Perspectives
EM BUSCA DE CONVERGÊNCIA: UM ESTUDO BIBLIOMÉTRICO SOBRE MODELO DE NEGÓCIOS
IN SEARCH OF CONVERGENCE: A BIBLIOMETRIC STUDY ON BUSINESS MODEL
EN BUSCA DE CONVERGENCIA: UN ESTUDIO BIBLIOMÉTRICO SOBRE MODELO DE NEGOCIOS
EM BUSCA DE CONVERGÊNCIA: UM ESTUDO BIBLIOMÉTRICO SOBRE MODELO DE NEGÓCIOS
Revista Ibero Americana de Estratégia, vol. 18, núm. 1, pp. 04-18, 2019
Universidade Nove de Julho

Recepção: 02 Junho 2018
Aprovação: 30 Setembro 2018
Resumo:
Objetivo – Mapear a evolução do conhecimento produzido sobre modelos de negócio (MN) por meio da identificação das abordagens mais empregadas e das obras consideradas mais relevantes pelos acadêmicos, e indicar caminhos para pesquisas futuras.
Método - Bibliometria utilizando análise de citação e cocitação, em 211 artigos selecionados e publicados em 30 periódicos com fator de impacto superior a 1,4.
Originalidade / Relevância – Com o artigo, contribuímos para fortalecer MN como um construto, uma vez que mapeia a estrutura intelectual subjacente ao conceito e pode ser útil como base para possíveis avanços teóricos e para construção de agendas de pesquisas. Como um estudo bibliométrico, ele também contribui para validar as inferências feitas pelos trabalhos qualitativos prévios.
Resultados - Identificamos os trabalhos mais influentes na produção acadêmica sobre MN, a estrutura intelectual, a pesquisa emergente e questões ainda não exploradas. Essas bases conceituais têm sido desenvolvidas usando as lentes teóricas da estratégia, tais como inovação, mudança, contingência, capacidades dinâmicas e teoria de custos de transação. Adicionalmente, identificamos que ainda há espaço para evoluir a elaboração do construto com bases em outras disciplinas.
Contribuições teóricas/metodológicas – Esta pesquisa procurou esclarecer alguns aspectos do tema, principalmente os referentes à ideia da utilização de uma base teórica difusa, complementando assim, trabalhos anteriores. Também contribui para o fortalecimento do MN como um construto, ao mapear a estrutura intelectual que suporta sua base teórica.
Palavras-chave: Modelo de Negócio, Bibliometria, Estratégia, Desempenho.
Abstract:
Objective - To identify the evolution of the knowledge produced on business models (BM) by identifying the most used approaches and the most relevant works by the academics, and also indicate ways for future research.
Method - Bibliometrics using citation and co-citation analysis, in 211 articles selected and published in 30 journals with impact factor higher than 1.4.
Originality / Relevance – In this article, we contribute to strengthen BM as a construct, since we mapped the intellectual structure underlying the concept. We also hope to contribute with possible theoretical advances and for the construction of research agendas, and seek to validate the inferences brought by previous qualitative work.
Results - We identify the most influential works in academic production on BM, intellectual structure, emerging research and issues not yet explored. These conceptual bases have been developed using the theoretical lens of strategy, such as innovation, change, contingency, dynamic capabilities, and Transaction Cost Theory. Additionally, we identified that there is still room to evolve the construction of this construct based in other disciplines.
Theoretical / methodological contributions - We sought to clarify some aspects of the subject, especially those referring to the idea of using a diffused theoretical basis, complementing previous works. Hopefully, we have contributed to the strengthening of BM as a construct, by mapping the intellectual structure that supports its theoretical basis.
Keywords: Business model, Bibliometry, Strategy, Performance.
Palabras clave: Modelo De Negocio, Bibliometría, Estrategia, Desempeño
INTRODUÇÃO
O termo modelo de negócio (MN) é um conceito que ganhou visibilidade tanto no ambiente empresarial, por meio da prática dos gestores, quanto na academia, pelas tentativas de elucidar os conceitos e teorias que o permeiam, objetivando sua transformação em um construto descritivo e analítico (Baden-Fuller, & Morgan 2010; Lambert, & Davidson, 2013). Contudo, alguns aspectos em comum podem ser encontrados nos trabalhos (Wirtz, Pistoia, Ullrich, & Göttel, 2016; Zott, Amit, & Massa, 2011). Há um esforço entre pesquisadores da temática em buscar uma convergência no significado do conceito tanto para a teoria quanto para a prática (DaSilva, & Trkman, 2014; Lambert, & Davidson, 2013; Wirtz et al., 2016; Zott et al., 2011).
Timmers (1998) define MN como um arranjo padrão que contempla produtos, serviços e fluxo de informações, descrevendo os atores envolvidos e seus papéis, assim como os benefícios para esses atores e as fontes de receita do negócio. Magretta (2002) afirma que MN é um sistema que representa como as partes de um negócio operam conjuntamente. Osterwalder, Pigneur e Tucci (2005) definem MN como uma ferramenta conceitual que explica como as empresas fazem negócios e como o negócio em si funciona, considerando questões estratégicas como posicionamento e metas. Para esses autores, o conceito seria a materialização da integração da estrutura e dos sistemas de uma empresa, do valor entregue aos clientes, de como esse valor é entregue e dos aspectos financeiros envolvidos nesse processo (Osterwalder et al., 2005). Adicionalmente, para Zott et al. (2011 p. 1020),
“modelos de negócio enfatizam uma abordagem holística, a nível de sistema, para explicar como as firmas fazem negócios e o conceito pode ser considerado uma nova unidade de análise, com foco nas atividades exercidas pela empresa e seus parceiros, explicando como essas empresas criam e capturam valor”. Demil e Lecoq (2010 p. 227), além de utilizarem o que chamam de uma perspectiva estática para a definição, que considera MN como “a descrição da articulação entre os diferentes componentes do MN ou blocos de construção para produzir uma proposição que possa gerar valor para os consumidores e então para a organização”, ampliam a noção de MN para uma perspectiva dinâmica. Dentro dessa perspectiva, o conceito endereça mudanças voluntárias ou emergentes, bem como a inovação na organização ou no próprio modelo (Demil, & Lecoq, 2010). Outros autores representam o conceito dentro da perspectiva dinâmica e definem MN como “uma representação simplificada e agregada das atividades relevantes de uma companhia” (Wirtz et al., 2016 p. 41), porém passível de revisitação, com o intuito de mudança ou inovação, uma vez que acontecem mudanças não- controláveis tanto internas quanto externas à empresa (Wirtz et al., 2016). O conceito abrange elementos ou componentes tais como relacionamento com clientes, mecanismos de preço, governança, estrutura de custos e preços, parcerias e distribuição de receitas (Osterwalder et al., 2005), que juntos, podem ser considerados a configuração da situação competitiva vigente de uma empresa (Hamel, 2000) e o resultado direto da estratégia, mas não a própria (Casadesus- Masanell, & Ricart, 2010).
