Estudios e investigaciones

Recepción: 01 Diciembre 2023
Aprobación: 12 Febrero 2024
Publicación: 01 Julio 2024
DOI: https://doi.org/10.5944/ried.27.2.39109
Abstract: Inquiry is a didactic methodology that promotes the development of scientific competencies and the meaningful learning of science. However, its implementation in the Spanish educational context faces various barriers, such as the lack of both resources and teacher training. The objective of this study was to design and evaluate the usability of IndagApp; an ICT resource that facilitates the teaching of science by inquiry with students aged 10 to 14. A convergent mixed methods design was used, with an intentional sampling composed of a panel of 14 experts from different disciplines. The quantitative results showed high usability of the app, while the qualitative ones allowed for improving the user interface, including scaffolding strategies and aligning the resource with the curricular demands. From this process, an improvement of the app was made, which in its improved version consists of ten inquiries that address the central contents of the new LOMLOE curriculum. In addition, support resources have been designed for its implementation, such as guide programs for teachers and printable class sheets for students. Taken together, this resource is relevant and innovative for the didactic transposition of inquiry, providing the Ibero-American educational and research community with a valuable tool for the teaching of science. Future research delving into the usage and perceived usability among potential users in Primary and Secondary Education is warranted.
Keywords: simulation-based learning, mobile learning, educational app, virtual labs, scientific inquiry.
Resumen: La indagación es una metodología didáctica que promueve el desarrollo de competencias científicas y el aprendizaje significativo de las ciencias. Sin embargo, su implementación en el contexto educativo español se enfrenta a diversas barreras, como la falta de recursos y formación docente. El objetivo de este estudio fue diseñar y evaluar la usabilidad de IndagApp, un recurso TIC que facilita la enseñanza de las ciencias por indagación con alumnado de 10 a 14 años de edad. Se utilizó un diseño de métodos mixtos convergentes, con un muestreo intencional compuesto por un panel de 14 expertos de distintas disciplinas. Los resultados cuantitativos mostraron una usabilidad elevada de la app, mientras que los cualitativos permitieron mejorar la interfaz del usuario, incluir estrategias de andamiaje y alinear el recurso con las demandas curriculares. A partir de este proceso se realizó una mejora de la app que, en su versión mejorada, consta de diez indagaciones que abordan contenidos centrales del nuevo currículo de la LOMLOE. Además, se han diseñado recursos de apoyo para su implementación, como programas-guía para el profesorado y fichas de clase imprimibles para el alumnado. En conjunto, este recurso se presenta como pertinente e innovador para la transposición didáctica de la indagación, brindando a la comunidad educativa e investigadora iberoamericana una herramienta valiosa para la enseñanza de las ciencias. Se propone el desarrollo de investigaciones que aborden el análisis del uso y la percepción de la usabilidad del recurso en potenciales usuarios del ámbito de la Educación Primaria y Secundaria.
Palabras clave: aprendizaje basado en simulación, aprendizaje móvil, app educativa, laboratorios virtuales, indagación científica.
INTRODUCTION
Inquiry-based teaching plays a pivotal role in science education worldwide, including in Spain (Morales et al., 2018; Schwartz et al., 2023). Inquiry-based teaching diverges from traditional methods focused on the explicit transmission of concepts and facts, as it promotes active learning that encourages students to explore and discover these concepts through scientific practices (Aditomo & Klieme, 2020; Alzate & Guevara, 2021; Toma, 2022). The inquiry methodology emphasizes critical thinking, problem-solving, and experimentation (Akerson & Bartels, 2023; Teig et al., 2022). The goal of this methodology is to cultivate a deeper understanding of scientific principles and foster students' scientific literacy (García-Carmona, 2020; Romero-Ariza, 2017). However, successfully implementing inquiry is challenging due to time and classroom management issues, resource scarcity, and teachers' lack of pedagogical content knowledge (Baroudi & Helder, 2019; Chichekian et al., 2016; Romero-Ariza et al., 2019). One of the main obstacles to its adoption is the lack of materials and educational kits specifically designed for inquiry-based science education (Fang, 2020). Furthermore, the availability and accessibility of necessary resources, such as laboratory equipment and materials, may be limited, further complicating the implementation of inquiry-based practices (Zhang, 2016).
In light of this context, this article presents the design, development, and usability evaluation of IndagApp. This educational app aims to address and reduce the barriers faced by teachers when implementing inquiry in science education. The project seeks to develop a practical solution that empowers teachers to effectively adopt this pedagogical strategy for teaching science. The objective is to provide a resource that is easily accessible and promotes teaching and learning practices that have been increasingly demanded by Ibero-American curricula in general (Morales et al., 2018; 2022), and Spanish curricula in particular (Criado et al., 2014; LOMLOE, 2020). This endeavor is supported by research in science education (Aguilera & Perales-Palacios, 2020; Lazonder & Harmsen, 2016; Romero-Ariza, 2017; Savelsbergh et al., 2016).
THEORETICAL UNDERPINNINGS
Inquiry-based science teaching
For decades, scientific inquiry has been subject to various interpretations and conceptualizations (Vorholzer & von Aufschnaiter, 2019). Consequently, despite the popularity of inquiry-based pedagogies, there is no single approach to its didactic transposition. According to Crawford (2014) and Schwartz et al. (2023), there are different ways to engage students in scientific inquiries, such as project-based learning, citizen science, or model-based inquiry, among others. However, the different conceptualizations of inquiry-based science education share common aspects: they address a central problem, use experimental procedures for data collection, and aim to develop evidence-based conclusions (Osborne, 2014; Pedaste et al., 2015; Toma, 2021a). Therefore, although there are several interpretations and definitions of inquiry, its pedagogical use implies that students emulate the work of scientists. This includes practices such as formulating research questions, designing and conducting experiments, analyzing data, and drawing conclusions (Crawford, 2014; García-Carmona, 2020; Schwartz et al., 2023).
