Artículo de Investigación Científica y Tecnológica
Recepción: 08 Abril 2022
Aprobación: 06 Junio 2022
RESUMEN: Actualmente no se conocen las principales afectaciones que introducen las oscilaciones de potencia en los relés de distancia más utilizados en el Sistema Eléctrico de Potencia (SEP) de Cuba. Este trabajo aborda las principales características de las oscilaciones de potencia en los (SSEEPP) y su impacto sobre el correcto funcionamiento de los relés de distancia (21/21N Código ANSI) más empleados en el (SEP) cubano, para lo cual se acude a la simulación matemática. Se analizan los principales métodos de bloqueo y desbloqueo de los relés de protección (21/21N). En las simulaciones se confirmó que el método de bloqueo contra oscilaciones es efectivo en todas las tecnologías analizadas (Relés de distancia Siemens, MICOM y NR) con las particularidades de cada fabricante. Por otro lado, se observó que los métodos de desbloqueo de cada uno de los relés poseen dificultades cuando se presenta un cortocircuito simétrico durante una oscilación de potencia.
Palabras clave: Oscilación de Potencia, Relé de Distancia, Bloqueo contra oscilaciones.
ABSTRACT: Currently, the main effects introduced by power oscillations in the most used distance relays in the Electric Power System (SEP) of Cuba are not known. This work deals with the main characteristics of the power oscillations in the (SSEEPP) and its impact on the correct operation of the distance relays (21/21N ANSI Code) most used in the Cuban (SEP), for which we turn to the mathematical simulation. The main blocking and unblocking methods of protection relays (21/21N) are analysed. In the simulations it was confirmed that the oscillation blocking method is effective in all the analyzed technologies (Siemens, MICOM and NR distance relays) with the particularities of each manufacturer. On the other hand, it was observed that the unlocking methods of each of the relays have difficulties when a symmetrical short circuit occurs during a power oscillation.
Keywords: Power Oscillation, Distance Relay, Blocking against oscillations.
Introducción
Las fallas de los Sistemas Eléctricos de Potencia (SEP) , las aperturas y cierres de líneas, las pérdidas e incrementos de grandes grupos de generación resultan en cambios muy rápidos de potencia eléctrica en los que se conserva constante la potencia mecánica de los generadores [1, 2]. Esto provoca que se produzcan oscilaciones de potencia tan severas como la magnitud de la perturbación. Si la perturbación es pequeña y los equipos de control (AVR, PSS, FACTS y otros) responden de manera adecuada, el sistema regresa a un nuevo punto de equilibrio y la oscilación de potencia se considera estable [3, 4, 5]. Las perturbaciones más fuertes pueden por otro lado provocar grandes fluctuaciones de potencia asociadas a grandes separaciones de los ángulos de los rotores de los generadores, provocando pérdidas de sincronismos conocidas como oscilaciones inestables de potencia [6].
Cuando ocurren las perturbaciones antes descritas, en los generadores se producen oscilaciones de la potencia activa que se manifiestan en cambios periódicos de las amplitudes de las corrientes y tensiones en las líneas de transmisión. Es importante destacar que los cambios en las magnitudes de tensión y corriente ocurren aproximadamente iguales en las tres fases, por esta razón las oscilaciones de potencia se consideran fenómenos balanceados. Atendiendo a las consideraciones anteriores se hace necesario entender el concepto de centro eléctrico de oscilación del sistema o tensión cero, que no es más que el punto o los puntos del sistema eléctrico (equivalente de 2 fuentes) donde la tensión se hace cero durante una oscilación de potencia y el ángulo entre los sistemas es θ= 180° [5, 7]. Los cambios de tensión y corriente debidos a oscilaciones de potencia dan lugar a que las protecciones de distancia (21/21N del código ANSI), incluidas las de algunas líneas no afectadas por la falla, vean, durante un cierto tiempo, impedancias bajas (similares a las de una falla trifásica) que pueden entrar en sus características de disparo [1, 8].
