Estudios e investigaciones / Research and Case Studies
Conectados fuera, desconectados dentro. Las redes sociales en la formación inicial docente
Connected outside, disconnected inside. Social Networks in initial teacher training
Conectados fuera, desconectados dentro. Las redes sociales en la formación inicial docente
RIED-Revista Iberoamericana de Educación a Distancia, vol. 28, núm. 1, 2025
Asociación Iberoamericana de Educación Superior a Distancia

Recepción: 01 Junio 2024
Aprobación: 26 Julio 2024
Resumen: Las redes sociales se han convertido recientemente en espacios privilegiados en los que los docentes comparten información e intercambian recursos y materiales, así como se relacionan, colaboran y crean comunidad. En este artículo nos ha interesado conocer si los futuros profesores utilizan las redes sociales para su aprendizaje y desarrollo, identificar los motivos para su uso y analizar posibles diferencias en ellos. Para responder a estos objetivos, diseñamos y validamos un cuestionario de 33 ítems que fue respondido por 231 profesores en formación de Educación Infantil, Primaria y Secundaria matriculados en 10 centros de estudios universitarios o universidades españolas públicas y privadas. Los resultados evidencian que hay redes sociales que los docentes en formación dicen no utilizar nunca en un porcentaje alto como Linkedin, Facebook, TikTok o X (Twitter), mientras que otras redes sociales como Instagram o YouTube son utilizadas de forma continua. Los docentes en formación utilizan las redes con tres objetivos principales: encontrar recursos y personas para aprender, como medio para su aprendizaje académico y como herramienta para obtener apoyo mutuo. Encontramos diferencias destacables en relación con la edad y el nivel educativo para el cual se preparan, siendo los docentes jóvenes que cursan un Grado quienes perciben más positivamente los motivos que aquellos con mayor edad que estudian un Máster. Se concluye destacando la necesidad de integrar en los programas de formación inicial docente el conocimiento y uso de las redes sociales como herramientas útiles para los docentes conectados del siglo XXI.
Palabras clave: redes sociales, formación de profesores, aprendizaje autónomo, comunicación educativa, herramientas digitales.
Abstract: Social networks have recently become a key space where teachers share information, exchange resources and materials, and engage in relationships, collaboration, and community building. This study aims to investigate whether future teachers use social media for learning and development, identify their reasons for use, and analyze any differences among them. To achieve these objectives, we designed and validated a 33-item questionnaire, which was completed by 231 pre-service teachers in Early Childhood, Primary, and Secondary Education from 10 public and private universities in Spain. The results show that a high percentage of pre-service teachers never use certain social networks like LinkedIn, Facebook, TikTok, or X, while others, such as Instagram and YouTube, are used continuously. Pre-service teachers use social media for three main purposes: finding resources and people for learning, as a medium for academic learning, and as a tool for mutual support. Notable differences were found concerning age and the educational level they are preparing for, with younger undergraduates perceiving the benefits more positively than older master's students. Our study concludes by highlighting the need to integrate the knowledge and use of social media as valuable tools for connected teachers of the 21st century into initial teacher training programs.
Keywords: social networks, teacher training, autonomous learning, educational communication, digital tools.
INTRODUCCIÓN
Las redes sociales se han convertido, en las últimas décadas, en espacios en los que los docentes comparten información e intercambian recursos y materiales, se relacionan, colaboran y crean comunidad. Sabemos que las redes sociales no nacieron como entornos explícitamente destinados a favorecer actividades de aprendizaje y de desarrollo profesional docente. Sin embargo, las investigaciones demuestran su capacidad para promover conexiones y relaciones entre los profesionales de la enseñanza, así como para compartir sus prácticas docentes (Tess, 2013). Es por ello que, en el ámbito educativo, existe la creciente preocupación por analizar cómo y para qué utilizan los docentes las redes sociales (Carpenter y Kruta, 2014; Carpenter et al., 2020; Marcelo-Martínez et al., 2023; Goodyear et al., 2019; Higueras-Rodríguez et al., 2020).
Las redes sociales están siendo utilizadas de forma masiva por la población más joven. El último informe del Pew Research Center (Anderson et al., 2023) ha destacado que las redes sociales más utilizadas por la población juvenil de USA en 2023 fueron TikTok, Youtube, Instagram y Snapchat. En España, el “Estudio de Redes Sociales 2023" (IAB Spain, 2023) muestra que un 94 % de los jóvenes de 18 a 24 años usa redes sociales y que la presencia de éstas es ligeramente mayor entre las mujeres. Por otra parte, indica que los más jóvenes prefieren TikTok, mientras que a partir de los 18 años optan por Instagram, WhatsApp y YouTube. Estas redes sociales se caracterizan por primar un contenido basado en la imagen y el vídeo, que cuentan con herramientas para una interacción rápida y permiten la producción de contenidos de forma sencilla (Alhabash y Ma, 2017).
En esta investigación nos preguntamos si también en el ámbito de su proceso de aprender a enseñar, los docentes en formación utilizan las redes sociales. Recientes estudios han demostrado el poder de redes sociales como TikTok como plataforma didáctica (Carpenter et al., 2024; Flores-González et al., 2022; Huebner, 2022) o Instagram como herramientas para promover la implicación de los estudiantes (Reyna, 2021; Ruiz-Ruiz e Izaguirre, 2022). Éstas poseen algunas vernáculas que las hacen interesantes como recursos en la formación inicial docente, por ejemplo: permitir la interacción en tiempo real con y entre los estudiantes, dar oportunidades para proporcionar feedback inmediato en cualquier tiempo y lugar o facilitar el aprendizaje a través de diferentes voces y puntos de vista (Lemon y O'Brien 2019). Sin embargo, son escasos los formadores de profesores que hacen uso de las redes sociales para favorecer nuevos espacios donde los estudiantes puedan interactuar y desarrollar sus actividades (Carpenter y Green, 2018). Estamos ante un fenómeno que no es nuevo en educación: los cambios e innovaciones en los procesos de comunicación y aprendizaje surgen antes en los espacios externos a la institución formadora. En esta situación, los profesores en formación perciben lo que Feiman-Nemser y Buchman (1988) denominaban la “laguna de los dos mundos”: el mundo de la universidad y el mundo real externo de la escuela o de la vida.
Es cierto que, cuando las redes sociales han sido utilizadas en programas de formación inicial docente, su uso no siempre ha representado un factor positivo en relación con el aprendizaje de los docentes en formación (Greenhow y Askari, 2017). En ocasiones, los estudiantes se sienten sobrepasados por la ingente cantidad de información recibida a través de ellas (Carpenter et al., 2017) o encuentran difícil separar su uso en los ámbitos personal y profesional, lo que se ha denominado el “colapso del contexto” (Marwick y Boyd, 2011; Iredale et al., 2020; Lemon y O'Brien, 2019; Mullins y Hicks, 2019). Sin embargo, el uso de redes sociales, como X, en la formación inicial docente tiene también aspectos positivos (Carpenter et al., 2023). Según Hyndman y Harvey (2020), el acceso a X proporciona a los profesores en formación un elevado grado de autonomía en los procesos de búsqueda de información para sus actividades académicas. Además, el uso de redes sociales contribuye al desarrollo de la identidad de estos futuros docentes, permitiéndoles construirlas y gestionarlas a través de la interacción con colegas y expertos (Kimmons y Veletsianos, 2014b).