Embora o termo MN tenha sido utilizado pela primeira vez na literatura acadêmica em 1957 (Bellman, Clark, Malcolm, Craft, & Ricciardi, 1957), o aumento pelo interesse na temática começou a ocorrer na década de 90, período conhecido como do surgimento da nova economia e também associado à bolha da internet (Osterwalder et al., 2005; DaSilva, & Trkman 2014). Nessa época, as publicações sobre MN estavam atreladas aos negócios eletrônicos (Wirtz et al., 2016; DaSilva, & Trkman, 2014; Zott et al., 2011; Amit, & Zott, 2001; Mahadevan, 2000). Alguns autores observam a tendência do crescimento das publicações sobre MN acompanharem os índices da National Association of Securities Dealers Automated Quotations .NASDAQ) durante a bolha ponto-com, dado que a abertura de capital de empresas com base na internet foi expressiva durante os anos 90 (DaSilva, & Trkman, 2014). O conceito era utilizado, na prática, como forma de materializar negócios virtuais, e assim, chamar a atenção de investidores para esses empreendimentos inovadores (DaSilva, & Trkman, 2014). Os trabalhos acadêmicos dessa época eram focados em negócios de orientação tecnológica, porém sem viés estratégico (Wirtz et al., 2016;DaSilva, & Trkman, 2014).
Como a nova economia revolucionou a forma de se fazer negócios alterando a relação entre clientes e fornecedores, os negócios se tornaram mais centrados no cliente e na proposição de valor que apresentavam a este último (Teece, 2010). Por isso, a partir de 2002, a literatura começa, então, a ser composta por publicações que buscavam firmar suas bases teóricas na disciplina de estratégia, porém ainda com orientação para a prática (Wirtz et al., 2016). Nessa época, o crescimento da literatura sobre MN também é atribuído ao crescimento dos mercados emergentes e o interesse crescente pelo tema base da pirâmide, a partir da publicação do trabalho de C. K. Prahalad (Prahalad, 2004; Casadesus-Masanell, & Ricart, 2010; Zott et al., 2011). A partir de 2010, o interesse se dirige para a expansão das indústrias e para a dependência das organizações das tecnologias pós-industriais (Zott et al., 2011). Há ainda um aumento da preocupação com a dinâmica inerente à necessidade de mudança e inovação das empresas como forma de manter a vantagem competitiva, que variavam de uma perspectiva evolucionária a inovações radicais no MN (Wirtz et al., 2016; Demil, & Lecoq, 2010; Casadesus-Masanell, & Ricart, 2010; Van Putten, & Schief, 2013).
A tendência de crescimento da literatura de MN é observada tanto em periódicos acadêmicos, quanto em periódicos não acadêmicos, principalmente em revistas voltadas para gestores, e a produção acadêmica parece enfrentar um atraso em relação à prática (Zott et al., 2011). É importante ressaltar que o conceito também tem sido utilizado para endereçar questões em diferentes áreas dos estudos sobre gestão e em outras disciplinas, bem como a pesquisa tem evoluído em silos, o que dificulta o acúmulo de conhecimento sobre o conceito (DaSilva, & Trkman, 2014; Zott et al., 2011). A base conceitual utilizada ainda é frágil (Zott et al., 2011) e o campo de pesquisa em MN está em fase de consolidação (Wirtz et al., 2016). Portanto, há a necessidade de definição mais precisa do conceito por meio de pesquisas que fortaleçam as bases teóricas do mesmo e contemplem seus limites a partir de sua relação com outros conceitos ou teorias já estabelecidas na literatura sobre gestão de negócios (Zott et al., 2011; Wirtz et al., 2016).
Neste artigo foram empregadas técnicas bibliométricas em trabalhos publicados em 30 periódicos internacionais da área de gestão de negócios, classificados pelo fator de impacto publicado no portal JCR Social Sciences Edition- 2016. Por meio da busca com o termo business model e suas variações, foram coletados e validados 211 artigos no portal Web of Science da Thomson- Reuters. Os artigos da amostra foram submetidos às análises de frequência de citação e de cocitação. Uma análise fatorial exploratória também foi executada com o objetivo de identificar subcampos de uniformidade conceitual dentro da amostra (Lin, & Cheng, 2010).
Existem algumas revisões sistemáticas da literatura sobre MN e poucos estudos bibliométricos sobre o assunto foram realizados. Zott et al. (2011) fazem uma revisão da literatura, analisando o conceito sob múltiplas lentes e de forma multidisciplinar. Wirtz et al. (2016) revisam a literatura, objetivando mostrar que há algum consenso entre os pesquisadores e atualizam a definição do conceito, bem como a integração entre os seus componentes. Os autores também fazem um levantamento e compilam, de forma qualitativa, dados sobre o estado atual da pesquisa com o intuito de identificar as áreas de foco dos pesquisadores da temática. Bergiante, Santos e Santo Jr (2015),
conduziram um estudo sobre MN e transportes aéreos, com o intuito de mapear a produção acadêmica nas duas áreas. O estudo traz como resultado os principais periódicos, os principais autores e os países de origem dos trabalhos, porém restrito a apenas um segmento e não analisa a base intelectual de MN por meio da análise de citação e cocitação. Não foram encontrados trabalhos nos quais a bibliometria tivesse sido utilizada com o intuito de identificar a estrutura intelectual subjacente ao conceito de MN por meio das análises de citação e cocitação.
Enquanto este trabalho, no que tange ao seu objetivo, assemelha-se aos outros que buscaram entender as bases intelectuais do conceito, ele se diferencia quanto a metodologia empregada. Portanto, este artigo complementa trabalhos existentes que buscam o entendimento do conhecimento acumulado sobre MN ao analisar as publicações por meio de uma metodologia objetiva. O artigo contribui para os esforços já existentes em fortalecer MN como um construto, uma vez que mapeia a estrutura intelectual subjacente ao conceito e pode ser útil como base para possíveis avanços teóricos e para construção de sugestões de pesquisas. Como um estudo bibliométrico, ele também contribui para validar as inferências feitas pelos trabalhos qualitativos prévios. Além disso, como se trata de um campo de estudo em franca expansão, é adequado revisitar os avanços feitos pelas pesquisas periodicamente, com o intuito de entender como as pesquisas têm evoluído (Serra, Ferreira, & Almeida, 2013).
Os resultados identificaram os trabalhos mais influentes na literatura sobre MN e a estrutura intelectual nas quais os mesmos têm se fundamentado. Encontrou-se que as bases conceituais têm sido desenvolvidas sobre as lentes teóricas da estratégia e suas variações, tais como inovação, mudança, contingência, capacidades dinâmicas e teoria de custos de transação (TCT) e que ainda há espaço para evoluir a elaboração do construto com bases em outras disciplinas.
Este artigo está estruturado em seis seções. Seguindo a introdução, a segunda seção fornece uma revisão teórica sobre bibliometria. Na terceira seção são apresentadas as informações sobre a coleta de dados e procedimentos de análise. Na quarta seção, são apresentados os resultados, seguindo-se com a discussão e a conclusão.
