Enseñanza
Recepción: 04 Abril 2021
Aprobación: 01 Julio 2021
RESUMEN: Un buen ingeniero eléctrico no solamente debe conocer y estar actualizado de las nuevas tecnologías, sino que debe saber cómo nació ese mundo maravilloso de la técnica vigente hoy; las máquinas eléctricas son el corazón de la vida moderna, transformadores, motores y generadores eléctricos, esos que cotidianamente facilitan la vida llenando cada rincón. Es objetivo conocer ese luminoso nacimiento de un mundo donde la electricidad comenzó a ser todo para cada ser humano de este planeta. En ese nacimiento de la energía eléctrica, como parte de la vida de cada ciudadano día a día y en el hecho de constituirse una unidad de medida del desarrollo de cada país, la Exposición de Paris fue sin lugar a dudas, un factor clave. A partir de 1889 el hombre descubrió la realidad de vivir un sueño: nacen las máquinas y los accionamientos eléctricos.
Palabras clave: máquinas eléctricas, siglo XIX, accionamiento eléctrico.
ABSTRACT: A good electric engineer should not only know and to be up-to-date of the new technologies, but rather he should know how that wonderful world of the technique was born effective today; the electric machines are the heart of the modern life, transformers, motors and electric generators, those that daily facilitate us the life filling each corner. it is objective to bring near to that luminous birth of the modern world where the electricity began to be everything for each human of this planet.In that birth of the electric power like part of each citizen's life day by day, and in the fact of being constituted an unit of measurement of the development of each country, the Exhibition of Paris went without place to doubts, a key factor. Starting from 1889 the man discovered the reality of living a dream: it´s borning the machines and electric driving.
Keywords: electric machines, XIX century, electric driving.
Introducción
Después del descubrimiento del fuego, el hombre dejó de ser un animal más en la tierra, tenía una fuente de energía en sus manos ajena a sus propias energías corporales, pero no fue hasta el descubrimiento y aplicación de la energía eléctrica que el hombre comenzó a conquistar sus verdaderas potencialidades.
La Exposición de Paris de 1889 fue una llamarada de atención para el mundo que se avecinaba tecnológicamente, José Martí le dedicó un espacio en su “Edad de Oro” e incluso escribió unos párrafos relativos a la “Galería de las Máquinas” en la Exposición de Paris, luego del éxito de aquel gran evento vinieron otros, derivados de este, anunciando un final de siglo XIX que auguraba una nueva era donde la energía eléctrica seria la principal protagonista.
Exactamente un siglo antes, o sea en 1789, comenzó la denominada Revolución Francesa que planteó nuevos enfoques filosóficos a la humanidad; pero esta vez la capital francesa abría al mundo un maravilloso horizonte de aplicaciones de nacientes tecnologías mayoritariamente surgidas a partir de la segunda mitad del siglo XIX. Los primeros experimentos prácticos de motores y generadores eléctricos se basan en el fenómeno de la inducción electromagnética descubierto por Michael Faraday en 1831.
Desarrollo
La Ley de Faraday encabeza todo estudio de las máquinas eléctricas [1], conjuntamente con las ecuaciones de Maxwell (1861) y Heaviside que sintetiza sus estudios a 4 ecuaciones (1882), en la ecuación (1), se presenta la Ley de Faraday [2]:
Donde
E:es la fuerza electromotriz que se induce en las espiras de un devanado eléctrico.N:es la cantidad de espiras en el devanado.(:Flujo magnético que concatena con las espiras del devanado.dΦ/dt:indica la variación del flujo magnético en el tiempo.Mientras que las cuatro Ecuaciones de Maxwell sintetizadas por Heaviside [3], [4] se presentan a continuación: Vea ecuación (2).
El operador nabla le brinda el carácter vectorial a E que simboliza al campo eléctrico, ecuación que parte de la genialidad de Coulomb y de Gauss en las respectivas leyes, siendo (0 la constante de permeabilidad dieléctrica del vacío, mientras que ( es la densidad de las cargas, la igualdad diferente de cero indica posibilidad física de existencia de polaridades eléctricas independientes. Vea ecuación (3).
Al igual que en la anterior ecuación, el operador nabla le brinda carácter vectorial, pero en este caso a la densidad del campo magnético B, siendo también aplicación de la Ley de Gauss, indicando que las líneas de fuerza del campo magnético no tienen principio, ni final, todo lo cual provoca que sea imposible la existencia física de polos magnéticos independientes. Vea ecuación (4).
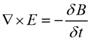
(4)También en esta ecuación el operador nabla marca su carácter vectorial, pero la relación matemática entre términos no es divergencia, sino rotacional, tratándose de una interpretación Maxwell - Heaviside de la ley de Faraday antes mencionada. Vea ecuación (5).
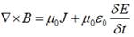
(5)Esta cuarta ecuación Maxwell - Heaviside es un desarrollo de la Ley de Ampere: el rotacional de la densidad del campo magnético B, siendo J la densidad de la corriente eléctrica, (0 la permeabilidad magnética del vacío, (0 la permeabilidad dieléctrica del vacío; indicando la estrecha relación entre los campos eléctrico y magnético, una variación del campo eléctrico produce un rotacional del campo magnético y viceversa.
Esta base teórica muy concretamente expresada fue la inspiradora de muchos logros físicos de aplicación práctica que conllevaron al desarrollo tecnológico mostrado con el nacer de transformadores, motores y generadores.
En el nacimiento de motores y generadores con posibilidades reales de aplicación práctica comercial, están presentes varios nombres; pero Werner Siemens [5], ejerce un papel significativo. En 1856 realiza las primeras experiencias de aplicación en telégrafos (ver fig. 1).El éxito del uso de ranuras en las máquinas eléctricas llega para quedarse a partir de esa fecha.
En 1867 aparece, también obra de Werner Siemens, un primer generador que usa el magnetismo remanente del núcleo ferromagnético, siendo el primer generador autoexcitado.

