Estudios e investigaciones
Distance Education, transforming realities: a look at insecure environments
Educación a Distancia, transformar realidades: una mirada en ambientes inseguros
Distance Education, transforming realities: a look at insecure environments
RIED-Revista Iberoamericana de Educación a Distancia, vol. 27, núm. 2, 2024
Asociación Iberoamericana de Educación Superior a Distancia

Recepción: 01 Diciembre 2023
Aprobación: 26 Febrero 2024
Publicación: 01 Julio 2024
Abstract: Latin America faces persistent challenges related to high crime rates, creating an environment marked by violence and insecurity. Ecuador has experienced a significant increase in violence in recent years, making it one of the most dangerous countries in the region. This study addresses how insecurity and crime influence enrollment rates in higher education at the undergraduate level, specifically at the Universidad Técnica Particular de Loja (UTPL), by examining how distance education (DE) becomes a safer and more attractive option in areas affected by high rates of insecurity. We use data on the number of students in the DE system provided by the Vice Rectorate of Distance Modality of the UTPL, in addition to homicide data by province between 2019 and 2022 obtained from the Ministry of the Interior of Ecuador. Also, the Gross Value Added (GVA) of the Higher Education sector is considered as a control variable. As an econometric strategy, we used multilevel analysis and regressions for panel data, which confirm the hypothesis put forward: the homicide rate has a positive effect on enrollments in the UTPL's DE system at the provincial level. These findings allowed inferring the significant influence of insecurity and violence on students' educational decisions, motivating the choice of safer educational modalities, such as distance learning.
Keywords: distance learning, higher education, quantitative analysis, violence.
Resumen: América Latina enfrenta desafíos persistentes relacionados con altas tasas de delitos, creando un entorno marcado por la violencia y la inseguridad. Ecuador ha experimentado un aumento significativo en la violencia en los últimos años, convirtiéndose en uno de los países más peligrosos de la región. Este estudio aborda cómo la inseguridad y la criminalidad influyen en la tasa de matriculación en estudios superiores a nivel de grado, específicamente en la Universidad Técnica Particular de Loja (UTPL), examinando la forma en la que la Educación a Distancia (EaD) se convierte en una opción más segura y atractiva en zonas afectadas por altos índices de inseguridad. Se utilizan datos del número de estudiantes en el sistema de EaD proporcionados por el Vicerrectorado de Modalidad a Distancia de la UTPL, además de datos de homicidios por provincia entre 2019 y 2022 obtenidos del Ministerio del Interior de Ecuador. También, se considera el Valor Agregado Bruto (VAB) del sector de Enseñanza Superior, como variable de control. Como estrategia econométrica se utilizó principalmente el análisis multinivel y regresiones para datos de panel, las cuales confirman la hipótesis planteada: la tasa de homicidios tiene un efecto positivo en las matriculaciones en el sistema de EaD de la UTPL a nivel provincial. Estos hallazgos permitieron inferir la influencia significativa de la inseguridad y la violencia en las decisiones educativas de los estudiantes, motivando la elección de modalidades educativas más seguras, como es la de estudios a distancia.
Palabras clave: enseñanza a distancia, enseñanza superior, análisis cuantitativo, violencia.
INTRODUCTION
Latin America is a region facing persistent challenges related to insecurity and crime. High rates of crime such as robbery, assault and drug trafficking have contributed to an environment marked by violence and insecurity compared to other parts of the world (Niño, 2020). The consequences of this violence and conflict for development are profound and affect millions of people in the region (Dammert, 2010; World Bank, 2011).
This issue is reflected in a South American crime index of 5.51/10, which includes a high score of 5.19/10 in the criminal market and a strong influence of criminal structures on security institutions or state control, with a score of 6.63/10 (Observatorio Ecuatoriano de Crimen Organizado, 2022). Accordingly, this index suggests a connection between corruption and the dynamics of organized crime in the region. Moreover, it is highlighted that South and Central America are among the top five regions in the world with the highest crime rates (Observatorio Ecuatoriano de Crimen Organizado, 2022).
The prevailing economic inequality in the region exacerbates insecurity. This inequality often results in the concentration of poverty in urban areas, where the lack of opportunities can become a breeding ground for crime (Vuanello, 2009). Furthermore, several Latin American countries have faced security problems related to drug trafficking and gangs, which have raised significant concerns and eroded the quality of life in affected communities (Cieza, 2009). Corruption and ineffective law enforcement in some countries have also undermined trust in the institutions responsible for maintaining public safety. In this context, insecurity, violence, and crime have left a deep mark on the region, with consequences that transcend various aspects of daily life, including education (Furlán, 2012).