La operación de relés de protección de distancia en líneas sanas puede hacer que el sistema sea aún más débil, aumentando la gravedad de la perturbación. Los relés de distancia deben ser inhibidos temporalmente durante oscilaciones estables para prevenir la separación innecesaria del sistema. Es decir, durante las oscilaciones los relés de distancias pueden operar incorrectamente al estimar las oscilaciones como cortocircuitos y es necesario bloquearlos durante las oscilaciones, para lo cual, es necesario detectar que es una oscilación mucho antes de que el relé opere incorrectamente. En los relés numéricos modernos está disponible una función de Bloqueo de Oscilación de Potencia (“Power Swing Blocking” o PSB) [9, 10] que incorpora criterios al relé para discernir las oscilaciones de potencia de los cortocircuitos, con el fin de efectuar el bloqueo de las protecciones de distancia y evitar que operen incorrectamente en el caso de oscilaciones. El método más común implementado en los relés para detectar oscilaciones utiliza las mediciones de tasa de cambio del vector impedancia de secuencia positiva.
Este método está basado en el hecho de que la impedancia estimada por el relé cambia lentamente durante las oscilaciones, mientras que para cortocircuitos cambia de forma instantánea [1], [4, 5, 6, 7]. Para estas aplicaciones se deben ejecutar estudios de estabilidad extensos en que se consideren distintos panoramas de carga‐generación para diversas fallas para determinar la tasa de cambio de la impedancia más rápida que se pueda presentar. La labor es sumamente costosa y nunca se puede tener la certeza de que se consideraron todos los casos. Las perturbaciones severas pueden causar separaciones angulares entre grupos de generadores que ocasionen la pérdida de sincronismo entre ellos. En el caso de la oscilación de potencia inestable el disparo no necesariamente debe darse sobre la línea protegida por el relé, lo primordial es que la separación entre los sistemas que han perdido sincronismo se realice sobre una línea o conjunto de líneas que divida al sistema en islas y logre que haya un balance carga‐generación en cada porción del sistema resultante. En algunos casos la separación deberá ir acompañada por desprendimientos de carga y generación.
La función de Disparo ante Pérdida de Sincronismo (“Out‐of‐Step Tripping” u OST) [9] identifica las condiciones para una posible pérdida de sincronismo y ejecuta la separación en lugares preestablecidos con el fin de mantener la estabilidad. Adicionalmente es necesario dotar a la protección con la capacidad de disparar cualquier cortocircuito que se produzca durante la oscilación de potencia por lo que se implementa la función desbloqueo de la protección, encontrada con el nombre de PSUB (del inglés Power System UnBlocking) [9, 11]. Para desbloquear la protección se utilizan normalmente algunos criterios basados en que las oscilaciones de potencia son fenómenos balanceados. Partiendo del criterio anterior, el PSUB desbloquea si durante una oscilación aparecen corrientes de secuencia cero o secuencia negativa que superen un valor ajustado. Otros métodos consideran que si durante la oscilación de potencia la corriente es muy elevada superior a un valor ajustado debe desbloquearse la protección.
En el SEP cubano las protecciones de distancia constituyen la filosofía de protecciones más utilizadas en las líneas de transmisión (en la mayoría de los casos como función principal), por lo que la probabilidad de que el fenómeno de oscilaciones de potencia las afecte es alto. Los relés de protección más utilizados en Cuba que poseen la función de distancia son [9], [11, 12, 13, 14, 15]:
SIEMENS SIPROTEC 7SA6
SIEMENS SIPROTEC 7SD5
MiCOM ALSTOM P543, P544, P545, P546
MiCOM P441/P442/P444 P44x/EN T/G75
Nari-Relays Electric PCS-902
Nari-Relays Electric PCS-931
Algunos de estos relés son protecciones diferenciales que poseen además la función de distancia, pero lo más común es encontrar relés de distancia protegiendo líneas de transmisión como función principal, dado a que pueden existir problemas de comunicación que imposibiliten el uso de la función deferencial de línea (87L del código ANSI). Cada uno de estos relés bloquea y desbloquea las oscilaciones de potencia de formas diferentes.