Así pues, las reacciones de los profesores en formación en relación con el uso de las redes sociales en sus programas formativos pueden diferir. También la interacción con las redes sociales puede tomar dimensiones diferentes en función de las características propias de los sujetos, como pueden ser sus intereses, motivación o confianza en las redes sociales (Hamedinasab et al., 2023). Los docentes no configuran un conjunto único con relación al uso de las redes sociales. Algunos estudios han analizado las diferencias según variables como el sexo, edad o nivel educativo, alcanzándose diferentes evidencias. En lo que respecta al sexo, Martín-Gutiérrez et al. (2024) encontraron que las mujeres tienen una percepción más favorable sobre la utilidad de las redes sociales. Casipit et al. (2002) concluyeron que las mujeres utilizan redes sociales para su trabajo más frecuentemente que los hombres. Sin embargo, Karimi et al. (2022) no hallaron grandes diferencias entre sexos en el uso de Pinterest, aunque los hombres se enfocan más en la selección de contenidos y las mujeres exploran contenido no educativo. Patahuddin et al. (2022) obtuvieron resultados similares con Facebook.
Un menor número de estudios se han desarrollado para intentar comprender las diferencias en función de la edad de los docentes. En un trabajo previo (Marcelo-Martínez et al., 2024), se analizaron las diferencias existentes entre profesores en formación, principiantes y experimentados en función a los motivos de uso de redes sociales y los roles que adoptan en ellas. Así, mientras que los profesores en formación y principiantes utilizaban las redes sociales para acceder a materiales y recursos con los cuales aprender, asumiendo un rol de observador pasivo, los docentes más experimentados comienzan a participar más activamente en las redes sociales buscando recursos específicos, estableciendo contactos con otros maestros, contribuyendo con sus propios materiales educativos y ayudando a otros docentes con sus dudas o incluso formando sus propias comunidades. En el caso de la red Pinterest, Schroeder et al. (2019) encontraron que los profesores en formación dedicaban más tiempo a la búsqueda de materiales motivadores que los profesores experimentados, diferencia achacada a la falta de tiempo por parte de los autores.
Podemos considerar que existe aún escasa información en relación no sólo al nivel de uso de las redes sociales por parte de los profesores en formación, sino al tipo de uso que dan, así como al impacto que estas redes tienen en el proceso de aprender a enseñar de los nuevos docentes (Kennedy, 2019). Esta investigación surge con la intención de indagar acerca de los usos que los docentes en formación españoles hacen de las redes sociales en su proceso de formación y de analizar los motivos de uso tanto para su aprendizaje formal en el programa de formación como en su aprendizaje informal como futuros docentes. Así, planteamos las siguientes preguntas de investigación:
METODOLOGÍA
Para este estudio, diseñamos y distribuimos un cuestionario digital que permitió recoger datos que respondieron a los problemas planteados. El cuestionario, compuesto por preguntas abiertas y cerradas, recaba información sobre los participantes (sexo, edad, universidad, titulación) y su uso de redes sociales (frecuencia, antigüedad, perfiles seguidos). Además, incluyó una escala de 33 ítems para conocer los motivos de uso de redes sociales. La escala se fundamenta en estudios previos sobre el uso de Twitter por docentes y el aprendizaje a través de redes sociales (Staudt Willet, 2019; Nochumson, 2018, 2020; Higueras-Rodríguez et al., 2020; Gilbert, 2016; Greenhow y Askari, 2017; Li et al., 2020; Marcelo-Martínez et al., 2023). Los ítems se valoran en una escala de 1 (nada) a 5 (mucho).
Para validar la escala, se utilizaron análisis de componentes principales y análisis factorial exploratorio y confirmatorio con el software JASP (v0.11.1.0). El índice KMO fue de 0,939, superando el valor recomendado de 0,6, y la prueba de esfericidad de Bartlett tuvo un nivel crítico de 0,000. El Alfa de Cronbach de la escala fue de 0,959 y la ω de McDonald de 0,957. La correlación total de ítems no fue inferior a ,3 (Tabla 1). El análisis factorial exploratorio con rotación promax extrajo un modelo de tres factores, con una distribución Chi-cuadrado < 0,001, coincidentes con el análisis de componentes principales. La carga de los ítems siempre fue superior a 0,3. El modelo fue confirmado mediante análisis factorial confirmatorio, mostrando un buen ajuste con p-valor del Chi-square test < 0,001, TLI de 0,927, RMSEA 90 % CI lower bound de 0,049, y GFI de 0,927. Los Alphas de Cronbach de cada factor fueron: 0,931, 0,910 y 0,914; y las ω de McDonald fueron: 0,929, 0,911 y 0,914.
El primer factor, “Encontrar recursos y personas para aprender" (PC1), destaca la utilidad de las redes sociales para que los docentes en formación encuentren contenidos, recursos y materiales, así como para conectar con otros docentes. El segundo factor (PC2), “Aprendizaje académico”, se refiere al uso de las redes para preparar las asignaturas, interactuar, trabajar juntos, intercambiar dudas y recibir retroalimentación de los formadores, consolidando una red de aprendizaje. El tercer factor (PC3), “Apoyo mutuo”, incluye motivos que muestran cómo las redes sociales ofrecen espacios abiertos y positivos para evitar un posible aislamiento docente, dialogar, pedir apoyo y obtener ayuda.
| PC | Ítem | Si el ítem es eliminado | Correlación ítem con el resto | Carga de componentes | |
| McDonald's ω | Cronbach's α | ||||
| 1 | 1. Conocer a profesores que comparten materiales y contenidos interesantes para mi formación. | 0,957 | 0,958 | 0,553 | 0,790 |
| 2. Encontrar recursos educativos que comparten otros docentes. | 0,957 | 0,958 | 0,542 | 0,905 | |
| 4. Conseguir ejemplos de programaciones o actividades para utilizar en mis prácticas. | 0,957 | 0,958 | 0,514 | 0,669 | |
| 5. Conocer opiniones de otros profesores sobre temas educativos de actualidad. | 0,956 | 0,957 | 0,644 | 0,685 | |
| 13. Aprender de los materiales elaborados por otros docentes. | 0,957 | 0,958 | 0,527 | 0,877 | |
| 14. Encontrar la forma de mejorar mis competencias docentes para garantizar un buen desempeño futuro. | 0,956 | 0,957 | 0,721 | 0,802 | |
| 16. Detectar mis propias carencias o necesidades de formación. | 0,956 | 0,957 | 0,657 | 0,616 | |
| 19. Aplicar en mis prácticas ideas o métodos que he aprendido en las redes sociales. | 0,956 | 0,957 | 0,643 | 0,597 | |
| 20. Aprender sobre temas en los que tengo menos dominio. | 0,956 | 0,958 | 0,629 | 0,708 | |
| 23. Sentir que formo parte de una comunidad de docentes más amplia. | 0,955 | 0,957 | 0,720 | 0,356 | |
| 25. Reflexionar sobre mis experiencias como futuro docente. | 0,956 | 0,957 | 0,681 | 0,586 | |
| 29. Encontrar otros docentes o estudiantes con similares inquietudes a las mías. | 0,955 | 0,957 | 0,763 | 0,446 | |
| 33. Encontrar a personas que seleccionan y distribuyen contenido educativo. | 0,957 | 0,958 | 0,572 | 0,807 | |
| 2 | 11. Colaborar con otros estudiantes en algún proyecto compartido. | 0,957 | 0,958 | 0,528 | 0,470 |
| 21. Preparar algún examen o proyecto de clase. | 0,957 | 0,958 | 0,481 | 0,636 | |