Ecuadorian context
In the specific case of Ecuador, a particularly critical phenomenon has been observed in recent years, as the country has experienced increased growth of criminal markets in the region, within the global crime ranking it retains a rate of 7.07, moving from 35th place in 2021, to 11th in 2023 (Global Organized Crime Index, 2023). According to data provided by the National Police of Ecuador, between January and June 2023, more than 3513 murders were registered throughout the territory (Mella, 2023a). Furthermore, in 2022 the country’s homicide rate reached almost twenty-six people per one hundred thousand inhabitants, according to the data portal Statista (Chevalier, 2023). These figures are alarming and show a drastic change in security in a brief period, given that Ecuador went from being one of the safest countries in the region to experiencing a significant increase in its homicide rate, multiplying it by five in just seven years. Under these unfavorable circumstances, it was forecasted that Ecuador would close the year 2023 with a homicide rate of forty per 100,000 inhabitants, positioning itself as the most violent country in the region (Mella, 2023a).
These data reveal that Ecuador is going through one of the worst insecurity crises in its recent history. During the first semester of 2023, there was a 74% increase in the number of violent deaths in the country (Coba, 2023). This increase in violence, driven mainly by the activity of organized crime linked to drug cartels, has placed Ecuador in an alarming position within the Latin American context. The country exhibits some of the highest homicide rates in the region, representing a significant challenge for public safety and the quality of life of its citizens. Paulina Recalde reports that, in 2022, 22% of the population considered insecurity as the country's main problem and by 2023 this percentage increased to 60% (López, 2023).
Poverty, insecurity, and violence in Ecuador not only affect the daily lives of its citizens, but also have a substantial impact on education at all levels (UN, 2023). Students facing these circumstances encounter considerable obstacles to continue their studies in an environment marked by fear and uncertainty (Becker, 2012). This insecurity is not only manifested in the increase in crime, but also undermines society's trust in institutions and public policies responsible for ensuring their safety.
Currently, insecurity has become one of the most significant challenges facing the educational system in Ecuador, impacting young people from various demographic groups, including age, gender, and social strata. The repercussions extend beyond the educational realm into social and economic spheres that affect society (Toscano, 2023). Due to a lack of economic resources in the Highlands and Amazon regions, approximately 40,000 students did not return to the classrooms for the new school year of 2023. In the Costa region, beyond poverty, the shift to virtual classes has become a priority due to the ongoing violence and insecurity that have disrupted regular schooling (La Hora, 2023).
The surge of violence unleashed in Ecuador has led the government to take drastic measures, for example, in Durán, a city on the Ecuadorian coast, more than 30 thousand students from 34 schools were deprived of in-person classes; this decision was taken by the Ministry of Education after an uncontrollable crime wave that has hit this part of the country (Ministerio de Educación del Ecuador, 2023). As of September 2023, 5,320 violent crimes have been reported, of which 1,900 took place in the cities of Guayaquil and Durán (Mella, 2023b). The police have identified that, in the most dangerous area of Guayaquil, specifically in the Nueva Prosperina sector, 16% of students maintain links with criminal groups, according to Roberto Santamaría, head of the Nueva Prosperina District, this situation affects more than two hundred students per educational institution in the sector (Mella, 2023b). Thus, the profound impact that insecurity and violence have on education is evident, causing a notable change in learning dynamics and an exodus of students towards safer educational modalities, such as Distance Education.
Factors impacting continuation of university studies
It is essential to highlight how enrollment in higher education is influenced by a variety of social, economic, and personal factors. These factors go beyond conventional ones such as monetary income, national entrance exams or geographic coverage, as they also include personal conditions and the reality that students face in their environment. Díaz (2008) details the relevant studies that have emerged on this subject, as well as the variables that can guide the analysis of this indicator, covering individual, academic, institutional, and socioeconomic aspects.
In relation to this, there are various analytical models regarding the continuity of students' studies. For example, Bean (1980), based on Tinto (1975), argues that the following factors influence dropout: academic (educational background, academic integration, and performance), psychosocial (goals, perceived usefulness, interaction with peers and teachers), environmental (financing, transfer opportunities, external social relations) and socialization (academic performance, adaptation, and institutional commitment). In addition to these factors, numerous studies have investigated other relevant variables such as adaptation to the educational environment (Spady, 1970), family background and academic performance (Fishbein & Ajzen, 1975; Ethington, 1990), students' socioeconomic level and their academic and social integration (Pascarella & Terenzini, 1980), among other aspects that contribute to understand the complexity of college enrollment (Tinto, 1987; John et al., 2000; Bernal et al., 2000; Tabbodi et al., 2015; Zapata & Perneth, 2016).
On the other hand, within the factors that may affect the retention of students in higher education, the cyclical behavior of the Ecuadorian economy and its relationship with university enrollment should be considered. As Roblez (2019) points out and, supported by previous studies, the countercyclical relationship between enrollment and macroeconomic indicators is not generalizable to countries outside the OECD, as is the case of Ecuador. Here, the relationship between the economy and enrollment tends to be cyclical, influenced by the structure of the labor market and the quality of educational institutions. This economic dynamic may partly explain the preference for distance education during times of crisis, meaning there is an increase in enrollments during both periods of economic expansion and contraction (Seaman et al., 2018).