El principal objetivo de esta investigación es demostrar de manera clara y concisa la existencia del ya conocido fenómeno de oscilaciones de potencia, y como este afecta a los relés de distancia; haciendo una crítica técnica de los métodos de bloqueo y desbloqueo contra oscilaciones de potencia que utilizan los relés de distancia más utilizados en el sistema eléctrico de Cuba.
Objetivo de la investigación
El principal objetivo de esta investigación es validar la existencia de oscilaciones de potencia peligrosas en el Sistema Eléctrico Nacional (SEN ) cubano y su impacto negativo sobre la correcta operación de los relés de distancia (21/21N) que protegen las líneas del mencionado SEN.
Materiales y métodos
Para la realización de este trabajo teórico experimental, basado en esquemas de líneas de transmisión típicas del SEN cubano, se evaluó el funcionamiento de los relés de protección con función de distancia (21/21N Código ANSI) más utilizados en Cuba. De forma general durante la ocurrencia de una oscilación de potencia, cualquier relé de protección de distancia que utilice el análisis de fasores a la frecuencia fundamental puede medir una impedancia que entra en sus zonas de medida y declarar una condición de falla de forma incorrecta. Lo anterior se puede analizar tomando el caso de una red simple formada por una línea de transmisión con áreas de generación en ambos extremos, como se ilustra en la figura 1.

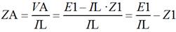
La potencia activa que puede transmitirse entre estos dos sistemas puede describirse utilizando la Fem de las fuentes de los generadores (E1 y E2), el ángulo entre estas (Φ), la impedancia de cada área de generación (Z1 y Z2) y la impedancia de la línea que une las áreas de generación (ZL), en la ecuación (1):
(1)La potencia máxima que se puede transferir será cuando el valor del ángulo entre las fuentes (Φ) este cercano a los 900. Considerando la información aportada en la figura 1, la corriente IL en la barra A es calculada como se muestra en la ecuación (2):
(2)Es típico que la dirección de la corriente se mantenga durante la oscilación de potencia, solo las tensiones cambiarán entre ellas. Por lo tanto, la impedancia medida por un relé de distancia en la barra A (ZA) será igual a como se muestra en la ecuación (3):
(3)Luego sustituyendo la ecuación (1), en la ecuación (2), se obtiene la ecuación (4):
(4)De los conocimientos de sistemas eléctricos se deriva que para que la corriente IL fluya en la dirección mostrada en la figura 1, E1 debe tener un adelanto de fase con respecto a E2 y que la proporción entre las magnitudes de las tensiones es una constante k
. Analizando el ángulo entre los dos sistemas de generación (Φ) se puede prever las posibles trayectorias de la impedancia cuando se presenta una oscilación de potencia y (Φ) comienza a experimentar cambios cíclicos (figura 2). La trayectoria de la impedancia medida en el relé durante la oscilación de potencia cuando el ángulo entre las dos fuentes de tensión cambia, corresponde a una línea recta (k=1) que interseca el segmento A B en el punto intermedio (figura 2 (a)).
El ángulo entre los dos segmentos que conecta P a los puntos A y B es igual al ángulo Φ. Cuando el ángulo Φ alcanza un valor de 180º, la impedancia es precisamente la ubicación del centro eléctrico. Se puede apreciar que la trayectoria de la impedancia, medida por la protección, puede entrar en la zona 1 de la protección y corresponder con una falla en la línea. En situaciones para las que k ≠1, se puede demostrar que la trayectoria de la impedancia corresponde a círculos (figura 2 (b)).
Resultados y discusiones
Para entender como el fenómeno de las oscilaciones de potencia afectan las protecciones de distancia instaladas en las líneas de transmisión del SEP de la República de Cuba, se ha modelado la configuración mostrada en la figura 3; que representa una configuración típica en el lazo de La Habana y otras partes del sistema de transmisión a 110 kV y 220 kV.