| 22. Interactuar con mis compañeros o con la comunidad en alguna actividad organizada por mis docentes. | 0,957 | 0,958 | 0,564 | 0,846 | |
| 24. Recibir retroalimentación (feedback) de mis profesores. | 0,957 | 0,958 | 0,561 | 0,760 | |
| 26. Desarrollar mi propia presencia en la red como docente. | 0,956 | 0,957 | 0,705 | 0,636 | |
| 27. Recibir retroalimentación (feedback) inmediata de otros compañeros o docentes. | 0,956 | 0,958 | 0,623 | 0,847 | |
| 28. Ir creando mi propia red de personas con las que tengo sintonía. | 0,956 | 0,957 | 0,663 | 0,562 | |
| 30. Disponer de un lugar seguro donde formular mis consultas y dudas como futuro docente. | 0,955 | 0,957 | 0,735 | 0,526 | |
| 31. Realizar una actividad planificada por algún profesor de mi grado/máster. | 0,957 | 0,958 | 0,569 | 0,832 | |
| 32. Compartir con otros materiales o recursos que he diseñado. | 0,956 | 0,957 | 0,636 | 0,775 | |
| 3 | 3. Plantear dudas o preguntas a otros docentes. | 0,956 | 0,958 | 0,617 | 0,535 |
| 6. Pedir apoyo a algún docente para resolver algún problema como profesor en formación. | 0,956 | 0,958 | 0,600 | 0,639 | |
| 7. Sentir que estoy en contacto con otros docentes en ejercicio. | 0,956 | 0,957 | 0,685 | 0,696 | |
| 8. Compartir con otros mis propias emociones y preocupaciones. | 0,956 | 0,957 | 0,660 | 0,880 | |
| 9. Crear conciencia profesional y no actuar como un futuro docente aislado. | 0,955 | 0,957 | 0,696 | 0,695 | |
| 10. Saber que otros estudiantes tienen mis mismos problemas. | 0,956 | 0,957 | 0,666 | 0,532 | |
| 12. Mantener conversaciones sobre educación con otros profesores. | 0,956 | 0,957 | 0,652 | 0,752 | |
| 15. Dialogar sobre temas fundamentales relacionados con la educación en el mundo actual. | 0,956 | 0,957 | 0,675 | 0,686 | |
| 17. Conseguir ayuda cuando intento implementar un recurso o una estrategia didáctica. | 0,956 | 0,958 | 0,577 | 0,371 | |
| 18. Participar en un espacio que considero abierto y positivo. | 0,955 | 0,957 | 0,718 | 0,574 | |
El cuestionario finaliza con una escala de 5 ítems que solicita a los encuestados que valoren, de 1 a 4 siendo 1 nunca y 4 continuamente, en qué medida el uso de redes sociales y su aplicación al ámbito educativo ha sido parte de su formación inicial docente.
SUJETOS
El cuestionario fue distribuido mediante correo electrónico a estudiantes matriculados en 10 centros de estudios universitarios y universidades españolas públicas y privadas en títulos conducentes a la profesión docente. El muestreo fue no probabilístico e incidental. Los docentes en formación que participaron en esta primera fase de la investigación fueron 231, siendo un 77,4 % mujeres y el 22,6 % hombres. Sus edades oscilan entre los 18 y los 57 años, estando comprendidas entre los 18 y 25 años principalmente (65,8 %). La media de edad asciende a los 25,65 años. Con relación a la universidad de procedencia, 62 estudian en la Universidad Autónoma de Madrid, 75 en la Universidad de Sevilla, 49 en la Universidad de Burgos, 14 en el CEU Andalucía, 11 en la Universidad de Granada, 9 en la Universidad de Málaga, 3 en la Universidad Complutense de Madrid, 3 en la Universidad Francisco de Vitoria y 5 en otros centros universitarios. El 57,6 % estudia un grado y el 31,8 % un máster. Se están formando para el desempeño en distintos niveles educativos: 22,1 % en Educación Infantil, 35,5 % Educación Primaria, 26,8 % Educación Secundaria, 4,8 % Bachillerato y 10,4 % Formación Profesional.
ANÁLISIS DE DATOS
Los datos cuantitativos, obtenidos por medio del cuestionario, fueron sometidos a análisis de estadística descriptiva y análisis no paramétricos de comparación de medias en grupos independientes (prueba U de Mann Whitney o de Kruskal-Wallis, según correspondiese). Para determinar el contraste de hipótesis asumimos un nivel de significación menor de 0,01. Las variables independientes fueron el sexo, la edad natural (con 4 tramos: 20 o menos años, 21-25 años, 26-30 años y 31 o más años) y el nivel de estudios para el que se preparan: Grado en Educación Infantil y Educación Primaria y Máster Universitario en Profesorado en Enseñanza Secundaria Obligatoria y Bachillerato Formación Profesional y Enseñanzas de Idiomas. De darse diferencias, se atendieron a las comparaciones por parejas y se extrajeron tablas cruzadas. Para el análisis de datos se utilizó el programa IBM SPSS v.29.
RESULTADOS
Nivel de uso de las redes sociales por docentes en formación
El primer objetivo de esta investigación era conocer si los docentes en formación utilizan las redes sociales y cuáles son las que utilizan y con qué frecuencia lo hacen. Los resultados evidencian que hay redes sociales que un alto porcentaje de los docentes en formación dicen no utilizar nunca, como Linkedin (66,8 %) y Facebook (57,3 %), seguidas de TikTok (42,7 %) y X (37,9 %) (Tabla 2). Instagram es la más utilizada por los docentes en formación (55,6 %), seguida de Youtube (42,2 %). Es destacable el caso de TikTok, que recibe una atención polarizada por parte de los encuestados. Un 42,7 % dice no hacer uso de ella nunca, pero, por el contrario, un 25,6 % hace uso de ella de forma continuada. Estas diferencias pueden venir determinadas por variaciones en la percepción de la utilidad educativa de TikTok. Sin duda, sugieren la necesidad de explorar cómo esta red social se ha integrado como recurso por algunos docentes en formación de forma que podamos maximizar su potencial educativo y abordar las preocupaciones que puedan generar resistencia.
| Nunca | Pocas veces | Algunas veces | Continuamente | |
| X (antes Twitter) | 37,9 % | 28,2 % | 17,5 % | 16,5 % |
| 57,3 % | 23,1 % | 11,1 % | 8,5 % | |
| 34 % | 25,5 % | 25,5 % | 15,5 % | |
| 11,2 % | 12,2 % | 21 % | 55,6 % | |
| 66,8 % | 20,4 % | 11,2 % | 1,5 % | |
| TikTok | 42,7 % | 15,1 % | 16,6 % | 25,6 % |
| Youtube | 2,8 % | 14,2 % | 40,8 % | 42,2 % |
Asimismo, los profesores en formación utilizan las redes sociales de manera estable en el tiempo. El 36,8 % de los docentes las utilizan desde hace más de siete años y el 36,4 % entre cuatro y siete años. El uso de las redes sociales se inicia antes del acceso a la universidad y a los estudios de formación como futuros docentes. La mayoría de los participantes comenzaron a utilizar las redes sociales por iniciativa propia (58,9 %), un 25,5 % por recomendación de un compañero/amigo y un 3 % afirma haberse iniciado como consecuencia de sus estudios universitarios, por haber sido invitado a ello en alguna asignatura.
Motivos de los docentes en formación para el uso de las redes sociales
Como segundo objetivo se analizan los motivos de uso de redes sociales por parte de los profesores en formación. Si en algo destaca el uso de las redes sociales, es en las posibilidades que ofrecen para promover espacios de aprendizaje informal a través de la observación de videos, participación en actividades en línea o la búsqueda e intercambio de recursos educativos, además de para facilitar lo que se ha dado en llamar “networking”. Es así que las redes sociales, para los docentes en formación, se entienden principalmente como un espacio donde interactuar con recursos tanto digitales como personales, como parte de la red personal de aprendizaje (“personal learning network”).
