Sonda de foley transcervical o misoprostol vaginal para la inducción del parto en embarazos a término: un estudio al azar
Transcervical foley catheter or vaginal misoprostol for induction of term pregnancy labor: a randomized triaL
Sonda de foley transcervical o misoprostol vaginal para la inducción del parto en embarazos a término: un estudio al azar
Avances en Biomedicina, vol. 5, núm. 3, pp. 129-137, 2016
Universidad de los Andes
Recepción: 16 Abril 2016
Aprobación: 22 Octubre 2016
Resumen: El objetivo de la investigación fue comparar la efectividad de la sonda de Foley transcervical con misoprostol vaginal en la inducción del parto en embarazos a término. Se seleccionaron y asignaron al azar pacientes para ser tratadas con sonda de Foley transcervical (grupo Foley) o misoprostol vaginal (grupo misoprostol) que asistieron para maduración cervical e inducción del parto en el Hospital Central “Dr. Urquinaona”, Maracaibo, Venezuela. Se evaluaron intervalo entre el inicio de la inducción y el parto, tasa de parto vaginal, complicaciones maternas, variables perinatales y efectos adversos. Las pacientes del grupo Foley presentaron un intervalo significativamente mayor desde el inicio de la inducción hasta el parto comparado con las pacientes del grupo misoprostol (p < 0,05). No se encontraron diferencias significativas con relación a la tasa de partos vaginales entre los grupos (p = ns). Los recién nacidos de las pacientes del grupo Foley presentaron valores promedio significativamente mayores de Apgar al minuto y a los 5 minutos al compararlos con el grupo Foley (p < 0,05). El efecto adverso más común en ambos grupos fue náuseas, pero no se encontraron diferencias estadísticamente significativas entre los grupos en la frecuencia de efectos adversos (p = ns). Se concluye que el uso sonda de Foley transcervical es tan efectivo como el misoprostol vaginal en la inducción de parto en embarazos a término.
Palabras clave: Sonda de Foley, Misoprostol, Inducción del parto, Embarazo a término.
Abstract: The objective of research was to compare the effectiveness of transcervical Foley catheter with vaginal misoprostol for labor induction in term pregnancies. Patients undergoing cervical ripening and induction of labor were selected and randomly assigned to be treated with transcervical Foley catheter (Foley group) or vaginal misoprostol (misoprsotol group) who attended to cervical maturation and labor induction at Hospital Central “Dr. Urquinaona”, Maracaibo, Venezuela. Interval between beginning of induction to delivery, vaginal birth rate, maternal complications perinatal variables and adverse effects were evaluated. Patients of Foley group showed a longer interval between beginning of induction to delivery compared with patients in misoprostol group (p < 0.05). There was no significant difference in vaginal birth rate between groups (p = ns). Newborns in Foley group had significantly higher mean value of Apgar scores at 1 minute and 5 minutes compared with those in misoprostol group (p < 0.05). The most common adverse effect in both groups was nausea, but there were no significant differences between groups in frequency of adverse effects (p = ns). It is concluded that use of transcervical Foley catheter is as effective as vaginal misoprostol for induction of labor in term pregnancy
Keywords: Foley catheter, Misoprostol, Labor induction, Term pregna.
Introducción
La inducción del parto debe ser simple, segura, efectiva y preferiblemente no invasiva. El éxito de la inducción depende en gran medida de la consistencia y configuración del cuello uterino (1). La inducción del parto con cuello desfavorable generalmente produce un parto prolongado o fallo en la inducción, lo cual está asociado con aumento de la morbimortalidad materna y fetal. Por otra parte, la maduración iatrogénica de un cuello desfavorable acortaría el parto y disminuiría la incidencia de inducciones fallidas y complicaciones perinatales (2).
A mediados de la década del 80, un metilanálogo sintético de la prostaglandina E1, el misoprostol, empezó a utilizarse en la práctica obstétrica, después de ser introducido comercialmente para el tratamiento de la ulcera péptica asociada al consumo de analgésicos no esteroideos (3). En la actualidad, el misoprostol es el agente farmacológico más comúnmente utilizado para la maduración del cuello uterino desfavorable y para la inducción del parto (4). Sin embargo, su uso está asociado a absorción variable, efectos irreversibles, repuesta clínicas impredecibles, efectos adversos (vómitos, diarrea, taquicardia, broncoespasmo) e infección. Se ha estimado que más del 10% de las pacientes tratadas con este agente desarrollan alteraciones de la contractilidad uterina durante algún momento del tratamiento (5-7).