En el modelo se han tenido en cuenta los datos reales de cada uno de los elementos mostrados. A través de la herramienta Network Reduction del propio software DIgSILENT y teniendo toda la modelación del SEN de Cuba, se obtuvieron del modelo actual los valores de potencia de cortocircuito en cada uno de los sistemas equivalentes (en las condiciones de mayor generación). También se obtuvo a través de esta reducción los valores de resistencia, reactancia y susceptancia en ambos puntos de interconexión. Además, las líneas de transmisión han sido modeladas con la geometría de torre que más se repite, así como también se han modelado los conductores reales. Se modelaron en esta investigación cortocircuitos a lo largo de la línea 2 que une la barra 1 y barra 2, para analizar el comportamiento de la impedancia medida por los relés de distancia en la línea paralela no fallada (línea 1) una vez se despeje el cortocircuito.
En algunos casos de ubicación de la falla (cortocircuitos por debajo del 20 % y por encima del 80 % de la longitud de la línea) el disparo de la línea no fue simultáneo en ambos interruptores, dado que la zona dos ajustada en los relés posee un tiempo de operación mayor al disparo instantáneo de la zona 1 y no existen esquemas de teleprotección, esta condición agravó el comportamiento de la impedancia medida por los relés de distancia en la línea 1 una vez despejado el cortocircuito. En todos los casos se observó la aparición de una oscilación de potencia luego de que la línea dos fuese desconectada. El caso más crítico se presentó cuando la transferencia por ambas líneas era cercana al 90 % de su capacidad y ocurrió un cortocircuito en la línea 2 al 15 % de su longitud (Ver figura 3). En la figura 4, se puede observar el comportamiento de la impedancia medida por el relé de distancia de la línea 1 instalado en la barra 1 luego de esta falla.

La oscilación que se presenta es estable ya que comienza a disminuir su amplitud gradualmente (figura 4 (a)). Lo anterior es favorable para la estabilidad del sistema, pero en esta oscilación estable la impedancia en ocasiones entra a la zona 3 de operación del relé de distancia de la línea no fallada (figura 4 (b)), y si permanece dentro de la zona 3 un tiempo superior al tiempo de operación existirá un disparo innecesario que agravaría las condiciones del sistema eléctrico. En este caso el mayor tiempo de la impedancia dentro de la zona 3 fue de 2.8 segundos, lo que quiere decir que si la zona 3 de operación posee un tiempo de ajuste menor a ese valor la protección disparará, sino se tiene habilitada la función PSB [10, 11, 13].
Si en las condiciones antes descritas se dispara la línea sana (línea 1) debido a la oscilación de potencia, el sistema podría colapsar dado que ya se encuentra en condiciones críticas. Lo anterior podría ser el comienzo de una caída del sistema (Blackout) lo cual es una de las condiciones más indeseadas de cualquier compañía eléctrica.
Con la función PSB se garantiza que, aunque la impedancia entre a la zona de operación, el relé no opere dado que previamente ha declarado que el comportamiento de la impedancia corresponde al de una oscilación de potencia. Lo anterior se logra observando la tasa de cambio de la impedancia durante el fenómeno, y se detecta con la instalación de zonas externa que detecten la variación de la impedancia.
En la figura 5, se puede observar esta solución para algunos de los relés de las tecnologías mencionadas [9, 11, 12], mayormente la utiliza Siemens y los relés Micom de la serie P44x. Es importante destacar que las zonas cuadrilaterales son las que encuentran mayor aplicación en las líneas de transmisión debido a la existencia de cortocircuitos con resistencias de falla [16, 17], en este tipo de aplicación las oscilaciones de potencia impactan más las zonas de protección (figura 5).