Referencial Teórico
A bibliometria é definida por acadêmicos como uma disciplina utilizada em revisões bibliográficas e é empregada para medir a produção acadêmica por meio de publicações, citações e assuntos correlatos (Broadus, 1987). A bibliometria foi popularizada por Pritchard (1969) no artigo “Statistical bibliography or bibliometrics?” no qual descreve o método como um meio estatístico para pesquisas em acervos bibliográficos e em outros meios de comunicação. A finalidade da pesquisa bibliométrica é, resumidamente, caracterizar, quantificar e classificar o conhecimento de uma dada disciplina e é indicada para identificar o modo como está estruturada. Estudos bibliométricos dirigidos a diversas áreas têm sido produzidos, por exemplo, sobre alianças organizacionais (Ferreira, Storopoli, & Serra, 2014), inovação (Fagerberg, Fossas, & Sapprasert, 2012), empreendedorismo em pequenas empresas (Volery, & Mazzarol, 2015) e sustentabilidade (Chabowsky, Mena, & Gonzalez-Padron, 2011).
Os estudos bibliométricos empregam diversas técnicas estatísticas. As mais usuais são as análises de citação e cocitação, que visam identificar e avaliar a relevância dos trabalhos acadêmicos. A análise de citação baseia-se na contagem de vezes em que uma determinada obra é citada por outros acadêmicos. O conceito subjacente é que são citados apenas artigos que tem relação com determinado trabalho e, portanto, quanto mais forem citados maior sua influência na pesquisa do assunto (Tahai, & Meyer, 1999; Ramos-Rodrigues, & Ruiz-Navarro, 2004). A análise de cocitação é uma medida empregada para investigar a similaridade entre dois documentos. Supõe-se que quando documentos são citados conjuntamente, há alguma similaridade conceitual entre eles. Desse modo, artigos sobre um mesmo tema são citados juntos (White, & McCain, 1998). A cocitação pode ser utilizada para tratar referências de artigos em um mesmo periódico (Ramos-Rodriguez, & Ruiz-Navarro, 2004) ou para obras de um único autor (McCain, 1990).
A análise de cocitação também é usada para entender a estrutura intelectual de um tema (McCain, 1990; White, & McCain, 1998), pois documentos cocitados frequentemente formam agrupamentos com conteúdo homogêneo (White, 2011) e revelam padrões de associação entre eles, permitindo o estudo da evolução de um determinado campo. A força da conexão entre os documentos citados é realçada pelo número de ocorrências na amostra (Vogel, & Guttel 2013). A identificação dos agrupamentos é feita por meio da análise fatorial exploratória, usando as cocitações obtidas (Nerur, Rasheed, & Natarajan, 2008; Zupic, & Cater, 2015). No caso deste trabalho, a unidade de análise foi o artigo ou livro utilizado como referência no documento principal que compõe a amostra analisada. Pesquisadores na área de estratégia são familiarizados com análises bibliométricas. Por exemplo, Ramos-Rodriguez, & Ruiz-Navarro (2004) pesquisaram a evolução da análise estratégica em artigos publicados no Strategic Management Journal. Acedo, Barroso, & Galan (2006) investigaram as principais tendências em pesquisas usando a resource-based view e Serra, Ferreira e Almeida (2013) analisaram a produção acadêmica sobre declínio e fracasso organizacional. A bibliometria tem sido usada para delinear fronteiras por meio de percepções sobre a estrutura do assunto pesquisado, redes relacionais e linhas de estudo mais utilizadas (Ramos-Rodríguez, & Ruíz- Navarro, 2004). Adicionalmente, seus resultados podem gerar percepções sobre tendências de pesquisa (Vogel, & Güttel, 2013) e possíveis relações teóricas podem ser extraídas (Grégoire, Noel, Déry, & Béchard, 2006).
Método
Procedimentos da Coleta de Dados
A obtenção dos dados para esta pesquisa foi realizada apenas em periódicos listados no Journal Citation Reports do portal ISI Web of knowledge (isiknowledge.com). Esta base de dados é a mais comumente utilizada por pesquisadores por sua ampla cobertura de publicações de ciências sociais, pois indexa os principais periódicos internacionais (Vogel, & Güttel, 2013). A coleta dos artigos foi realizada com o auxílio da ferramenta de busca do ISI. Foi utilizado o termo “business model*” no campo topic e o * representa todas as variações do termo. O campo topic realiza buscas no título, resumo e palavras-chave dos documentos. Não foi estipulado limite temporal, assim, participaram da coleta todos os artigos listados no portal.
Uma validação preliminar dos artigos coletados realizada pela identificação dos periódicos e leitura dos títulos, resumos e introdução, revelou que nem todos os artigos obtidos serviriam para o propósito desta pesquisa. Alguns artigos eram resumos ou resenhas de outros artigos ou livros ou, ainda, casos específicos em que termo MN era utilizado de forma marginal. Para a seleção final dos artigos, foram adotados três critérios. Primeiro, o artigo precisava trazer o conceito de MN de forma não marginal, ou seja, deveria ser o tema central, seja por meio de uma abordagem inovadora ou de seu relacionamento com outras teorias da administração. Segundo, o documento deveria ter uma aplicação de MN ou abordar seu relacionamento com outros aspectos do negócio da organização. Finalmente, os artigos deveriam ter sua origem em periódicos com fator de impacto maior que um. Como resultado, foi obtida uma amostra de 211 artigos (Tabela 1).

Amostra
A amostra é composta de 211 documentos. Embora a coleta tenha sido efetuada sem delimitação temporal, os artigos coletados situam-se no período de 1997 a 2015. Nesse período, pode ser notada uma tendência crescente de publicações a partir de 2008, com 70% das
publicações (Figura 1). Vale notar na Tabela 1 que a amostra foi composta por periódicos acadêmicos e outros voltados ao público executivo (California Management Review, Harvard Business Review, Mit Sloan e Sloan Management Review). Os artigos desses periódicos não-acadêmicos foram mantidos com a finalidade de realçar a sua relevância (35% da amostra).

Procedimentos de Análise
Nesta pesquisa bibliométrica foram conduzidas as análises de citação, cocitação e análise fatorial exploratória para classificação e ordenação dos dados, comtemplando todos os 211 artigos. Primeiro, foi executada a análise de citação, que tem como objetivo identificar os principais autores, os trabalhos do tema pesquisado e, também, ainda que preliminarmente, as abordagens principais com as quais o assunto é estudado. Essa análise é baseada na extração da referência e contagem de vezes que a mesma é citada por outros trabalhos constantes da amostra.
A segunda análise foi a de cocitação cujo objetivo é o de compreender a estrutura intelectual do tema e os relacionamentos entre autores e teorias (McCain, 1986; Ramos-Rodriguez, & Ruiz-Navarro, 2004). Esta análise contemplou os 30 trabalhos mais citados e foi utilizado o software Ucinet, versão 6 (Borgatti, Everett, & Freeman, 2002) para elaboração da rede de interconexões entre esses trabalhos. As análises de citação e de cocitação foram conduzidas com o software Bibexcel (Pilkington, 2006). A frequência de cocitação, após tratamento com o Microsoft Excel é o input para a análise fatorial exploratória realizada com o software SPSS (versão 20).