Pedaste et al. (2015) proposed several inquiry cycles to facilitate the didactic transposition of this methodology. These usually comprise five interrelated and cyclical phases: orientation, conceptualization, investigation, conclusion, and discussion. This cycle assists both teachers and students in formulating questions and hypotheses, proposing experimental designs, collecting and analyzing data, and effectively communicating results (Rönnebeck et al., 2016; Vorholzer & von Aufschnaiter, 2019). Furthermore, it is common to use a continuum to categorize the types of inquiry units according to the scaffolding or assistance provided by the teacher (Fang et al., 2016; Schwartz et al., 2023). At the lowest level is confirmatory inquiry, resembling cookbook-style practical activities where students merely confirm a scientific phenomenon whose answer they already know. Next is structured inquiry, where the teacher determines the research question and procedure to follow, and support strategies are employed; however, students are unaware of the expected outcomes. In guided inquiry, students develop a procedure to answer a question provided by the teacher, the results of which they also do not know. Finally, at the top of the continuum lies open inquiry, where students pursue self-directed investigations with minimal teacher assistance or support.
In Spain, literature on the use of inquiry is flourishing, both in formal and informal education (Alarcón-Orozco et al., 2022; Alzate & Guevara, 2021; Morales et al., 2018, 2022). Furthermore, inquiry has been promoted in both previous (LOE, 2006; LOMCE, 2013) and current (LOMLOE, 2020) curricula. Specifically, the curriculum establishes a common block in the Primary Education stage, called "Scientific Culture", which aims to introduce students to scientific activity so that they develop skills and strategies of scientific thinking through research. Thus, the contents of this block emphasize the impact of science on our society (Royal Decree 157/2022).
ICT for science teaching
The importance of Information and Communication Technologies (ICT) in science education has increased in recent years. Recent research indicates that computers and tablets are effective for teaching and learning science. Indeed, in their systematic literature review, Scalise et al. (2011) concluded that virtual laboratories and simulations could enhance the learning of scientific concepts. Similarly, after reviewing 61 empirical studies, Smetana and Bell (2012) found that computational simulations are effective for teaching sciences and may be more effective than traditional classes and textbooks in promoting conceptual change and skill development. The literature also highlights several advantages of using virtual laboratories: they reduce the cost of equipment and materials, are accessible anytime and anywhere, the learning outcomes are similar to those of traditional practical laboratories, and they allow for the development of practical skills through experimentation (Ali et al., 2022; Aljuhani et al., 2018; Silva-Díaz et al., 2022).
Currently, there are several resources with virtual simulations, such as PhET Colorado and ChemCollective. The use of these tools by teachers has shown favorable results in primary (Bozzo et al., 2022), secondary (Bravo et al., 2019), and university students (Roll et al., 2018). However, these resources may resemble confirmatory inquiries or cookbook-style laboratory practices that involve following instructions to confirm a phenomenon. Additionally, these resources have limitations in that they are decontextualized from a problematic situation and omit the phases of authentic inquiry (Pedaste et al., 2015), such as formulating questions and hypotheses or identifying variables in the experiment, focusing mainly on the experimental simulation. Therefore, a resource is needed that addresses all stages of a scientific inquiry, which would assist teachers in adopting this teaching methodology and students in understanding scientific practices.
Usability evaluation of ICT resources
ICTs have a significant impact on both the learning experience and educational effectiveness (Silva-Díaz et al., 2022). For this reason, it is crucial to evaluate the perceived usability by users, which refers to the degree to which a system, product, or service can be used by users to achieve specific goals effectively, efficiently, and satisfactorily in a given context of use (ISO, 2018). In this regard, Vlachogianni and Tselios (2022) emphasized the importance of conducting usability studies to ensure that ICT resources are easy to use and designed to meet the needs of the target audience, which, in the case of this study, comprises primary and secondary school teachers.
The purpose of usability evaluation is to identify and address design and functionality issues. Research on the usability of educational technological resources usually focuses on three dimensions or constructs: effectiveness, efficiency, and user satisfaction (Lewis, 2018; Vlachogianni & Tselios, 2022). Effectiveness encompasses the user's ability to correctly complete a task using the resource. It includes aspects related to the perceived difficulty, ease of use, or whether different components (e.g., user interface, graphics, font) are adequately integrated (Del Rocio Sevilla-Gonzalez et al., 2020). On the other hand, efficiency is related to the extent to which the resource assists teachers in their teaching tasks (e.g., reducing class preparation time). As such, it is often measured through the perceived utility of the resource (Hoehle & Venkatesh, 2015). Finally, satisfaction refers to users' subjective reactions when using the resource. It includes aspects related to the affective rewards obtained through system adoption, such as enjoyment, increased self-efficacy, or interest (O’Brien et al., 2018).
DESCRIPTION OF INDAGAPP
IndagApp (in English, InquiryApp) is a 3D app designed to implement inquiry-based science teaching with students aged 10 to 14 years old (screenshots of the interface are provided in the Results section). In Spain, these ages correspond to the 5th and 6th grades of Primary Education and the 1st and 2nd grades of Secondary Education. IndagApp consists of a total of ten inquiry units that address different phenomena based on the core content of the Spanish LOMLOE educational law (2020; Real Decreto 157/2022): plant growth, crystal formation, forces, floods, bacterial growth, photosynthesis, buoyancy, valley formation, light refraction, and hot air balloon flight. IndagApp is available for smartphones and digital tablets with Android operating systems and for computers with Windows. Each investigation has a common structure and follows the principles and fundamental phases of scientific inquiry (Osborne, 2014; Pedaste et al., 2015; Schwartz et al., 2023). The inquiry cycle proposed by Pedaste et al. (2015) was adopted using terminology that is more accessible to teachers and students:
During the first phase of the inquiry unit, known as the phase of formulation of the problematic situation (orientation), students are guided to formulate specific and clear scientific questions about a natural phenomenon. All units begin with a contextualized learning situation that introduces the topic of study. The objective is for students to learn to ask precise and relevant questions that can be answered with an experimental design.
In the second phase, known as hypothesis formulation (conceptualization), students formulate four tentative responses to the research question, so that each inquiry addresses four different hypotheses.
In the third phase, called the planning and experimental design phase (investigation), students identify the dependent, independent, and control variables of the experimental design. These variables will later be used to test each of the hypotheses formulated.
During the fourth phase, or data collection and interpretation (conclusion), students use specifically designed virtual simulations for each inquiry investigation, record the data in tables, and draw graphs. Subsequently, they interpret the data and respond to specific questions to search for patterns and possible explanations.
In the fifth and final phase, student understanding is assessed through consolidation and application of knowledge questions (discussion). This final phase tests students' ability to apply the concepts addressed in the inquiry unit to new problematic contexts.
METHODOLOGY
Research design
This study adopted a convergent mixed-methods research design, in which quantitative and qualitative components of the investigation are conducted separately during data collection (Creswell & Plano-Clark, 2018). The results are gathered independently and integrated or triangulated during interpretation (Figure 1).