El uso de dos zonas externas garantiza la detección de la oscilación de potencia y previamente el bloqueo de la protección, por lo general el relé detecta el paso de la impedancia por la zona más externa y comienza a contar un tiempo que de estar por encima de un valor pre-ajustado se declara una oscilación de potencia. Otros tipos de relés utilizan una zona de protección adicional a la zona 3 para detectar las oscilaciones de potencia [13, 14]. El principal problema se presenta cuando luego de declarada una oscilación de potencia y bloqueadas las zonas de operación ocurre un cortocircuito. Para lograr operar por fallas durante oscilaciones de potencia se permite el desbloqueo del relé durante estas, mediante la función PSUB (del inglés Power System UnBlocking). Por lo general el desbloqueo de la protección durante una oscilación es permitido si se cumplen cualquiera de los siguientes criterios [9], [12, 13, 14]:
La intensidad residual IN supera un umbral. Esto permite el disparo para fallas a tierra que puedan presentarse durante una oscilación de potencia.
La intensidad de secuencia negativa I2 supera un umbral. Esto permite el disparo para fallas bifásicas que se presenten durante la oscilación.
La intensidad de fase supera un umbral. Esto permite el disparo para fallas trifásicas que puedan presentarse durante la oscilación de potencia.
Durante las simulaciones luego de que la protección bloqueo las zonas de protección debido a la existencia de una oscilación, se simularon cortocircuitos monofásicos, bifásicos y trifásicos para observar el desempeño del desbloqueo en todos los tipos de relés que se utilizan en las líneas de transmisión cubanas. En el caso de los cortocircuitos monofásicos y bifásicos el desbloqueo fue correcto en todas las posiciones de falla a lo largo de la línea, pero para el caso de fallas trifásicas en ocasiones la protección no desbloqueo correctamente dado que el valor de la corriente de cortocircuito no excedió el valor umbral preajustado.
Los cortocircuitos trifásicos en líneas de transmisión son bastante balanceados y esto dificulta su detección, pues estos son similares a las oscilaciones que son balanceadas y además generan altas corrientes y bajas tensiones. Muchos ingenieros [10, 18], a la hora de realizar los ajustes de los relés, calculan las máximas corrientes generadas por una oscilación y así establecen el ajuste de intensidad de fase que debe superarse para declarar una condición de cortocircuito durante una oscilación de potencia. Esto último no permitiría detectar cortocircuitos trifásicos que generen pequeñas corrientes, por lo que se pierde sensibilidad del relé para este tipo de fallas, como sucedió en las simulaciones realizadas en este estudio.
Existen algunos métodos [1], para diferenciar entre una oscilación y un cortocircuito trifásico prestando atención al comportamiento de la tensión. La principal idea es que las oscilaciones suelen generar que las tensiones bajen y suban, oscilando sus magnitudes de forma profunda, mientras que, en los cortocircuitos trifásicos, las tensiones bajan, pero permanecen abajo mientras dure el cortocircuito. Todos los relés de protección no poseen estas prestaciones y en muchas ocasiones será necesario diseñarla en la lógica del relé por el proteccionista y no sería 100 % efectiva o tecnológicamente posible. Tantos detalles a la hora del ajuste complejizan el trabajo de los proteccionistas en el terreno, y en ocasiones pueden obviar estas cuestiones. Por esta razón debe implementarse una herramienta que analice la solución antes expuesta y otros criterios. Una red neuronal artificial, parece ser la mejor solución a este problemas, dado que pueden entrenarse para discernir entre una oscilación o un cortocircuito (simétrico o asimétrico) atendiendo a los criterios expuestos en este trabajo [1, 12, 13].
Todos los relés [9], [12, 13, 14], presentan dificultades cuando las oscilaciones de potencia se presentan en la línea que protegen. En el caso del bloqueo (PSB) es importante analizar las oscilaciones más críticas a presentarse y las posibles trayectorias que la impedancia medida por el relé de protección de distancia realizará. Con relación a la aleatoriedad del fenómeno, se realizaron simulaciones en diferentes escenarios para una misma contingencia. Se insertó la transferencia y el sentido de esta en las líneas de transmisión, y en cada caso la oscilación de potencia fue diferente y por consiguiente la trayectoria de la impedancia medida por los relés de distancia igualmente cambió. También se realizaron contingencias diferentes a la de disparar una línea paralela fallada, pues además se simuló, una falla permanente en el transformador conectado entre la Barra 1 y Barra 1A lo cual derivó en la desconexión de la subestación; en estas condiciones las oscilaciones presentadas fueron críticas para la zona 3 de operación, evidenciándose las múltiples formas en las que se pueden presentar las oscilaciones de potencia.