O terceiro procedimento foi a execução da análise fatorial exploratória, baseada na análise de cocitação.



Foi utilizada a rotação varimax por ser a que fornece resultado mais facilmente interpretável (Fabrigar, Wegener, & MacCallun, 1999). A análise fatorial agrupa os artigos por sua proximidade temática ou conceitual num mesmo fator, por meio da carga fatorial, que é o indicativo da força com que cada artigo pertence a um fator. Foram consideradas apenas as cargas fatoriais maiores que 0,4, como pré- requisito para a variável pertencer a um fator (Nerur, Rasheed, & Natarajan, 2008; Shafique, 2013). Cada fator representa um subtema de pesquisa do tema principal e é formado pelos trabalhos com maior carga fatorial; por meio da análise de cada componente, é validada a formação do fator e este é nomeado (Lin, & Cheng, 2010)
Resultados Análise de Citação
Os resultados da análise de citação foram agrupados em períodos de cinco anos. A Tabela 2 contém as obras mais citadas no período total (1997- 2015) e também para cada período. As colunas trazem a quantidade de citações em valor absoluto e relativo, baseado na quantidade de trabalhos publicados em cada período. Por exemplo, Amit e Zott (2001) foram citados 50 vezes no período total, ou em 23,7% dos 211 trabalhos.
Alguns pontos merecem ser notados. Primeiro, Amit e Zott, com cinco trabalhos, são os autores mais citados, somando 131 citações nos artigos da amostra. Segundo, a variação da frequência relativa de citações entre períodos, permite inferir o grau de relevância do trabalho. Amit e Zott (2001) é o trabalho que apresentou o maior aumento de relevância entre dois períodos subsequentes (2006-2010 e 2011-2015), indicando a preocupação com a conceituação de MN. Terceiro, a baixa quantidade de referências nos dois primeiros períodos deve-se à grande presença de periódicos não-acadêmicos na composição da amostra (Tabela 3), que geralmente não trazem as referências usadas em seus artigos. A redução da participação deste tipo de periódico na composição da amostra indica que a academia está Apropriando do tema e reconhecendo sua importância. Vale notar que em 2010, foi publicado um número dedicado a MN no Long Range Planning, contendo 20 artigos.

Análise de Cocitação
A análise de cocitação indica a frequência com que um par de trabalhos foi citado simultaneamente nos 211 artigos da amostra. Para demonstrar a interconexão entre as obras, expressa pela cocitação, foi elaborado um diagrama de redes com o uso do software Ucinet, versão 6 (Borgatti, Everett, & Freeman, 2002) para os 30 trabalhos mais citados (ver Tabela 2). Na Figura 2, a espessura das linhas conectando dois trabalhos indica a força da conexão entre eles. Quanto mais espessa, maior é o número de vezes em que foram cocitados. O diâmetro da circunferência indica a frequência de citação de cada trabalho.
Pode ser notada, por exemplo, a força da conexão entre trabalhos que se complementam quanto à definição de MN, indicando a ampla discussão sobre o que é e quais os são os limites de um MN. Assim,
o trabalho de Amit e Zott (2001), que fala sobre a criação de valor como um aspecto fundamental de um MN tem um laço forte com o trabalho de Casadesus-Masanell e Ricart (2010) que procurou diferenciar os conceitos de MN, estratégia e táticas. O trabalho de Amit e Zott (2001) também tem um laço forte com o trabalho de Demil e Lecoq (2010), que alocou em um framework os usos do conceito MN dentro da abordagem estática, ressaltando as interações entre os componentes e a criação de valor e da abordagem dinâmica, como forma de contemplar a evolução possível do MN, promovendo a transformação e renovação da organização. O trabalho de Demil e Lecoq (2010), por sua vez, possui um laço com o trabalho de Nelson e Winter (1982) sobre evolução e adaptação da organização.

Análise Fatorial
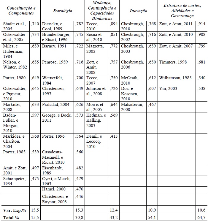
A análise fatorial exploratória, conduzida com as referências usadas pelos documentos da amostra, teve por finalidade obter fatores ou agrupamentos de autores e trabalhos determinados pela similaridade entre eles o que permitiu identificar abordagens e conceitos, definidos pelo conteúdo das obras que compõem cada fator (Acedo et al., 2006; Lin, & Cheng, 2010). As cargas fatoriais representam a força com que cada artigo pertence ao fator. Cada trabalho foi atribuído ao agrupamento em que apresenta a maior carga fatorial, ainda que conceitualmente, ele também possa pertencer a outro fator. Os fatores com maior número de trabalhos possuem um maior poder de explicação da variância da amostra e, portanto, têm maior impacto (Nerur et al., 2008). Os fatores foram nomeados após leitura dos trabalhos que o compõem, para identificação da abordagem que os une (Ramos-Rodriguez, & Ruiz- Navarro, 2004). Foram identificados cinco fatores com uma variância explicada de 64,7% (Tabela 4).

O primeiro fator, tem 12 trabalhos que tratam, sob diversas formas, da conceituação de MN. Os dois trabalhos com maior identificação com o fator, Shafer et al. (2005) e Osterwalder et al. (2005) fazem uma revisão dos principais artigos publicados com o objetivo de esclarecer o termo, uma vez que encontraram grande variedade conceitual e falta de clareza em sua definição, sendo o termo, inclusive, confundido com estratégia ou plano de negócio. Justificaram seus trabalhos pela importância do assunto para a academia e para os executivos e Osterwalder et al. (2005) apresentaram um passo-a- passo para elaboração de um modelo e identificação de seus componentes, fato posteriormente reforçado com a publicação de um livro (Osterwalder, & Pigneur, 2010). Outros trabalhos trazem aspectos complementares à conceituação do termo, como Porter (1980, 1985) sobre estratégia, vantagens competitivas e configuração da cadeia de valor, afirmando que os mecanismos de criação de valor vão além das inovações contempladas na lógica Schumpeteriana (Schumpeter, 1934), englobando alianças estratégicas e exploração de competências essenciais da organização. Markides e Charitou (2004) e Markides (2008) afirmam que o MN representa uma fonte de vantagem competitiva e discorreram sobre a necessidade de uma organização que está ameaçada por concorrentes ou por mudanças ambientais, criar estratégias para a coexistência de dois MN durante um período de transição, como forma de sustentar sua vantagem competitiva.