El científico belga Zénobe Théophil Gramme crea en 1871 un primer conmutador mecánico, posibilitando la comercialización de la corriente directa (ver fig. 2), denominado “anillo de Gramme”, precursor de las delgas en las máquinas de corriente directa.

Para 1885 salen al mercado las primeras máquinas de corriente directa cuya estructura básica ha llegado a nuestros días; pero hubo varios pasos anteriores, Friedrich von Hefner - Alteneck conjuntamente con Werner Siemens (1872) desarrollan el denominado “Tambor de Siemens” (figura 3), caracterizado por un rotor de flujo radial con devanados en el interior de ranuras. Un año más tarde (1873) el francés Auguste Pellerin propone la laminación del acero para disminuir pérdidas parásitas.

En 1884, durante la Exhibición Internacional de Turín, el científico italiano Galileo Ferraris gana el Premio Gaulard & Gibbs por la invención del transformador [6], crea también las primeras máquinas bifásicas (ver fig. 4). Ferraris fue fundador de la primera institución universitaria de ingeniería eléctrica en Italia (1888).

Si se tiene en cuenta que en 1879 el científico norteamericano Thomas Alba Edison había empezado a comercializar con éxito su bombilla incandescente de filamento de carbón, ya existiendo la lámpara de arco desde 1862, la iluminación con energía eléctrica despuntó sobre la iluminación de gas o keroseno con mucho éxito. Edison también se dio cuenta del mercado potencial que existía en Europa y fundó, entre otras, la Deutsche Edison Gesellschaft für Angewandte Elektrizität [7]. El capital necesario para esta iniciativa, realizada en 1882, fue proporcionado por tres bancos alemanes: Gebrüder Sulzbach, de Frankfurt am Main, Jacob Landau, de Berlin y National Bank für Deutschland. Por otro lado, la compañía alemana Siemens und Halske obtuvo la patente de fabricación de la lámpara diseñada por Swan, un competidor de Edison, lo que no fue obstáculo para que la Deutsche Edison Gesellschaft y la Siemens und Halske se fusionasen en 1883, al año siguiente esta empresa creó la Fábrica Municipal de Electricidad junto al ayuntamiento de Berlín y construyeron en Friederichstrasse, otra pequeña planta.
Augus Haselwander desarrolla el primer generador sincrónico trifásico en 1887 (ver fig.5), siendo la primera transmisión trifásica de energía eléctrica entre Offenburg y Baden, Alemania, casi simultáneamente en Estados Unidos, Tesla desarrolla un sistema bifásico y Bradley uno también trifásico. En este ambiente tecnológico de avanzada para su época, a pesar de múltiples críticas,brilla la audacia constructiva de la Torre Eiffel, el Trocadero, el Petit Palais, el Grand Palais y la reforma del Campo de Marte. Todo estaba listo para que París en 1889, abriera las puertas hacia el futuro.