Los métodos mecánicos estimulan la liberación de prostaglandinas y oxitocina secundarias a distención e inflamación localizada, mejorando las condiciones cervicales y promoviendo la aparición de contracciones uterinas (8). Cuando las embarazadas con bajos puntajes de Bishop y cuello desfavorable son tratadas con sonda de Foley, esto ayuda a la maduración cervical y a la inducción del parto. Embrey y col. (9) fueron los primeros en describir el uso de la sonda de Foley en la maduración del cuello uterino. Posteriormente, Ifnan y col. (10) documentaron su efectividad en el incremento del puntaje de Bishop en pacientes con cuello desfavorable. También se ha descrito que cuando la sonda se coloca en forma extraamniótica mejora la capacidad de inducción del parto (11, 12).
Diferentes Investigaciones han comparado el uso del misoprostol vaginal o sonda de Foley transcervical y encontraron que el primero era más efectivo para mejorar la longitud y consistencia cervical, mientras que la segunda mejoraba la dilatación del orificio cervical durante la pre-inducción de la maduración cervical (13). Otro estudio encontró que el efecto de maduración del cuello uterino de la sonda de Foley era similar al misoprostol vaginal, sin complicaciones atribuibles al tratamiento y se consideró que el método mecánico tenía ventajas por ser fácil de utilizar, económica y disponible fácilmente (11). A parte de estos informes, los estudios clínicos disponibles son escasos y tienen resultados contradictorios sobre los posibles beneficios de la sonda de Foley para la inducción del parto al compararla con las prostaglandinas vaginales. Por lo antes expuesto el objetivo de la investigación fue comparar la efectividad de la sonda de Foley transcervical con misoprostol por vía vaginal en la inducción de parto en embarazos a término.
Materiales y métodos
Se seleccionaron y asignaron al azar pacientes embarazadas para ser tratadas con sonda de Foley transcervical (grupo Foley) o misoprostol vaginal (grupo misoprostol) atendidas entre marzo de 2014 y marzo de 2016 en el servicio de Obstetricia del Hospital Central “Dr. Urquinaona”, Maracaibo, Venezuela. Los números para la asignación a cada grupo de tratamiento fueron generados con una tabla de números al azar. Se usó un sistema de sobres sellados que contenían la ubicación de cada paciente a los grupos de tratamiento. Los sobres fueron abiertos al momento del inicio de cada uno de los tratamientos. La investigación fue aprobada por el Comité de Ética e Investigación del hospital y se obtuvo autorización por escrito de todas las pacientes
Selección de las pacientes. Se incluyeron pacientes con embarazos simples a término, con presentación cefálica de vértice, que no se encontraban en trabajo de parto (menos de 2 centímetros de dilatación, menos de 60% de borramiento y menos de 3 contracciones uterinas dolorosas por hora) y sin antecedentes de intervenciones uterinas previas.
Se excluyeron aquellas pacientes con puntaje de Bishop mayor de 5, corioamnionitis, sangrado vaginal, embarazos gemelares, presentaciones diferentes a la cefálica de vértice, diagnóstico de placenta previa o desprendimiento prematuro de placenta, alteraciones de la contractilidad uterina, alteraciones hepáticas, renales o cardiovasculares, con contraindicaciones para el uso de misoprostol o antecedentes de hipersensibilidad al látex o que se negaran a participar en la investigación.