Sample
There is no specific sample size considered ideal for usability testing. Research indicates that most usability issues are detected with the first 3–5 subjects and that it is unlikely that more subjects will reveal new information (Nielsen et al., 2006). Typically, a study with 5 participants is sufficient to discover major problems and improve usability, and with 10 participants, more than 80% of usability problems are detected (Lewis, 2014).
Fourteen experts were recruited, six women and eight men, using purposive sampling techniques to ensure the inclusion of sources rich in information (Cohen et al., 2018). Nine of the experts are teaching and research staff at the University of Burgos and the University of Valladolid with expertise in the following areas and topics: Education Sciences and Inclusive Education, Didactics of Experimental Sciences –with training in the disciplines of physics, chemistry, biology, and geology– and Computer Engineering. Within this group, there was one Full Professor, two Associate Professors, two Assistant Professors, and two Lecturers with Ph.D. degrees, with an average professional experience of 23.3 years (min. = 7, max. = 40). Of the remaining experts, three were primary school teachers and two were secondary school teachers, with an average of 9.8 years (min. = 4, max. =16) of teaching experience.
Data collection instruments
For the quantitative component of this investigation, three instruments addressing the main dimensions of usability in educational research were used, employing a Likert-type scale (1 = Totally disagree; 5 = Totally agree). The first one was the System Usability Scale (SUS) questionnaire (Brooke, 1996), considered the gold standard for measuring subjective usability (Lewis, 2018). The questionnaire consists of 10 items that assess users' perceptions of the overall usability of IndagApp, such as "I consider IndagApp easy to use" and "I consider IndagApp unnecessarily complex". The version validated for use with the Spanish population was employed (Del Rocio Sevilla-Gonzalez et al., 2020). The Cronbach's alpha coefficient (α = .66) revealed marginal reliability, although consistent with previous research (Bangor et al., 2008; Vlachogianni & Tselios, 2022).
The second questionnaire, called the User Engagement Scale (UES) (O’Brien et al., 2018), consists of 12 items that measure four important dimensions complementing the SUS: focused attention (e.g., "The time I spent using IndagApp passed quickly"), perceived usability (e.g., "IndagApp seemed confusing to use"), aesthetic appeal (e.g., "IndagApp has a visually appealing design"), and reward factor, such as enjoyment or interest generated (e.g., "My experience with IndagApp was rewarding"). The Cronbach's alpha values indicate adequate reliability for all dimensions: α = .83, .70, .76, and .90.
The third questionnaire consists of the Mobile Application Usability (MAU) (Hoehle & Venkatesh, 2015), specifically designed and validated to evaluate the usability of apps. The MAU comprises 24 items measuring six different dimensions, including design (e.g., "I believe IndagApp has a good design"), utility (e.g., "I believe IndagApp is useful"), graphics (e.g., "The graphics of the IndagApp interface are well designed"), input (e.g., "IndagApp allows me to input data easily"), output from the user interface (e.g., "The content of IndagApp is presented effectively"), and structure (e.g., "IndagApp is very well structured"). The Cronbach's alpha coefficient showed very high reliability, with values of α = .92, .89, .96, .95, .94, and .86.
It should be noted that the UES and the MAU have not been previously validated in Spanish. Therefore, a cross-cultural translation procedure was used in this study, which required forward and back-translation procedures and a pilot test before data collection (Cohen et al., 2018).
On the other hand, for the qualitative component of the investigation, the participants conforming to the expert panel responded to a questionnaire with open-ended questions, which were discussed in two focus groups: the first with university faculty and the second with primary and secondary school teachers. The questionnaire was aligned with the usability dimensions measured during the quantitative component: ease of use (What difficulties have you experienced when using the app? How can the app be simplified to make it easier to use?), user experience (How can the different features of the app be better integrated?), user confidence/self-efficacy (What improvements can be implemented to increase user confidence/self-efficacy?), and intention to use (How can the app be designed to encourage frequent use?). A generic question was also formulated (Do you have any other suggestions to improve the performance, usability, and overall quality of the app?).
Data analysis
Descriptive statistics were used to analyze the quantitative data. The SUS scoring method involves subtracting 1 from odd-numbered items and subtracting the participant's score from 5 for even-numbered items. The resulting scores are then summed and multiplied by 2.5 to yield a score that ranges from 0 to 100. Scores equal to or above 68 indicate adequate usability (Brooke, 2013). For ease of interpretation, scores were next categorized on the adjective scale (Bangor et al., 2009): Worst imaginable (12.5), Awful (20.3), Poor (35.7), Fair (50.9), Good (71.4), Excellent (85.5), Best imaginable (90.9). For the UES and MAU instruments, the average of each dimension is calculated, with values close to one indicating very low usability and values close to five indicating very high usability.
Qualitative data were analyzed using a directed content analysis approach (Cohen et al., 2018). This analysis was grounded in usability dimensions from the literature, guided by a predetermined coding structure (Hoehle & Venkatesh, 2015; Lewis, 2014, 2018). It is noteworthy that in this study, all data were fitted to existing codes, and no instances requiring a new category were found.
RESULTS
Quantitative component
Regarding the SUS, the average total score obtained was 80.89 (min. = 58, max. = 95; SD = 82.5), indicating a level of usability that securely surpasses the established minimum threshold. When analyzing the scores using Bangor et al.'s (2009) adjective scale, none of the experts rated usability as the worst imaginable, awful, or poor. Instead, two participants considered it fair, seven rated it as good, three considered it excellent, and two experts rated it as best imaginable.