Role of insecurity in education
Within this context, it is valid to mention that insecurity is defined as the feeling of vulnerability and fear, it has multiple connotations such as the absence of protection, uncertainty, and exposure to risk (Achumba et al., 2013; Hassan, 2014; Adams et al., 2021; Ologele & Fatimah, 2023). This issue knows no borders and affects countries such as the United States and the United Kingdom, constantly challenging the idea of a "perfect peace" in terms of national security (Cooley, 2011). Mori et al., (2004) point out how insecurity undermines the provision of health services, directly impacting on people's wellbeing.
Safety is a crucial pillar for physical, mental, and social well-being; without it, society is immersed in a state of constant fear and danger (Meddings, 2001; Coupland, 2007). This notion of security is not only vital for human health, but also for social stability and the continued development of society (Olamosu, 2000).
In the educational sphere, safety in turn plays a fundamental role. Hirschi (2002) emphasizes the importance of education as an element of social control, providing structure and supervision that discourage participation in criminal activities. Likewise, Gottfredson & Hirschi (1990) suggest that self-control and commitment to school are determining factors in preventing criminal behavior and reducing the levels of insecurity that threaten the stability of a region or locality.
In contexts of increasing insecurity, the lack of a safe school environment may expose students to a greater risk of becoming involved in criminal activities. According to the theory of social bonding, presented by Hirschi (2002), criminal behavior arises when the connection between an individual and society is weakened or broken (Cueto, 2022). It is essential to recognize how educational security influences students' perception of their environment and how this perception affects their participation in criminal activities in communities that evidence high rates of insecurity.
In the face of these challenges, significant changes have been observed in education, especially in areas that are heavily impacted by important levels of insecurity. In Nigeria, for example, educational institutions have migrated from face-to-face instruction to online instruction to counter the effects of insecurity (Akhigbe & Ogunlade, 2022). Online learning has emerged as a solution to overcome geographical and time barriers, allowing access to Distance Education in a flexible and convenient manner (Carmo & Franco, 2019; Akhigbe & Ogunlade, 2022).
In this context, the school not only becomes a learning space, but also a crucial environment for the development of skills and values that promote democratic citizenship in the 21st century (Barrientos et al., 2023). Security, both physical and in access to education, becomes essential to guarantee the continuity of this educational process.
METHODOLOGY
Given the current context of insecurity and the growing incidence of crime in various regions of Ecuador, this research aims to test the hypothesis on the positive effect that the homicide rate has on enrollments in the UTPL's Distance Education system, at the provincial level. In this way, this study modality could be conceived as an attractive and safe alternative for students in areas affected by elevated levels of insecurity. In this sense, this research aims to generate evidence in favor of this modality of higher-level studies as a safer and more convenient option, especially in environments with high insecurity.
UTPL (2023a) stands out as a pioneering institution in the Ecuadorian educational system, especially for its distinctive model of Distance Education DE, with presence in all provinces through a network of support centers. In this research, we consider data on the number of students enrolled in the UTPL's system of distance higher education studies, from April-August 2019 to October 2022-February 2023, comprising a total of eight academic periods. These data were provided by the UTPL's Vice Rector's Office for Distance Learning (UTPL, 2023b). This input of information was consolidated at the regional and provincial level to complement the definitive database of the study.
This research is developed from a longitudinal data set, where the provinces of Ecuador represent the cross-sectional units observed between 2019 and 2022. In addition to academic data taken from the Vice Rectorate of Distance Modality of the UTPL, data associated with violence were taken from the Ministry of the Interior (2022). To ensure the accuracy and validity of the study, key economic data such as the Gross Value Added of the Higher Education Services Sector have been integrated, which were taken from the satellite accounts of Education (INEC, 2022) and, in the analysis is contemplated as a control variable. The information panel has a total of 92 data (n=92, n=x × t, where x=23 provinces observed during t=4 years). The data set is a balanced panel that covers twenty-three continental provinces - the Galapagos Island region is excluded from the analysis, given its characteristics that differentiate it from the other continental provinces of Ecuador - and offers a reliable and complete representation of the information relevant to the study.
Considering the research objectives and the type and structure of the data, three methods were used in the present study to demonstrate the response of the enrollment rate to variations in the violence rate: the first method was Ordinary Least Squares OLS, the second method was the generation of a model under the multilevel methodology and, finally, a panel model was used. The order of application of the methodologies has the sense of gradually unveiling the evidence of the behavior of the relationship proposed in the study, while also seeks rigor through appropriate robust techniques that generate reliable quantitative results.
Likewise, let us consider that social phenomena have characteristics that are associated with the hierarchical nature of the data. This fact means that the position of the observations is determined by their own characteristics as well as by those of the group to which they belong (Cebolla, 2013). The relationship between enrollment and violent events represented by homicides clearly presents a hierarchical component of region and province.