En todas las simulaciones se constató que cada cambio en las condiciones iniciales del sistema, repercute en una oscilación de potencia diferente. También el tipo de contingencia y el tipo de falla cambia el fenómeno por completo. En tales condiciones los relés de protección de distancia instalados en las líneas de transmisión del SEP cubano pueden operar incorrectamente cuando se presenten oscilaciones de potencia, dado a que tantos cambios y posibilidades de ocurrencia del fenómeno pueden ser obviados a la hora de realizar los ajustes de las protecciones de distancia.
Conclusiones
Según los datos recopilados en las simulaciones de este trabajo y la interpretación científico técnica de los fenómenos observados se puede concluir que:
Las oscilaciones de potencia constituyen un fenómeno de un gran porciento de ocurrencia en los SEP.
Las oscilaciones de potencia tienen un alto grado de aleatoriedad lo cual complejiza la consideración del fenómeno a la hora de ajustar las protecciones de distancia.
Los relés de protección más utilizados en el SEP cubano que poseen habilitada la función de distancia están en riesgo de operar incorrectamente al presentarse una oscilación de potencia, dado a la no consideración del fenómeno en los ajustes del PSB o la no habilitación del mismo.
Los relés de distancia de las líneas de transmisión cubana con características cuadrilaterales son más probables a disparar por oscilaciones de potencia.
El bloqueo PSB en la mayoría de los relés analizados resulta efectivo siempre y cuando se halla ajustado adecuadamente.
El correcto ajuste del PSB requiere la consideración de todas las posibles oscilaciones que pueden ocurrir, para así obtener la tasa de cambio de la impedancia más crítica, esto último constituye un trabajo bastante extenso y complicado en la práctica.
El desbloqueo PSUB resulta efectivo para fallas asimétricas en todos los relés analizados.
El desbloqueo PSUB en ocasiones falla cuando se presentan cortocircuitos trifásicos poco desequilibrados, y no se dispararía el cortocircuito.
Los métodos de desbloqueo PSUB presentan dificultades aún no resueltas en la práctica por los fabricantes.
Una red neuronal artificial para desbloquear la protección durante la ocurrencia de cualquier tipo de cortocircuito durante una oscilación de potencia parece ser la solución más efectiva a los problemas existentes con el desbloqueo, que facilitaría el trabajo de los proteccionistas en este sentido, ahorrándoles tiempo y trabajo.
Referencias
ANDERSON P. ``Power System protection´´. IEEE Press. New York, 1999. ISBN: 9780470545591. Disponible en: https://ieeexplore.ieee.org/book/5264125
RAMÍREZ Castaño, S. ``Protección de sistemas eléctricos´´. Universidad Nacional de Colombia-Sede Manizales. 2003. [Consultado 26 de junio de 2020]. [En línea]. Disponible en: Disponible en: https://repositorio.unal.edu.co/handle/unal/7094
HOROWITZ S. H. ``POWER SYSTEM RELAYING´´, 3ra Ed. USA: Resear ch Studies Press, 2008. ISBN: 978-0-470-75878-6. Disponible en: https://www.wiley.com/en-us/Power+System+Relaying%2C+3rd+Edition-p-9780470758786
MACHOWSKI J. ``NEW POWER SWING BLOCKING METHOD´´. Sixth International Conference on Developments in Power System Protection (Conf. Publ. No. 434). Alemania, 1998, p. 4. Disponible en: https://ieeexplore.ieee.org/document/608184/
