias deben cancelarse mutuamente.
De esta forma las ecuaciones (10) y (11), para el cálculo de las corrientes de referencias serán:
(10)
(11)Como se observa para implementar este método se necesita una estrategia capaz de separar las tensiones de secuencia positiva v+ y de secuencia negativa v-.
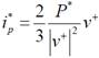
D. Average Active-Reactive Control (AARC)
Este esquema de control fue propuesto con el objetivo de mitigar los armónicos del método IARC. En IARC, |v|2 en el denominador consta de una componente de doble frecuencia que conduce a armónicos de segundo orden en la corriente. Este componente de doble frecuencia del denominador se puede eliminar utilizando el promedio del |v|2 en el denominador. El término de doble frecuencia suma cero mientras se integra y, por lo tanto, proporciona una referencia de corriente constante. En el caso de la corriente reactiva de referencia iq es monótonamente proporcional al vector de voltaje en cuadratura v_1.
La ecuación para el cálculo de la corriente activa y reactiva de referencia se muestra en las ecuaciones (12) y (13) respectivamente
(14)E. Balanced Positive-Sequence Control (BPSC)
Esta estrategia de generación de corriente de referencia es muy semejante a la IARC, pero, considera solo la tensión de secuencia positiva (v+), según se muestra en la ecuación (15):
(15)La corriente reactiva al igual que el caso anterior también es proporcional al vector de voltaje en cuadratura, solo que esta se vez con el de secuencia positiva v+_1, como puede observarse en la ecuación (16):
(16)Detección de secuencia positiva y negativa
Algunos de los esquemas de generación de corriente de referencia discutidos en la sección anterior requieren la separación de componentes de voltaje de secuencia positiva y negativa. En esta sección se presenta un método basado en un marco de referencia estacionario para la extracción de secuencias.
La representación de señales trifásicas en un marco de referencia estacionario (referencial αβ) supone que las señales están equilibradas. Generalmente, la teoría falla para señales desequilibradas, si las señales no balanceadas se convierten en componentes αβ contendrían armónicos.
Una solución a este problema es convertir las componentes αβ en dos señales ortogonales, como se muestra en la figura 3. Usando un filtro de paso banda, se puede extraer la componente fundamental de la señal de entrada. Los dos componentes ortogonales, qv´α y qv´β en la figura 3, son señales sin componentes armónicos. Los componentes de secuencia positiva y negativa se extraen mediante las ecuaciones (17)-(18), (19) y (20).
La señal filtrada del filtro pasa banda y su componente ortogonal se obtiene utilizando un Integrador General de Segundo Orden (SOGI), según se muestra en la figura 3.

Resultados
La figura 4, representa el diagrama de bloques de control implementado. La estructura de control consta de dos partes, que pueden operar de forma independiente debido a la barra de enlace de CC capacitivo que desacopla las dos etapas, el convertidor CC-CC y el inversor. Se adopta un controlador proporcional integral (PI) como regulador de voltaje de CC. La salida del controlador PI determina la referencia de potencia activa para estabilizar el voltaje del enlace de CC. La potencia reactiva de referencia en condiciones normales de operación de la red será cero y bajo condiciones de falla seguirá lo establecido por los requisitos LVRT del código de red brasileño mostrado en la figura 2. El bloque de controlador de corriente se beneficia de dos controladores proporcional resonante (PR) que controlan por separado las corrientes inyectadas y compensan armónicos hasta 5o orden. El convertidor CC-CC funciona como seguimiento del punto máximo de potencia (MPPT), en el que se adopta el método de perturba y observa [15].

Se desarrolla un banco de pruebas de simulaciones en la plataforma MATLAB/Simulink. La tabla 2, muestra los parámetros de la simulación. Se asume una tensión del enlace de CC de 650 V. Se define un escenario con una falla monofásica donde la tensión de la fase c cae para 0,5 p.u en t= 0,6 s, ocurrida la falla la tensión de secuencia positiva de la red cae para 0,82 p.u, habilitando la operación LVRT según el código de red de Brasil.

Con el objetivo de ver los efectos que tienen los diferentes métodos de cálculo de corriente de referencia sobre la potencia activa y reactiva durante el tiempo que está presente la falta se varían los métodos cada 0,2 s, obteniéndose la figura 5.