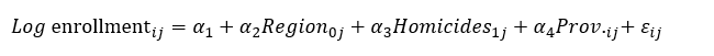
The difference in the intercept and slope could be evidenced in OLS model. This following the graphic evidence and initial exploration of the data, the functional form of this type of behavior is presented in equation 1:
(1)The multilevel methodology used explored the fixed and random behavior of the data, as well as the hierarchical order of the information. The starting multilevel model is the "empty" one that simply collects the movements of the country mean (fixed part) and the standard error (random part) of the data; its importance lies in the fact that from it the sensitivity or information provided by each nesting level and each explanatory variable will be measured. After several trials, it was determined that the form that most contributed to the explanation of enrollment movements was the mixed-effects multilevel model, whose representation is in equation 2:
(2)Finally, the panel data model – considered to corroborate the results of the multilevel model- is presented in equation 3. Given the evidence of individual effects, the results of the Hausman test reveal the validity of the assumption of the fixed effects model, where . The expression of the panel fixed effects model to be estimated is expressed as follows:
(3)Where, coefficient α1 represents the slope of the logarithm variable of homicides over the logarithm of enrollment. The coefficient α2 represents the slope of the GVA of the Higher Education Services Sector, as a control variable. The stochastic disturbance of the panel fixed effects model is represented by εit. The panel data estimation considers cross-sectional dependence and estimators robust to heteroscedasticity. In the results, two fixed effects estimations are presented: those of the simple model (without including the control for the economic context of the provinces) and the full model (in which the control variable is included), this to verify the stability of the effect identified between the explanatory and the explained variable, in all the econometric modeling carried out.
RESULTS
The comparison shown in Figure 1 highlights the regional and provincial clustering that exists between the enrollment rate and the homicide rate in the four years of study. In addition to a visually evident relationship, there is also a regional clustering consistent with what was presented in the section on the Ecuadorian context. In the provincial case, the results of this behavior will be demonstrated in detail later.

The average behavior of the enrollment rate was 7.54 with a low dispersion, equal to 0.87 (minimum 5.97 and maximum 10.06), and the average homicide rate was 3.36 with a high dispersion 1.56 (minimum 0 and maximum 7.62). The high dispersion in the homicide rate shows us that there are provinces in all regions that have higher rates of violence, but that, despite this, the enrollment has homogeneous rates throughout the country.

The proposed relationship seeks to demonstrate that enrollment in the distance learning system can be affected by violent movements that shake society more, such as homicides. Similarly, a regional and provincial nesting was observed, the latter because people in the territory have heterogeneous ways of life and actions. After this descriptive analysis based on the graphical representation of the variables, the following section presents the results of the corresponding econometric modeling.
Model with intercept and slope difference
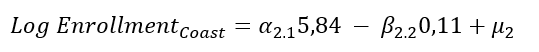
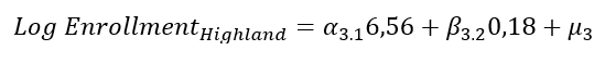
Ordinary Least Squares (OLS) estimation, in which an intercept and slope difference was performed for each region, confirmed that the enrollment rate is positively affected by the homicide rate, but that the effects are not the same in each region. The results (equations 4, 5 and 6) for each area are presented below:
(4)
(5)
(6)The Coast region has a lower average enrollment rate (5.84) than the other two regions, with a negative slope (-0.11); this result of the most violent region in the country is consistent with the indifference that the population may have to violent events. In contrast, the other two areas have positive movements in the face of violent events such as homicides.
The estimation results are consistent, with goodness-of-fit measures that did not reach the optimum with normalized residuals; this technique was used as a starting point to measure the movements of the proposed relationship. The following subsections of the paper will present the results of techniques appropriate for the data structure and the regional and provincial organization of Ecuador, which are adequate to evaluate the proposed research hypothesis.
Multilevel mixed effects model: multilevel analysis
Based on the preliminary view provided by the OLS model, a hierarchical explanation is proposed using the multilevel methodology, always with the objective of explaining the movements of enrollment in the distance education system based on an indicator of violence with a nesting of region and province.
In the empty model, the fixed part presents a country average enrollment of 7.54 and in the random part of 0.87. Ninety-five percent of the enrollment in the four years of analysis - regardless of region and province - is close to the country average. This initial model was intended to focus the way on which the information is arranged; nevertheless, it was necessary to move forward in terms of the nesting proposed.
In the random intercept model for the continental regions and provinces of Ecuador, the intraclass correlation coefficient was 8 %, which shows that there is no regional nesting; on the other hand, the same coefficient for the arrangement of the data by provinces was 98 %. In this sense, real and significant relationships are guaranteed at the provincial level.
In the mixed effects model, the "logarithm of homicides" was used to reduce the variance between provinces around the country average. Also, the inclusion of the homicide variable seeks to explain the part of the enrollment that is not explained by the country average and by provincial nesting. Likewise, the region was added, not as a nesting level, but as an explanatory variable to determine the direct effects that regional behavior has on enrollment movements. The results are summarized in equation 7:
(7)The random parameter for homicides (0.08) shows how enrollment increases when there is more violence in the province. The regions as an independent variable significantly explain the enrollment movements; the Amazon has a mean of 6.80, the Coast has a mean of 7.46 and the Highlands has a mean of 7.58. In all cases the standard errors and the values of the typed variable z (it is normally distributed) allow us to approve the hypothesis that the variables provide information to explain the enrollment movements.