Existen tres grupos de motivos principales que mueven a los docentes en formación a hacer uso de redes sociales como parte de su labor académica y profesional. Estas motivaciones se encuentran íntimamente conectadas con los tres factores descritos previamente. Un primero tiene que ver con utilizar las redes sociales como medio para “encontrar recursos y personas para aprender” (PC1). Los futuros docentes utilizan las redes sociales para encontrar a otros docentes y aprender de los materiales o programaciones que estos elaboran y comparten sobre temas que dominan en menor medida o participando en eventos y seminarios. Un segundo conjunto de motivos alude al “aprendizaje académico” (PC2), al uso que los docentes en formación hacen de las redes por mediación de sus formadores en relación con actividades y procesos de comunicación y colaboración por redes sociales a lo largo de su vida académica. Por último, el tercer grupo de motivos está relacionado con el uso de redes sociales como “apoyo mutuo" en aspectos sociales y emocionales (PC3). Estos motivos están relacionados con compartir emociones en estos espacios y sentir sintonía con otros compañeros/as y usarlos para superar el aislamiento o lanzar dudas y consultas. Los valores medios de este último conjunto de ítems son sensiblemente más bajos que los referidos al primer grupo, lo que nos lleva a pensar que, para los docentes en formación, las redes sociales no son el espacio privilegiado para establecer vínculos profundos con otras personas (Tabla 3).
| ITEMS | Mínimo | Máximo | Media | Desviación estándar |
| 1. Conocer a profesores que comparten materiales y contenidos interesantes para mi formación. | 1 | 5 | 3,6 | 1,28 |
| 2. Encontrar recursos educativos que comparten otros docentes. | 1 | 5 | 4 | 1,11 |
| 3. Plantear dudas o preguntas a otros docentes. | 1 | 5 | 2,65 | 1,31 |
| 4. Conseguir ejemplos de programaciones o actividades para utilizar en mis prácticas. | 1 | 5 | 3,48 | 1,27 |
| 5. Conocer opiniones de otros profesores sobre temas educativos de actualidad. | 1 | 5 | 3,42 | 1,26 |
| 6. Pedir apoyo a algún docente para resolver algún problema como profesor en formación. | 1 | 5 | 2,23 | 1,26 |
| 7. Sentir que estoy en contacto con otros docentes en ejercicio. | 1 | 5 | 2,96 | 1,41 |
| 8. Compartir con otros mis propias emociones y preocupaciones. | 1 | 5 | 2,33 | 1,36 |
| 9. Para superar el aislamiento que a menudo siento entre mis compañeros. | 1 | 5 | 3,02 | 1,37 |
| 10. Saber que otros estudiantes tienen mis mismos problemas. | 1 | 5 | 3,07 | 1,35 |
| 11. Colaborar con otros estudiantes en algún proyecto compartido. | 1 | 5 | 2,46 | 1,39 |
| 12. Mantener conversaciones sobre educación con otros profesores. | 1 | 5 | 2,27 | 1,26 |
| 13. Aprender de los materiales elaborados por otros docentes. | 1 | 5 | 3,9 | 1,13 |
| 14. Participar en los seminarios y actividades formativas abiertas y en línea. | 1 | 5 | 3,73 | 1,14 |
| 15. Dialogar sobre temas fundamentales relacionados con la educación en el mundo actual. | 1 | 5 | 2,68 | 1,36 |
| 16. Detectar mis propias carencias o necesidades de formación. | 1 | 5 | 3,45 | 1,21 |
| 17. Conseguir ayuda cuando intento implementar un recurso o una estrategia didáctica. | 1 | 5 | 3,02 | 1,32 |
| 18. Participar en un espacio que considero abierto y positivo. | 1 | 5 | 3,08 | 1,44 |
| 19. Aplicar en mis prácticas ideas o métodos que he aprendido en las redes sociales. | 1 | 5 | 3,56 | 1,27 |
| 20. Aprender sobre temas en los que tengo menos dominio. | 1 | 5 | 3,88 | 1,12 |
| 21. Preparar algún examen o proyecto de clase. | 1 | 5 | 3,22 | 1,22 |
| 22. Interactuar con mis compañeros o con la comunidad en alguna actividad organizada por mis docentes. | 1 | 5 | 3 | 1,35 |
| 23. Sentir que formo parte de una comunidad de docentes más amplia. | 1 | 5 | 3,26 | 1,33 |
| 24. Recibir retroalimentación (feedback) de mis profesores. | 1 | 5 | 2,47 | 1,32 |
| 25. Desarrollar mi propia presencia en la red como docente. | 1 | 5 | 3,37 | 1,28 |
| 26. Reflexionar sobre mis experiencias como docente. | 1 | 5 | 2,48 | 1,31 |
| 27. Recibir retroalimentación (feedback) inmediata de otros compañeros o docentes. | 1 | 5 | 2,5 | 1,33 |
| 28. Ir creando mi propia red de personas con las que tengo sintonía. | 1 | 5 | 2,61 | 1,38 |
| 29. Encontrar otros docentes o estudiantes con similares inquietudes a las mías. | 1 | 5 | 3,12 | 1,30 |
| 30. Disponer de un lugar seguro donde formular mis consultas y dudas como futuro docente. | 1 | 5 | 2,76 | 1,32 |
| 31. Realizar una actividad planificada por algún profesor de mi grado/máster. | 1 | 5 | 2,65 | 1,36 |
| 32. Compartir con otros materiales o recursos que he diseñado. | 1 | 5 | 2,57 | 1,44 |
| 33. Encontrar a personas que seleccionan y distribuyen contenido educativo. | 1 | 5 | 3,7 | 1,24 |
En la escala final encontramos que los docentes en formación encuentran pocos motivos para utilizar las redes sociales para su aprendizaje académico. Además, valoran bajo aspectos relacionados con su implicación en procesos de aprendizaje, colaboración y comunicación a través de redes sociales. En general, los estudiantes indican que han sido levemente informados sobre el uso de redes sociales en sus procesos de aprendizaje. Sin embargo, hay variabilidad en la aplicación práctica de ellas, siendo especialmente baja la retroalimentación recibida por su profesorado a través de redes sociales. Aunque existe cierta integración de estos espacios en el currículo y una motivación moderada para su uso futuro, no es consistente ni intensiva, intuyendo que aún hay margen para mejorar en estas áreas, como puede observarse en la Tabla 4.
| ITEMS | Media | Desviación Estándar |
| Se me ha dado a conocer la existencia y utilidad de las redes sociales como espacio para compartir conocimientos. | 2,51 | ,89 |
| He aprendido a utilizar las redes para conocer ejemplos y prácticas educativas vinculadas a las asignaturas. | 2,4 | ,93 |
| He recibido a través de redes sociales retroalimentación (feedback) de los profesores que me están formando. | 1,97 | ,91 |
| He utilizado las redes dentro de la programación de alguna asignatura para llevar a cabo alguna práctica en clase. | 2,43 | ,91 |
| Se me ha motivado para el uso de las redes sociales como espacio para compartir, generar y divulgar conocimiento en el futuro entorno profesional y en la sociedad en general. | 2,3 | ,88 |
Diferencias de uso de las redes sociales por docentes en formación en función del sexo, edad y nivel educativo para el cual se preparan
Para completar la descripción de los motivos que los docentes en formación manifiestan para utilizar las redes sociales, se ha querido conocer si existen diferencias según el sexo, la edad o el nivel educativo para el que se están formando en la universidad.
Diferencias en función del sexo
Con respecto a sexo, los resultados nos muestran que es un factor que escasamente determina la elección o uso de las redes sociales. De los 33 motivos por los cuales los profesores en formación pueden elegir utilizar las redes sociales, solo en uno encontramos diferencias en función del sexo. El motivo es “Conocer a profesores que comparten materiales y contenidos interesantes para mi formación”. Las mujeres valoran más positivamente este ítem que los hombres. El hecho de que, de los 33 motivos, solo uno muestre diferencias en función del sexo sugiere varias interpretaciones. Es posible que las mujeres tengan una mayor inclinación hacia la colaboración y el intercambio de recursos en redes sociales, valorando más el acceso a materiales y contenidos que enriquezcan su formación docente. También podría reflejar una tendencia a cómo las mujeres utilizan las redes sociales en un contexto académico, enfocándose en la creación de redes y el intercambio de conocimientos con otros profesionales.