O segundo fator apresenta obras cujo ponto em comum são abordagens relacionadas à estratégia. O conceito de MN preconiza a necessidade de criação de valor, com a utilização dos recursos e capacidades idiossincráticos da organização. Desse modo há uma ênfase em usar a resource-based view (RBV). A este fator pertencem alguns trabalhos sobre RBV, a saber: Dierickx e Cool (1989); Barney (1991); Penrose (1959) e Wernerfelt (1984). Outros trabalhos sobre formulação estratégica também estão no fator como Brandemburger e Stuart (1996), que ensaiam sobre a criação de valor por meio da assimetria entre organizações. Estratégias de inovação para abertura de novos mercados ou entrada em mercados emergentes estão presentes nos trabalhos de Christensen (1997), Christensen e Raynor (2003) e Prahalad (2004). O trabalho de Casadesus-Masanell e Ricart (2010) procura elucidar as diferenças entre MN, estratégia e táticas, conceitos muitas vezes confundidos entre acadêmicos e executivos.
O terceiro fator traz artigos que tratam o MN sob dois aspectos complementares, a abordagem contingencial e a natureza dinâmica e em constante evolução de um MN. Perturbações ambientais, inovações ou alterações no ambiente competitivo, provocam alterações na estratégia da organização e, dada sua inter-relação, no MN. Teece (2010) afirma que a economia não tem se dedicado à exploração do conceito, principalmente pelo pressuposto aceito de que os mercados são perfeitos ou estão muito próximos disso, porém, a tecnologia da informação alterou substancialmente as possibilidades de criação de valor. Afirma ainda que toda empresa possui um MN, mesmo que não seja explícito e reforça a importância da tecnologia da informação na receita e nos custos fixos. Sendo assim, temas como competição, inovação e comportamento dos mercados e sua relação com MN devem ser melhor explorados e, de forma multidisciplinar (Teece, 2010). Sosna et al. (2010) abordam a importância da experimentação de novos modelos de negócio motivados pelas turbulências ambientais, o que traz como resultado a aprendizagem organizacional por meio de tentativa-e-erro e o ajuste do modelo para um novo contexto. Magretta (2002) afirma que um MN conta a história de como a organização funciona. Afirma ainda que o MN não contempla o como lidar com a competição e com as perturbações ambientais, sendo necessário que a organização encontre meios distintivos de competir e sobreviver por meio da estratégia. Zott e Amit (2008) analisam os efeitos da estratégia e da escolha do MN sobre o desempenho, considerando que o MN pode representar a estrutura dentro de uma abordagem contingencial. Johnson et al. (2008) promovem uma discussão sobre qual é o momento certo para que uma organização altere seu MN. Os autores afirmam que é necessário observar atentamente o ambiente e que o esforço só vale a pena se o novo modelo alterar a lógica da indústria ou mercado.
Reforçando a caraterística de mudança inerente às abordagens contingenciais, o trabalho de Teece (2007) sobre o dinamismo do ambiente de negócios e a necessidade da organização desenvolver as capacidades dinâmicas como forma de sustentar sua vantagem competitiva. Já Morris et al. (2005), se preocupam em explorar os pressupostos teóricos do MN, como forma de avançar nas pesquisas sobre como o MN surge e evolui com o tempo. Por fim, Demil e Lecoq (2010) afirmam que a evolução do MN é um processo de refinamento vinculado à capacidade de uma organização em construir e manter seu desempenho enquanto muda seu MN.
O quarto fator traz trabalhos oriundos da temática inovação, destacando-se os trabalhos de Henry Chesbrough. As organizações investem em inovações tecnológicas, mas relutam em renovar seus modelos de negócio, comprometendo o aproveitamento das oportunidades que emergem a partir dessas inovações, uma vez que essa inovação, por si só, não tem um valor inerente. A inovação no MN é de grande importância no desempenho e competitividade das organizações, pois permite a apropriação da inovação tecnológica e das formas de fazer negócio que surgem, bem como propiciam o constante questionamento dos limites da organização. Chesbrough (2010) trata das oportunidades e das barreiras para inovar o MN e apresenta formas de neutralizá-las. O papel do MN na criação de valor e captura de benefícios de inovações tecnológicas é abordado por Chesbrough e Rosenbloom (2002). Os trabalhos de Chesbrough (2003; 2006) elucidam a importância da inovação aberta e a necessidade dos modelos de negócio estarem preparados para sua comtemplá-la. McGrath (2010) aborda o MN como um direcionador de novas descobertas, reforçando o papel de experimentação e de aprendizagem.
O quinto fator aborda aspectos do papel do MN relacionados à estrutura de custos, atividades e governança das organizações. As transações são aspectos críticos do MN, pois influenciam diretamente sua eficiência e a captura do valor gerado e compartilhado pelos atores envolvidos. O trabalho com maior identificação com o fator é o de Zott e Amit (2011) que, por meio de uma revisão de trabalhos anteriores, busca unificar a definição do termo. Concluem que MN é uma nova unidade de análise, um conceito em nível de sistema, centrado em atividades e focado em valor. Zott e Amit (2010) conceituam MN dentro de uma perspectiva de um sistema de atividades interdependentes, que acontecem não apenas dentro de uma organização, mas que transpassam suas fronteiras, uma vez que envolve atividades ou trocas com parceiros. O trabalho de Zott e Amit (2007) tem como foco as transações que ocorrem nas fronteiras da organização e sua relação com o desempenho a partir de negócios centrados na eficiência e negócios centrados na novidade, indicando que eficiência e novidade dificilmente podem ser incorporadas no mesmo modelo e gerarem bons resultados. Timmers (1998) define MN como uma arquitetura que considera vários atores e seus papéis, bem como descreve os benefícios para esses vários atores envolvidos. Por fim, o trabalho clássico de Williamson (1985), pertencente à nova economia institucional, que aborda os custos de transação e assuntos como integração vertical e governança vinculados à eficiência.
Discussão
Este trabalho teve como objetivo mapear a situação atual das pesquisas sobre MN por meio da identificação das abordagens mais empregadas e das obras consideradas mais relevantes pelos acadêmicos devido a sua utilização como referência em seus trabalhos. Para tal foi conduzida uma bibliometria, usando análise de citação, de cocitação e análise fatorial, que são consideradas técnicas apropriadas para o propósito deste trabalho. Esta pesquisa foi realizada numa amostra de 211 trabalhos sobre MN obtida em periódicos de gestão de negócio com alto fator de impacto.
O estudo também preenche uma lacuna na pesquisa sobre MN uma vez que é uma ampla pesquisa bibliométrica sobre o tema. De modo diverso, existem várias revisões de literatura com propósitos específicos, como identificar multiplicidade de definições (Wirtz et al., 2016; Zott, & Amit, 2011), de componentes (Morris et al., 2005)), ou ainda, especificamente bibliometrias que abordam a relação de MN e segmentos de negócio, tais como setor de aviação (Bergiante et al., 2015) e planos de saúde (Schatinger, Miles, Saritas, Amanaditou, Giesecke, Heller-Schuh, Pombo- Juarez, & Schreir, 2015) ou com uma área temática, como o marketing (Coombes, & Nicholson, 2013).