La exposición de París 1889 (8(.
Anteriormente, en 1867 el gobierno francés y el ayuntamiento de París organizaron una exposición universal en el Champ de Mars (Campo de Marte), campamento militar situado en la orilla izquierda del río Sena; a la cual acudieron unos 43.000 expositores y más de 6.800.000 visitantes, con motivo de dicho acontecimiento fue construido el Palacio de Trocadero (ver fig. 6).

Nuevamente en 1878 se realiza una Exposición de París, donde se construyeron en el Campo de Marte y al otro lado del Sena, en una meseta denominada Trocadero donde ya radicaba el palacio de ese nombre, esta exposición reunió a más de 53.000 expositores y atrajo a más de 16 millones de visitantes.
Sin embargo, la Exposición de 1889 (ver fig. 7) que se organizó en París (una cuarta exposición universal) para conmemorar el centenario de la Revolución Francesa, fue la más relevante nunca antes efectuada y reunió a unos 62.000 expositores y más de 28 millones de visitantes.

Una fuente luminosa fue construida con motivo de la Exposición de Paris (ver fig. 8) en 1889, contaba con una iluminación cambiando al ritmo de una banda musical y mantenía su iluminación hasta las 12 de la noche, fue un gran suceso técnico - cultural.

Por supuesto que tuvo un enorme impacto y aún lo mantiene, la Torre Eiffel (ver fig. 9).Esta fue diseñada y construida para esa gran ocasión por el ingeniero Gustave Eiffel [9]. Con sus 324 metros de altura fue durante esa época el más alto monumento en el mundo conun peso aproximado de 6,300 toneladas, fue muy criticado y calificado como monstruoso e inútil por artistas y arquitectos, sin embargo, su éxito fue extraordinario y por su elevador eléctrico pasaron cerca de 2 millones de visitantes, cerca de 12 mil diariamente para contemplar desde su altura la belleza de París. Una iluminación de gas alumbraba la torre todas esas noches diariamente y un faro eléctrico en la parte superior.

Algunas de las novedades mostradas en la Exposición Paris 1889, se mencionan a continuación:
Más alta edificación construida en esa época (Torre Eiffel: 324 metros de altura).
Más larga construcción abovedada construida en esa época (Galería de las Máquinas).
Faro eléctrico en lo alto de la Torre Eiffel.
Fuente luminosa cambiando de color al ritmo de la música.
Sonido estereofónico transmitido desde una sala de conciertos remota.
Exhibición del dirigible como nueva forma de transporte aéreo.
Uso generalizado de la iluminación eléctrica en espacios públicos.
Uso arquitectónico del acero.
Aprovechamiento eficiente de la luz solar.
Galería de las maquinas (Palais des Machines).
La Exposición de París fue en su conjunto un suceso extraordinario, la Galería de Máquinas [10] en específico, fue una puerta de entrada a la luz de las nuevas tecnologías que ya comenzaban a emerger; Francia mostraría con orgullo una exposición acorde al primer centenario de la república, dando una imagen nacional e internacional de progreso.
Cuatro personas fueron el eje central de la Galería de Máquinas:
Ferdinand Dutert, Arquitecto.
Victor Contamin, Ingeniero principal.
Fives Lille, Contratista Edificio Central Este.
Cail et Cie, Contratista Edificio Central Oeste.
El diseño constructivo de la Galería de Máquinas fue único para su época, su estructura totalmente metálica estaba montada sobre rodamientos lo que le daba posibilidades mecánicas excepcionales. Debido a la notable luz del edificio, los movimientos térmicos en el plano de los arcos son relevantes; debido a que un arco con 3 articulaciones tiene la ventaja de permitir los movimientos de dilatación y contracción térmica sin producir incrementos importantes de tensiones en el mismo, puesto que la nueva longitud de los semi - arcos se reacomoda por giro en las articulaciones rodantes.
El costo aproximado de la Exposición de Paris 1889 fue de 47 millones de francos de aquella época (aproximadamente unos 1,5 millones de USD en 1889), de todo lo cual una quinta parte correspondió a la Galería de Máquinas [11][12], que conjuntamente con la torre Eiffelconstituyeron las principales atracciones.