Descripción de los grupos de tratamiento. Antes del inicio del tratamiento se realizó un examen físico inicial en el cual se evaluaron en forma digital borramiento y dilatación cervical, puntaje de Bishop y presión arterial y frecuencia cardíaca materna y fetal. En las pacientes del grupo Foley se utilizó una sonda de Foley 18 F a través del cuello uterino y colocada en el espacio extra-amniótico, con ayuda de un especulo, previa medidas de asepsia y antisepsia de la vagina y cuello uterino. Posteriormente, el balón de la sonda fue inflado con 50 mL de solución salina estéril y arrastrada hasta que se encontró en contacto con el orificio cervical interno, sin realizar ningún otro tipo de tracción. Después del inicio de la fase activa del parto, el cuello uterino fue nuevamente evaluado y de ser necesario, se realizó la amniorrexis. Si la sonda era expulsada y la paciente no presentaba contracciones, se realizó la amniorrexis luego de 8 horas y se inició la infusión de oxitocina. El procedimiento se consideró fallido si la paciente presentaba alguna alteración que impidiera el parto vaginal. Durante todo el periodo se monitorizó la frecuencia cardiaca fetal en forma continua con medios electrónicos.
En las pacientes del grupo misoprostol se procedió a partir la tableta comercial de misoprostol en 4 partes (que corresponde aproximadamente a 50 mcg) y se colocó un cuarto de la tableta en el fondo vaginal. Las pacientes se evaluaron cada 4 horas. La amniorrexis se realizó cuando la paciente estaba en fase activa del parto. Si el parto no se iniciaba a las 4 horas, se repetía la misma dosis cada 4 horas hasta un máximo de 200 microg o hasta que se logró una adecuada actividad contráctil. Si la dilatación y borramiento cervical no progresaban en 2 horas se iniciaba la administración de oxitocina.
La infusión con oxitocina se empleó cuando la paciente no inició del parto 12 horas después de la colocación de la sonda o 8 horas después de la última dosis de misoprostol, si se producía ruptura espontánea de membranas ovulares sin lograr un patrón adecuado de contractilidad uterina o si no progresaba la dilatación cervical (sin cambios por 2 horas). La oxitocina se empleó de acuerdo al protocolo institucional, y la dosificación, utilizando una bomba de infusión continua, se inició con 5 mU/min y se incrementó 1 mU/min cada 60 minutos hasta una dosis máxima de 16 mU/min, si las contracciones no eran adecuadas. Todos los procedimientos fueron practicados exclusivamente por dos de los investigadores.
Las alteraciones de la contractilidad uterina se definieron como hiperestimulación (una contracción con una duración mayor de 90 segundos) o taquisistolia uterina (más de 6 contracciones en un periodo de 10 minutos). Las pacientes recibieron tratamiento para los efectos adversos sobre la base de sus necesidades. El desarrollo de potenciales efectos adversos que aparecieron con la administración de ambos medicamentos (por ejemplo, náuseas, vómitos, diarrea, cefalea, hipotensión, hemorragia, dolor torácico y palpitaciones) se determinó inmediatamente durante el curso de la evaluación.
Los resultados principales de la evaluación fueron intervalo entre el inicio de la inducción y aparición del dolor, Intervalo entre el inicio de la inducción y el parto, tasa de parto vaginal y necesidad de uso de oxitocina. Las mediciones secundarias fueron anomalías de la contractilidad uterina, variables neonatales y efectos adversos en cada grupo de tratamiento.
Análisis estadístico. Los datos se presentan como medidas absolutas y relativas. Los resultados se muestran en tablas. La frecuencia de parto vaginal, tiempo entre el inicio de la maduración y el parto, peso, distribución por sexo y puntaje de Apgar de los recién nacidos al minuto y a los 5 minutos y efectos adversos maternos se analizaron con la prueba t de Student para muestras no relacionadas en aquellas variables cuantitativas y la prueba chi cuadrado para aquellas variables cualitativas. Se utilizó la prueba exacta de Fischer para calcular el riesgo relativo (RR) y el intervalo de confianza del 95% (IC95%) para cada una de las variables cualitativas de las resultantes estudiadas. Se fijó la significancia estadística en p < 0,05.
