Monográfico

Recepción: 01 Diciembre 2023
Aprobación: 18 Febrero 2024
Publicación: 01 Julio 2024
DOI: https://doi.org/10.5944/ried.27.2.38995
Resumen: La escritura académica es una competencia transversal compleja que aún representa un desafío en el desarrollo de la formación universitaria. Este reto implica mejorar la capacidad de argumentación, organización de ideas y habilidades lingüísticas mediante la implementación de prácticas apropiadas en los procesos didácticos. El objetivo de este trabajo es crear y validar un diseño tecnopedagógico con aprendizaje invertido y escritura colaborativa (DTP-AIEC) para mejorar la producción de textos académicos. La investigación se realizó con estudiantes universitarios peruanos de ingeniería (etapa diagnóstica = 89 y etapa experimental = 40) y con 16 docentes expertos. Se empleó el modelo ADDIE con cinco fases: análisis, diseño, desarrollo, implementación y evaluación. El diagnóstico inicial evidenció que los estudiantes presentaban dificultades en la escritura académica. Con base en estos resultados, se diseñó y validó la propuesta con la participación de jueces (CVC > 0.9; KFleiss > 0.3, p < 0.05). La aplicación en el grupo experimental evidenció mejoras significativas en los ensayos producidos antes y después de la intervención (p < 0.05; ĝ > 1.20). Además, la valoración de los estudiantes fue positiva y manifestaron haber mejorado sus habilidades de escritura, autonomía y capacidad de trabajo en equipo. Se concluye que el DTP-AIEC demuestra ser eficaz y adecuado para el aprendizaje de la escritura académica y se recomienda su empleo para el aprendizaje de otros tipos de textos.
Palabras clave: estrategias de aprendizaje, aprendizaje invertido, escritura colaborativa, diseño tecnopedagógico, validez.
Abstract: Academic writing is a complex transversal competence that still represents a challenge for the development of university education. This challenge involves improving the capacity for argumentation, organization of ideas, and linguistic skills through the implementation of appropriate practices in didactic processes. The objective of this research is to create and validate a technopedagogical design with flipped learning and collaborative writing (TPD-FLCW) to enhance the production of academic texts. The research was conducted with Peruvian university engineering students (diagnostic stage = 89 and experimental stage = 40) and 16 expert professors. The ADDIE model with five phases was used: analysis, design, development, implementation, and evaluation. The initial diagnosis revealed that students had difficulties in academic writing. Based on these results, the proposal was designed and validated with the participation of judges (CVC > 0.9; KFleiss > 0.3, p < 0.05). The application in the experimental group showed significant improvements in the essays produced before and after the intervention (p < 0.05; ĝ > 1.20). Additionally, the students' assessment was positive, and they reported having improved their writing skills, autonomy, and teamwork capacity. It is concluded that the TPD-FLCW proves to be effective and adequate for learning academic writing, and its use is recommended for learning other types of texts.
Keywords: learning strategies, flipped learning, collaborative writing, technopedagogical design, validity.
INTRODUCCIÓN
La educación actual se encuentra fuertemente influenciada por el socioconstructivismo (Da Fonseca et al., 2021), esta teoría asume que la comprensión, significado y sentido de los aprendizajes se desarrolla en la interacción entre personas (Amineh y Asl, 2015). El aprendizaje se produce primero a nivel social y después de forma individual (Vygotsky, 1978). En la pedagogía del siglo XXI, el aprendizaje colaborativo constituye una respuesta práctica a los planteamientos teóricos del socioconstructivismo. Este se define como el trabajo en equipo de dos o más personas que pretenden alcanzar un mismo objetivo asumiendo un compromiso común y simétrico (Jeong y Hmelo-Silver, 2016). Además, la colaboración entre los miembros fomenta el pensamiento crítico, la participación activa, mejora los aprendizajes y modela diversas técnicas para solucionar situaciones problemáticas (Laal y Ghodsi, 2012).
La competencia de escritura es de carácter transversal y está asociada al logro de competencias genéricas dentro de la estructura curricular (Barreda-Parra et al., 2023). Sin embargo, las dificultades yacen al inicio de la formación profesional y están asociadas al parafraseo (Tan y Carnegie, 2022), reconocimiento de autoría en citas y referencias (Acosta et al., 2023), uso del lenguaje, organización del texto, procesos de escritura (Direkci et al., 2022) y adopción de prácticas inapropiadas como el plagio (Festas et al., 2023). A esto se adhiere la existencia de teorías implícitas que hacen invisible a la práctica escrita; por ejemplo, asumirla como una actividad de transcripción, talento, inspiración, habilidad básica, léxico u ortografía y que no es objeto de enseñanza (Navarro y Mora-Aguirre, 2019) puede terminar desviando su ejercicio práctico.
Ante esta situación, se han implementado diversas estrategias orientadas a mejorar la competencia de la escritura académica (Andueza-Correa, 2022; Yuliani et al., 2023). Experiencias exitosas de los últimos años han destacado que el aprendizaje colaborativo es la estrategia que tiene un impacto más significativo (Sundari y Febriyanti, 2023; Zou et al., 2022). El aprendizaje colaborativo y la educación en línea constituyen los nuevos retos en las asignaturas que requieren un desarrollo práctico (Roxas, 2023), donde la interacción entre compañeros y docentes resulta indispensable. La escritura colaborativa comienza con una lluvia de ideas durante la planificación del texto (Svenlin y Jusslin, 2023) y culmina con la revisión de los borradores del escrito antes de la presentación final (Thirakunkovit y Boonyaprakob, 2022).
El uso de la escritura colaborativa (EC) es cada vez más frecuente en el desarrollo de la competencia escrita (Fanguy y Costley, 2021). En entornos pedagógicos, el profesorado ha empezado a incorporarla en la presentación de trabajo de fin de curso (Pham, 2023). No obstante, dedican la mayor parte del tiempo de clase a la exposición de contenidos (Palau y Fornons, 2022), lo que lleva a que esta técnica se aplique fuera de clase (asincrónicamente) con el objetivo de cumplir la tarea asignada, en lugar de utilizarla como una estrategia didáctica durante la sesión (Hsu, 2020). Aunque las pruebas empíricas para el desarrollo de la escritura han logrado abordar relativamente el logro de la competencia escrita, aún existen dificultades metodológicas en el rol de los estudiantes y docentes (Zhang et al., 2021).