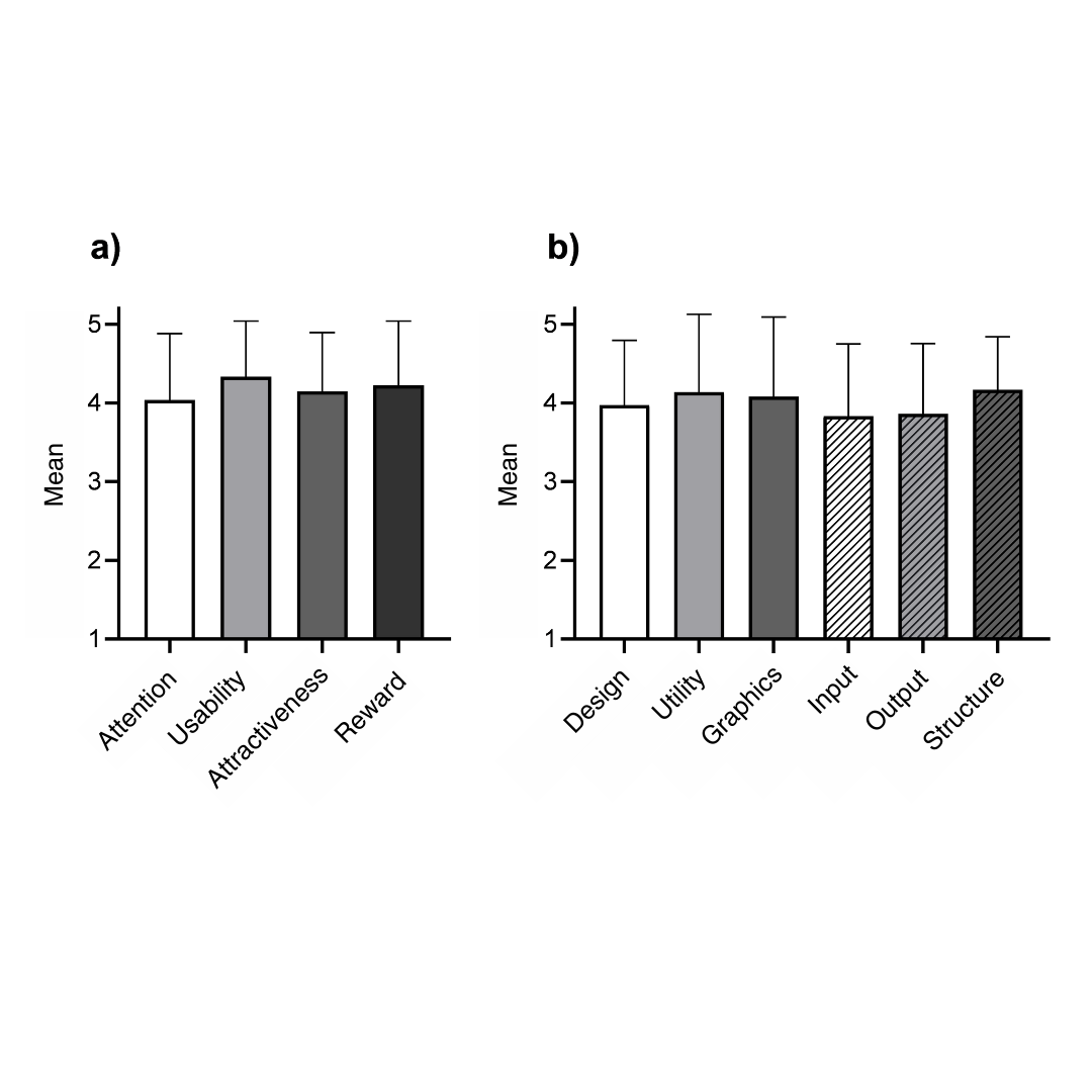
As for the UES, the four evaluated dimensions revealed highly satisfactory responses (see Figure 2a). The average score exceeded 4 points out of 5 in all dimensions, with perceived usability particularly noteworthy. The dimension with the lowest results was the attention generated by the app, indicating potential avenues for improvement in terms of design and graphics. On the other hand, the six dimensions of the MAU also obtained high average scores (see Figure 2b). In this case, the highest scores were observed in the app's structural interface and the perceived utility of the resource, reaching scores above 4.1 out of 5 points. Conversely, the lowest scores were recorded in dimensions related to user interface input and output, suggesting areas for improvement in presenting the app's content.

Qualitative component
The results of the qualitative component of the investigation are next presented according to the following themes.
Theme #1. Ease of Use. Overall, participants perceived IndagApp as an easy-to-use resource. However, they pointed out several aspects that could be improved. The first of these is related to the lack of feedback and guidance during the use of the resource. Users expressed the need for instructions and explanations to understand the actions being carried out, especially when transitioning from one inquiry phase to another. Examples of comments include: "I had no idea what to do in some stages. Sometimes I could guess, but not always"; "If I were a student, I wouldn't know what to pay attention to or what data I need to complete the table in the next step"; "I would need some instructions to know what to do in each phase"; "I would like students to know what they are supposed to do in each phase"; or "Include explanatory text or audio that tells them the steps".
Another aspect of improvement related to the identification of variables during the methodological phase of the research. Specifically, there was a need for clearer instructions regarding the definition and identification of dependent, independent, and control variables. Users found it challenging to determine which variables were dependent, independent, and control. Examples of such comments include: "It is very difficult to determine which variables are dependent, independent, or control for each of the hypotheses. I think this will be very complicated for both students and teachers" and "It requires time and effort to understand these concepts, especially the first time you use the app".
Theme #2. User Experience. Participants' comments aimed at improving the user experience addressed aspects related to (i) error correction and stability, (ii) the duration of each inquiry, and (iii) the design and interface of the app. Regarding the first aspect, users encountered instances where the app would hang or freeze, as well as some issues related to content, such as errors when updating the results table. They mentioned instances such as: "It is necessary to resolve stability issues"; "Currently, the app is just a prototype and has several errors that need to be fixed to build trust and support the learning process"; "There are errors when updating the results table"; and "Review errors related to experiment results". Regarding the duration of each inquiry, users found it inconvenient to have to restart the entire experimentation and data collection phase each time they made a mistake when changing an independent or control variable, stating: "When I make a mistake and change a variable I shouldn't change, the experiment restarts completely, and the data from the table is lost. I have to start from scratch".
Regarding the design and interface of the app, experts suggested improving speed, agility, and graphics. They also recommended creating a version compatible with both computers and mobile devices. Another common improvement was to add a more age-appropriate interface for students. Comments included suggestions such as: "The graphics are not very appealing"; "Inquiry units should be a bit more engaging for students; they should be about topics that interest them at their age"; and "Improve the speed to make it a bit faster". Additionally, aspects related to interface design and structure were discussed for improvement. Suggestions included improving the accessibility of the button to advance to the next phase, the need for an exit button and a button to go back to the previous phase, and increasing the general font size, especially during data collection. Examples of these suggestions are: "The button to move from one phase to another should be in a more accessible location"; "Include an exit or close button; to close it, you have to force quit the application"; "There should be a button to go back [to previous phases]"; "The data in the tables are very difficult to read" or "The font is very small and hard to read".