Resultados
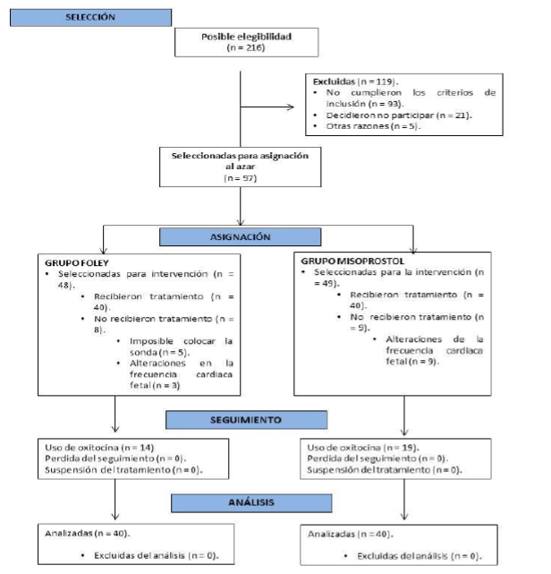
Se seleccionaron 80 pacientes para la investigación, las cuales se asignaron al azara para ser tratadas colocación de sonda de Foley transcervical (grupo Foley; n = 40) o misoprostol vaginal (grupo misoprostol; n = 40) (figura 1). Las características de ambos grupos con relación a la edad materna, edad gestacional, puntaje de Bishop al momento del inicio de la investigación y porcentaje de embarazadas de nulíparas se muestran en la tabla 1. Las indicaciones para la inducción fueron similares en ambos grupo (tabla 2).

Con respecto a la efectividad del tratamiento (tabla 3), las pacientes del grupo Foley presentaron un intervalo entre el inicio de la inducción y aparición del dolor significativamente mayor que las pacientes del grupo misoprostol (12,5 +/- 3,1 horas comparado con 10,5 +/- 1,9 horas, respectivamente; p = 0,0008). De igual forma las pacientes tratadas con sonda de Foley transcervical (19,3 +/- 3,3 horas) presentaron un intervalo entre el inicio de la inducción y el parto significativamente mayor comparado con las pacientes tratadas con misoprostol vaginal (16,3 +/- 2,1 horas; p < 0,0001). Se observó que 34 embarazadas (85,0%) tuvieron partos vaginales en el grupo Foley comparado con 29 embarazadas (72,5%) en el grupo misoprostol (RR = 1,529; IC95%; 0,772 – 3,027; p = 0,2742). Catorce pacientes (35,0%) en el grupo Foley necesitaron el uso de oxitocina para mejorar la contractilidad comparado con 19 pacientes (47,5%) en el grupo misoprostol (RR = 0,776; IC95%; 0,477 – 1,231; p = 0,3638).
Al analizar las anomalías de la contractilidad en cada grupo (tabla 4). Se observó que la mayoría de los casos se observaron en el grupo misoprostol. Se observaron 9 casos (22,5%) de taquisistolia en el grupo misoprostol comparado con ningún caso en el grupo Foley. Esta diferencia fue estadísticamente significativa (p = 0,0476). Se observaron 2 casos (5,0%) de hipersistolia en el grupo Foley y 4 casos (10,0%) en el grupo misoprostol y 2 casos (5,0%) de hipertonía en el grupo Foley y 2 casos (5,0%) en el grupo misoprostol. Estas diferencias no mostraron ser significativas (hipersistolia, RR = 0,649; IC95%; 0,204 – 2,057; p = 0,6752 e hipertonía, RR = 1,000; IC95%; 0,365 – 2,734; p = 1,0000).

Las variables neonatales se muestran en la tabla 5. No se encontraron diferencias estadísticamente significativas en el peso promedio y la distribución por sexo de los recién nacidos (p = ns). Los recién nacidos del grupo Foley presentaron valores significativamente más altos de Apgar al minuto (7,6 +/- 0,9 puntos comparados con 6,9 +/- 0,5 puntos; p < 0,0001) y a los 5 minutos (9,0 +/- 0,3 puntos comparados con 8,4 +/- 1,1 puntos; p = 0,0013) comparado con las pacientes del grupo misoprostol. Sin embargo, no se encontraron diferencias estadísticamente significativas en el número de recién nacidos con valores de Apgar menores a 7 puntos al minuto (RR = 0,487; IC95%; 0,087 – 2,699; p = 0,6153) y a los 5 minutos en ambos grupos de estudio (p = 1,0000).