Diferencias en función de la edad
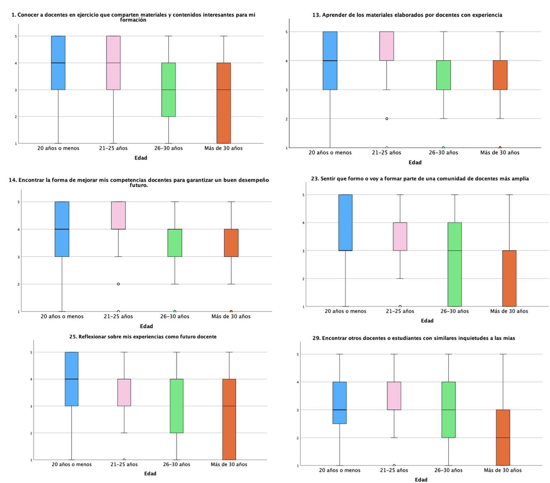
Como observamos en los diagramas de cajas en la Figura 1, cinco son los motivos en los que encontramos diferencias en función de la edad de los profesores en formación, que corresponden, en su totalidad, a motivos englobados en el primer factor “Encontrar recursos y personas para aprender”. En cuanto a las diferencias encontradas, son los docentes en formación más jóvenes (20 años o menos y 21-25 años) los que valoran los motivos más positivamente que los docentes de mayor edad (26-30 años o más).
De acuerdo con la prueba post Hoc de Dunn, en varios motivos se dan diferencias entre los estudiantes de 20 o menos años y los de 31 o más años. Entre los sujetos de los tramos de mayor edad aumenta el porcentaje de los que no se sienten identificados con los motivos, como sucede en los ítems 19 y 23. Los docentes más jóvenes valoran más las redes sociales para la reflexión, el aprendizaje de materiales existentes, y la pertenencia a comunidades amplias de docentes, mostrando una mayor necesidad de establecer y desarrollar redes profesionales y competencias. Por otro lado, los docentes de mayor edad muestran una mayor variabilidad en sus respuestas, indicando que pueden tener diferentes enfoques y prioridades en su desarrollo profesional, habiendo ya establecido sus redes y métodos de aprendizaje.

Aunque reflexionar es importante para todos (ítem 25), los más jóvenes pueden sentir una necesidad más urgente de utilizar las redes sociales para este propósito. Igualmente, confían más en los materiales existentes para su aprendizaje (ítem 13), mientras que los mayores pueden estar buscando otras fuentes o métodos de aprendizaje más personalizados. En general, todos los grupos consideran importante conectarse con otros que compartan sus inquietudes (ítem 19), pero los docentes más jóvenes buscan estas conexiones con mayor urgencia. Además, valoran más la pertenencia a una comunidad de docentes (ítem 23), buscando establecer redes profesionales desde temprano, quizás debido a que son una generación en permanente conexión y presencia en redes sociales y que les resulta más natural entender este tipo de entornos como espacios de encuentro y socialización. Mientras tanto, los mayores de 30 años pueden ya tenerlas establecidas y, por lo tanto, no ven esto como una prioridad. Por último, mejorar las competencias docentes (ítem 14) es una preocupación común, aunque puede ser menos intensa en los grupos de mayor edad, posiblemente porque ya han adquirido una base sólida de competencias en años previos o derivado de su experiencia. Estas diferencias nos sugieren la necesidad de adaptar los programas de formación docente para atender mejor a las expectativas y necesidades de los diferentes grupos de edad, promoviendo una inclusión digital que beneficie a todos los futuros docentes.
Diferencias en función del nivel educativo para el cual se están formando
Hemos analizado, además, si existen diferencias significativas entre las percepciones de los profesores en formación en función del nivel educativo para el que están formándose (Figura 2). Para realizar este contraste, iniciamos el análisis contrastando si existían diferencias significativas entre los docentes de Educación Infantil y Primaria por una parte y los de Educación Secundaria y Formación Profesional por otra. El análisis nos mostró que no había diferencias significativas en ningún ítem de la escala en las comparaciones intragrupo. A partir de este resultado realizamos el análisis de diferencias entre dos grupos, denominándolos: Grado (estudiantes de Educación Infantil y Primaria) y Máster (estudiantes para profesorado de Secundaria-Bachillerato y Formación Profesional). Encontramos que existen diferencias significativas en 6 de los 33 ítems que componen la escala. Como puede observarse en la Figura 2, todos los rangos promedio de los diferentes ítems aparecen más elevados en los estudiantes de Grado que en los de Máster. Se trata de ítems que se encuentran distribuidos en los tres factores de uso, siendo predominantes aquellos que se encuentran en el factor 2 (3 de los 6 ítems).

En el caso de los dos ítems que presentan una mayor variación (ítems 1 y 23) son aquellos relacionados con el primero de los factores “Encontrar recursos y personas para aprender” los que obtienen una valoración superior por parte de los estudiantes de Grado que de Máster. Entendemos que son los estudiantes de Grado quienes tienen mayores expectativas ante lo que las redes sociales pueden ofrecerles. Quizás, esta motivación puede justificarse por las mayores expectativas hacia su formación y futuro como docentes por parte de los alumnos de Grado, junto con una necesidad de conocer vivencias que les reflejen la realidad del aula, dada su falta de práctica docente. Mientras que los alumnos de Máster puede que no valoren tanto estos ítems, ya que su falta de experiencia práctica y de formación docente puede llevarles a no comprender el uso concreto que pueden tener los recursos distribuidos en las redes sociales.
Por otro lado, en aquellos ítems que corresponden a los motivos de “Aprendizaje académico” (PC2), tres son los que los estudiantes de Grado han destacado con mayor interés que el alumnado de Máster. Se trata de aquellos que tienen que ver con “Recibir retroalimentación de mis profesores” y “de otros compañeros” y “Reflexionar sobre mis experiencias como docente”. Esto puede indicarnos que los estudiantes de Grado, comienzan a tener una mayor identidad profesional, lo que les lleva a valorar la necesidad de mejorar su desempeño como docente. En este proceso buscan orientadores en los cuales apoyarse en su proceso académico, y encuentran en la reflexión un medio crucial para comprender la realidad del aula. Los estudiantes de Máster, con menor grado de identidad profesional docente puede que no valoren la importancia de la colaboración y la retroalimentación en la mejora profesional, debido a su menor tiempo como futuros docentes.
CONCLUSIONES Y DISCUSIÓN
Las redes sociales están presentes en la vida cotidiana de la población juvenil universitaria, siendo plataformas frecuentemente utilizadas para la interacción social, entretenimiento y acceso a variada información. Sin embargo, más allá de su uso recreativo, las redes sociales pueden desempeñar una función formativa significativa en el aprendizaje y desarrollo profesional de los docentes en formación.
Como hemos visto, una parte importante de los profesores en formación son usuarios activos de alguna de las redes sociales. Sin embargo, puede que esté ocurriendo con las redes sociales, lo que Resnik denunció en su conferencia como presidenta de la AERA en 1987 respecto de la escuela. En su conferencia Learning in School and out (Resnik, 1987), llamaba la atención sobre cómo la escuela configuraba un mundo de aprendizaje individualista, mental, simbólico y generalista muy diferente al mundo externo de la escuela: social, instrumental, contextualizado y específico. Podríamos afirmar, basándonos en los resultados de nuestra investigación, que lo mismo puede estar ocurriendo en la formación inicial docente respecto de las redes sociales. Existen estudiantes que las utilizan dentro y fuera de sus instituciones de formación, pero son invisibles dentro del currículum de la formación inicial.