La Galería de las Máquinas (ver fig. 10), fue un enorme pabellón expositivo de estructura metálica, una monumental obra de arquitectura del acero y del vidrio, siendo el edificio abovedado más grande que se había construido hasta la fecha en el mundo.
En el interior de la Galería de las Máquinas [8], se instaló una especie de plataforma similar a un puente-grúa (inspirador de las grúas - puentes actuales), que servía para trasladar a los espectadores a lo largo de la inmensa sala.
Una cortina gigante de celosías transparentes (ver fig. 11) garantizaba la luminosidad del muy amplio recinto expositivo.


El uso masivo de los accionamientos eléctricos (ver fig. 12) es uno de los éxitos tecnológicos multifacéticos del naciente motor eléctrico, promocionando su aplicación comercial mundialmente, en esta Exposición de Paris 1889 se muestra también uno de los primeros vehículos de transporte automotor (Daimler) con motor de combustión interna.
Conclusiones
En el final del siglo XIX, los equipos eléctricos dejan de ser un experimento interesante, para comenzar paulatinamente a ser parte de la vida diaria del ciudadano común, la aparatosa máquina de vapor es sustituida por motores de combustión interna y por motores eléctricos.
El accionamiento eléctrico nace como algo real y en ese cambio tecnológico, la Exposición de Paris de 1889 tuvo un papel mediático extraordinario. Otras exposiciones importantes le siguieron, en Chicago 1893 y nuevamente en Paris en 1900 arribando al nuevo siglo.
En el mundo de hoy transformadores, motores y generadores eléctricos son el alma del desarrollo tecnológico, muy complementado por la fortaleza de la electrónica de potencia conjugada cada vez más y más de la electrónica digital, en ambos casos muy matizados por el desarrollo de la nanotecnología en la integración de circuitos comerciales.
Referencias
1. Fraile Mora, Jesús, Genios de la ingeniería eléctrica. De la A a la Z, edición Fundación Iberdrola, 2006, España, ISBN: 84-609-9775-8, Depósito legal: M. 11.849-2006. Disponible en: https://www.buscalibre.us/libro-genios-de-la-ingenieria-electrica-de-la-a-a-la-z/4088185/p/4088185
2. Electromagnetismo. Universidad Nacional de La Plata. Cátedra de ingeniería eléctrica. Tema 5. Faraday. Inducción. https://www.google.com.cu/url?sa=t&rct=j&q=&esrc=s&source=web&cd=&cad=rja&uact=8&ved=2ahUKEwiIq5qhq83xAhX4nGoFHbeFAksQFnoECAQQAA&url=https%3A%2F%2Fcatedra.ing.unlp.edu.ar%2Felectrotecnia%2Fcys%2FDI%2Felectromagnetismo.pdf&usg=AOvVaw1O-Sgr3yeo7vTLzUmTzpJu
3. Stratton, Julius A., Electromagnetic theory, Massachusetts Institute of Technology, Wiley Online Books, October 2015, Estados Unidos, Online ISBN: 978119134640, Print ISBN: 978047031534. Disponible en: https://ocw.mit.edu/courses/physics/8-311-electromagnetic-theory-spring-2004/
4. Gómez Pedro, Las ecuaciones de Maxwel, licencia Creative Commons Reconocimiento-No comercial-Sin obras derivadas 2.5, 2012, España https://www.google.com.cu/url?sa=t&rct=j&q=&esrc=s&source=web&cd=&cad=rja&uact=8&ved=2ahUKEwjL3vzfqM3xAhUwl2oFHdDED6gQFnoECAUQAA&url=https%3A%2F%2Fgalleton.net%2Findex.php%2Fes%2Flibros-pdf%2Flibros-de-fisica%2Fitem%2F18401-las-ecuaciones-de-maxwell-pdf-pedro-gomez&usg=AOvVaw3r7raJGBUVx8yla2MeI_hI