Con respecto a los valores de Apgar al minuto y a los 5 minutos en aquellas pacientes de cada grupo cuyas inducciones se realizó la inducción del parto por presentar embarazos post-término, solo se encontró 1 caso de puntaje de Apgar menor de 7 puntos al minuto y a los 5 minutos en el grupo misoprostol.
Con relación a los efectos adversos, las pacientes del grupo Foley presentaron una menorfrecuencia de efectos adversos que las pacientes delgrupo misoprostol. El efecto adverso más común en elgrupo de pacientes tratadas con sonda de Foley y conmisoprostol fueron nauseas (6 casos en el grupo Foleyy 7 casos en el grupo misoprostol; RR = 0,909, IC95%;0,483 – 1,713; p = 1,000). Se observaron otros efectos adversos como fiebre, vómitos, diarrea y cefalea, perosu frecuencia fue más baja y no se observarondiferencias estadísticamente significativas al compararla frecuencia de estos entre ambos grupos detratamiento (p = ns).


Discusión
Los resultados de esta investigación demuestran que el uso de la sonda de Foley para la inducción del parto es tan efectivo como el misoprostol vaginal, con menor incidencia de alteraciones de la contractilidad uterina y efectos adversos maternos sin alterar el puntaje de Apgar de los recién nacidos. Aunque numerosos estudios han comparado los diferentes métodos de maduración cervical e inducción del parto, no existe consenso en cuál de estos es el mejor (8). Una agente ideal sería el que en un tiempo razonablemente corto, produciría efectos mínimos en la actividad uterina durante el tiempo que se utiliza. Estos efectos deberían ser reversibles, sin interferir en otros procedimientos que se realicen posteriormente, sin efectos adversos sobre la madre o el feto, fácil y económico de administrar (14-16).
Cuando el parto se inicia en forma fisiológica, el cuello uterino se madura antes que se inicien las contracciones miometriales. La colocación de la sonda de Foley induce la maduración cervical sin inducir contracciones uterinas, mientras que el misoprostol produce maduración cervical y contracciones uterinas en forma simultánea. En la actualidad existe una creciente tendencia a re-introducir métodos mecánicos, como la sonda de Foley, ya que existe disponibilidad de instrumentos estériles, controlando una de las más importantes contraindicaciones, la infección. Los métodos mecánicos tienen la ventaja desde el punto de vista de su reversibilidad y bajo costo (17). Los resultados de esta investigación tienden a favorecer el uso de la sonda de Foley sobre el misoprostol, debido a que el proceso imita la fisiología del inicio del parto, produciendo menor hiperestimulación y efectos perinatales.
En esta investigación, el intervalo de la inducción al parto fue significativamente más corto en el grupo de embarazadas tratadas con misoprostol que el grupo tratado con la sonda de Foley. Adenji y col. (18) realizaron un estudio comparando misoprostol con la Sonda de Foley. Reportaron que el tiempo de maduración cervical fue menor en el grupo de embarazadas tratadas con misoprostol lo cual es similar a lo observado en esta investigación. Hill y col. (19) reportaron que la duración entre la inducción y el parto en embarazadas con sonda de Foley más misoprostol oral fue significativamente más corta que el grupo de misoprostol.
La tasa de parto vaginal en este estudio fue cercana al 80% en forma global. Esta tasa fue un poco superior a lo reportado en a investigaciones previas (20). Posiblemente la principal razón para esto son las características de la población seleccionada, al incluir multíparas y nulíparas. La nuliparidad es uno de los factores más importantes del incremento de la tasa de cesárea debido a las alteraciones del progreso del parto (21). Diferentes investigaciones han demostrado que en embarazadas con puntaje de Bishop menor de 4 puntos y tratadas con supositorios de prostaglandina E2, la nuliparidad fue el factor más importante para el fallo de la inducción (22). Resultados similares a los de esta investigación han sido también observados por Owolabi y col. (23) usando una sonda de Foley extraamniótica. La mayoría de las pacientes presentaron partos vaginales en las primeras 24 horas. Idrisa y col. (24) indicaron que todas las pacientes con cuellos desfavorables presentaron partos vaginales en las 24 horas siguientes a la inducción del parto con la sonda de Foley.