Una metodología activa como el Aprendizaje Invertido (AI) aplicada por el profesorado para la enseñanza de la escritura optimizaría el tiempo dedicado al desarrollo de competencias y pensamiento de orden superior (Sargent y Casey, 2020). El AI implica modificar el orden de los procesos de enseñanza-aprendizaje: en el hogar, el aprendizaje es principalmente individual con el uso de diversas técnicas de estudio como videos, textos, audios, entre otros; mientras que, en el aula, los estudiantes aplican esos conocimientos teóricos (Santiago y Bergmann, 2018). Las investigaciones en el campo de la escritura han indagado empíricamente los beneficios que ofrece el AI a nivel cognitivo, procedimental y emocional (Ebron y Mabuan, 2021; Özdemİr y Açik, 2019). La adquisición del conocimiento del contenido se adecúa a los ritmos de aprendizaje de los estudiantes, se dedica más tiempo en clase a la ejecución de talleres y existe una mayor confianza en las actividades prácticas debido a la supervisión del docente (Owen y Dunham, 2015).
Diseño tecnopedagógico para la escritura académica
La combinación entre la tecnología, el contenido y la pedagogía (Koehler et al., 2015) configuran un escenario en el que la tecnopedagogía posee una importancia crucial en la educación actual. Desde esta perspectiva, el profesor asume el rol de tecnopedagogo para brindar soluciones a problemas educativos, como el desarrollo de habilidades escritas. Sin embargo, previamente debe haber desarrollado competencias tecnopedagógicas para planificar, aplicar y evaluar los procesos educacionales (Niess, 2005). Por tanto, se requiere del empleo de programas, simulaciones, navegaciones en plataformas, entre otros recursos.
La escritura actual demanda el dominio de diversos recursos, como motores de búsqueda, herramientas de edición de textos, gestión de referencias, corrección de estilo, detección de plagio, etc. (Martínez-López et al., 2019). Estos recursos se emplean en la práctica educativa a través de actividades que dirigen el triángulo interactivo (profesor, alumno y contenido), dando origen al diseño tecnopedagógico (Hernández y Muñoz, 2012). Este diseño implica la exploración integrada de los aportes de la tecnología digital en los procesos de enseñanza y aprendizaje de la escritura académica (Shanks y Young, 2019). Requiere una planificación sistemática y rigurosa de las actividades y procedimientos que el docente aplicará para lograr que los estudiantes adquieran eficientemente los aprendizajes, haciendo uso de métodos o técnicas y de recursos digitales o tecnológicos.
Aprendizaje Invertido y Escritura Colaborativa
El AI es un modelo que se basa en teorías constructivistas de la pedagogía, dado que la construcción del aprendizaje de los estudiantes se atribuye a su capacidad cognitiva para comprender el material o curso (Lindeiner-Stráský et al., 2022). En el AI, los estudiantes participan en diversas actividades antes del inicio de clase con el objetivo de adquirir aprendizajes de contenido para luego aplicar esos saberes durante las sesiones presenciales (Santiago y Bergmann, 2018). Además de mejorar la competencia escrita (Zhao y Yang, 2023), el AI promueve la autonomía, motivación, metacognición, adaptación a los ritmos de aprendizaje, facilidad de retroalimentación y compromiso (Huang et al., 2023; Thai et al., 2023).
Paralelamente, la EC se presenta como estrategia eficaz para llevar a cabo los procesos de escritura. Esta actividad implica que los coautores (estudiantes) participen activamente en todas las fases de escritura, asumiendo un compromiso responsable y la propiedad del documento final (Storch, 2019). La EC se fundamenta en teorías como socioconstructivismo (Vygotsky, 1978), cognición grupal (Stahl, 2004) y aprendizaje conectado (Ito et al., 2013). Su aplicación didáctica demanda el empleo de herramientas digitales colaborativas, como blogs, wikis, salas de interacción, foros académicos o herramientas más actualizadas como Google Docs (Suwantarathip y Wichadee, 2014).
El interés en proponer una mejora en la producción de textos académicos de estudiantes universitarios, conduce al objetivo de desarrollar un diseño tecnopedagógico que incorpore el Aprendizaje Invertido y Escritura Colaborativa en escenarios educativos virtuales, para posteriormente validarlo. La propuesta contempla cinco fases en el proceso.
METODOLOGÍA
Método
En el estudio, se emplean técnicas cualitativas y cuantitativas, debido a que el proceso de creación y validación se desarrolló en cinco fases siguiendo el modelo ADDIE: análisis, diseño, desarrollo, implementación y evaluación (Kurt, 2018). La fase 1 “análisis” consiste en realizar un diagnóstico estudiantil para identificar los contenidos a desarrollar y las necesidades del contexto educacional. En la fase 2, “diseño”, se elabora el programa del curso manteniendo un enfoque pedagógico, la forma en cómo se aborda la propuesta y la organización de los contenidos. La fase 3, “desarrollo”, implica la selección, organización y creación de contenidos y materiales empleados para el aprendizaje con base en el diseño previamente elaborado. La fase 4, “implementación”, se centra en la ejecución práctica de la acción formativa durante el proceso de enseñanza y aprendizaje de los estudiantes. La fase 5, “evaluación”, representa el proceso evaluativo de las etapas anteriores y evalúa la pertinencia de la propuesta. A continuación, se describen las acciones ejecutadas en cada fase:
Fase 1 «Análisis». Primero, se diagnosticó la situación de escritura académica en tres grupos de estudiantes pertenecientes al curso de Comunicación I del año 2022-I. Los estudiantes redactaron un texto argumentativo corto, con una extensión entre 700 y 1000 palabras en un periodo de 8 horas de manera asincrónica, abordando la pregunta “¿Cuál es el principal aporte que tiene la ingeniería que estudias?”. Posteriormente, se revisaron los productos generados para identificar los problemas. Segundo, se revisó la literatura explorando la intervención del aprendizaje invertido y escritura colaborativa en las bases de datos de WOS y Scopus. Tercero, se identificaron las principales teorías del diseño tecnopedagógico.