Como o interesse pelo tema é relativamente novo, a literatura é caracterizada por falta de clareza sobre a definição do conceito, o que pode gerar alguma confusão sobre sua utilização e seu papel na rotina das organizações. O desacordo conceitual é esperado durante a fase emergente de uma nova ideia potencialmente importante (Gladwin, Kennelly, & Krause, 1995). Alguns autores afirmam que é um construto que se situa ainda no campo da prática e com pouca preocupação por parte dos pesquisadores em revelar os pressupostos teóricos e metodológicos que o norteiam (Meirelles, 2015). Portanto, esta pesquisa procurou esclarecer alguns aspectos do campo, principalmente os que são vinculados à ideia de uma base teórica difusa, complementando, assim inferências feitas por trabalhos anteriores. O trabalho também contribui para o fortalecimento do MN como um construto, ao mapear a estrutura intelectual que suporta sua base teórica.
Embora afirme-se que MN é um conceito que tem suas bases estabelecidas de forma multidisciplinar (Wirtz et al., 2016), verifica-se que, essencialmente essas mesmas bases estão fortemente associadas às mais diversas correntes da literatura em Estratégia. Fica evidente no agrupamento dos fatores que, embora estejam associados a temáticas distintas, as mesmas são exclusivamente de Estratégia, ou fortemente relacionadas a ela.
A literatura sobre a RBV norteia alguns dos pressupostos conceituais do termo MN, uma vez que os recursos devem ser construídos e mobilizados de forma que a organização entregue sua proposta de valor. Considerando que a captura de valor está associada à vantagem competitiva e à forma distintiva de uma empresa competir no mercado, os recursos idiossincráticos preconizados pela RBV são essenciais para o MN. Os pressupostos da Organização Industrial também compõem as bases do conceito, por considerar questões de criação de valor, análise da cadeia de valor e estratégias de posicionamento.
A mesma lógica se aplica às abordagens de mudança, contingência e capacidades dinâmicas. As capacidades dinâmicas nascem como um aprimoramento da RBV, considerando que não apenas os recursos idiossincráticos, mas que também as capacidades distintivas da organização para responder às mudanças são essenciais para sua sustentabilidade ou sobrevivência quando ocorrem perturbações ambientais.
Quanto às abordagens de inovação, verifica-se que as inovações tecnológicas podem levar à inovação também no MN, reconfigurando o fluxo de atividades e as capacidades, exigindo que a organização experimente e aprenda. Há, portanto, uma relação com questões de aprendizagem e dependência da trajetória, o que está relacionado à formulação estratégica da empresa e, por consequência influencia na escolha do MN.
O mesmo acontece com as abordagens sobre estrutura de custos, atividades e governança. Embora apareça apenas um trabalho explicitamente vinculado à TCT (Williamson, 1985), os autores carregados nesse agrupamento tratam MN como um sistema de atividades e transações que têm foco na eficiência, na novidade, na complementariedade de recursos e no aprisionamento de parceiros (lock-in). Esses aspectos são contemplados e amplamente discutidos e testados dentro da temática da TCT, que considera as transações como aspectos que influenciam a eficiência. A eficiência, por sua vez, está associada ao quanto uma organização pode criar e se apropriar do maior valor possível.
Sendo assim, a base conceitual da literatura sobre MN vale-se essencialmente de pressupostos preconizados pela RBV e seus spin-offs .knowledge- based view e capacidades dinâmicas), em um corpo de conhecimento denominado resource based theory (RBT) e pela TCT, que são teorias das quais a Estratégia se apropriou. Isso leva ao questionamento de quão difuso e multidisciplinar é o conceito de MN no que tange à sua fundamentação teórica.
Há de se ressaltar nos resultados, a existência de trabalhos importantes e amplamente utilizados na academia voltados para metodologias qualitativas, tais como Eisenhardt (1989), Yin (2001) e Miles e Huberman (1994). O trabalho de Eisenhardt (1989) aparece como a décima referência mais citada. A proposta da autora tem como inspiração metodológica os trabalhos de Yin (1984) e Miles e Huberman (1984) e é um método com orientação epistemológica baseado nos pressupostos pós- positivistas para estudos de caso. O método visa ainda desenvolver teorias nomotéticas que assumam proposições testáveis, por meio da busca por fatos, o que pode permitir generalização através de padrões percebidos (Langley, & Abdalah, 2011). Isso pode indicar que há a predominância da ontologia realista e da orientação pós-positivista no campo de pesquisa. Ressalta-se também que esse método é utilizado para o estudo de fenômenos pouco conhecidos ou de fenômenos que possuem perspectivas conflitantes (Langley, & Abdalah, 2011), o que indica ser o caso no campo de MN. Muitos artigos utilizam múltiplos casos, inclusive, apenas para ilustrar as suas propostas por meio de fatos.
Uma vez que os apelos da RBT e da TCT são, respectivamente, sustentar vantagem competitiva e eficiência e o conceito MN trabalha a questão da criação e apropriação de valor por meio de um sistema de atividades, avanços teóricos podem ser esperados com a difusão da pesquisa para outras temáticas, tanto dentro da disciplina Estratégia quanto em outras. Por exemplo, a temática com foco em stakeholders tem muito a somar no que tange a processos colaborativos e adoção e implementação de atividades e práticas organizacionais que compõem o MN. A abordagem da estratégia como prática, que dentro de uma lógica processual, se preocupa em como a formulação estratégica evolui no tempo e o significado desse processo para os atores envolvidos, também pode ser útil para avançar com o conceito, principalmente no que tange à inovação no MN. Questões de sustentabilidade poderiam ser melhor endereçadas e conceitos como valor social poderiam ser considerados na criação de valor. Os Estudos Organizacionais, por exemplo, podem contribuir com insights no que tange à mudança e legitimação, quando da emergência ou da inovação de um MN.
A exemplo do que aconteceu com a RBT, o conceito MN pode se beneficiar muito de uma multidisciplinaridade e gerar spin-offs, se fortalecendo como construto e quiçá, assumindo o status de teoria como aconteceu com a primeira.
Limitações e Sugestões para Pesquisas Futuras
Este estudo não pretendeu uma visão exaustiva, mas representativa e com considerável impacto acadêmico sobre a pesquisa em MN. Contudo, apresenta limitações inerentes à bibliometria. A primeira limitação está associada aos periódicos. Embora tenhamos selecionados periódicos com alto fator de impacto na área de gestão, eles não cobrem os mais recentes avanços no tema, que por sua vez, podem estar acontecendo em teses ou working papers. Sendo assim, há a possibilidade de replicação, ampliando a busca na literatura. Ainda, há a possibilidade de analisar apenas a produção brasileira sobre MN, já que não encontramos trabalhos nacionais em nossa análise.
Outra limitação específica da bibliometria está relacionada ao fato de que a contagem de citações se restringe às referências empregadas pelos autores nos trabalhos da amostra, mas não considera sob qual contexto as referências foram empregadas. Embora tenhamos realizado uma leitura aprofundada dos trabalhos, nosso objetivo não foi esgotar a interpretação individual de cada um deles. Em estudos bibliométricos, os autores se limitam a apresentação das ideias centrais. Contudo, a bibliometria não é uma forma de substituir uma revisão qualitativa da literatura e, sim, um complemento ou, ainda, uma ferramenta direcionadora para as revisões qualitativas. Por isso, trabalhos futuros poderiam explorar nossos resultados por meio de uma revisão sistemática, visando identificar, por exemplo, variáveis dependentes e independentes, contextos ambientais e atributos organizacionais ou individuais que orientam a tomada de decisão estratégica e suas relações com o MN.