En esta investigación la selección de embarazadas con edades gestacionales entre 38 y 40 semanas en ambos grupos y los resultados fueron similares en ambos grupos permitió que el peso y la distribución por sexo de los recién nacidos fueran similares. Todo esto puede llevar a concluir que ninguno de estos aspectos afecta el intervalo entre la inducción del parto y la tasa de partos vaginales. Pero un elemento importante es la diferencia del puntaje de Apgar al minuto y a los 5 minutos que fue menor en el grupo de pacientes tratados con misoprostol comparado con aquellas tratadas con la sonda de Foley. Este diferencia si puede ser atribuida al tipo de tratamiento.
En la práctica clínica se han utilizado diferentes métodos para la inducción del parto, siendo el uso de las prostaglandinas y sus análogos uno de los más populares (25). Sin embargo, su uso está asociado con varios efectos adversos, entre ellos, síntomas gastrointestinales, fiebre y lo más importante: una alta incidencia de taquisistolia e hiperestimulación uterina (5). La tasa de taquisistolia para el uso de análogos de las prostaglandinas se encuentra entre el 9 y el 15%. Estas alteraciones en la contractilidad uterina entre los grupos de tratamiento fueron estadísticamente significativas en esta investigación. La mayoría de los casos se observaron en las pacientes que fueron tratadas con misoprostol. La distocia dinámica resultante del uso de misoprostol probablemente conllevó a que los recién nacidos de ese grupo presentarán un puntaje promedio de Apgar al minuto y a los 5 minutos más bajo que las pacientes que tratadas con sonde de Foley.
Existe evidencia sobre dosis menores de misoprostol (25 mcg) utilizando un mayor número de aplicaciones, en ocasiones alcanzando hasta 8 veces (26-28). Estos esquemas han mostrado buenos resultados aumentando la tasa de partos vaginales sin diferencias en la resultante fetal y neonatal comparado con el parto espontaneo (28) o el uso de oxitocina (27). A pesar que este esquema no ha sido comparado con métodos mecánicos para la inducción del parto, se puede esperar que no produzca complicaciones perinatales comparado con el parto espontaneo. Además de esto, la incidencia de anomalías contráctiles uterinas es también menor que la observada con la dosis de 50 mcg.

El principal argumento contra el uso de la sonda de Foley transcervical es el riesgo de infección debido al arrastre de potenciales agentes patógenos de la vagina al cuello y al útero. Este riesgo puede ser eliminado tomando medidas y técnicas de asepsia durante la inserción de la sonda y el uso de soluciones estériles para inflar el balón. Edwards y col. (29) han postulado que la presencia de la sonda puede ser un riesgo constante de infección, pero posteriormente se ha comprobado que la tasa de infección con este método de maduración cervical no es significativa y es comparable a las tasas reportadas usando otros procedimientos (12).
En esta investigación, la sonda de Foley demostró ser tan efectiva como el uso de misoprostol vaginal para lograr la maduración cervical, pero logra una mayor frecuencia de parto vaginal con menor frecuencia de efectos adversos. Al comparar ambos métodos, el uso de este método mecánico es más económico porque se necesitan varias dosis de prostaglandinas comparado con el uso de una sola sonda. Las alteraciones de la contractilidad uterina y los efectos adversos secundarios al uso del misoprostol y las deficiencias en algunas instituciones hospitalarias, es recomendable el uso de la sonda de Foley como primera elección en centros donde el misoprostol no está disponible.
Sobre la base de los resultados de la investigación se puede concluir que el uso sonda de Foley transcervical es tan efectivo como el misoprostol vaginal en la inducción de parto en embarazos a término. Aunque el intervalo entre la inducción y el parto es más largo, tiene una menor incidencia de efectos adversos maternos y perinatales.
