Estudios e investigaciones / Research and Case Studies
Level of readiness for online learning in applicants to distance Higher Education
Nivel de preparación para aprendizaje en línea en aspirantes a ingresar a Educación Superior a distancia
Level of readiness for online learning in applicants to distance Higher Education
RIED-Revista Iberoamericana de Educación a Distancia, vol. 28, núm. 1, 2025
Asociación Iberoamericana de Educación Superior a Distancia

Recepción: 01 Junio 2024
Aprobación: 03 Agosto 2024
Abstract: Successful distance education requires students to possess an appropriate level of skills and competencies to achieve satisfactory learning, like collaboration, self-regulation and communication. Not all candidates to higher education online programs have the needed skills, so there is a need to investigate this area with academically grounded instruments. In order to examine the readiness of applicants to learn in the online modality, the responses of 32,789 applicants to distance learning college-level programs in a large public university were collected over three years using the Student Readiness for Online Learning (SROL) questionnaire. Backtranslation of the instrument was performed. Through principal components factor analysis, it was identified that readiness for online learning is associated with perceived importance/confidence in their ability for autonomous learning, the use of technological tools, and communication in virtual environments. Constructing an indicator of online learning readiness, it was found that 40% of applicants have a high level of preparation for studying online, with areas of opportunity in autonomous learning. Peer communication was found to be the least important aspect identified in this large sample of applicants. In conclusion, the SROL instrument to measure online learning readiness, adapted to Spanish, has evidence of validity and reliability in a public Latin American public university. The main areas of opportunity are autonomous learning, being self-disciplined and focusing on studying without distractions.
Keywords: distance education, assessment of competency, digital learning skills, higher education, online learning.
Resumen: La Educación a Distancia exitosa requiere que los estudiantes posean habilidades y competencias para lograr un aprendizaje satisfactorio, como colaboración, autorregulación y comunicación. No todos los aspirantes a programas de educación superior en línea cuentan con las habilidades necesarias, por lo que es necesario investigar el tema con instrumentos sustentados académicamente. Para examinar la preparación de los aspirantes para aprender en modalidad a distancia, se recabaron durante tres años las respuestas de 32,789 aspirantes a ingresar a carreras a distancia en una universidad pública de gran tamaño, empleando el cuestionario Student Readiness for Online Learning (SROL). Se realizó la traducción inversa del cuestionario. Con análisis factorial de componentes principales, se identificó que la preparación para el aprendizaje en línea se asocia con la valoración/ejecución del aprendizaje autónomo, del uso de herramientas tecnológicas y de la comunicación en ambientes virtuales. Con un indicador de preparación de aprendizaje en línea se encontró que 40 % de los aspirantes cuentan con un alto nivel de preparación para estudiar en línea, con área de oportunidad en el aprendizaje autónomo; destaca que la comunicación entre pares es el aspecto identificado como de menor importancia por los aspirantes. En conclusión, el instrumento SROL para evaluar la preparación para el aprendizaje en línea, adaptado al español, posee evidencia de validez y confiabilidad en una universidad pública latinoamericana. Los aspectos con mayor área de oportunidad son el aprendizaje autónomo, ser autodisciplinado y concentrarse en el estudio sin distracciones.
Palabras clave: educación a distancia, evaluación de competencias, habilidades digitales para el aprendizaje, educación superior, aprendizaje en línea.
INTRODUCTION
Distance Education requires students to possess learning skills beyond those required by non-technology-mediated modalities. According to Silva and Behar (2023), the concept of digital competences emerged as the set of knowledge, skills and attitudes, strategies and awareness required to use Information and Communication Technologies (ICT) in different areas. The European Commission (EC, 2006; 2007) defined “learning to learn” as a relevant competence for training in educational institutions. According to Pineda et al. (2024), Distance Education, as a learning modality, requires students with skills related to autonomous learning, such as collaboration, self-regulation, and communication.
One definition of skill is Ehlers’ (2020, p. 131): "the ability to act successfully on a complex problem in a future and unknown context of action"; as for competencies (Ehlers, 2020, p. 131) they are defined as "the ability to act in a self-organized and creative way in open problems and decision situations. Competencies are self-organizing dispositions." These definitions coincide with the purpose that learning skills should facilitate the application of what has been learned in different contexts, as well as promote the autonomous learning required when studying in the distance modality.
Research in distance education needs to explore the skills and competencies required by students in this modality. As a result of this need, several instruments have been developed, some focused on access to technology, others on the willingness to learn in digital environments and on the obstacles to terminal efficiency, among others.
The National Autonomous University of Mexico (UNAM) offers preparatory courses for students that pursue their studies in digital environments. As part of this institutional strategy, a diagnosis was carried out to determine the level of abilities and competencies for learning that applicants have before entering university in the distance learning modality. The need for an instrument to assess just how important learning autonomy, communication in virtual environments and the use of technological tools, are for applicants when carrying out their studies, as well as the level of confidence they consider having in each of these dimensions, was determined. Different instruments were analyzed, and the Student Readiness for Online Learning (SROL) was selected, since this tool goes beyond specifically assessing skills and competencies on learning and autonomy, communication in virtual environments and use of technology, by examining the relationship between the perception of its importance and confidence in their ability to execute them as online students. Thus, this instrument includes both the perception of importance and confidence in execution, to study an online course in higher education (Catalano, 2018; Martin et al., 2020).