Theme #3. User confidence. The panel of experts suggested including a user manual or tutorials to enhance self-efficacy in using the app. They asserted that having a supportive resource to guide teachers step-by-step through the inquiry process would improve their understanding and self-confidence in using the resource. They also expressed the need for explanations and instructions within the app to enhance understanding, both for teachers and students, of the purpose of each phase or task to be completed.
Theme #4. Intention to use. The experts mentioned that the use of the app could be encouraged by including a greater variety of inquiry units. They argued that having a wide range of units could increase their intention to use IndagApp to teach the science curriculum. Therefore, they recommended expanding the repertoire of inquiries related to the primary and secondary education curriculum. Some examples of comments include: "I miss more inquiry units", "I recommend developing more problems and learning situations to investigate", and "Inquiry units should be useful and serve to teach the content of the curriculum". Finally, they mentioned that it is important to improve and adapt the graphics to resemble games and common aesthetics for ages 10-14, as this could motivate students to use it more frequently.
Improvements implemented in the app
Table 1 shows the codes generated from the qualitative analysis, together with the improvements implemented in IndagApp based on the opinions and suggestions of the experts.

Error correction and more attractive graphics. Various changes have been made to improve the user experience and increase their self-efficacy when using the app. Firstly, enhanced graphics tailored to the users' age group were created, and a main character was introduced to guide students and encourage their participation (Figure 3). Stability issues, errors, and failures in simulations were resolved, along with the correction of content errors, thus improving the accuracy and reliability of the presented scientific information. To shorten the duration of investigations, experimental simulations were redesigned, and data collection was modified so that errors did not affect progress; now, data is no longer erased, but a pop-up window appears to alert the user when an error is made. Similarly, design flaws were addressed through improvements in the user interface, such as the inclusion of exit and back buttons, revising navigation buttons, improving data presentation, and increasing font size (Figure 4).


Scaffolding strategies. Scaffolding strategies have been implemented in IndagApp. These strategies are based on specialized literature on the adequate implementation of inquiry (Zacharia et al., 2015). This improvement addresses criticisms related to the lack of feedback and instructions. Now, such aspects are presented in text or video format. Each stage of the inquiry has a help button that provides explicit instructions for effective navigation. For example, in the third phase (planning and design), the steps for controlling and manipulating the variables are outlined. Regarding scaffolding in video format, two tutorials were created and added. The first provides a detailed summary of the inquiry process and each phase, following the phases proposed by Pedaste et al. (2015), while the second tutorial defines types of research variables and offers tips for identifying each one. Both tutorials include guided examples and are strategically placed in the main menu and at the beginning of the third phase of the inquiry unit. It is expected that the clear and concise presentation of this information will enable users to understand the key phases in the development of a scientific inquiry.
New inquiry units aligned with the curriculum. Ten scientific inquiries covering the core content of the LOMLOE (2020) science curriculum have been created. These inquiries have varying levels of difficulty and are available for download on Windows computers or mobile devices and tablets with Android. Both versions of the resource can now be downloaded for free via the Google Play Store (https://play.google.com/store/apps/details?id=com.ITACA.Indagapp). User manuals with instructions for teachers and printable class sheets for students have also been designed and are available on the project's website (http://www.webciencia.es/index.php/ind-virtual). These improvements aim to assist teachers in effectively enacting the resource.
DISCUSSION
The teaching and learning of science through inquiry is proposed as an effective methodology for the scientific literacy of students (Aguilera & Perales-Palacios, 2020; Akerson & Bartels, 2023; Romero-Ariza, 2017). Furthermore, it is supported by decades of educational research (Lazonder & Harmsen, 2016; Morales et al., 2018). However, teachers face various barriers and difficulties in effectively implementing it in the classroom (Baroudi & Helder, 2019; Romero-Ariza et al., 2019). To address these challenges, the present research has presented the design, development, and usability evaluation of IndagApp, an ICT resource for teaching science through inquiry.
In this endeavor, usability testing was crucial to develop an educational resource that is easy to use, efficient, and effective in its purpose (Vlachogianni & Tselios, 2022). The results of the quantitative component of the research show adequate usability of IndagApp, with scores well above the minimum benchmarks recommended in the literature (Bangor et al., 2009; Del Rocio Sevilla-Gonzalez et al., 2020; Lewis, 2018). Three widely used instruments in the literature support that it is a resource that captures user attention, generates interest and enjoyment (reward), is attractive in terms of design and graphics, and is a useful tool for teachers. However, aspects with room for improvement were detected. Thus, the qualitative component of the research allowed the identification of these aspects and provided some suggestions for changes to refine the app. These improvements, such as the inclusion of scaffolding resources or the development of inquiries aligned with the curriculum (LOMLOE, 2020), have been of great value because they have allowed for the improvement of the resource to the needs of the users, namely, science teachers of students aged 10-14 years.
In conclusion, this mixed methods research supports the use of IndagApp as an educational tool for didactic transposition of the inquiry methodology for teaching science in Primary and Secondary Education. It is expected that the development and free availability of this resource will provide teachers with an effective and easy-to-use tool for the adoption of inquiry.
Educational implications
The results of this study have significant educational implications. On one hand, the IndagApp resource can assist Primary and Secondary Education teachers in adopting the inquiry methodology for teaching science (Ali et al., 2022). The use of IndagApp at these stages has the potential to generate learning experiences aligned with curriculum demands and supported by educational research (Oliveira et al., 2019). On the other hand, IndagApp allows for meaningful and enriching use of ICT in the classroom (Silva-Díaz et al., 2022). This aspect enhances students' development of digital competence and promotes problem-solving through the use of digital resources (Marrero-Galván & Hernández-Padrón, 2022). Therefore, its use could lead to an improvement in scientific understanding and interest in science among students, as well as enhancing scientific literacy from the early stages of the educational system (Bozzo et al., 2022; Bravo et al., 2019). However, these aspects require further research with educational interventions grounded in IndagApp.
The analysis of expert responses reveals relevant conclusions for the development of technological resources for teachers that go beyond IndagApp. On the one hand, ICT resources must be agile and visually appealing to maintain user interest and facilitate adoption. Thus, adapting the interface and content to the target audience, considering their age, interests, and needs, is vital for acceptance. In this regard, from a teaching perspective, there is a highlighted need to provide resources with an intuitive and clear user experience, along with detailed explanations of their implementation and use. In the case of IndagApp, the provision of support resources such as video tutorials or explanations within the application has been chosen to increase the teacher's confidence in using the resource.