Fase 2 «Diseño». Cuarto, se elaboró el diseño tecnopedagógico con Aprendizaje Invertido y Escritura Colaborativa (DTP-AIEC). Se tomaron en cuenta los momentos de cada sesión de aprendizaje (inicio, desarrollo y cierre), a los que se designaron nuevas nominaciones (fase previa, ejecución y salida).
Fase 3 «Desarrollo». Quinto, se seleccionaron y organizaron los temas para la guía didáctica a través de 9 sesiones de aprendizaje. Sexto, se elaboraron los recursos didácticos en diferentes formatos (texto, diapositivas, material audiovisual). Séptimo, se llevó a cabo la validación de contenido con la participación de 16 jueces expertos en el ámbito de la educación superior universitaria. Estos jueces fueron seleccionados considerando los siguientes requisitos: poseer grado de doctor, contar con al menos 5 años de experiencia, estar activos en la práctica y poseer experiencia en investigación y escritura científica. Evaluaron el DTP-AIEC mediante el instrumento “Protocolo de Validez de Contenido”, con base en 13 criterios en una escala Likert de 1 a 5, donde 1 = inadecuado, 2 = ligeramente adecuado, 3 = moderadamente adecuado, 4 = sustancialmente adecuado y 5 = completamente adecuado.
Fase 4 «Implementación». Octavo, se aplicó la evaluación de entrada; posteriormente, tras la intervención de las 9 sesiones, se ejecutó la evaluación de salida a un grupo experimental (piloto) de universitarios matriculados en el curso de Comunicación II del semestre 2022-II.
Fase 5 «Evaluación». Noveno, se encuestó a todos los estudiantes que participaron en el experimento con el fin de obtener su apreciación respecto al modelo. Décimo, se entrevistó a 7 estudiantes seleccionados al azar, pertenecientes a diferentes grupos de trabajo, con el objetivo de conocer sus experiencias durante las sesiones.
Participantes
En la fase de diagnóstico, se contó con la participación de 89 estudiantes de ingeniería civil (35), sistemas (19), ambiental (13), industrial (15) y electrónica (7), de los cuales 55 son varones (48.95 %) y 34 mujeres (30.26 %), con una edad X=18.74 y DS = 3.54. Los estudiantes están matriculados en el curso de Comunicación I, correspondiente al primer ciclo de su carrera. En la fase de validación, participaron 16 jueces expertos con grados académicos de doctor, especialistas en redacción y con experiencia en la docencia universitaria. En la fase de implementación y la fase de evaluación, participaron 40 estudiantes universitarios de la carrera de ingeniería civil (28), sistemas (3), ambiental (6), industrial (1) y electrónica (2) matriculados en el II ciclo del curso de Comunicación II. De este grupo, 13 son mujeres (32.50 %) y 27 varones (67.50 %), con edad promedio de 18.53 y una desviación estándar de 2.65. En las entrevistas, participaron 7 estudiantes elegidos aleatoriamente de diferentes equipos de trabajo del grupo experimental.
Instrumentos
Procedimientos y análisis de información
El análisis cualitativo consistió en la revisión de la literatura e interpretación de las entrevistas. Los resultados se procesaron utilizando la teoría fundamentada para analizar las respuestas de los entrevistados. Por otro lado, la parte cuantitativa consistió en la evaluación del diagnóstico, evaluación experimental y los resultados del cuestionario de valoración con estadísticos descriptivos e inferenciales. Para evaluar la concordancia entre jueces, se empleó el Coeficiente de Validez de Contenido (CVC) de Hernández-Nieto (Pedrosa et al., 2014). Los resultados del experimento se analizaron con la prueba T de Student para muestras pareadas (los datos cumplieron el supuesto de normalidad y homocedasticidad). El procesamiento y análisis de datos se realizó con el programa R Studio.
RESULTADOS
Este apartado evidencia las diferentes fases de elaboración y validación del Diseño Tecnopedagógico con Aprendizaje Invertido y Escritura Colaborativa con base en el modelo ADDIE. En cada fase se describen los resultados encontrados.
1. Fase de análisis
a) Diagnóstico
Los resultados permitieron identificar que más del 60 % de los estudiantes presentan dificultades en cuanto a la estructura de sus textos (introducción, desarrollo y conclusión), propiedades (coherencia y cohesión) y registro lingüístico (léxico, sintaxis y ortografía). Alrededor de la décima parte alcanzó una valoración de bueno en cada criterio (Tabla 1).

Las principales necesidades de atención se identificaron en el desconocimiento estructural de un texto argumentativo, falta de coherencia entre los enunciados, redundancia de ideas, escaso o nulo empleo de citas y referencias, problemas con el planteamiento de la tesis, poca argumentación y confusión con la redacción de textos expositivos. Algunas problemáticas corresponden a la falta de conducta ética, debido a que se observaron situaciones de copia y pega de información almacenada en la web (Figura 1).

b) Revisión de la literatura
Sobre la base de los resultados del diagnóstico previo, se revisó la literatura en la base de datos de Scopus y Web of Science y se hallaron dos modelos que evidencian alto impacto en la redacción académica: Aprendizaje Invertido y Escritura Colaborativa. Los cambios significativos en la producción de diversos textos a partir de la implementación de estos modelos en las sesiones de aprendizaje se deben al empleo de soporte tecnológico, la participación activa del estudiante y monitoreo del docente. Los diferentes experimentos tuvieron una duración muy variada entre 6 y 11 sesiones con muestras que oscilan entre 24 y 113 estudiantes universitarios (Tabla 2).

c) Identificación de las principales teorías
Luego de revisar los modelos que dan sustento al DTP-AIEC, se identificaron las principales teorías que dan sustento pedagógico a la propuesta (Tabla 3).

2. Fase de diseño
Después de haber explorado las principales necesidades, que subyacen en la escritura académica de los estudiantes, se elaboró el DTP-AIEC con tres fases que se aplican para cada sesión de aprendizaje (Figura 2): fase previa, fase de ejecución y de salida, que representan actividades continuas y cíclicas (representado por las flechas hacia ambas direcciones).

a) Fase previa del DTP-AIEC
Es el momento previo al desarrollo de clase que se realiza en casa.
(1) La planificación. El docente prepara el contenido de clase con fuentes actualizadas y elabora recursos didácticos mediante diversos formatos (texto, audios, videos, imágenes, etc.). El video es el más empleado, pero este es complementado por otros recursos. Asimismo, elabora instrumentos que guían al estudiante en la adquisición del contenido teórico como cuestionarios, preguntas, fichas de lectura, etc.