Haciendo un zoom en cada una de las estrategias de la figura 5 y analizando las formas de ondas de las figuras 6 y 7, se observa que utilizando la Teoría de Potencia y la estrategia IARC para el cálculo de corrientes de referencia se logra mantener constantes las potencias activas y reactivas instantáneas entregadas cuando el voltaje de la red está desequilibrado.
En consecuencia, las formas de onda de la corriente se distorsionan mucho lo que hace que estas dos estrategias no sean una opción preferida cuando ocurren fallas desbalanceadas ya que la mayoría de los códigos de red exigen la inyección de corriente de buena calidad en la red. Para el resto de estrategias, las oscilaciones en las potencias instantáneas entregadas van acompañadas de una mejora en la calidad de las corrientes inyectadas a la red.


Los gráficos que representan las potencias instantáneas en la figura 8, corroboran que la estrategia PNSC cancela cualquier oscilación en la potencia reactiva inyectada resultante de la interacción de tensiones y corrientes con diferentes secuencias. Sin embargo, como se esperaba, esta estrategia da lugar a oscilaciones en la potencia activa instantánea entregada. Las corrientes de la red tienen una forma de onda sinusoidal en este caso, pero están desequilibradas. Una ventaja de este control es que se puede estimar la corriente máxima durante la falla. En esta situación se puede observar que las oscilaciones de potencia reactiva son mínimas con esta estrategia.

La figura 9, ilustra las corrientes trifásicas inyectadas cuando se utiliza el método AARC. Según la figura 9, la corriente de una de las fases aumenta más que las otras fases. Además, la potencia reactiva inyectada contiene grandes componentes oscilatorios cuando se adopta el AARC.

La figura 10, muestra las formas de onda de corriente y potencia en el caso del control BPSC. Como solo se utiliza el componente de secuencia positiva de la tensión de la red para calcular las referencias de corriente, las corrientes son perfectamente sinusoidales con secuencia positiva durante la falta de red. En este caso, son notables las oscilaciones al doble de la frecuencia fundamental tanto en la potencia activa como en la reactiva, debido a la interacción entre la corriente de secuencia positiva y la tensión de secuencia negativa.

Como se muestra en la figura 11, entre las cinco estrategias estudiadas, la Teoría de Potencia y la IARC, aunque no muestran oscilaciones de potencia, presentan corrientes de salida no sinusoidales con elevados valores de Distorsión Armónica Total (THD), lo que hace que estas dos estrategias no sean una opción preferida cuando ocurre fallas desbalanceadas ya que los códigos de red exigen la inyección de corriente de bajo THD. Solo el método BPSC puede inyectar corrientes trifásicas sinusoidales balanceadas con el más bajo THD de todos los métodos comparados en este trabajo. Sin embargo, la potencia activa y reactiva y la sufren grandes oscilaciones.