The unexplained dispersion attributed to the provincial level is now 0.70 -0.18 less than in the empty model-, this decrease confirms that the inclusion of the independent variables homicide and region had the expected effect in explaining enrollment movements in the distance learning system. Finally, the intraclass correlation coefficient was 98 %, an indicator that provides assurance that the results are real and significant.
The fit achieved with the mixed effects model, using the logarithm of homicides and the region as independent variables and nesting at the provincial level, is evident in Figure 3.

Fixed effects panel model
To validate the relationship between the homicide rate and the rate of enrollment in higher education studies in DE demonstrated by the multilevel model, the estimation of the panel data is carried out through the Feasible Generalized Least Squares (FGLS) of Parks (1967) and Panel with Standard Error Correction (PCSE) of Beck and Katz (1995). Thus, Table 1 shows the results for the simple model and the full model. The GVA of the Higher Education Services Sector allows us to control for the result of the effect of homicides on higher education enrollments, considering the heterogeneity that exists in the data panel due to the economic wealth that for each territory represents the production process of the higher education service between provinces.
| Variables | No control variables | Control variables | ||
| PCSE | FGLS | PCSE | FGLS | |
| M1 | M2 | M3 | M4 | |
| L_Homicides | 0,326+ | 0,309+ | 0,131+ | 0,177+ |
| (0,044) | (0,018) | (0,045) | (0,027) | |
| L_GVA | 0,332+ | 0,272+ | ||
| (0,058) | (0,035) | |||
| Constant | 6,491+ | 6,550+ | 3,770+ | 4,182+ |
| (0,144) | (0,058) | (0,500) | (0,290) | |
| N | 92 | 92 | 92 | 92 |
| R2 | 0,352 | 0,578 | ||
According to the results in Table 1, the effect of homicides on higher education enrollment in DE is reduced when controlling for the productive heterogeneity (of the higher education sector) of Ecuador's provinces. The coefficient of the control variable is higher than the coefficient of the explanatory variable (this in models 3 and 4). This result does not go against expectations, since it makes sense that the productive dynamics of the higher education sector represents a key factor in the enrollment rate in higher education. However, as can be seen in the results, the stability of the positive effect of homicides on enrollment in distance education is verified: considering fixed effects at the provincial level, the marginal increase in the homicide rate increases on average 0.15 the enrollment rate in higher education.
In summary, the OLS estimation revealed variations in the impact of violence on enrollment by region. While the coastal region showed a negative trend in response to violent events, other areas showed positive movements, suggesting greater sensitivity in educational decision-making in the face of insecurity.
The multilevel model corroborated the positive relationship between homicides and enrollment, showing a significant provincial nesting. The results show how the increase in homicides directly influences the increase in enrollments in HED, especially in areas with higher rates of violence, which could be associated with the benefits offered by this modality of study. Likewise, the inclusion of the Gross Value Added of the Higher Education Services sector as a control variable in the panel model reinforced the stability of the positive effect of homicides on enrollments. This confirms that the productive dynamics of the higher education sector also influences enrollment decisions, although it does not nullify the relationship with insecurity.
In this way, the significant relationship between the enrollment rate and the homicide rate is corroborated (which does not necessarily derive a causal relationship but does provide information to find certain behaviors at a hierarchical level), which, according to the results of the multilevel model, are nested to the provinces of the continental territory of Ecuador, generating different means at each nesting level and different slopes. According to the results of the panel model, even considering the productive structure of the higher education sector in the Ecuadorian provinces, the positive relationship identified between violence and the enrollment rate, in the context studied, is confirmed.
DISCUSSION AND CONCLUSIONS
Distance Education is a quality response in insecure environments, which reveals a significant change in educational preferences, reflecting the need for more flexible learning environments, demonstrating how perceived safety can influence educational decisions.
The results obtained show a significant relationship represented by the homicide rate and the increase in enrollment in distance studies at UTPL. Through the corresponding econometric techniques, a direct association between these factors was identified, also showing how the perception of an environment influences the educational decisions of students. The link between enrollment and violence is highlighted, showing a regional and provincial grouping coherent with the contextual dynamics of the Ecuadorian territory. The results highlight that, despite variability in homicide rates among provinces, enrollment rates remain relatively homogeneous at the national level.