On the other hand, it is crucial to meet the demand for multi-platform resources (PCs, tablets, etc.) to increase adoption by teachers. Not all educational institutions have the necessary resources for ICT adoption, such as digital tablets. Therefore, IndagApp has been optimized to be used on different devices. Additionally, it is concluded that to promote the acceptance of ICT resources by teachers, a diversification and approach to relevant content adapted and grounded in the current curriculum and learning objectives of the stage must be offered. Therefore, IndagApp addresses ten central scientific contents in the scientific education of Primary and Secondary Education. Finally, to avoid significant disruption in teaching practice, the implementation of ICT resources must align with regular practices. In the case of IndagApp, a student workbook has been developed as a complement to the app, thus integrating material familiar to the teacher into their daily practice.
Avenues for future research
The present study opens new avenues for future research. One fundamental aspect is the analysis of the prolonged use of the IndagApp resource by teachers—both novice and experienced in the use of ICT resources—in the formal context of Primary and Secondary Education classrooms. This analysis would allow identifying difficulties not related to the design of the resource itself, but rather to the didactic strategies that enable its effective implementation. That is, the technological pedagogical content knowledge (TPACK), an aspect that has been identified as a matter of concern (Valtonen et al., 2023). Another aspect to be addressed in future studies is the usability of the app for Primary and Secondary students. In the present study, a panel of experts was employed according to the recommendations of the literature, both in sample size and composition, and expertise. Thus, the usability of the resource was approached from the perspective of teachers, considering effectiveness, efficiency, and satisfaction, which has allowed for improvements in the interface and content of IndagApp.
Following the improvements made and the confirmation of the resource's usability for teachers, the next steps of the project will focus on analyzing the usability by Primary and Secondary students. Informal tests have been conducted with students, yielding satisfactory results, but not related to its use in the formal classroom context or with the necessary rigor. Therefore, future studies with rigorous methodologies and instruments with adequate psychometric properties for the collection of valid and reliable data are required (Lewis, 2014), in addition to other variables of interest such as learning improvement, attitudes, or scientific motivation (Toma, 2021b).
Limitations
The usability results presented in this manuscript should be interpreted considering that two out of the three quantitative instruments used are not validated in Spanish. Attempts have been made to minimize this limitation by translating them into Spanish following cultural adaptation procedures, thus ensuring conceptual and semantic equivalence with respect to their original version (Cohen et al., 2018). Although the levels of internal reliability obtained have been satisfactory for all analyzed dimensions, the results of this research should be interpreted considering this limitation.
Acknowledgments
This study was supported by the Spanish State Investigation Agency (Agencia Estatal de Investigación de España) under the research grant: PID2020-117348RB-I00.
REFERENCES
Aditomo, A., & Klieme, E. (2020). Forms of inquiry-based science instruction and their relations with learning outcomes: evidence from high and low-performing education systems. International Journal of Science Education, 42(4), 504-525. https://doi.org/10.1080/09500693.2020.1716093
Aguilera, D., & Perales-Palacios, F. J. (2020). What effects do didactic interventions have on students’ attitudes towards science? A meta-analysis. Research in Science Education, 50(2), 573-597. https://doi.org/10.1007/s11165-018-9702-2
Akerson, V. L., & Bartels, S. L. (2023). Elementary science teaching: Towards the goal of scientific literacy. En N. G. Lederman, D. L. Zeidler & J. S. Lederman (Eds.), Handbook of Research on Science Education, Volume III (pp. 528-558). Routledge. https://doi.org/10.4324/9780367855758-21
Alarcón-Orozco, M. M., Franco Mariscal, A. J., & Blanco López, Á. (2022). Ayudando a maestros en formación inicial a desarrollar indagaciones en la Educación Infantil. Revista Eureka Sobre Enseñanza y Divulgación de Las Ciencias, 19(1), 1-20. https://doi.org/10.25267/Rev_Eureka_ensen_divulg_cienc.2022.v19.i1.1601
Ali, N., Ullah, S., & Khan, D. (2022). Interactive laboratories for science education: A subjective study and systematic literature review. Multimodal Technologies and Interaction, 6(10). https://doi.org/10.3390/mti6100085
Aljuhani, K., Sonbul, M., Althabiti, M., & Meccawy, M. (2018). Creating a Virtual Science Lab (VSL): The adoption of virtual labs in Saudi schools. Smart Learning Environments, 5(16), 1-13. https://doi.org/10.1186/s40561-018-0067-9
Alzate, M. A., & Guevara, M. (2021). La indagación como herramienta de enseñanza en el museo de ciencias naturales: Un estudio de caso acerca del fortalecimiento de las prácticas de guianza. Revista Eureka Sobre Enseñanza y Divulgación de Las Ciencias, 18(3), 3103. https://doi.org/10.25267/Rev_Eureka_ensen_divulg_cienc.2021.v18.i3.3103
Bangor, A., Kortum, P. T., & Miller, J. T. (2008). An empirical evaluation of the system usability scale. International Journal of Human-Computer Interaction, 24(6), 574-594. https://doi.org/10.1080/10447310802205776
Bangor, A., Kortum, P., & Miller, J. (2009). Determining what individual SUS scores mean; adding an adjective rating. Journal of Usability Studies, 4(3), 114-123.
Baroudi, S., & Helder, M. R. (2019). Behind the scenes: Teachers’ perspectives on factors affecting the implementation of inquiry-based science instruction. Research in Science and Technological Education, 1-22. https://doi.org/10.1080/02635143.2019.1651259
Bozzo, G., Lopez, V., Couso, D., & Monti, F. (2022). Combining real and virtual activities about electrostatic interactions in primary school. International Journal of Science Education, 44(18), 2704-2723. https://doi.org/10.1080/09500693.2022.2149284
Bravo, B., Bouciguez, M. J., & Braunmüller, M. (2019). Una propuesta didáctica diseñada para favorecer el aprendizaje de la Inducción Electromagnética básica y el desarrollo de competencias digitales. Revista Eureka Sobre Enseñanza y Divulgación de Las Ciencias, 16(1), 1203. https://doi.org/10.25267/Rev_Eureka_ensen_divulg_cienc.2019.v16.i1.1203
Brooke, J. (1996). A quick and dirty’ usability scale. In P. W. Jordan, B. Thomas, B. A. Weerdmeester & I. L. McClelland (Eds.), Usability evaluation in industry (pp. 207-212). Taylor & Francis. https://doi.org/10.1201/9781498710411-35
Brooke, J. (2013). SUS: A retrospective. Journal of Usability Studies, 8(2), 29-40.