(2) La información. Constituye la etapa en que el estudiante realiza un análisis de los recursos digitales proporcionados por el docente en diversos formatos. Asimismo, registra los principales contenidos de manera individual a través de la toma de apuntes con diversas estrategias de aprendizaje como subrayado, sumillado, elaboración de organizadores, etc. (Baldwin et al., 2019).
b) Fase de ejecución del DTP-AIEC
Son las actividades que se desarrollan durante la sesión. Comprende los procesos dinámicos del aprendizaje de manera sincrónica en clase.
(3) Retroalimentación. Es el momento en que el docente monitorea y atiende los aprendizajes individuales de los estudiantes, luego de haber revisado los materiales. La retroalimentación se realiza mediante foros, talleres, estrategias de ludificación, tutorías personalizadas, entre otros que involucran activamente a los estudiantes. Se atiende a las dimensiones cognitiva, emocional, social y estructural.
(4) Tallerismo. Representa las actividades específicas que los discentes realizan para aplicar sus conocimientos teóricos en la escritura. Los talleres se desarrollan mediante la metodología activa de Escritura Colaborativa, bajo la orientación y guía del docente. Los estudiantes conducen sus conocimientos a la presentación de un producto que evidencie su aprendizaje socioconstructivo (avance del texto escrito, elaboración del esquema de plan de escritura, registro de fuentes consultadas, entre otros).
c) Fase de salida del DTP-AIEC
Se constituye por acciones que se ejecutan al finalizar las sesiones de aprendizaje.
(5) Evaluación. Consiste en recoger información del aprendizaje alcanzado por los estudiantes para obtener un estándar. Se realiza mediante la evaluación formativa y sumativa. La primera permite conocer el logro de aprendizaje de los estudiantes en función a las dificultades y progresos. Además, examina lo que aprendió y podría aprender con la autoevaluación, coevaluación y heteroevaluación (Traverso, 2023). La segunda identifica su progreso académico con criterios plasmados en los instrumentos de evaluación.
(6) Metacognición. Representa el momento en que los estudiantes reflexionan sobre sus procesos de aprendizaje mediante preguntas autocríticas, aquello que aprendieron fácilmente y en donde tuvieron dificultad, así como el uso de estrategias de solución. Esta etapa se compone por preguntas orientadas al conocimiento metacognitivo, que consiste en conocer sus potencialidades y limitaciones para aprender, y actividades de extensión para el control metacognitivo caracterizado por asumir un rol activo y participativo en su aprendizaje.
3. Fase de desarrollo
a) Organización del contenido para las sesiones
Se ha elaborado una guía de 09 sesiones de aprendizaje sobre el contenido del ensayo académico con la aplicación del DTP-AIEC (Tabla 4).

b) Validación del Diseño Tecnopedagógico AIEC
La concordancia entre jueces es alta (CVC > 0.90) en todos los criterios (Tabla 5). Además, la valoración entre tales criterios presenta concordancia significativa y aceptable (p > 0.05, k > 0.3). Por tanto, es posible afirmar que el DTP-AIEC evidencia una validez de contenido adecuada y presenta las condiciones para la ejecución en el grupo experimental.

4. Fase de implementación
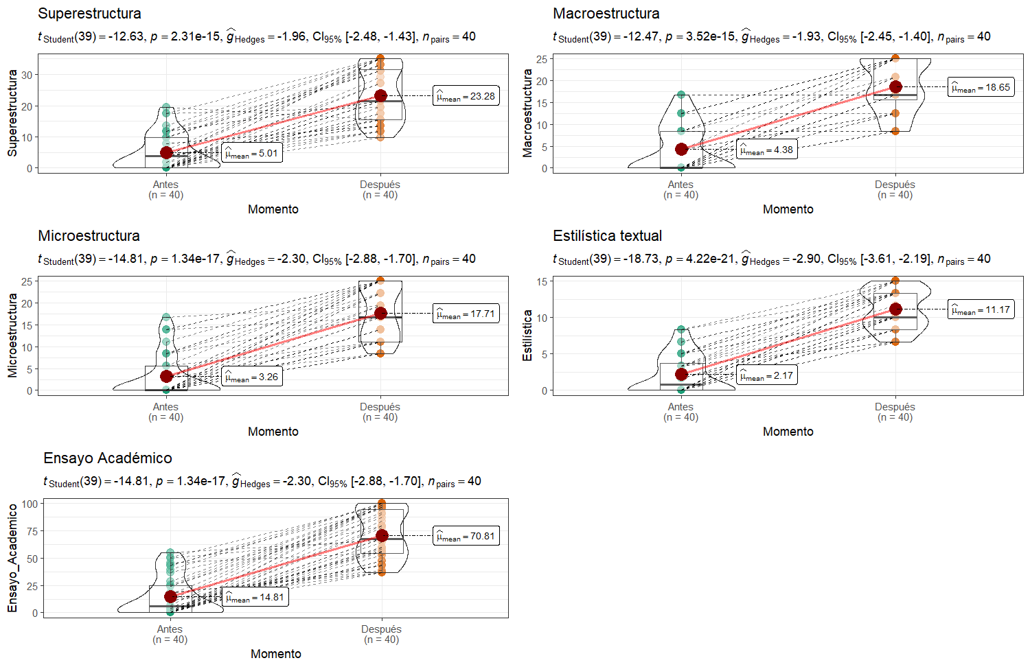
Los resultados del experimento evidencian mejoras significativas en la superestructura, macroestructura, microestructura y estilística textual (p < 0.05; ĝHedges > 1.20), así como en el promedio general del ensayo académico (Figura 3). Estos cambios explican que con la intervención de DTP-AIEC, los estudiantes escriben mejor sus ensayos académicos individuales.

5. Fase de evaluación
a) Evaluación cuantitativa
Los resultados destacan que casi la totalidad de estudiantes (≥ 90 %) considera estar al menos de acuerdo con haber mejorado sus habilidades argumentativas y de corrección. La tendencia positiva se extiende a que más del 80 % afirma que participan activa y colaborativamente, sienten más fácil la redacción en equipo que de manera individual, utilizan herramientas comunicativas, gestionan el tiempo, revisan sus textos y mantienen la originalidad (Figura 4). Están de acuerdo con tener información anticipada y recomiendan emplear DTP-AIEC en otros textos.