The SROL instrument has been used in different contexts. Chaves (2021, p. 81) in the Philippines found that students consider the “lack of technical skills in using online learning” as the least challenging. When Handang (2022) applied the SROL to assess the preparedness level of social studies students in Philippine universities, the result was that they have a high level of preparedness in both confidence and importance, and in terms of gender there were no significant differences between male and female respondents. Küsel et al. (2020) conducted a comparative study with this instrument, in 72 German university students and 176 students from various universities in the United States; the results showed substantial differences between the two groups, with American students being more prepared for online learning.
McLeod (2022) also used the SROL questionnaire for an analysis of international students in USA institutions, exploring their readiness for online learning, with 117 respondents. The study revealed that the average student considered the categories to be between somewhat and very important and that they themselves had some self-confidence. In Indonesia, (Rafsanjani et al., 2022) examined the relationship between Indonesian students’ readiness and their satisfaction with online learning during the COVID-19 pandemic in 518 students. They found that the dimensions of students’ readiness are closely related to their satisfaction with online learning.
In Turkey, Ates Cobanoglu and Cobanoglu (2021) examined 270 student teachers’ readiness for online learning using SROL. The findings show that the levels of online learning readiness are at a good level, however, they differ depending on their specific departments. In addition, students who have access to the Internet scored higher in readiness for online learning than those without access. They suggest that students should increase online, distance, or blended learning experiences, and develop skills by becoming familiar with online learning environments. In Indonesia, (Suryanti & Sutaji, 2021) conducted research using SROL on 125 students’ readiness for online learning in mathematics. They documented the validity and reliability of the instrument and showed that the technical and communication skills components were rated highly in importance, compared to the attributes of online study and time management.
Based on this background of the use of the SROL instrument in various educational settings in other countries, as well as the documented evidence of validity and reliability, it was decided to adapt the instrument to Spanish and use it in our context.
METHODOLOGY
Context
Training in digital environments is one of the foundations for achieving quality education. The 2030 Agenda for Sustainable Development recognizes the importance of information and communication technologies (ICTs) and their potential in the educational field. In order to guide teaching competencies and skills related to ICTs in the educational system, UNESCO (2019) developed the Teaching Competence Framework, in which it proposes the integration of technology into its practice, to help students develop their digital skills.
As noted by Reyes-Millán et al. (2023), online learning for higher education (HE) has grown in recent decades. In 2019 in the United States, 17.5% of students worked remotely, and in Spain, Colombia, Sweden and Germany, more than 15% (15.4-25%). In Mexico, during 2019-2020, 21.5% of the total university students were enrolled in a distance learning program. It is important for institutions to evaluate and improve students' digital skills, and to do so, instruments are applied that provide information to the institution on various aspects. According to Reyes-Millán et al. (2023), digital skills assessments can be online questionnaires, self-assessments, or project-based assessments, and their purpose is to help students develop the skills they need to succeed in their academic training.
The National Autonomous University of Mexico (UNAM) is the largest and most important university in the country; it offers university education in open and distance modalities, for which it has the Open University and Distance Education System (SUAyED), which has an educational offer in the distance modality of 21 bachelor's degrees. The population enrolled in distance education went from 10,203 students in the 2012-2013 school year to 22,359 in 2022-2023 (UNAM, 2023), an average annual growth of 8.2%. This population represents 9.6% of the total undergraduate enrollment at UNAM. The predecesor of SUAyED at UNAM was the creation of its Open University System in 1972, as an alternative solution that would allow incorporating larger segments of the population into higher education through the decentralization of university services and a renewal of teaching methods (González-Casanova, 1972), with specially designed teaching materials and face-to-face counseling on and off campus (Amador, 2012). The second pillar of SUAyED is its distance education programs. In 2005, the first bachelor's degrees were offered in this modality, which currently has 22,457 students, of which 6,348 are first-year students (UNAM, 2023).
The institutional admission process offers applicants to enter bachelor's degrees in the distance modality enrollment in a program of preparatory courses. As part of the admission process for distance learning bachelor's degrees, applicants can take the Admission Support Program (PAI) offered by the university, to provide participants with a training experience that allows them to develop learning skills that support and promote their training in the online modality and their university trajectory. The PAI is made up of courses that are taught online in the LMS (Learning Management System) Moodle. In this group of courses, it was decided to include the SROL questionnaire, with the purpose of identifying their skills and competencies to learn in the distance modality.
Research design and research question
An observational and comparative study was conducted with three cohorts of applicants enrolled in the Admission Support Program (PAI) in the 2021 to 2023 admission processes.
Research question: What are the levels of abilities and competencies of applicants to learn online in order to pursue a university degree in the Open University and Distance Education System of a public university?
Back-translation of the instrument
A literature review of online study skills and competencies was conducted, with the aim of analyzing approaches from various authors to define this construct and the instruments proposed to measure it. Considering the compilation of assessment instruments for distance education carried out by Catalano (2018), those available to assess online study skills available in full text were analyzed and the questionnaire created by Martin et al. (2020) entitled “Student Readiness for Online Learning” (SROL) was selected because:
The questionnaire was translated from English into Spanish using the back-translation methodology, which seeks to ensure the equivalence of the translation by comparing the original text with a translation into the same language of the text in the target language. Figure 1 illustrates these steps.