Conclusiones
En este trabajo se estudian cinco estrategias de control diferentes para generar corriente de referencia al convertidor conectado a la red, durante operaciones en régimen desequilibrado. Las técnicas de control se comparan en función de su desempeño en una línea única con falla a tierra.
Entre las estrategias estudiadas para la generación de corriente de referencia. El IARC controla los voltajes trifásicos y no usa los voltajes de secuencia positiva y secuencia negativa. A pesar del buen desempeño bajo fallas balanceadas, en caso de caídas de voltaje no balanceadas, la estrategia de control IARC conduce a corrientes de salida no sinusoidales con un THD alto. Una estrategia para mitigar los armónicos de los métodos anteriores puede ser el AARC, sin embargo, si se inyectan tanto corriente activa como reactiva, la potencia reactiva sufre oscilaciones del doble de la frecuencia fundamental. Además, se ha presentado la estrategia PNSC para inyectar corrientes de secuencia positiva y negativa sinusoidales a la red.
Sin embargo, a pesar de estas corrientes no ser balanceadas, durante fallas de red desbalanceadas, aparecerán en la potencia activa oscilaciones al doble de la de frecuencia fundamental de la red.
El método BPSC inyecta un conjunto de corrientes balanceadas y sinusoidales con componentes de secuencia positiva. Desafortunadamente, la potencia activa y reactiva también tiene componentes oscilatorios.
Los resultados del análisis permiten diseñar un controlador de potencia activa flexible, capaz de adaptarse a la situación de falla y reconfigurable en caso de que cambien los requisitos de la red. En particular, se ha demostrado que, en condiciones de desequilibrio, es posible obtener oscilaciones de potencia activa y reactiva nulas solo aceptando corrientes muy distorsionadas.
Referencias
1 [] Algieri, A., Zema, D. A., Nicotra, A., and Zimbone, S. M., "Potential energy exploitation in collective irrigation systems using pumps as turbines: A case study in Calabria (Southern Italy)," Journal of Cleaner Production, 2020 vol. 257, p. 120538, ISSN 0959-6526.
2 [] Al-Shetwi, Q. A., Zahim S. M., and Lina, R. N., "A review of the fault ride through requirements in different grid codes concerning penetration of PV system to the electric power network," ARPN journal of engineering and applied sciences, 2015vol. 10, p. 9906-9912, ISSN 1819-6608.
3 [] Chen, H.-C., Lee, C.-T., Cheng, P.-T., Teodorescu, R., and Blaabjerg, F., "A low-voltage ride-through technique for grid-connected converters with reduced power transistors stress," IEEE Transactions on Power Electronics, 2016 vol. 31, p. 8562-8571, ISSN 0885-8993.
4 [] Meegahapola, L., Datta, M., Nutkani, I., and Conroy, J., "Role of fault ride‐through strategies for power grids with 100% power electronic‐interfaced distributed renewable energy resources," Wiley Interdisciplinary Reviews: Energy and Environment, 2018 vol. 7, p. e292, ISSN 2041-8396.
5 [] Al-Shetwi, A. Q., Sujod, M. Z., Blaabjerg, F., and Yang, Y., "Fault ride-through control of grid-connected photovoltaic power plants: A review," Solar Energy, 2019 vol. 180, p. 340-350, ISSN 0038-092X.
6 [] IEEE. IEEE Standard for Interconnecting Distributed Resources with Electric Power Systems, Std 1547.2-2008. United States 2009
7 [] Eletrico, O. N. d. S. Requisitos técnicos mínimos para a conexão às instalações de transmissão, Procedimentos de Rede-Submódulo 3.6., Brasil 2010Consultado el: 8 de abril de 2021. Disponible en: Disponible en: http://www.ons.org.br/%2FProcedimentosDeRede%2FM%C3%B3dulo%203%2FSubm%C3%B3dulo%203.6% 2FSubm%C3%B3dulo%203.6_Rev_1.1.pdf
8 [] Landera, Y. A. G., Neves, F. A., Neto, R. C., Alonso, A. A. B., and Viltre, L. L., "Revisão e comparação dos recentes requisitos de integração de fontes renováveis de energia," Ingeniería Energética, 2020 vol. 41, ISSN 1815-5901.
9 [] Afshari, E., Farhangi, B., Yang, Y., and Farhangi, S., "A low-voltage ride-through control strategy for three-phase grid-connected PV systems," in 2017 IEEE Power and Energy Conference at Illinois (PECI), 2017, p. 1-6, ISBN 1509055509.
10 [] Ouni, S., Zolghadri, M. R., Khodabandeh, M., et al., "Improvement of post-fault performance of a cascaded H- bridge multilevel inverter," IEEE Transactions on Industrial Electronics, 2016vol. 64, p. 2779-2788, ISSN 0278-0046.
11 [] Haghnazari, S., Khodabandeh, M., and Zolghadri, M. R., "Fast fault detection method for modular multilevel converter semiconductor power switches," IET Power Electronics, 2016 vol. 9, p. 165-174, ISSN 1755-4543.
12 [] Rahimi, R., Farhangi, B., and Farhangi, S., "New topology to reduce leakage current in three-phase transformerless grid-connected photovoltaic inverters," in 2016 7th Power Electronics and Drive Systems Technologies Conference (PEDSTC), 2016, p. 421-426, ISBN 1509003754.
13 [] Lin, X., Han, Y., Yang, P., Wang, C., and Xiong, J., "Low-voltage ride-through techniques for two-stage photovoltaic system under unbalanced grid voltage sag conditions," in 2018 IEEE 4th Southern Power Electronics Conference (SPEC), 2018, p. 1-8, ISBN 1538682575.
14 [] Neves, F. A., Carrasco, M., Mancilla-David, F., Azevedo, G. M., and Santos, V. S., "Unbalanced grid fault ride- through control for single-stage photovoltaic inverters," IEEE Transactions on power electronics, 2015 vol. 31, p. 3338-3347, ISSN 0885-8993.
15 [] Jain, K., Gupta, M., and Bohre, A. K., "Implementation and Comparative analysis of P&O and INC MPPT Method for PV system," in 2018 8th IEEE India International Conference on Power Electronics (IICPE), 2018, p. 1-6, ISBN 1538649969.
Notas de autor
* Autor para correspondencia: lesyani@uclv.edu.cu
Declaración de intereses