b) Evaluación cualitativa
El análisis de la valoración de los estudiantes se realiza a partir de 3 secciones:
Antes del DTP-AIEC
Los estudiantes sostienen que inicialmente tuvieron dificultades por desconocimiento del proceso formal de redacción. La falta de formación en la educación básica sobre el logro de la competencia escrita en textos argumentativos, normas de cita y referencia, búsqueda de información condicionan la rigurosidad de sus ensayos. La carencia de una tesis desorientaba a los argumentos presentados. Algunas afirmaciones fueron las siguientes:
«[…] nunca, o sea, no lo había hecho, no lo había realizado […]» (E07).
«[…] al momento de revisarlo me di cuenta que ni siquiera había usado formato APA, que no tenía referencias bibliográficas y que no me había apoyado en ninguna cita o no había investigado lo suficiente, que simplemente lo que había hecho es, digamos que, hasta una opinión personal, sin ningún fundamento teórico que pueda defender mi postura […]» (E02).
«[…] en ese ensayo, me hizo falta tener la originalidad, se podría decir, porque prácticamente, como dije, me guiaba de otro ensayo […]» (E01).
Otro punto que se presentó con frecuencia en las respuestas fue la falta de originalidad. Los trabajos sometidos al sistema antiplagio de Turnitin reportaban similitudes superiores al 50 %. Las coincidencias eran únicamente provenientes de páginas web o blogs (sin autorías ni fecha de publicación), lo que explica el poco desarrollo de competencias informacionales. Además, el desconocimiento del tema elegido, los condujo a la búsqueda de diversas fuentes de las que extrajeron fragmentos para colocarlos en su ensayo.
«[…] sacaba quizás muchas cosas de Internet, las unía y ponía las referencias y, pensaba que de esa manera iba a estar bien hacer un ensayo […]» (E03).
«[…] lo que hizo falta más, ser más propio de mí, porque sí netamente me basé en información de páginas y sobre todo pienso que me faltó ser más verídico porque no tuve fuentes de páginas confiables o de revistas, de repositorios […]» (E06).
Después del DTP-AIEC
Con el DTP-AIEC, los estudiantes manifestaron mejorar sus habilidades de escritura, debido al proceso de planificación centrado en la interacción intragrupal y reconocimiento de estrategias de redacción de cada integrante. Ellos percibieron una constante retroalimentación entre pares asumiendo un rol activo en la potencialización para el logro de la competencia. Si bien, las distribuciones de ciertos párrafos los realizaron de manera individual, este producto fue revisado detalladamente por todo el equipo. El clima de aula en los grupos generó una satisfacción positiva, cómoda y adecuada.
«Empezando por la planificación, la ventaja que encontré es que todos interactuamos y dábamos bastantes ideas» (E01).
«Todos trabajamos y aportamos adecuadamente. No hubo un retraso. Creo que sí se logra aprender un poco, ya que tal vez alguien siempre tiene un poquito menos de entendimiento al momento de estructurarlo (el ensayo) y lo corregimos juntos […], de este modo y así se hace una retroalimentación exactamente en conjunto» (E04).
En cuanto al procedimiento metodológico, los estudiantes manifestaron sentirse satisfechos. Podían adquirir el conocimiento del contenido antes del inicio de clase y durante la sesión compartían los apuntes. Así, el panorama de escritura de ensayos fue aclarado. Además, la presentación didáctica de los videos, texto y diapositivas resultó indispensable para el aprendizaje cognitivo. Sin embargo, esto se complementó con estrategias de registro (toma de apuntes) para las consultas en clase y desarrollo de talleres.
«Yo tomé apuntes a todos los vídeos, a pesar de que lo teníamos en vídeos y en documentos PDF […] cualquier duda lo consultaba en clase para tenerlo claro» (E03).
«Esos materiales han sido precisos y que hayan estado de manera audiovisual y también escrita nos sirve a los estudiantes porque, por ejemplo, yo prefiero leer, pero tal vez alguien prefiere escucharlo o en diapositivas» (E05).
Diferencias entre antes y después del DTP-AIEC
Los estudiantes identificaron cambios significativos en su aprendizaje al comparar los textos que redactaban al inicio (pretest) con los posteriores (postest). Reconocieron que su primer ensayo carecía de tesis, organización y estructuración de los párrafos acorde a la superestructura del ensayo (introducción, desarrollo y conclusión). Incluso, notaron una mejora en las formalidades de presentación (márgenes, sangría, uso correcto de citas, etc.).
«En el primer ensayo, no podía identificar la tesis porque –de hecho, observé que ni siquiera tenía una tesis y tampoco tenía un mapeo–. Entonces, sí hubo bastante diferencia. El ensayo que elaboré ahora (postest), siento que está muy bien» (E01).
«El primer ensayo que hice no tenía como tal una estructura o sea tocaba temas en general, los párrafos no tenían un orden, no tenían las partes que corresponden, no tenían la introducción, solamente desarrollo, pero ahora con el nuevo trabajo ya tiene la introducción, la idea principal, el desarrollo del párrafo, la conclusión» (E06).
DISCUSIÓN
La investigación se orientó en elaborar y validar el DTP-AIEC para promover el desarrollo de la escritura académica (ensayos académicos). Sobre la base del aprendizaje invertido y escritura colaborativa, se hace énfasis en un diseño que orienta la función del docente y estudiante en cada una de las fases que constituye su implementación.
El DTP-AIEC se implementó para atender al problema de escritura académica. Se identificaron dificultades en el desarrollo de la competencia de escritura académica. El desconocimiento del proceso argumentativo, citas y referencias promovía prácticas inapropiadas como el plagio académico (Acosta et al., 2023; Festas et al., 2023). Ante ello, el DTP-AIEC se constituyó como una propuesta de solución que requirió un proceso ordenado y sistemático para el aprendizaje de la producción escrita. La evaluación diagnóstica fue un insumo para la planificación de las sesiones (Hess y Moseley, 2016).