First, one of the authors (a native Spanish speaker with certified English proficiency) translated the original instrument from English to Spanish (Spanish version “A”) and another of the authors (also a native Spanish speaker with certified English proficiency) performed the review and copyediting. Next, a certified translator translated the Spanish version “A” and generated the English version “B”. The research team compared the original version with the English version “B” to identify differences in the meaning of the items. Each category and item were discussed, the changes required to solve these differences were identified, and a final version of the questionnaire, “C” in Spanish, was generated (Appendix 1). To validate the clarity of the translation, the Spanish version “C” was presented to 27 medical students at the university; all students reported that they understood the instructions and the questionnaire items.
The SROL questionnaire assesses candidates' readiness to learn in this modality, based on their perception of the importance of various abilities and competencies, as well as the confidence they have in executing them. Since the instrument consists of twenty items that are answered twice each, regarding the importance and confidence of the competencies for online learning, each participant records forty responses. In the online questionnaire format, two blocks of reagents were presented, the first one presented those corresponding to importance, and the second one those of confidence. To answer the questionnaire, the items use a Likert scale with 5 response options: 1 = Not at all important/confident, 2 = Slightly important/confident, 3 = Neither important/confident nor somewhat important/confident, 4 = Somewhat important/confident, 5 = Very important/confident.
Statistical analysis
The internal consistency of the instrument was evaluated using Cronbach's alpha. The data were analyzed using descriptive statistics. It was found that, on average, 95% of responses for each evaluation item were concentrated in the categories "very important" or "somewhat important." Additionally, for one confidence item, 90% of responses were concentrated in the categories "very confident" and "somewhat confident." Given this concentration of responses in the highest categories, and in order to better understand the factors involved in preparation for online learning, it was decided to treat each item as a dichotomous response—very important/confident and other. The descriptive analysis focused on the first response category.
The exploration was further complemented by factor analysis to identify latent variables associated with the level of preparation for online learning. All response options were considered in this analysis. IBM SPSS version 26 and R were used to conduct the analyses.
Construction of the online learning readiness indicator
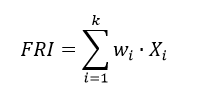
Based on the factor loadings and the proportion of variance explained by each factor, an online learning readiness index was constructed at the factor, component, and overall levels. To construct the factor-level indicator, a weight was assigned to each item that makes up each factor, according to its average factor loading, and the weighted mean for each applicant was calculated as follows.