Conflicto de Interés
Los autores declaran no tener ningún conflicto de interés
Referencias
1. El-Khayat W, Alelaiw H, El-Kateb A, Elsemary A. Comparing vaginal misoprostol versus Foley catheter plus vaginal isosorbide mononitrate for labor induction. J Matern Fetal Neonatal Med. 2016; 29: 487-92. [PubMed] [Google Scholar]
2. Sagiv R, Mizrachi Y, Glickman H, Kerner R, Keidar R, Bar J, Golan A. Laminaria vs. vaginal misoprostol for cervical preparation before second-trimester surgical abortion: a randomized clinical trial. Contraception. 2015; 91: 406-11. [PubMed] [Google Scholar]
3. Rezk MA, Sanad Z, Dawood R, Emarh M, Masood A. Comparison of intravaginal misoprostol and intracervical Foley catheter alone or in combination for termination of second trimester pregnancy. J Matern Fetal Neonatal Med. 2015; 28: 93-6. [PubMed] [Google Scholar]
4. Agarwal K, Batra A, Batra A, Dabral A, Aggarwal A. Evaluation of isosorbide mononitrate for cervical ripening prior to induction of labor for postdated pregnancy in an outpatient setting. Int J Gynaecol Obstet. 2012; 118: 205-9. [PubMed] [Google Scholar]
5. Chaudhuri P, Datta S. Mifepristone and misoprostol compared with misoprostol alone for induction of labor in intrauterine fetal death: A randomized trial. J Obstet Gynaecol Res. 2015; 41: 1884-90. [PubMed] [Google Scholar]
6. Tang OS, Schweer H, Lee SW, Ho PC. Pharmacokinetics of repeated doses of misoprostol. Hum Reprod. 2009; 24: 1862-9. [PubMed] [Google Scholar]
7. Sharp A, Navaratnam K, Abreu P, Alfirevic Z. Short versus standard mifepristone and misoprostol regimen for second- and third-trimester termination of pregnancy for fetal anomaly. Fetal Diagn Ther. 2016; 39: 140-6. [PubMed] [Google Scholar]
8. Sciscione AC. Methods of cervical ripening and labor induction: mechanical. Clin Obstet Gynecol. 2014; 57: 369-76. [PubMed] [Google Scholar]
9. Embrey MP, Mollison BG. The unfavourable cervix and induction of labour using a cervical balloon. J Obstet Gynaecol Br Commonw. 1967; 74: 44-8. [PubMed] [Google Scholar]
10. Ifnan F, Jameel MB. Ripening of cervix for induction of labour by hydrostatic sweeping of membrane versus Foley's catheter ballooning alone. J Coll Physicians Surg Pak. 2006; 16: 347-50. [PubMed] [Google Scholar]
11. Ezimokhai M, Nwabineli JN. The use of Foley's catheter in ripening the unfavourable cervix prior to induction of labour. Br J Obstet Gynaecol. 1980; 87: 281-6. [PubMed] [Google Scholar]
12. Rab MT, Mohammed AB, Zahran KA, Hassan MM, Eldeen AR, Ebrahim EM, Yehia M. Transcervical Foley's catheter versus Cook balloon for cervical ripening in stillbirth with a scarred uterus: a randomized controlled trial. J Matern Fetal Neonatal Med. 2015; 28: 1181-5. [PubMed] [Google Scholar]
13. Adeniji AO, Olayemi O, Odukogbe AA. Intravaginal misoprostol versus transcervical Foley catheter in preinduction cervical ripening. Int J Gynaecol Obstet. 2006; 92: 130-2. [PubMed]
14. Austin K, Chambers GM, de Abreu Lourenco R, Madan A, Susic D, Henry A. Cost-effectiveness of term induction of labour using inpatient prostaglandin gel versus outpatient Foley catheter. Aust N Z J Obstet Gynaecol. 2015; 55: 440-5. [PubMed] [Google Scholar]
15. Niromanesh S, Mosavi-Jarrahi A, Samkhaniani F. Intracervical Foley catheter balloon vs. prostaglandin in preinduction cervical ripening. Int J Gynaecol Obstet. 2003; 81: 23-7. [PubMed] [Google Scholar]