El DTP-AIEC contribuye con superar significativamente las dificultades en producción de ensayos académicos de los estudiantes. Esto concuerda con la literatura que ha implementado el AI o EC (Khojasteh et al., 2021; Roohani y Rad, 2022). La mejora se debe al desarrollo de actividades individuales (antes de clase) y trabajo colaborativo (durante la clase), tal como sostiene el AI. La toma de apuntes de manera individual también contribuye a la retención del contenido (Courtney et al., 2022). Por tanto, fue fundamental fomentar la autonomía de los estudiantes. Al concluir cada sesión, el docente proporcionaba indicaciones para la próxima.
Las formas de trabajo en equipo constituyen un mecanismo eficiente en el aprendizaje. A pesar de que algunos integrantes presentaban desacuerdos, la metodología permitió que pudiesen dialogar y proponer soluciones asequibles. Los desacuerdos pueden ser vistos como medios para el logro de objetivos (Godoy, 2021). Entre las estrategias implementadas por los miembros del equipo fueron la lectura compartida, retroalimentación entre pares, socialización de información en la nube, intercambio de roles y toma de decisiones internas. La colaboración entre los miembros del equipo estimula el uso de técnicas y estrategias para dar solución a problemas que se presenten (Laal y Ghodsi, 2012). No obstante, esto se logra con el interés de todos los integrantes, en este sentido, la función del docente representa un andamiaje esencial para consolidar el compromiso de los estudiantes con su aprendizaje y con su equipo (Amineh y Asl, 2015).
Además, la valoración de los estudiantes hacia el DTP-AIEC fue positiva, no solo por las mejoras cognitivas o competencias logradas, sino por su estado emocional y satisfacción con el equipo. Las ventajas cognitivas, procedimentales y emocionales se deben a la alteración del orden tradicional de la clase (Ebron y Mabuan, 2021). Durante la fase previa de la propuesta, los estudiantes adquirieron conocimientos a su ritmo y estilo (visual o auditivo). Esto se debe cuando el tiempo y la forma es acorde a los estudiantes, ellos adquieren una mayor confianza que favorece al aprendizaje durante la clase (Owen y Dunham, 2015). De este modo, las salas de trabajo virtual no solo fueron espacios de trabajo académico, sino también de socialización; un aspecto que contribuyó con el compromiso del equipo.
CONCLUSIONES
El estudio ha brindado la creación de un nuevo diseño tecnopedagógico orientado a la escritura académica de universitarios que cursan los primeros ciclos. Este diseño ha sido favorable para la mejora de ensayos académicos.
El DTP-AIEC es significativo y aplicable en escenarios educativos virtuales, por tanto, constituye una guía de experiencias pedagógicas que requieran atender el problema de escritura académica. Aunque la experiencia presentada se enfoca en la producción de ensayos, esta no exime su implementación en otras formas de producción escrita. La ventaja didáctica que puede ofrecer el DTP-AIEC radica en centrar la actividad escrita en su forma natural (práctica) dentro del proceso de colaborativo.
Se ha explorado que el papel activo en el aprendizaje es compartido por estudiantes y docentes. El primero es un agente participativo y autónomo; el segundo, crea las condiciones para el aprendizaje con la planificación del material e instrumentos de retroalimentación. Los estudiantes valoran positivamente la forma en que el docente planifica, dirige y retroalimenta en la clase, pero también aprecia el compromiso de sus compañeros de equipo durante los talleres de escritura.
Algunas limitaciones del estudio se asocian al tamaño de muestra del grupo experimental. Aunque son estudiantes de diferentes ingenierías, es necesario contar con más evidencia empírica en escenarios multidisciplinarios y con mayor cantidad de participantes. Además, la entrevista se aplicó a un grupo reducido, pero sería conveniente conocer la percepción de todos los partícipes. Los futuros estudios podrían realizar implementaciones en contextos educativos de educación superior no universitaria, así como en la producción de otros tipos de textos académicos como monografías, artículos científicos o tesis, manteniendo los procesos y funciones del profesorado para extender la evidencia empírica y evaluar las estrategias en equipo empleadas por los estudiantes con mayor eficacia dentro de la implementación del DTP-AIEC.
REFERENCIAS
Acosta, G. E. R., Cedeño-Tapia, S. J., Diaz-Jurado, L. C., Escalona-Márquez, L. N., Ramírez-Pérez, T. y Vargas, E. C. (2023). Importancia de la lectoescritura académica en la formación de estudiantes de enfermería. Gaceta Medica Boliviana, 46(1), 51-58. https://doi.org/10.47993/gmb.v46i1.631
Amineh, R. J. y Asl, H. D. (2015). Review of constructivism and social constructivism. Journal of Social Sciences, Literature and Languages, 1(1), 9-16.
Andueza-Correa, A. (2022). ¿Cómo ayudaste al estudiantado a resolver su dificultad?: Análisis de las estrategias empleadas por tutores y tutoras de escritura. Revista Electrónica Educare, 27(1), 1-19. https://doi.org/10.15359/ree.27-1.14000
Baldwin, M. P., Fanguy, M. y Costley, J. H. (2019). The effects of collaborative note-taking in flipped learning contexts. Journal of Language and Education, 5(4), 25-35. https://doi.org/10.17323/jle.2019.9726
Barreda-Parra, A., Núñez-Pacheco, R., Turpo-Gebera, O., Diaz-Zavala, R. y Heras, J. E. L. (2023). Perception of Academic Writing in University Students. Human Review. International Humanities Review, 21(2), 401-410. https://doi.org/10.37467/revhuman.v21.5076
Bergmann, J. y Sams, A. (2012). Flip your Classroom. Reach Every Student in Every Class Every Day. International Society for Technology in Education.