Conclusão
O objetivo dos estudos bibliométricos é mapear a literatura, seja para examinar a estrutura intelectual, o conhecimento acumulado sobre um tema ou evocar suas tendências de pesquisa, tal como feito neste estudo. Eles são bons complementos para outras formas de revisão da literatura porque possibilitam o manuseio de uma grande quantidade de dados bibliográficos e, além disso, permitem delinear o escopo e a abrangência de um tema ou campo.
Os resultados de uma bibliometria são úteis tanto para estudantes estranhos a um campo de estudo, quanto para pesquisadores já familiarizados com ele. Para os estudantes, os estudos bibliométricos ampliam a visão do tema pois evidenciam os trabalhos mais importantes, tendências e evoluções teóricas. Para os pesquisadores mais experientes, eles fornecem oportunidades de aprofundamento nas pesquisas. Este trabalho, portanto, tem implicações para a academia e para a gestão. Para a academia por indicar caminhos para a consolidação de um novo campo de pesquisa e para a gestão por elucidar o potencial do MN como um meio de obter desempenhos sempre crescentes.
Referências
Acedo, F., Barroso, C., & Galan, J. (2006). The resource-based theory: dissemination and main trends. Strategic Management Journal, 27(7), 621–636.
Amit, R., & Zott, C. (2001). Value creation in e‐ business. Strategic Management Journal, 22(6‐7), 493- 520.
Baden-Fuller, C., & Morgan, M. (2010). Business models as models. Long range planning, 43(2), 156- 171.
Barney, J. (1991). Firm Resources and Sustained Competitive Advantage. Journal of Management, 17(1), 99–120.
Bellman, R., Clark, C. E., Malcolm, D. G., Craft, C. J., & Ricciardi, F. M. (1957). On the construction of a multi-stage, multi-person business game.Operations Research, 5(4), 469-503.
Bergiante, N., Santos, M., & Santo Jr, R. (2015). Bibliometric study of the relationship between business model and air transport. Scientometrics, 105(2), 941- 958.
Borgatti, S., Everett, M., & Freeman, L. (2002). Ucinet for Windows: Software for Social Network Analysis. Harvard, MA: Analytic Technologies.
Brandenburger, A., & Stuart, H. (1996). Value‐ based business strategy. Journal of Economics & Management Strategy, 5(1), 5-24.
Broadus, R. (1987). Toward a definition of “bibliometrics.” Scientometrics, 12(5-6), 373–379.
Casadesus-Masanell, R., & Ricart, J. (2010). From strategy to business models and onto tactics. Long Range Planning, 43(2), 195-215.
Chabowski, B., Mena, J, & Gonzalez-Padron, T. (2011). The structure of sustainability research in marketing, 1958-2008: a basis for future research opportunities. Journal of the Academy of Marketing Science, 70, 39-55.
Chesbrough, H. (2006). Open Business Models.Boston, MA: Harvard Business School Press.
Chesbrough, H. (2003). Open Innovation: The New Imperative for Creating and Profiting from Technology. Boston, MA: Harvard Business School Press.
Chesbrough, H. (2010). Business model innovation: opportunities and barriers. Long Range Planning, 43(2), 354-363.
Chesbrough, H., & Rosenbloom, R. (2002). The role of the business model in capturing value from innovation: evidence from Xerox Corporation's technology spin‐off companies. Industrial and Corporate Change, 11(3), 529-555.
Christensen, C. M. (1997). The Innovator’s Dillemma. Cambridge, MA: Harvard Business School Press.
Christensen, C., & Raynor, M. (2003). The Innovator's Solution. Boston, Ma: Harvard Business School Press.
Coombes, P. H., & Nicholson, J. D. (2013). Business models and their relationship with marketing: A systematic literature review. Industrial Marketing Management, 42(5), 656-664.
Cyert, R., & March, J. (1963). A Behavioral Theory of the Firm. Englewood Cliffs, NJ: Prentice-Hall.
DaSilva, C., & Trkman, P. (2014). Business model: what it is and what it is not. Long Range Planning, 47(6), 379-389.
Demil, B., & Lecocq, X. (2010). Business model evolution: in search of dynamic consistency. Long Range Planning, 43(2), 227-246.
Dierickx, I., & Cool, K. (1989). Asset stock accumulation and sustainability of competitive advantage. Management Science, 35(12), 1504–1512.
Doz, Y. L., & Kosonen, M. (2010). Embedding strategic agility: A leadership agenda for accelerating business model renewal. Long Range Planning, 43(2), 370-382.
Eisenhardt, K. (1989). Building Theories from Case Study Research. Academy of Management Review, 14(4), 532–550.
Eisenhardt, K., & Martin, J. (2000). Dynamic capabilities: what are they? Strategic Management Journal, 21(10-11), 1105–1121.
Fabrigar, L. R., Wegener, D., MacCallum, R. C., & Strahan, E. J. (1999). Evaluating the use of exploratory factor analysis in psychological research. Psychological Methods, 4(3), 272–299.
Fagerberg, J., Fosaas, M. and Sapprasert, K. ( 2012). Innovation: Exploring the knowledge base. Research Policy 41, 1132-1153.
Ferreira, M., Storopoli, E., & Serra, F. (2014). Two decades of research on strategic alliances: analysis of citations , co-citations and themes researched. RAC, 18, 109–133.
George, G., & Bock, A. (2011). The business model in practice and its implications for entrepreneurship research. Entrepreneurship Theory and Practice, 35(1), 83-111.
Gladwin, T., Kennelly, J., & Krause, T. (1995). Shifting paradigms for sustainable development: Implications for management theory and research. Academy of Management Review, 20(4), 874-907.
Hamel, G. (2000). Leading the revolution. 2000. Boston: Harvard Business School.
Hedman, J., & Kalling, T. (2003). The business model concept: theoretical underpinnings and empirical illustrations. European Journal of Information Systems, 12(1), 49-59.
Johnson, M. W., Christensen, C. M., & Kagermann,H. (2008). Reinventing your business model. Harvard Business Review, 86(12), 57-68.
Lambert, S., & Davidson, R. (2013). Applications of the business model in studies of enterprise success, innovation and classification: An analysis of empirical research from 1996 to 2010. European Management Journal, 31(6), 668-681.
Langley, A., & Abdallah, C. (2011). Templates and turns in qualitative studies of strategy and management. Research methodology in strategy and management, 6, 201-235
Lin, T., & Cheng, Y. (2010). Exploring the knowledge network of strategic alliance research: A co-citation analysis. International Journal of Electronic Business Management, 8(2), 152–160.
Magretta, J. (2002). Why business models matter.Harvard Business Review, 80(5), 86–87.