In a context where security and stability are becoming increasingly elusive, DE emerges as a vital resource, highlighting flexibility and adaptability as fundamental pillars in educational decision-making. Although college enrollment has traditionally been associated with individual, academic, institutional, socioeconomic, and other factors (Spady, 1970; Fishbein & Ajzen, 1975; Tinto, 1975; Bean, 1980; Pascarella & Terenzini, 1980; Tinto, 1987; Ethington, 1990; Bernal et al, 2000; John et al., 2000; Diaz, 2008; Tabbodi et al., 2015; Zapata & Perneth, 2016), this study reveals how the perception of safety becomes a determinant element, with direct impact on students' preferences. It is also important to mention that the country's economic dynamics play a crucial role, evidencing the tendency to seek educational alternatives during periods of economic uncertainty (Roblez, 2019). In this sense, the adoption of distance education is presented as a strategy not only to guarantee access to education, but also as a response mechanism to the social and economic challenges facing communities.
In contrast to the evidence gathered by various studies, such as those of Achumba et al. (2013), Hassan (2014), Adams et al. (2021), Ologele and Fatimah (2023), which highlight the negative impact of insecurity and violence on educational systems, this research reveals a direct effect of insecurity on enrollment rate, under a distance learning system, similar to the situation in Nigeria in 2022 (Akhigbe & Ogunlade, 2022). Generically, these studies reflect how crime, violence and the feeling of insecurity profoundly affect the quality and accessibility of education in contexts of social crisis.
In Ecuador, the adoption of preventive measures, such as the shift from in-person to virtual, has been a response to the high rates of insecurity and crime (Mella, 2023b; Ministerio de Educación del Ecuador, 2023). This situation has led to a decrease in social ties and a growing distrust of traditional institutions, including physical universities. This loss of trust may motivate people to seek educational alternatives that they consider safer and more convenient, to escape the abrupt social changes caused by conflictive environments (García Aretio, 1999). A tangible example of this option is the Distance Education modality offered by the Universidad Técnica Particular de Loja (UTPL).
REFERENCES
Achumba, I., Ighomereho, O., & Akpor-Robaro, M. (2013). Security challenges in Nigeria and the implications for business activities and sustainable development. Journal of economics and sustainable development, 4(2). ISSN: 2222-2855 (Online).
Adams, O. T., Adedeji, M. S., Majekodun, O. A., Kehinde, B. R., & Adams, T. A. (2021). The effects of insecurity on school system (Secondary Schools) in Nigeria. In S. E. Ochigbo, K. Beetseh & S. Abubakar (Eds.), Global Insecurities: Challenges and the ways forward (1st ed), 126-136. Akure: Science and Education Development Institute, Nigeria. https://doi.org/10.5281/zenodo.4724071
Akhigbe, O. J., & Ogunlade, B. O. (2022). Online instruction: Panacea to insecurity in Nigerian Tertiary Institutions. Nigerian Online Journal of Educational Sciences and Technology, 4(1), 46-56.
Barrientos, J., García-Camacho, M., & Reyes- Sánchez, J. (2023). Impacto de la inseguridad en las instituciones de educación superior en Fresnillo, Zacatecas. FILHA, 18(29), 82-100.
Bean, J. P. (1980). Dropouts and turnover: The synthesis and test of a causal model of student attrition. Research in Higher Education, 12, 155-187. https://doi.org/10.1007/BF00976194
Beck, N., & Katz, J. (1995). What to Do (and Not to Do) with Time-Series Cross-Section Data. American Political Science Review, 89(3), 634-647. https://doi.org/10.2307/2082979
Becker, K. (2012). Uma análise econômica da relação entre educação e violência (Tese de doutorado, Economia Aplicada). Escola Superior de Agricultura Luiz de Queiroz. https://doi.org/10.11606/T.11.2013.tde-15032013-092954
Bernal, E., Cabrera, A., & Terenzini, P. (2000). The relationship between race and socioeconomic status (SES): Implications for institutional research and admissions policies. Removing Vestiges: research-based strategies to promote inclusion. A publication of the American Association of Community Colleges,(3), 6-19. https://eric.ed.gov/?id=ED445637
Carmo, R., & Franco, A. (2019). Da docência presencial à docência online: aprendizagens de professores universitários na educação a distância. Educação em Revista, 35. https://doi.org/10.1590/0102-4698210399
Cebolla, H. (2013). Introducción al análisis multinivel. Centro de Investigaciones Sociológicas.
Chevalier, S. (16 de agosto de 2023). ¿En qué países latinoamericanos hay más homicidios? Statista. https://es.statista.com/grafico/17768/paises)-con-las-tasas-de-homicidio-mas-altas-en-america-latina/
Cieza, D. (2009). Economía ilícita, control social y violencia: Notas sobre el crimen organizado y consecuencias del narcotráfico y su represión en algunos países latinoamericanos. Relaciones Internacionales. http://sedici.unlp.edu.ar/handle/10915/10053
Coba, G. (17 de agosto de 2023). La inseguridad ya muestra un efecto en el precio final de los productos. Primicias. https://www.primicias.ec/noticias/economia/inseguridad-pobres-ecuador-consumo/
Cooley, K. (2011). Energy Security Is National Security. In S. R. Ronis (Ed.), Economic Security: Neglected Dimension of National Security? (63-74). National Defense University Press. https://ndupress.ndu.edu/Portals/68/Documents/Books/economic-security.pdf
Coupland, R. (2007). Security, insecurity and health. Bulletin of the World Health Organization, 85(3), 181-184. https://doi.org/10.2471/BLT.06.037135
Cueto, E. (2022). La educación como mecanismo de contención y prevención de la delincuencia juvenil. Educació social. Revista d'intervenció socioeducativa, (81), 41-57. https://doi.org/10.34810/EducacioSocialn81id399572
Dammert, L. (2010). Violencia, crimen e inseguridad en América Latina: desafíos para la democracia. Academia Superior de Estudios Policiales, 6, 56-87.