Chura-Quispe, G. y García Castro, R. A. (2024). A techno-pedagogical design for the production of academic essays in university students. Contemporary Educational Technology, 16(1), ep 486. https://doi.org/10.30935/cedtech/14022
Chura-Quispe, G., García-Castro, R., Llapa-Medina, M. y Salamanca-Chura, E. (2022). Efecto del Flipped Classroom virtual en la escritura académica: autopercepción de universitarios [The effect of the virtual Flipped Classroom on the academic writing: selfperception of university students]. Pixel-Bit. Revista de Medios y Educación, 65, 121-148. https://doi.org/10.12795/pixelbit.92509
Courtney, M., Costley, J., Baldwin, M., Lee, K. y Fanguy, M. (2022). Individual versus collaborative note-taking: Results of a quasi-experimental study on student note completeness, test performance, and academic writing. Internet and Higher Education, 55, 100873. https://doi.org/10.1016/j.iheduc.2022.100873
Da Fonseca, J. R., Roehrig Teixeira, L. y Arenas Carmona, D. (2021). Socioconstructivism, literacy and working with icts during the coronavirus pandemic in 2020. Texto Livre, 14(2), 1-10. https://doi.org/10.35699/1983-3652.2021.34333
Direkci, B., Akbulut, S., Şimşek, B., Gülmez, M. y Nalçacıgil Çopur, E. (2022). Analysis of pre-service teachers’ argumentation-based academic writing process. Frontiers in Psychology, 13, 1-16. https://doi.org/10.3389/fpsyg.2022.1040332
Ebron, G. y Mabuan, R. (2021). Flipped Learning Approach in Teaching Writing in a University Setting: Students’ Experiences, Preferences and Perspectives. TESOL International Journal, 16(4), 161-183.
Fanguy, M. y Costley, J. (2021). Creating a framework for understanding and defining flipped learning. Journal of Educators Online, 18(1), 1-14. https://doi.org/10.9743/JEO.2021.18.1.2
Festas, I., Seixas, A. y Matos, A. (2023). Escrita a partir de fontes e suas relações com o plágio em estudantes universitários. Educação e Pesquisa, 49, e252586. https://doi.org/10.1590/s1678-4634202349252586por
Godoy, L. (2021). Solving disagreements: Multiple cases study about interaction during digital collaborative writing. Onomazein, 53, 61-83. https://doi.org/10.7764/onomazein.53.06
Hernández, L. y Muñoz, L. (2012). Usos de las tecnologías de la información y la comunicación (TIC) en un proceso formal de enseñanza y aprendizaje en la Educación Básica. Zona Próxima, 16, 2-13. https://www.redalyc.org/pdf/853/85323935002.pdf
Hess, A. N. y Moseley, J. L. (2016). Conducting formative evaluation online from planning to execution. College and Research Libraries News, 77(2), 66-69. https://doi.org/10.5860/crln.77.2.9442
Hsu, H. C. (2020). The impact of task complexity on patterns of interaction during web-based asynchronous collaborative writing tasks. System, 93, 102328. https://doi.org/10.1016/j.system.2020.102328
Huang, A. Y. Q., Lu, O. H. T. y Yang, S. J. H. (2023). Effects of artificial Intelligence–Enabled personalized recommendations on learners’ learning engagement, motivation, and outcomes in a flipped classroom. Computers and Education, 194, 104684. https://doi.org/10.1016/j.compedu.2022.104684
Ito, M., Gutiérrez, K., Livingstone, S., Penuel, B., Rhodes, J., Salen, K., Schor, J., Sefton-Green, J. y Watkins, S. C. (2013). Connected learning: An agenda for research and design. Digital Media and Learning Research Hub.
Jeong, H. y Hmelo-Silver, C. E. (2016). Seven Affordances of Computer-Supported Collaborative Learning: How to Support Collaborative Learning? How Can Technologies Help? Educational Psychologist, 51(2), 247-265. https://doi.org/10.1080/00461520.2016.1158654
Khojasteh, L., Hosseini, S. A. y Nasiri, E. (2021). The impact of mediated learning on the academic writing performance of medical students in flipped and traditional classrooms: scaffolding techniques. Research and Practice in Technology Enhanced Learning, 16(1). https://doi.org/10.1186/s41039-021-00165-9
Koehler, M. J., Mishra, P. y Cain, W. (2015). ¿Qué son los Saberes Tecnológicos y Pedagógicos del Contenido (TPACK)? Virtualidad, Educación y Ciencia, 6(10), 9-23. https://doi.org/10.60020/1853-6530.v6.n10.11552
Kurt, S. (2018). ADDIE Model: Instructional Design. Educational Technology. https://educationaltechnology.net/the-addie-model-instructional-design/
Laal, M. y Ghodsi, S. M. (2012). Benefits of collaborative learning. Procedia. Social and Behavioral Sciences, 31, 486-490. https://doi.org/10.1016/j.sbspro.2011.12.091
Lindeiner-Stráský, K. von, Stickler, U. y Winchester, S. (2022). Flipping the flipped. The concept of flipped learning in an online teaching environment. Open Learning, 37(3), 288-304. https://doi.org/10.1080/02680513.2020.1769584
Lowry, P. B., Curtis, A. y Lowry, M. R. (2004). Building a taxonomy and nomenclature of collaborative writing to improve interdisciplinary research and practice. Journal of Business Communication, 41(1), 66-99. https://doi.org/10.1177/0021943603259363
Martínez-López, J. I., Barrón-González, S. y López, A. M. (2019). Which are the tools available for scholars? A review of assisting software for authors during peer reviewing process. Publications, 7(3). https://doi.org/10.3390/publications7030059
Navarro, F. y Mora-Aguirre, B. (2019). Teorías implícitas sobre escritura académica y su enseñanza: contrastes entre el ingreso, la transición y el egreso universitarios. Universitas Psychologica, 18(3), 1-16. https://doi.org/10.11144/Javeriana.upsy18-3.tiea
Niess, M. L. (2005). Preparing teachers to teach science and mathematics with technology: Developing a technology pedagogical content knowledge. Teaching and Teacher Education, 21(5), 509-523. https://doi.org/10.1016/j.tate.2005.03.006
Owen, H. y Dunham, N. (2015). Reflections on the use of iterative, agile and collaborative approaches for blended flipped learning development. Education Sciences, 5(2), 85-103. https://doi.org/10.3390/educsci5020085
Özdemİr, O. y Açik, F. (2019). Development of written expression skills with flipped learning instruction: An embedded mixed method study. Hacettepe Egitim Dergisi, 34(4), 1075-1091. https://doi.org/10.16986/HUJE.2019048710
Palau, R. y Fornons, V. (2022). Flipped Learning y su distribución de los tiempos de aprendizaje: Una experiencia en educación secundaria. Pixel-Bit. Revista de Medios y Educación, 64, 235-264. https://doi.org/10.12795/pixelbit.92948
Papert, S. y Harel, I. (1991). Situating Constructionism. En I. Harel y S. Papert (Eds.), Constructionism (pp. 1-16). Ablex Publishing.