Para dar respuesta a este problema apuntamos a tres ámbitos que, desde nuestro punto de vista, deberían ser atendidos en la formación inicial docente: las redes sociales y la identidad e imagen docente (Carpenter et al., 2020; Kimmons y Veletsianos, 2014b); las redes sociales y la construcción del profesionalismo digital (Kimmons y Veletsianos, 2014a) y las redes sociales para el aprendizaje autorregulado.
En primer lugar, la formación inicial docente debe integrar los espacios digitales utilizados por muchos docentes en formación. Es crucial que las instituciones aborden las redes sociales no sólo como un fenómeno de comunicación, sino también que instruyan en las responsabilidades y compromisos éticos asociados. La investigación ha destacado la necesaria alfabetización mediática del profesorado universitario de cualquier área de conocimiento, destacando aquellas que forman al futuro profesorado (Santisteban et al., 2020). Igualmente, las redes sociales ofrecen una "ventana al aula" que puede mostrar a los estudiantes una comprensión realista de su futuro entorno escolar, seleccionando contenidos fieles a la realidad y evitando la romantización de la docencia (Carpenter et al., 2017; Staudt Willet, 2024). No se puede asumir que los docentes en formación, por su juventud, identifiquen autónomamente los perfiles y contenidos más adecuados (Staudt Willet, 2024). Es responsabilidad del personal docente y de los responsables del desarrollo profesional establecer vías de formación que aprovechen las redes sociales como medios didácticos y pedagógicos para los futuros docentes.
Siguiendo esta línea, la edad de los estudiantes determina la participación en redes sociales. Los estudiantes más jóvenes, como hemos encontrado en esta investigación, se identifican más con las potencialidades de estas plataformas y con sus posibilidades como futuros docentes. La formación inicial docente debe aprovechar esta orientación positiva para destacar tanto las ventajas como los retos del uso de redes sociales para los futuros docentes (Carpenter et al., 2023). Un ejemplo reciente es el fenómeno del “sharenting” (Garrido et al., 2023; Otero, 2017), que describe a adultos que exponen la imagen y datos privados de menores en redes sociales como TikTok sin el consentimiento de sus tutores. Ha habido casos de docentes que han violado la privacidad de menores mostrando grabaciones de sus alumnos sin las medidas de protección adecuadas (El Día, 2024). Sin embargo, estos casos son aislados si consideramos las redes sociales como espacios para visibilizar buenas prácticas de “Teachtokers” o docentes con liderazgo en redes sociales (Marcelo García y Marcelo-Martínez, 2021), quienes utilizan estas plataformas para promover la creatividad (Vizcaíno-Verdú y Abidin, 2023) y ejercer un tipo de “activismo docente” (Carpenter y Krutka, 2014; Greenhalgh y Koehler, 2017; Krutka et al., 2016).
Un segundo ámbito de actuación en la formación inicial docente se refiere al desarrollo del nuevo profesionalismo digital (Zinskie y Griffin, 2023). Los futuros docentes serán profesores en una sociedad conectada y su formación inicial debe promover una conciencia profesional caracterizada por la conexión, en lugar del aislamiento. Fomentar la participación de los profesores en formación en redes sociales profesionales puede ayudar a crear una "personal learning network" que los apoye al inicio y a lo largo de su carrera. Los formadores han de promover y fomentar de forma cotidiana que sus alumnos utilicen las redes sociales para complementar los recursos formativos que ellos aportan en sus clases (Carpenter y Green, 2018; Veletsianos y Kimmons, 2012). Es fundamental desarrollar una estrategia que permita a los docentes en formación buscar información, contenidos digitales e identificar a docentes influyentes. Los resultados de nuestro estudio indican que los futuros docentes rara vez participan en actividades y procesos formativos organizados por el profesorado en redes sociales. Por ello, los formadores deben integrar estos recursos en sus programas formativos.
A menudo, los profesores universitarios proporcionan infinidad de recursos bibliográficos, olvidando que existen fuentes complementarias que pueden enriquecer el proceso de enseñanza-aprendizaje. Es necesario analizar la complementariedad o conflicto entre las orientaciones pedagógicas y los recursos ofrecidos por los formadores y los encontrados en redes sociales, convirtiendo este análisis en una oportunidad de aprendizaje. Existen numerosas experiencias documentadas sobre el uso de redes sociales como instrumento didáctico en la formación de futuros docentes (Marcelo-Martínez y Marcelo García, 2023). Por ejemplo, el uso de X (Twitter) para desarrollar actividades de “microblogging” y documentación de asignaturas (Tejedor et al., 2021), o Instagram como espacio de comunicación, colaboración y repositorio de materiales (Alonso-López y Terol-Bolinches, 2020; Hernández, 2020). Aunque los docentes de educación superior están adoptando nuevas estrategias metodológicas innovadoras, los resultados de nuestro estudio muestran que se percibe baja integración de las redes sociales como elemento curricular para articular actividades de aprendizaje en el aula o fuera de ella.
En tercer lugar, la formación inicial docente ha de promover la integración de las redes sociales como un recurso más para el desarrollo de estrategias de aprendizaje autorregulado por parte de los profesores en formación (Yen et al., 2022). En este sentido, encontramos que algunos docentes en formación se familiarizan con las redes sociales no sólo como espacio para conseguir recursos, sino como una herramienta más de su propio ambiente y red personal de aprendizaje. El hecho de ir configurando una red personal de aprendizaje, y de la necesidad de compartir problemas, dudas y experiencias entre los más jóvenes, compuesta por muchos otros futuros docentes activos en redes sociales, les va a permitir a los profesores en formación ir desarrollando su propia identidad digital profesional docente (Engeness, 2021).
Por último, respecto a las diferencias en los motivos de uso según el sexo, la edad o el nivel educativo para el que se preparan los docentes en formación, destaca que los más jóvenes confieran mayor credibilidad y utilidad al uso de redes sociales. Esto plantea si su uso se debe a una mayor exposición a las redes (Marín-Díaz et al., 2019) y al haber crecido en un ambiente digital, o bien a una falta de reflexión y tendencia hacia un consumo de información más superficial e inmediato. También es posible que los docentes más adultos, así como aquellos que se preparan para enseñar en secundaria (con edades mayores que los de educación infantil y primaria), hayan desarrollado una mayor madurez en el uso y acceso a la información de las redes sociales, reconociendo sus limitaciones como herramientas para su desarrollo profesional.
Para finalizar, esta investigación tiene algunas limitaciones. En primer lugar, los datos provienen de un cuestionario que ha mostrado validez y fiabilidad, pero cuyos resultados se ciñen a una muestra no probabilística. Por ello sería necesario ampliar la muestra para que responda a la población objeto de estudio. Por otro lado, los resultados podrían ampliarse en la medida en que se aborden otras metodologías como la entrevista o el grupo focal de forma que se pueda disponer de una información más completa y explicativa. Por último, queda abierto el espacio de análisis de la experiencia proporcionada por los que serán nuestros futuros docentes, que, en el ámbito de la educación secundaria es más extenso que el que plantea la muestra, ya que, en esta consideración, la muestra podría ampliarse a los universitarios que se forman en todas las especialidades que ofrece el Máster Universitario en Profesorado en Enseñanza Secundaria Obligatoria y Bachillerato, Formación Profesional y Enseñanzas de Idiomas.