ANGULO Umaña, Julio ``Estudio de oscilaciones de potencia en el Sistema Eléctrico Nacional´´. ResearchGate. julio 2015. [Consultado 11 de mayo de 2020]. Disponible en: Disponible en: https://www.researchgate.net/profile/Julio-Umana-Angulo/publication/279961290_Estudio_de_oscilaciones_de_potencia_en_el_Sistema_Electrico_Nacional/links/559ff83708ae032ef0544dce/Estudio-de-oscilaciones-de-potencia-en-el-Sistema-Electrico-Nacional.pdf?origin=publication_detail
IEEE PSRC WG D6. ``Power swing and out-of-step considerations on transmission lines´´. yumpu.com. [Consultado 28 de julio de 2021]. Disponible en: https://www.yumpu.com/en/document/read/8360858/power-swing-and-out-of-step-considerations-on-transmission-lines
Schneider Electric. ``Protección de Distancia´´. Guía de aplicación. España, 2005. Disponible en: https://www.se.com/ww/en/product-subcategory/4635-distance-protection/
GALLEGO, C.; Urresty J. y Gers, J.. ``Analysis of phenomena, that affect the distance protection´´. IEE. ago. 2008, p. 1-6. Disponible en: https://www.neplan.ch/wp-content/uploads/2015/01/Distance-Proteccion-IEEE-2008.pdf
Areva. ``Technical Manual MiCOM P44x Numerical Distance Protection´´. junio de 2013. Disponible en: https://www.rza.by/upload/iblock/da5/P44x_EN_T_I95_v.C7-D4-D5-D6.pdf
SELINC.``SEL-321 Relé de distancia de fase y tierra´´ [Consultado 23 de junio de 2020]. Disponible en: Disponible en: https://selinc.com/es/products/321/
Siemens. ``Protección de distancia 7SA6´´. 2006. Disponible en: https://support.industry.siemens.com/cs/document/109743386/siprotec-4-7sa6-protecci%C3%B3n-de-distancia?dti=0&lc=es-MX
SIPROTEC. ``Manual, Protección diferencial de línea con protección de distancia 7SD5´´. 2006 SIEMENS. Disponible en: https://assets.new.siemens.com/siemens/assets/api/uuid:9d2517ec-4fcb-4445-a105-21f52f97927d/7sd5xxmanuala1v040005es.pdf
ALSTOM. `` Protección Diferencial de Intensidad´´. MiCOM P543/P544/P545/546 (Manual técnico). 2010. Disponible en: https://download.schneider-electric.com/files?p_enDocType=User+guide&p_File_Name=P54x_ES_M_J74.pdf&p_Doc_Ref=P54x_ES_M_J74
NR Electric. ``Manual Relé de Distancia PCS-902S´´. China, 2019. Disponible en: https://www.directindustry.es/prod/nr-electric/product-223684-2335825.html
NR Electric. ``PCS-931 Line Differential Relay Instruction Manual´´. 2014 Disponible en: https://kupdf.net/download/pcs-931-x-instruction-manual-en_58ca8222dc0d60d362339030_pdf
SEGHIR Samira; et al. ``Fault Resistance Effect on Distance Protection in High Voltage Transmission Lines´´. ResearchGate. [Consultado 7 de mayo de 2020].2017 Disponible en: Disponible en: https://www.researchgate.net/publication/326957328_Fault_Resistance_Effect_on_Distance_Protection_in_High_Voltage_Transmission_Lines
BALUJA, P.O. y Torres Breffe, O.. ``La protección de distancia y las condiciones de prefalla´´. Revista Ingeniería Energética, vol. 40, n. 2, p. 9, 2019. Disponible en : http://scielo.sld.cu/scielo.php?script=sci_abstract&pid=S1815-59012019000200103
apinar0401, ``Ajuste y coordinacion de protecciones de distancia y sobrecorriente p…´´, 12:46:56 UTC. [Consultado 7 de mayo de 2020]. [ 2012 En línea]. Disponible en: Disponible en: https://es.slideshare.net/apinar0401/ajuste-y-coordinacion-de-protecciones-de-distancia-y-sobrecorriente-para-lineas-de-transmision
Notas de autor
*Autor de correspondencia: operezb@electrica.cujae.edu.cu
Declaración de intereses