16. Levy R, Ferber A, Ben-Arie A, Paz B, Hazan Y, Blickstein I, Hagay ZJ. A randomised comparison of early versus late amniotomy following cervical ripening with a Foley catheter. BJOG. 2002; 109: 168-72. [PubMed] [Google Scholar]
17. Lin MG, Reid KJ, Treaster MR, Nuthalapaty FS, Ramsey PS, Lu GC. Transcervical Foley catheter with and without extraamniotic saline infusion for labor induction: a randomized controlled trial. Obstet Gynecol. 2007; 110: 558-65. [PubMed] [Google Scholar]
18. Adeniji OA, Oladokun A, Olayemi O, Adeniji OI, Odukogbe AA, Ogunbode O, Aimakhu CO, Omigbodun AO, Ilesanmi AO. Pre-induction cervical ripening: transcervical foley catheter versus intravaginal misoprostol. J Obstet Gynaecol. 2005; 25: 134-9. [PubMed] [Google Scholar]
19. Hill JB, Thigpen BD, Bofill JA, Magann E, Moore LE, Martin JN Jr. A randomized clinical trial comparing vaginal misoprostol versus cervical Foley plus oral misoprostol for cervical ripening and labor induction. Am J Perinatol. 2009; 26: 33-8. [PubMed] [Google Scholar]
20. Guinn DA, Davies JK, Jones RO, Sullivan L, Wolf D. Labor induction in women with an unfavorable Bishop score: randomized controlled trial of intrauterine Foley catheter with concurrent oxytocin infusion versus Foley catheter with extraamniotic saline infusion with concurrent oxytocin infusion. Am J Obstet Gynecol. 2004; 191: 225-9. [PubMed] [Google Scholar]
21. Hemming K, Price M. Is it oral or vaginal; and should it be misoprostol or dinoprostone for cervical ripening? How to interpret a network meta-analysis. BJOG. 2016; 123: 355. [PubMed] [Google Scholar]
22. Irani RA, Foster S. Overview of the mechanisms of induction of labor. Semin Perinatol. 2015; 39: 426-9. [PubMed] [Google Scholar]
23. Owolabi AT, Kuti O, Ogunlola IO. Randomised trial of intravaginal misoprostol and intracervical Foley catheter for cervical ripening and induction of labour. J Obstet Gynaecol. 2005; 25: 565-8. [PubMed] [Google Scholar]
24. Idrisa A, Kyari O, Kawuwa MB, Usman HA. Preparation for induction of labour with an unfavourable cervix using a Foley's catheter. J Obstet Gynaecol. 2007; 27: 157-8. [PubMed] [Google Scholar]
25. Beckmann M, Merollini K, Kumar S, Flenady V. Induction of labor using prostaglandin vaginal gel: cost analysis comparing early amniotomy with repeat prostaglandin gel. Eur J Obstet Gynecol Reprod Biol. 2016; 199: 96-101. [PubMed] [Google Scholar]
26. Cecatti JG, Tedesco RP, Pires HM, Calderon IM, Faúndes A. Effectiveness and safety of a new vaginal misoprostol Referencias 136 Rosado-Tovar M y col. Inducción del parto en embarazos a término. Avan Biomed. 2016; 5(3): 129-37. product specifically labeled for cervical ripening and labor induction. Acta Obstet Gynecol Scand. 2006; 85: 706-11. [PubMed] [Google Scholar]
27. de Aquino MM, Cecatti JG. Misoprostol versus oxytocin for labor induction in term and post-term pregnancy: randomized controlled trial. Sao Paulo Med J. 2003 May 5; 121: 102-6. [PubMed] [Google Scholar]
28. da Graça Krupa F, Cecatti JG, de Castro Surita FG, Milanez HM, Parpinelli MA. Misoprostol versus expectant management in premature rupture of membranes at term. BJOG. 2005; 112: 1284-90. [PubMed] [Google Scholar]
29. Edwards RK, Szychowski JM, Bodea- Braescu AV, Biggio JR, Lin MG. Foley catheter for induction of labor: potential barriers to adopting the technique. J Perinatol. 2015; 35: 996-9. [PubMed] [Google Scholar]
Notas de autor
Dr. Eduardo Reyna-Villasmil, Hospital Central "Dr. Urquinaona" Final Av. El Milagro. Maracaibo, Estado Zulia. Venezuela. Teléfono: 584162605233. Email: sippenbauch@gmail.com