Pedrosa, I., Suárez Álvarez, J. y García Cueto, E. (2014). Evidencias sobre la Validez de Contenido: Avances Teóricos y Métodos para su Estimación. Acción Psicológica, 10(2), 3-20. https://doi.org/10.5944/ap.10.2.11820
Pham, V. P. H. (2023). The Impacts of Collaborative Writing on Individual Writing Skills. Journal of Psycholinguistic Research, 52(4), 1221-1236. https://doi.org/10.1007/s10936-023-09939-2
Roohani, A. y Rad, H. S. (2022). Effectiveness of Hybrid-Flipped Classroom in Improving Efl Learners’ Argumentative Writing Skill. Teflin Journal, 33(2), 349-366. https://doi.org/10.15639/teflinjournal.v33i2/349-366
Roxas, M. J. (2023). Collaborative Research Writing in the New Normal: Students’ Views, Challenges, Coping Strategies, and Takeaways. Journal of Learning for Development, 10(2), 297-311. https://doi.org/10.56059/jl4d.v10i2.829
Santiago, R. y Bergmann, J. (2018). Aprender al revés (1ra. Ed.). Paídos Educación.
Sargent, J. y Casey, A. (2020). Flipped learning, pedagogy and digital technology: Establishing consistent practice to optimise lesson time. European Physical Education Review, 26(1), 70-84. https://doi.org/10.1177/1356336X19826603
Shafiee Rad, H., Namaziandost, E. y Razmi, M. H. (2022). Integrating STAD and flipped learning in expository writing skills: Impacts on students’ achievement and perceptions. Journal of Research on Technology in Education, 1-17. https://doi.org/10.1080/15391523.2022.2030265
Shanks, J. D. y Young, S. W. H. (2019). Applying Attributes of Contemplative Technopedagogy to a Social Media Assignment. Frontiers in Education, 4, 1-11. https://doi.org/10.3389/feduc.2019.00048
Siemens, G. y Fonseca, D. (2007). Conectivismo: Una teoría del aprendizaje para la era digital. Humanas Virtual. http://www.humanasvirtual.edu.ar/wp-content/uploads/2013/12/Siemens2004-Conectivismo.pdf
Stahl, G. (2004). Group cognition: Computer support for building collaborative knowledge. In Group Cognition. The MIT Press. https://doi.org/10.7551/mitpress/3372.001.0001
Storch, N. (2019). Collaborative writing. Language Teaching, 52(1), 40-59. https://doi.org/10.1017/S0261444818000320
Sundari, H. y Febriyanti, R. H. (2023). Collective Scaffolding in Virtual Collaborative Writing: A Study during Emergency Remote Teaching in Indonesia. Studies in English Language and Education, 10(1), 16-40. https://doi.org/10.24815/siele.v10i1.25039
Suwantarathip, O. y Wichadee, S. (2014). The effects of collaborative writing activity using Google docs on students’ writing abilities. Turkish Online Journal of Educational Technology, 13(2), 148-156.
Svenlin, M. y Jusslin, S. (2023). Thinking brainstorming as otherwise in collaborative writing: A rhizoanalysis. Linguistics and Education, 77, 101218. https://doi.org/10.1016/j.linged.2023.101218
Tan, E. y Carnegie, S. (2022). ‘It’s not plagiarism, it’s a bad use of power phrasing’: Assessment of home and international student (mis) understandings of citation practice. Innovations in Education and Teaching International, 59(3), 285-295. https://doi.org/10.1080/14703297.2020.1844779
Thai, N. T. T., De Wever, B. y Valcke, M. (2023). Feedback: an important key in the online environment of a flipped classroom setting. Interactive Learning Environments, 31(2), 924-937. https://doi.org/10.1080/10494820.2020.1815218
Thirakunkovit, S. y Boonyaprakob, K. (2022). Developing Academic Writing Skills through a Task-Based Approach: A Case Study of Students’ Collaborative Writing. REFLections, 29(3), 526-548. https://doi.org/10.61508/refl.v29i3.261319
Traverso, C. V. (2023). Modelo de clasificación del agente evaluador según relaciones de poder: ¿qué evalúa quién evalúa? Revista Brasileira de Educação, 28, 1-19. https://doi.org/10.1590/s1413-24782023280011
Umutlu, D. y Akpinar, Y. (2020). Effects of different video modalities on writing achievement in flipped English classes. Contemporary Educational Technology, 12(2), ep270. https://doi.org/10.30935/cedtech/7993
Van Dijk, T. A. (1992). La ciencia del texto (3ra ed.). Paidós.
Vygotsky, L. S. (1978). Mind in Society. In The American Journal of Psychology. Harvard University Press. https://doi.org/10.2307/1421493
Yuliani, T., Kurniawati, N. y Siswayani, P. (2023). Engaging Indonesian students in “read, reread, list, compose” strategy to enhance paraphrasing skill. Journal of Education and Learning, 17(2), 195-205. https://doi.org/10.11591/edulearn.v17i2.20438
Zhang, M., Gibbons, J. y Li, M. (2021). Computer-mediated collaborative writing in L2 classrooms: A systematic review. Journal of Second Language Writing, 54, 100854. https://doi.org/10.1016/j.jslw.2021.100854
Zhao, X. y Yang, Y. (2023). Impact of social media-supported flipped classroom on English as a foreign language learners’ writing performance and anxiety. Frontiers in Psychology, 13, 1-12. https://doi.org/10.3389/fpsyg.2022.1052737
Zou, D., Xie, H. y Wang, F. L. (2022). Effects of technology enhanced peer, teacher and self-feedback on students’ collaborative writing, critical thinking tendency and engagement in learning. Journal of Computing in Higher Education, 166-185. https://doi.org/10.1007/s12528-022-09337-y
Información adicional
Cómo citar: Chura-Quispe, G., García Castro, R. A., Limache Arocutipa, G. P., & De La Cruz, B. D. L. (2024). Creation and validation of a technopedagogical design with flipped learning and collaborative writing. [Creación y validación de un diseño tecnopedagógico con aprendizaje invertido y escritura colaborativa]. RIED-Revista Iberoamericana de Educación a Distancia, 27(2). https://doi.org/10.5944/ried.27.2.38995