Agradecimientos
Este artículo ha sido desarrollado gracias a los fondos de los siguientes Proyecto de I+D+I PAIDI 2021 financiado por la Junta de Andalucía con referencia PROYEXCEL_00826 y Proyecto de I+D+I, financiado por el Ministerio de Ciencia e Innovación del Gobierno de España con referencia TED2021-129820B-I00.
REFERENCIAS
Alhabash, S. y Ma, M. (2017). A Tale of Four Platforms: Motivations and Uses of Facebook, Twitter, Instagram, and Snapchat Among College Students? Social Media + Society, 3(1). https://doi.org/10.1177/2056305117691544
Alonso-López, N. y Terol-Bolinches, R. (2020). Alfabetización transmedia y redes sociales: Instagram como herramienta docente en el aula universitaria. ICONO-14: Revista científica de Comunicación Audiovisual y Nuevas Tecnologías, 18(2), 138-161. https://doi.org/10.7195/ri14.v18i2.1518
Anderson, M., Faverio, M. y Gottfried, J. (2023). Teens, social media and technology 2023. Pew Research Center. https://www.pewresearch.org/internet/2023/12/11/teens-social-media-and-technology-2023/
Carpenter, J. P. y Krutka, D. G. (2014). How and why educators use Twitter: A survey of the field. Journal of Research on Technology in Education, 46(4), 414-434. https://doi.org/10.1080/15391523.2014.925701
Carpenter, J. P. y Green, T. D. (2018). Twitter + Voxer: Educators’ complementary uses of multiple social media [Paper presentation]. Society for Information Technology and Teacher Education, Washington, DC. https://www.learntechlib.org/p/182835/
Carpenter, J. P., Morrison, S. A., Craft, M. y Lee, M. (2020). How and why are educators using Instagram? Teaching and Teacher Education, 96, 103149. https://doi.org/10.1016/j.tate.2020.103149
Carpenter, J. P., Morrison, S. A., Rosenberg, J. M. y Hawthorne, K. A. (2023). Using Social Media in pre-service teacher education: The case of a program-wide twitter hashtag. Teaching and Teacher Education, 124, 104036. https://doi.org/10.1016/j.tate.2023.104036
Carpenter, J. P., Cook, M. P., Morrison, S. A. y Sams, B. L. (2017). “Why haven’t I tried Twitter until now?”: Using Twitter in teacher education. Learning Landscapes, 11(1), 51-64. https://doi.org/10.36510/learnland.v11i1.922
Carpenter, J. P., Morrison, S. A., Shelton, C. C., Clark, N., Patel, S. y Toma-Harrold, D. (2024). How and why educators use TikTok: Come for the fun, stay for the learning? Teaching and Teacher Education, 142, 104530. https://doi.org/10.1016/j.tate.2024.104530
Casipit, D., Cara-Alamani, E., Ravago, J., Reyes, M., Pagay, J. y Tagasa, G. (2022). Gender Differences in Using Social Media in Language and Literature Teaching in Multicultural Context. International Journal of Language and Literary Studies, 4(4), 52-65. https://doi.org/10.36892/ijlls.v4i4.1083
El Día. (2024, 9 de abril). Profesor en Tenerife borra video viral tras quejas de padres.https://www.eldia.es/sociedad/2024/04/09/profesor-tenerife-borra-video-viral-100838689.html
Engeness, I. (2021). Developing teachers’ digital identity: towards the pedagogic design principles of digital environments to enhance students’ learning in the 21st century. European Journal of Teacher Education, 44(1), 96-114. https://doi.org/10.1080/02619768.2020.1849129
Feiman-Nemser, S. y Buchman, M. (1988). Lagunas de las prácticas de enseñanza de los programas de formación del profesorado. En L. M. Villar Angulo (Ed.), Conocimiento, creencias y teorías de los profesores (pp. 301-314). Marfil.
Flores-González, N., Flores-González, E., Castelán-Flores, V. y Zamora-Herández, M. (2022). A didactic tool for updating the teaching-learning process of English as a foreign language. Journal of Information Technologies y Communications / Revista de Tecnologías de la Información y Comunicaciones, 6(15). https://doi.org/10.35429/JITC.2022.16.6.20.28
Garrido, F., Alvarez, A., González-Caballero, J., Garcia, P., Couso, B., Iriso, I., Merino, M., Raffaeli, G., Sanmiguel, P., Arribas, C., Vacaroaia, A. y Cavallaro, G. (2023). Description of the Exposure of the Most-Followed Spanish Instamoms’ Children to Social Media. International Journal of Environmental Research and Public Health, 20.https://doi.org/10.3390/ijerph20032426
Gilbert, S. (2016). Learning in a Twitter-based community of practice: an exploration of knowledge exchange as a motivation for participation in #hcsmca. Information, Communication & Society, 19(9), 1214-1232. https://doi.org/10.1080/1369118X.2016.1186715
Goodyear, V., Parker, M. y Casey, A. (2019). Social media and teacher professional learning communities. Physical Education and Sport Pedagogy, 24(5), 421-433. https://doi.org/10.1080/17408989.2019.1617263
Greenhalgh, S. P. y Koehler, M. J. (2017). 28 Days Later: Twitter Hashtags as “Just in Time” Teacher Professional Development. TechTrends, 61(3), 273-281. https://doi.org/10.1007/s11528-016-0142-4
Greenhow, C. y Askari, E. (2017). Learning and teaching with social network sites: A decade of research in K-12 related education. Education and Information Technologies, 22, 623-645. https://doi.org/10.1007/s10639-015-9446-9
Hamedinasab, S., Ayati, M. y Rostaminejad, M. (2023). Teacher professional development pattern in virtual social networks: A grounded theory approach. Teaching and Teacher Education, 132, 104211. https://doi.org/10.1016/j.tate.2023.104211
Hernández, A. M. (2020). Instagram como recurso didáctico en la Educación Superior en los Grados de Infantil y Primaria. Contribuciones de la tecnología digital en el desarrollo educativo y social, 124.