5. The invention of the electric motor 1856-1893, Research University Helmholtz Association https://www.google.com/url?sa=t&rct=j&q=&esrc=s&source=web&cd=&cad=rja&uact=8&ved=2ahUKEwji17Lxu_7wAhUoRDABHXGWAnsQFnoECAQQAA&url=https%3A%2F%2Fwww.eti.kit.edu%2Fenglish%2F1390.php&usg=AOvVaw3oihti9gNydDIXl-p6Hv-r
6. Galileo Ferraris and the Conversion of Energy Developments of Electrical Engineering over a Century, Proceedings of the International Symposium, Torino 27-29 October 1997, pp. 1-526. ISBN 88-900352-0-X. Disponible en: https://www.google.com/url?sa=t&rct=j&q=&esrc=s&source=web&cd=&ved=2ahUKEwiKmYiEwtHxAhW-lmoFHfk3CJIQFnoECAIQAA&url=https%3A%2F%2Fcore.ac.uk%2Fdownload%2Fpdf%2F84251334.pdf&usg=AOvVaw1S7HCsq0M-lm4k3eHOwxc-
7. Networks of Power. Electrification in Western Society, 1880-1930 Thomas Parker HUGHE 1983 (ISBN 08018-2873-2). Disponible en: https://books.google.com.cu/books?hl=es&lr=&id=g07Q9M4agp4C&oi=fnd&pg=PP11&dq=Electrification+in+Western+Society&ots=BExE3FolMR&sig=-EEHhezEX00HSAe-5TeD2zsVj-U&redir_esc=y#v=onepage&q=Electrification%20in%20Western%20Society&f=false
8. Exposiciones Universales (1878 y 1889), Paris 1889, Archivo digital Universidad Politécnica de Madrid. https://www.google.com.cu/url?sa=t&rct=j&q=&esrc=s&source=web&cd=&cad=rja&uact=8&ved=2ahUKEwjEoNnY9c7xAhXAkmoFHR8lBRwQFnoECCIQAA&url=http%3A%2F%2Foa.upm.es%2F56212%2F1%2FTFG_Hernandez_de_la_Cruz_Pilar.pdf&usg=AOvVaw0s-NKESuzOMYYyaiIM9CWV
9. Torre Eiffel historia y construcción - La Torre Eiffel OFICIAL https://www.google.com.cu/url?sa=t&rct=j&q=&esrc=s&source=web&cd=&cad=rja&uact=8&ved=2ahUKEwjrt46G9M7xAhWEnGoFHaghDHgQFnoECAUQAA&url=https%3A%2F%2Fwww.toureiffel.paris%2Fes%2Fel-monumento%2Fhistoria&usg=AOvVaw3fMjpT5q1nQE9cnMd2HGIY
10. La Galería de las Máquinas de 1889. Reflexiones histórico estructurales, The Palais des Machines of 1889. Historical-structural refletions, https://www.google.com/url?sa=t&rct=j&q=&esrc=s&source=web&cd=&cad=rja&uact=8&ved=2ahUKEwiW8cnmtP7wAhUbRjABHVXBCOAQFnoECAQQAA&url=https%3A%2F%2Fwww.researchgate.net%2Fpublication%2F283846538_La_Galeria_de_las_Maquinas_de_1889_Reflexiones_historico-estructurales&usg=AOvVaw1YD-zUplypa03S4pj441YY
11. LINARES de la Torre, Oscar, Apuntes sobre el Palais des Machines de París de 1889: espacio, estructura y ornamento, abril 2018, DOI: 10.4995/vlc.2018.7713 License: CC BY-NC 4.0. https://www.google.com.cu/url?sa=t&rct=j&q=&esrc=s&source=web&cd=&cad=rja&uact=8&ved=2ahUKEwjkzsqQpI3xAhXwRDABHTaKABAQFnoECAoQAA&url=https%3A%2F%2Fwww.researchgate.net%2Fpublication%2F324651202_Apuntes_sobre_el_Palais_des_Machines_de_Paris_de_1889_espacio_estructura_y_ornamento&usg=AOvVaw0dhz2ytwne1v9yNki8HzbQ
12. STAMPER, John W. The Palais des Machines of the 1889 Paris World Fair´s, University of Notre Dame School of Architecture, Francehttps://www.google.com.cu/url?sa=t&rct=j&q=&esrc=s&source=web&cd=&cad=rja&uact=8&ved=2ahUKEwjkzsqQpI3xAhXwRDABHTaKABAQFnoECAcQAA&url=https%3A%2F%2Fwww.jstor.org%2Fstable%2F3105107&usg=AOvVaw0-ezkAY8GAIQdNE2YMqMHJ
Notas de autor
*Autor de correspondencia: pedro@electrica.cujae.edu.cu
Declaración de intereses