Díaz, C. (2008). Modelo conceptual para la deserción estudiantil universitaria chilena. Estudios pedagógicos (Valdivia), 34(2), 65-86. https://doi.org/10.4067/S0718-07052008000200004
Ethington, C. (1990). A psychological model of student persistence. Research in Higher Education, 31, 279–293. https://doi.org/10.1007/BF00992313
Fishbein, M., & Ajzen, I. (1975). Attitudes toward objects as predictors of simple and multiple behavioural criteria. Psycological Review, (81), 59-74. https://doi.org/10.1037/h0035872
Furlán, A. (2012). Inseguridad y violencia en la educación: Problemas y alternativas. Perfiles educativos, 34(spe), 118-128. http://www.scielo.org.mx/scielo.php?script=sci_arttext&pid=S0185-26982012000500011&lng=es&tlng=es
García Aretio, L. (1999). Historia de la educación a distancia. RIED-Revista Iberoamericana De Educación a Distancia, 2(1), 8–27. https://doi.org/10.5944/ried.2.1.2084
Global Organized Crime Index. (2023). Ranking by criminality. https://ocindex.net/rankings
Gottfredson, M., & Hirschi, T. (1990). A general theory of crime. Stanford University Press. https://doi.org/10.1515/9781503621794
Hassan, M. (2014). Boko Haram insurgency and the spate of insecurity in Nigeria: manifestation of governance crisis. Research on humanities and social sciences, 4(18), 9-18. ISSN: 2225-0484 (Online).
Hirschi, T. (2002). Causes of Delinquency. Transaction Publishers.
Instituto Nacional de Estadísticas y Censos [INEC]. (2022). Visualizador de las cuentas Satélite de Educación.
John, E., Cabrera, A., Nora A., & Asker, E. (2000). Economic influences on persistence reconsidered: How can finance research inform the reconceptualization of persistence models. Reworking the student departure puzzle, 1, 29-47.
La Hora. (20 de septiembre de 2023). Violencia y pobreza alejan a estudiantes de las aulas. La Hora. https://www.lahora.com.ec/pais/violencia-y-pobreza-alejan-a-estudiantes-de-las-aulas/
López, L. (11 de agosto de 2023). ¿Qué hay detrás del auge de la violencia en Ecuador? France 24. https://www.france24.com/es/am%C3%A9rica-latina/20230811-qu%C3%A9-hay-detr%C3%A1s-del-auge-de-violencia-en-ecuador
Meddings, D. (2001). Civilians and war: A review and historical overview of the involvement of non ‐ combatant populations in conflict situations. Medicine, Conflict and Survival, 17(1), 6-16. https://doi.org/10.1080/13623690108409551
Mella, C. (10 de julio de 2023a). La inseguridad en Ecuador escala a niveles históricos y se impone como prioridad del próximo gobierno. El País. https://elpais.com/internacional/2023-07-10/la-inseguridad-en-ecuador-escala-a-niveles-historicos-y-se-impone-como-prioridad-del-proximo-gobierno.html
Mella, C. (30 de septiembre de 2023b). “Tenemos miedo, es como vivir en guerra”: el infierno de estudiar en Durán, la ciudad más peligrosa de Ecuador. El País. https://elpais.com/internacional/2023-09-30/tenemos-miedo-es-como-vivir-en-guerra-estudiar-en-la-ciudad-mas-peligrosa-de-ecuador.html
Ministerio de Educación del Ecuador [@Educacion_Ec]. (25 de septiembre de 2023). Se dispone la modalidad de clases a distancia en varias instituciones educativas de la Zona 8 y se establece protocolo para la continuidad educativa en caso de hechos delincuenciales que afecten a la comunidad educativa. Twitter. https://twitter.com/Educacion_Ec/status/1706501526439538702
Ministerio del Interior. (2022). Portal de indicadores de Seguridad Ciudadana. Homicidios intencionales.
Mori, L., Meddings, D. R., & Bettcher, D. W. (2004). Health, human security and the peace-building process. Conflict and Human Security: A Search for New Approaches of Peace-building, 19, 176-196.