Higueras-Rodríguez, L., Medina-García, M. y Pegalajar-Palomino, M. D. (2020). Use of Twitter as an Educational Resource. Analysis of Concepts of Active and Trainee Teachers. Education Sciences, 10(8). https://doi.org/10.3390/educsci10080200
Huebner, E. J. (2022). TikTok and museum education: A visual content analysis. International Journal of Education Through Art, 18(2), 209-225. https://doi.org/10.1386/eta_00095_1
Hyndman, B. y Harvey, S. (2020). Preservice Teachers’ Perceptions of Twitter for Health and Physical Education Teacher Education: A Self-Determination Theoretical Approach. Journal of Teaching in Physical Education, 39(4), 472-480. https://doi.org/10.1123/jtpe.2019-0278
IAB Spain. (2023). Estudio de Redes Sociales 2023. [Informe]. IAB Spain. https://iabspain.es/estudio/estudio-de-redes-sociales-2023/
Iredale, A., Stapleford, K., Tremayne, D., Farrell, L., Holbrey, C. y Sheridan-Ross, J. (2020). A review and synthesis of the use of social media in initial teacher education. Technology, Pedagogy and Education, 29(1), 19-34. https://doi.org/10.1080/1475939X.2019.1693422
Karimi, H., Knake, K. T. y Frank, K. A. (2022). Teachers in Social Media: A Gender-aware Behavior Analysis. Proceedings - 2022 IEEE International Conference on Big Data, Big Data 2022, 1842–1849. https://doi.org/10.1109/BigData55660.2022.10020354
Kennedy, M. M. (2019). How We Learn About Teacher Learning. Review of Research in Education, 43(1), 138-162. https://doi.org/10.3102/0091732X19838970
Kimmons, R. y Veletsianos, G. (2014a). Teacher professionalization in the age of social networking sites. Learning, Media and Technology, 40(4), 480-501. https://doi.org/10.1080/17439884.2014.933846
Kimmons, R. y Veletsianos, G. (2014b). The fragmented educator 2.0: Social networking sites, acceptable identity fragments, and the identity constellation. Computers & Education, 72, 292-301. https://doi.org/10.1016/j.compedu.2013.12.001
Krutka, D. G., Carpenter, J. P. y Trust, T. (2016). Enriching Professional Learning Networks: A Framework for Identification, Reflection, and Intention. TechTrends, 60(1), 46-53. https://doi.org/10.1007/s11528-016-0141-5
Lemon, N. y O'Brien, S. (2019). Social Media use in Initial Teacher Education: Lessons on knowing where your students are. Australian Journal of Teacher Education, 44(12). https://doi.org/10.14221/ajte.2019v44n12.3
Li, S., Zheng, J. y Zheng, Y. (2020). Towards a new approach to managing teacher online learning: Learning communities as activity systems. The Social Science Journal, 1-13. https://doi.org/10.1016/j.soscij.2019.04.008
Marcelo García, C. y Marcelo-Martínez, P. (2021). Influencers educativos en Twitter. Analisis de hashtags y estructura relacional. Comunicar: Revista Científica Iberoamericana de Comunicación y Educación, 29(68), 73-83. https://doi.org/10.3916/C68-2021-06
Marcelo-Martínez, P. y Marcelo García, C. (2023). Redes Sociales y Formación del Profesorado. Editorial Octaedro. https://octaedro.com/wp-content/uploads/2023/08/9788419690715.pdf
Marcelo-Martínez, P., Yot-Domínguez, C. y Marcelo, C. (2023). Los docentes y las redes sociales: usos y motivaciones. Revista de Educación a Distancia (RED), 23(72). https://doi.org/10.6018/red.523561
Marcelo-Martínez, P., Yot-Domínguez, C. y Mosquera Gende, I. (2024). Exploring the motives for using social networks for professional development by Spanish teachers, Information and Learning Sciences, Vol. ahead-of-print No. ahead-of-print. https://doi.org/10.1108/ILS-12-2023-0199
Marín-Díaz, V., Vega-Gea, E. y Passey, D. (2019). Determination of problematic use of social networks by university students. RIED-Revista Iberoamericana de Educación a Distancia, 22(2), 135-152. https://doi.org/10.5944/ried.22.2.23289
Martín-Gutiérrez, Á., Said-Hung, E. y Conde-Jiménez, J. (2024). Social media and non-university teachers from a gender perspective in Spain. Journal of New Approaches in Educational Research, 13(1), 10. https://doi.org/10.1007/s44322-024-00010-z
Marwick, A. E. y Boyd, D. (2011). I tweet honestly, I tweet passionately: Twitter users, context collapse, and the imagined audience. New Media & Society, 13(1), 114-133. https://doi.org/10.1177/1461444810365313
Mullins, R. y Hicks, D. (2019). “So I feel like we were just theoretical, whereas they actually do it”: Navigating Twitter chats for teacher education. Contemporary Issues in Technology and Teacher Education, 19(2), 218-239. https://www.learntechlib.org/primary/p/187335/
Nochumson, T. (2018). An investigation of elementary schoolteachers’ use of twitter for their professional learning. Columbia University.
Nochumson, T. (2020). Elementary schoolteachers’ use of Twitter: exploring the implications of learning through online social media. Professional Development in Education, 46(2), 306-323. https://doi.org/10.1080/19415257.2019.1585382
Otero, P. (2017). Sharenting… ¿La vida de los niños debe ser compartida en las redes sociales? Archivos Argentinos de Pediatría, 115(5), 412-413. https://doi.org/10.5546/aap.2017.412
Patahuddin, S. M., Rokhmah, S., Caffery, J. y Gunawardena, M. (2022). Professional development through social media: A comparative study on male and female teachers’ use of Facebook Groups. Teaching and Teacher Education, 114. https://doi.org/10.1016/j.tate.2022.103700
Resnik, L. (1987). Learning in School and out. Educational Researcher, 16(9), 13-20. https://doi.org/10.3102/0013189X016009013
Reyna, J. (2021). #InstaLearn: A Framework to Embed Instagram in Higher Education. En T. Bastiaens (Ed.), Proceedings of EdMedia + Innovate Learning (pp. 164-172). United States: Association for the Advancement of Computing in Education (AACE). https://www.learntechlib.org/primary/p/219652/
Ruiz-Ruiz, I. N. y Izaguirre, E. J. D. P. (2022). Social media feedback. a different look at instagram as a collaborative learning tool. South Florida Journal of Development, 3(3), 3218-3232. https://doi.org/10.46932/sfjdv3n3-014
Santisteban, A., Díez-Bedmar, M.-C. y Castellví, J. (2020). Critical digital literacy of future teachers in the Twitter Age (La alfabetización crítica digital del futuro profesorado en tiempos de Twitter). Culture and Education, 32, 185-212. https://doi.org/10.1080/11356405.2020.1741875
Schroeder, S., Curcio, R. y Lundgren, L. (2019). Expanding the Learning Network: How Teachers Use Pinterest. Journal of Research on Technology in Education, 51(2), 166-186. https://doi.org/10.1080/15391523.2019.1573354
Staudt Willet, K. B. (2024). Early career teachers’ expansion of professional learning networks with social media. Professional Development in Education, 50(2), 386-402. https://doi.org/10.1080/19415257.2023.2178481
Staudt Willet, K. B. (2019). Revisiting how and why educators use Twitter: Tweet types and purposes in# Edchat. Journal of Research on Technology in Education, 51(3), 273-289. https://doi.org/10.1080/15391523.2019.1611507
Tejedor, S., Coromina, Ó. y Pla-Campas, G. (2021). Microblogging en escenarios curriculares universitarios: el uso de Twitter más allá del encargo docente. Revista Electrónica de Investigación Educativa, 23. https://doi.org/10.24320/redie.2021.23.e20.3565
Tess, P. A. (2013). The role of social media in higher education classes (real and virtual). A literature review. Computers in Human Behavior, 29(5), A60 A68. https://doi.org/10.1016/j.chb.2012.12.032
Veletsianos, G. y Kimmons, R. (2012). Networked Participatory Scholarship: Emergent Techno-Cultural Pressures toward Open and Digital Scholarship in Online Networks. Computers & Education, 58(2), 766-774. https://doi.org/10.1016/j.compedu.2011.10.001
Vizcaíno-Verdú, A. y Abidin, C. (2023). TeachTok: Teachers of TikTok, micro-celebrification, and fun learning communities. Teaching and Teacher Education, 123, 103978. https://doi.org/10.1016/j.tate.2022.103978
Yen, C. J., Tu, C. H., Ozkeskin, E. E., Harati, H. y Sujo-Montes, L. (2022). Social Network Interaction and Self-regulated Learning Skills: Community Development in Online Discussions. American Journal of Distance Education, 36(2), 103-120. https://doi.org/10.1080/08923647.2022.2041330
Zinskie, C. y Griffin, M. (2023). Initial Teacher Preparation Faculty Views and Practices Regarding E-Professionalism in Teacher Education. Contemporary Issues in Technology and Teacher Education, 23(2), 434-455. https://citejournal.org/wp-content/uploads/2023/04/v23i2Currentpractice1.pdf
Información adicional
Cómo citar: Marcelo-Martínez, P., Yot-Domínguez, C., & Yanes Cabrera, C. (2025). Connected outside, disconnected inside. Social Networks in initial teacher training. [Conectados fuera, desconectados dentro. Las redes sociales en la formación inicial docente]. RIED-Revista Iberoamericana de Educación a Distancia, 28(1). https://doi.org/10.5944/ried.28.1.41343