Chichekian, T., Shore, B. M., & Tabatabai, D. (2016). First-year teachers’ uphill struggle to implement inquiry instruction: Exploring the interplay among self-efficacy, conceptualizations, and classroom observations of inquiry enactment. SAGE Open, 6(2). https://doi.org/10.1177/2158244016649011
Cohen, L., Manion, L., & Morrison, K. (2018). Research methods in education (8th edition). Routledge. https://doi.org/10.4324/9781315456539
Crawford, B. A. (2014). From inquiry to scientific practices in the science classroom. In N. G. Lederman & S. K. Abell (Eds.), Handbook of research on science education, Volume II (pp. 515-541). Routledge.
Creswell, J. W., & Plano Clark, V. L. (2018). Designing and conducting mixed methods research (3rd edition). Sage.
Criado, A., Cañal, P., & García-Carmona, A. (2014). ¿Qué educación científica se promueve para la etapa de primaria en España? Un análisis de las prescripciones oficiales de la LOE. Enseñanza de Las Ciencias, 1, 139-157. https://doi.org/10.5565/rev/ensciencias.778
Del Rocio Sevilla-Gonzalez, M., Loaeza, L. M., Lazaro-Carrera, L. S., Ramirez, B. B., Rodríguez, A. V., Peralta-Pedrero, M. L., & Almeda-Valdes, P. (2020). Spanish version of the System Usability Scale for the assessment of electronic tools: Development and validation. JMIR Human Factors, 7(4), 1-7. https://doi.org/10.2196/21161
Fang, S. C. (2020). Towards scientific inquiry in secondary earth science classrooms: Opportunities and realities. International Journal of Science and Mathematics Education. https://doi.org/10.1007/s10763-020-10086-6
Fang, S. C., Hsu, Y. S., Chang, H. Y., Chang, W. H., Wu, H. K., & Chen, C. M. (2016). Investigating the effects of structured and guided inquiry on students’ development of conceptual knowledge and inquiry abilities: a case study in Taiwan. International Journal of Science Education, 38(12), 1945-1971. https://doi.org/10.1080/09500693.2016.1220688
García-Carmona, A. (2020). From inquiry-based science education to the approach based on scientific practices: A critical analysis and suggestions for science teaching. Science and Education, 29(2), 443-463. https://doi.org/10.1007/s11191-020-00108-8
Hoehle, H., & Venkatesh, V. (2015). Mobile application usability: Conceptualization and instrument development. MIS Quarterly, 39(2), 435-472. https://doi.org/10.25300/MISQ/2015/39.2.08
ISO. (2018). Usability: Definitions and concepts. In Ergonomics of human-system interaction (pp. 1–29). ISO. https://www.iso.org/obp/ui/#iso:std:iso:9241:-11:ed-2:v1:en
Lazonder, A. W., & Harmsen, R. (2016). Meta-analysis of inquiry-based learning: Effects of guidance. Review of Educational Research, 86(3), 681-718. https://doi.org/10.3102/0034654315627366
Lewis, J. R. (2014). Usability: Lessons learned. and yet to be learned. International Journal of Human-Computer Interaction, 30(9), 663-684. https://doi.org/10.1080/10447318.2014.930311
Lewis, J. R. (2018). The system usability scale: Past, present, and future. International Journal of Human-Computer Interaction, 34(7), 577-590. https://doi.org/10.1080/10447318.2018.1455307
LOE. (2006). Ley Orgánica 2/2006, de 3 de mayo, de Educación.
LOMCE. (2013). Ley Orgánica 8/2013, de 9 de diciembre, para la mejora de la calidad educativa.
LOMLOE. (2020). Ley Orgánica 3/2020, de 29 de diciembre, por la que se modifica la Ley Orgánica 2/2006, de 3 de mayo, de Educación. Boletín Oficial del Estado, 340, de 30 de diciembre de 2020.
Marrero-Galván, J. J., & Hernández-Padrón, M. (2022). The importance of virtual reality in STEM education: A systematic review from the point of view of experimentation in the classroom. Bordon. Revista de Pedagogia, 74(4), 45-63. https://doi.org/10.13042/Bordon.2022.94179
Morales, D. A., Martín-Páez, T., Valdivia-Rodríguez, V., Ruiz-Delgado, Á., Williams-Pinto, L., Vílchez-González, J. M., & Perales-Palacios, F. J. (2018). La enseñanza de las ciencias basada en indagación. Una revisión sistemática de la producción española. Revista de Educacion, 381, 259-284. https://doi.org/10.4438/1988-592X-RE-2017-381-388
Morales, M., Acosta-García, K., & Rodríguez, C. (2022). El rol docente y la indagación científica: análisis de una experiencia sobre plagas en una escuela vulnerable de Chile. Revista Eureka Sobre Enseñanza y Divulgación de Las Ciencias, 19(2), 1-20. https://doi.org/10.25267/Rev_Eureka_ensen_divulg_cienc.2022.v19.i2.2201
Nielsen, J., Lewis, J., & Turner, C. (2006). Determining usability test sample size. In W. Karwowski (Ed.), International Encyclopedia of Ergonomics and Human Factors, Second Edition - 3 Volume Set (pp. 3084-3088). https://doi.org/10.1201/9780849375477.ch597
O’Brien, H. L., Cairns, P., & Hall, M. (2018). A practical approach to measuring user engagement with the refined user engagement scale (UES) and new UES short form. International Journal of Human Computer Studies, 112, 28-39. https://doi.org/10.1016/j.ijhcs.2018.01.004
Oliveira, A., Feyzi Behnagh, R., Ni, L., Mohsinah, A. A., Burgess, K. J., & Guo, L. (2019). Emerging technologies as pedagogical tools for teaching and learning science: A literature review. Human Behavior and Emerging Technologies, 1(2), 149-160. https://doi.org/10.1002/hbe2.141
Osborne, J. (2014). Scientific practices and inquiry in the science classroom. In N. G. Lederman & S. K. Abell (Eds.), Handbook of research on science education, Volume II (pp. 579-599).