Mahadevan, B. (2000). Business models for Internet-based e-commerce: An anatomy. California management review, 42(4), 55-69.
Markides, C. (2008). Game-changing strategies. How to Create New Market-Space in Established Industries by Breaking the Rules. San Francisco.
Markides, C., & Charitou, C. (2004). Competing with dual business models: A contingency approach. The Academy of Management Executive, 18(3), 22-36.
McCain, K. (1986). Cocited author mapping as a valid representation of intellectual structure. Journal of the American Society for Information Science, 37(3), 111–122.
McCain, K. (1990). Mappping authors in intellectual space: A technical overview. Journal of the American Society for Information Science, 41(6), 433– 443.
McGrath, R. G. (2010). Business models: a discovery driven approach. Long Range Planning, 43(2), 247-261.
Meirelles, D. (2015). Modelo de negócio: definições, controvérsias e uma proposta de fundamentação teórica e metodológica. Anais do Encontro da Associação Nacional de Pós-Graduação e Pesquisa em Administração, Belo Horizonte, MG, Brasil, 39.
Miles, M., & Huberman, A. (1994). Qualitative data analysis: An expanded sourcebook. New York: Sage.
Morris, M., Schindehutte, M., & Allen, J. (2005). The entrepreneur's business model: toward a unified perspective. Journal of business research, 58(6), 726- 735.
Nelson, R., & Winter, S. (1982). An Evolutionary Theory of Economic Change. Cambridge, MA: The Belknap Press.
Nerur, S., Rasheed, A., & Natarajan, V. (2008). The intellectual structure of the strategic management field: An author co-citation analysis. Strategic Management Journal, 29, 319–336.
Osterwalder, A., & Pigneur, Y. (2010). Business Model Generation: a Handbook for Visionaries, Game Changers, and Challengers. New York: John Wiley & Sons.
Osterwalder, A., Pigneur, Y., & Tucci, C. (2005). Clarifying business models: Origins, present, and future of the concept. Communications of the Association for Information Systems, 16(1), 1.
Penrose, E. (1959). The Theory of the Growth of the Firm. White Plains, NY: M.E. Sharpe.
Pilkington, A. (2006). Bibexcel – Quick Start Guide to Bibliometrics and Citation Analysis.
Porter, M. (1980). Competitive Strategy. New York: Free Press - Simon & Schuster Inc.
Porter, M. (1985). Competitive Advantage. New York: Free Press.
Porter, M. (1996). What is strategy?. Harvard Business Review, 74(6), 61-78.
Prahalad, C. (2004). The Fortune at the Bottom of the Pyramid: Eradicating Poverty Through Profits. Upper Saddle River, NJ: Wharton School Pub.
Pritchard, A. (1969). Documentation Notes. Journal of Documentation, 25(4), 348–349.
Ramos-Rodríguez, A., & Ruíz-Navarro, J. (2004). Changes in the intellectual structure of strategic management research: a bibliometric study of the Strategic Management Journal, 1980–2000. Strategic Management Journal, 25(10), 981–1004.
Schartinger, D., Miles, I., Saritas, O., Amanaditou, E., Giesecke, S., Heller-Schuh, B., Pompo-Juarez, L., & Schreier, G. (2015). Personal health systems technologies: critical issues in service innovation and diffusion. Technology Innovation Management Review, february, 46-57.
Schumpeter, J. (1934). The Theory of Economic Development. Cambridge, MA: Harvard University Press.
Serra, F., Ferreira, M., & Almeida, M. (2013). Organizational decline: a yet largely neglected topic in organizational studies. Management Research: The Journal of the Iberoamerican Academy of Management, 11(2), 133–156.
Shafer, S., Smith, H., & Linder, J. (2005). The power of business models. Business Horizons, 48(3), 199-207.
Shafique, M. (2013). Thinking inside the box? Intellectual structure of the knowledge base of innovation research (1988–2008). Strategic Management Journal, 34, 62–93.
Sosna, M., Trevinyo-Rodríguez, R., & Velamuri, S. (2010). Business model innovation through trial-and- error learning: The Naturhouse case. Long Range Planning, 43(2), 383-407.
Tahai, A., & Meyer M. (1999). A revealed preference study of management journals’ direct influences. Strategic Management Journal. 20(3), 279–296.
Teece, D. (2007). Explicating dynamic capabilities: the nature and microfoundations of (sustainable) enterprise performance. Strategic Management Journal, 28, 1319–1350.
Teece, D. (2010). Business models, business strategy and innovation. Long Range Planning, 43(2), 172-194.
Teece, D., Pisano, G., & Shuen, A. (1997). Dynamic Capabilities and Strategic Management. Strategic Management Joumal, 18(7), 509–533.
Timmers, P. (1998). Business models for electronic markets. Electronic Markets, 8(2), 3-8.
Tripsas, M., & Gavetti, G. (2000). Capabilities, cognition, and inertia: Evidence from digital imaging. Strategic Management Journal, 21(10-11), 1147-1161.
Van Putten, B. J., & Schief, M. (2013). The Relation Between Dynamic Business Models and Business Cases. In Supporting Reuse in Business Case Development(pp. 118-133). Springer Fachmedien Wiesbaden.
Vogel, R., & Güttel, W. (2013). The dynamic capability view in strategic management: A bibliometric review. International Journal of Management Reviews, 15(4), 426–446.
Volery, T, & Mazzarol, T. (2015). The evolution of the small business and entrepreneurship field: a bibliometric investigation of articles published in the International Small Business Journal. International Small Business Journal, 33(4), 374-396.
Wernerfelt, B. (1984). A resource-based view of the firm. Strategic Management Joumal, 5(2), 171–180.
White, H. (2011). Scientific and Scholarly Networks. In P. J. Carrington & J. Scott (Eds.), The Sage Handbook of Social Network Analysis (pp. 271– 285). London: SAGE Publications.
White, H., & McCain, K. (1998). Visualizing a discipline: An author co-citation analysis of information science, 1972–1995. Journal of the American Society for Information Science, 49(4), 327– 355.
Williamson, O. (1985). The Economic Institutions of Capitalism. New York: Free Press.
Wirtz, B. W., Pistoia, A., Ullrich, S., & Göttel, V. (2016). Business models: origin, development and future research perspectives. Long Range Planning, 49, 36-54.
Yin, R. (2001). Estudo de Caso - Planejamento e Métodos (2. ediçao.). Porto Alegre: Bookman. Zott, C., & Amit, R. (2007). Business model design and the performance of entrepreneurial firms. Organization Science, 18(2), 181-199.
Zott, C., & Amit, R. (2008). The fit between product market strategy and business model: implications for firm performance. Strategic Management Journal, 29(1), 1-26.
Zott, C., & Amit, R. (2010). Business model design: an activity system perspective. Long Range Planning, 43(2), 216-226.
Zott, C., Amit, R., & Massa, L. (2011). The business model: recent developments and future research. Journal of Management, 37(4), 1019-1042.
Zupic, I, Cater, T. (2015). Bibliometric Methods in Management and Organization. Organization Research Methods, 18(3), 429-472.