Niño, C. (2020). Seguridad ciudadana en América Latina: gobernanzas criminales y dimensiones de la violencia. In F. Sánchez & N. Liendo (Eds.), Manual de ciencia política y relaciones internacionales. 207-230. Universidad Sergio Arboleda. https://doi.org/10.22518/book/9789585511972
Observatorio Ecuatoriano de Crimen Organizado. (2022). Situación del Ecuador en el Índice Global de crimen Organizado: Análisis de Nodos Críticos. Fundación Panamericana para el Desarrollo [PADF]. https://oeco.padf.org/wp-content/uploads/2023/03/5-indice-Global-Ecuador-GITOC-OECO.pdf
Olamosu, B (2000). Crisis of Education in Nigeria. Ibadan: Book Farm Publisher. https://worldcat.org/title/47033345
Ologele, I., & Fatimah, I. (2023). Strategic Measures to Curb Insecurity Problems Affecting Students. Pedagogia: Jurnal Ilmiah Pendidikan, 15(1), 9-13. https://doi.org/10.55215/pedagogia.v15i1.5996
Parks, R. W. (1967). Efficient Estimation of a System of Regression Equations when Disturbances are Both Serially and Contemporaneously Correlated. Journal of the American Statistical Association, 62(318), 500-509. https://doi.org/10.1080/01621459.1967.10482923
Pascarella, E., & Terenzini, P. (1980). Predicting freshman persistence and voluntary dropout decisions from a theoretical model. The Journal of Higher Education, 51(1), 60-75. https://doi.org/10.1080/00221546.1980.11780030
Roblez, M. (2019). Análisis de la cointegración de los indicadores macroeconómicos y la matriculación universitaria en el Ecuador. Caso Universidad Técnica Particular de Loja 19872017 (Bachelor's thesis). https://dspace.utpl.edu.ec/handle/20.500.11962/24701
Seaman, J., Allen, E., & Seaman, J. (2018). Grade Increase: Tracking Distance Education in the United States. Babson Survey Research Group. https://eric.ed.gov/?id=ED580852
Spady, W. (1970). Dropouts from higher education: An interdisciplinary review and synthesis. Interchange, 19(1), 109-121. https://doi.org/10.1007/BF02214313
Tabbodi, M., Rahgozar, H., & Makki-Abadi, M. (2015). The Relationship between Happiness and Academic Achievements. European Online Journal of Natural and Social Sciences, 4(1), 241-246. ISSN: 1805-3602. https://european-science.com/eojnss_proc/article/view/4227
Tinto, V. (1975). Dropout From Higher Education: A Theoretical Synthesis of Recent Research. Journal of Higher Education, 45, 89-125. https://doi.org/10.3102/00346543045001089
Tinto, V. (1987). El abandono de los estudios superiores: una nueva perspectiva de las causas del abandono y su tratamiento. Universidad Nacional Autónoma de México, Asociación Nacional de Universidades e Instituciones de Educación Superior. 55 pp.
Toscano, C. (22 de septiembre de 2023). Abandono escolar y criminalidad: una correlación peligrosa. Obspoliticaec. Instagram [@obspoliticaec]. https://www.instagram.com/p/CxeDENJLsWv/?img_index=1
UN. (8 de septiembre de 2023). Ecuador: El aumento de la violencia debe ser una llamada de atención para abordar urgentemente la pobreza, dice un experto de la ONU. Naciones Unidas. https://www.ohchr.org/es/press-releases/2023/09/ecuador-surging-violence-must-be-wake-call-urgently-address-poverty-says-un
Universidad Técnica Particular de Loja [UTPL]. (2023a). Modelo Educativo de la Modalidad Abierta y a Distancia. EDILOJA Cía. Ltda.
Universidad Técnica Particular de Loja [UTPL]. (2023b). Datos de la matrícula de los estudiantes de modalidad a distancia de la UTPL por provincia. Vicerrectorado de Modalidad a Distancia.
Vuanello, R. (2009). Inseguridad urbana y sus efectos: percepción de los jóvenes. Revista Criminalidad, 51(2), 33-46. http://www.scielo.org.co/scielo.php?pid=S1794-31082009000200003&script=sci_arttext
World Bank. (2011). Informe sobre el desarrollo mundial 2011: Conflicto, seguridad y desarrollo. https://openknowledge.worldbank.org/server/api/core/bitstreams/a6c29ed3-ba9d-590c-9bd7-bbfc9ce74c61/content
Zapata, D., & Perneth, A. (2016). Pedagogía y didáctica en la Fundación Universitaria Católica del Norte, elementos de la gestión del conocimiento que deben aportar a la permanencia estudiantil desde el humanismo y para la felicidad. Revista Reflexiones y Saberes, 3(5), 33-43. https://revistavirtual.ucn.edu.co/index.php/RevistaRyS/article/view/783
Información adicional
How to cite: Moncada Mora, L., Songor Jaramillo, X., & Cornejo Montaño, G. (2024). Distance Education, transforming realities: a look at insecure environments. [Educación a Distancia, transformar realidades: una mirada en ambientes inseguros]. RIED-Revista Iberoamericana de Educación a Distancia, 27(2). https://doi.org/10.5944/ried.27.2.39134