Pedaste, M., Mäeots, M., Siiman, L. A., de Jong, T., van Riesen, S. A. N., Kamp, E. T., Manoli, C. C., Zacharia, Z. C., & Tsourlidaki, E. (2015). Phases of inquiry-based learning: Definitions and the inquiry cycle. Educational Research Review, 14, 47-61. https://doi.org/10.1016/j.edurev.2015.02.003
Real Decreto 157/2022, de 1 de marzo, por el que se establecen la ordenación y las enseñanzas mínimas de la Educación Primaria. (2022). https://www.boe.es/eli/es/rd/2022/03/01/157/con
Roll, I., Butler, D., Yee, N., Welsh, A., Perez, S., Briseno, A., Perkins, K., & Bonn, D. (2018). Understanding the impact of guiding inquiry: The relationship between directive support, student attributes, and transfer of knowledge, attitudes, and behaviours in inquiry learning. Instructional Science, 46(1), 77-104. https://doi.org/10.1007/s11251-017-9437-x
Romero-Ariza, M. (2017). El aprendizaje por indagación: ¿existen suficientes evidencias sobres sus beneficios en la enseñanza de las ciencias? Revista Eureka Sobre Enseñanza y Divulgación de Las Ciencias, 14(2), 286-299. https://doi.org/10.25267/Rev_Eureka_ensen_divulg_cienc.2017.v14.i2.01
Romero-Ariza, M., Quesada, A., Abril, A. M., Sorensen, P., & Oliver, M. C. (2019). Highly recommended and poorly used: English and Spanish science teachers’ views of Inquiry-Based Learning (IBL) and its enactment. EURASIA Journal of Mathematics, Science and Technology Education, 16(1), 1-16. https://doi.org/10.29333/ejmste/109658
Rönnebeck, S., Bernholt, S., & Ropohl, M. (2016). Searching for a common ground – A literature review of empirical research on scientific inquiry activities. Studies in Science Education, 52(2), 161-197. https://doi.org/10.1080/03057267.2016.1206351
Savelsbergh, E. R., Prins, G. T., Rietbergen, C., Fechner, S., Vaessen, B. E., Draijer, J. M., & Bakker, A. (2016). Effects of innovative science and mathematics teaching on student attitudes and achievement: A meta-analytic study. Educational Research Review, 19, 158-172. https://doi.org/10.1016/j.edurev.2016.07.003
Scalise, K., Timms, M., Moorjani, A., Clark, L., Holtermann, K., & Irvin, P. S. (2011). Student learning in science simulations: Design features that promote learning gains. Journal of Research in Science Teaching, 48(9), 1050-1078. https://doi.org/10.1002/tea.20437
Schwartz, R. S., Lederman, J. S., & Enderle, P. J. (2023). Scientific inquiry literacy: The missing link on the continuum from science literacy to scientific literacy. In N. G. Lederman, D. L. Zeidler, & J. S. Lederman (Eds.), Handbook of Research on Science Education, Volume III (pp. 749-782). Routledge. https://doi.org/10.4324/9780367855758-28
Silva-Díaz, F., Fernández-Ferrer, G., Vásquez-Vilchez, M., Ferrada, C., Narváez, R., & Carrillo-Rosúa, J. (2022). Emerging technologies in STEM education. A bibliometric analysis of publications in Scopus & WoS (2010-2020). Bordon. Revista de Pedagogia, 74(4), 25-44. https://doi.org/10.13042/Bordon.2022.94198
Smetana, L. K., & Bell, R. L. (2012). Computer simulations to support science instruction and learning: A critical review of the literature. International Journal of Science Education, 34(9), 1337-1370. https://doi.org/10.1080/09500693.2011.605182
Teig, N., Scherer, R., & Olsen, R. V. (2022). A systematic review of studies investigating science teaching and learning: over two decades of TIMSS and PISA. International Journal of Science Education. https://doi.org/10.1080/09500693.2022.2109075
Toma, R. B. (2021a). Effect of confirmation and structured inquiry on attitudes toward school science. School Science and Mathematics, 2021, 1-8. https://doi.org/10.1111/ssm.12505
Toma, R. B. (2021b). Evidencias de validez de una medida de la motivación por las ciencias de la naturaleza. Educación XX1, 24(2), 351-374. https://doi.org/10.5944/educxx1.28244
Toma, R. B. (2022). Confirmation and structured inquiry teaching: Does it improve students’ achievement motivations in school science? Canadian Journal of Science, Mathematics and Technology Education, 22(1), 28-41. https://doi.org/10.1007/s42330-022-00197-3
Valtonen, T., Eriksson, M., Kärkkäinen, S., Tahvanainen, V., Turunen, A., Vartiainen, H., Kukkonen, J., & Sointu, E. (2023). Emerging imbalance in the development of TPACK - A challenge for teacher training. Education and Information Technologies, 28, 5363-5383. https://doi.org/10.1007/s10639-022-11426-5
Vlachogianni, P., & Tselios, N. (2022). Perceived usability evaluation of educational technology using the System Usability Scale (SUS): A systematic review. Journal of Research on Technology in Education, 54(3), 392-409. https://doi.org/10.1080/15391523.2020.1867938
Vorholzer, A., & von Aufschnaiter, C. (2019). Guidance in inquiry-based instruction–an attempt to disentangle a manifold construct. International Journal of Science Education, 41(11), 1562-1577. https://doi.org/10.1080/09500693.2019.1616124
Zacharia, Z. C., Manoli, C., Xenofontos, N., de Jong, T., Pedaste, M., van Riesen, S. A. N., Kamp, E. T., Mäeots, M., Siiman, L., & Tsourlidaki, E. (2015). Identifying potential types of guidance for supporting student inquiry when using virtual and remote labs in science: a literature review. Educational Technology Research and Development, 63(2), 257-302. https://doi.org/10.1007/s11423-015-9370-0
Zhang, L. (2016). Is inquiry-based science teaching worth the effort? Some thoughts worth considering. Science & Education, 25(7-8), 897-915. https://doi.org/10.1007/s11191-016-9856-0
Información adicional
How to cite: Yánez-Pérez, I., Toma, R. B., & Meneses-Villagrá, J. A. (2024). Design and usability of IndagApp: an app for inquiry-based science education. [Diseño y usabilidad de IndagApp: una app para la enseñanza de las ciencias por indagación]. RIED-Revista Iberoamericana de Educación a Distancia, 27(2). https://doi.org/10.5944/ried.27.2.39109