Where:

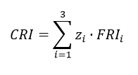
At the component level, the weighted average of the factors that comprise it was calculated, where the weight is determined based on the average variance explained.

Where:

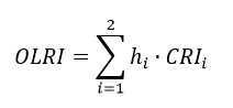
Finally, the calculation at the global level is a weighted average of the components according to the total variance explained by each one.

Where:

The final result was divided by 5 and multiplied by 100 to convey it on a scale from 0 to 100, where higher values are associated with higher levels of readiness for online learning. Because the distribution of the online learning readiness indicator is skewed to the left (skewness coefficient = -1.7), two groups were formed, the very high competency applicants and the rest, for which a cluster analysis was used with the k-means method.
RESULTS
The total number of applicants who responded to the instrument was 32,789: 11,626 in 2021; 12,302 in 2022 and 8,861 in 2023.
Instrument internal consistency
The internal consistency of the instrument was calculated for each application, both globally and for the perception of importance and confidence in execution components; in all cases values above 0.9 were obtained (Table 1).
| Year of application | |||||
| 2021 | 2022 | 2023 | |||
| Component | N=11.626 | N=12.302 | N=8.861 | Mean | S.D. |
| Global | 0,953 | 0,948 | 0,952 | 0,951 | 0,002 |
| Importance | 0,907 | 0,904 | 0,913 | 0,908 | 0,004 |
| Confidence | 0,947 | 0,945 | 0,945 | 0,946 | 0,001 |
When comparing the average proportion of applicants who responded in the highest perception of importance category, the aspects that had the greatest importance are: completing course activities or assignments on time, meeting multiple course assignments’ due dates, using the course calendar to identify due dates, and being self-disciplined in studies (Table 2). On the other hand, consulting the online grade report to obtain feedback on performance, using the course calendar to identify due dates, being able to follow instructions in different formats, completing course activities or assignments on time, and meeting multiple course assignment due dates are the activities in which applicants feel more confident. Asking for support from peers had the lowest rating in importance and confidence.
| Greater importance | Greater confidence |
| 9. Complete course activities/assignments on time (89,2%). | 19. Access the online grade book for feedback on performance (74,5%) |
| 10. Meet multiple deadlines for course activities (88,3%). | 8. Utilize course schedule for due dates (72,3%) |
| 8. Utilize course calendar to identify due dates. (84,6%) | 4. Be capable of following instructions in various formats (written, video, audio etc.) (71,9%). |
| 2. Be self-disciplined in studies (83,4%). | 9. Complete course activities/assignments on time (71,8%) |
| 10. Meet multiple deadlines for course activities (71,7%). | |
| Less important | Less confident |
| 14. Ask classmates for support (accessing the course, clarification on a topic) (41,5%) | 14. Ask classmates for support (accessing the course, clarification on a topic) (41,4%) |
When reviewing the difference between the percentage of applicants who consider each evaluated aspect very important and those who declare themselves very confident in their performance, the greatest differences were seen in being self-disciplined in studies and focusing on the activity and avoiding distractions while studying, while the smallest differences occur in using asynchronous communication technologies and asking for support from classmates (Table 3).
| Item | VI | VC | D |
| Very high | |||
| 2. Be self-disciplined with studies | 83,4 | 60,0 | 23,4 |
| 7. Stay on task and avoid distractions while studying | 74,4 | 52,6 | 21,8 |
| High | |||
| 9. Complete course activities/assignments on time | 89,2 | 71,8 | 17,4 |
| 10. Meeting multiple deadlines for course activities | 88,3 | 71,7 | 16,6 |
| 6. Devote hours per week regularly for the online class | 74,6 | 59,7 | 14,9 |
| 1. Set goals with deadlines | 73,8 | 59,3 | 14,5 |
| Medium | |||
| 8. Utilize course schedule for due dates | 84,6 | 72,3 | 12,3 |
| 13. Ask the instructor for help via email, discussion board, or chat. | 73,6 | 63,5 | 10,1 |
| 18. Participate in course activities (discussions, quizzes, assignments. synchronous sessions) | 74,3 | 64,6 | 9,7 |
| 17. Navigate through the course in the Learning Management System (e.g. Moodle, Canvas, Blackboard, etc.) | 64,0 | 55,3 | 8,7 |
| Low | |||
| 4. Be capable of following instructions in various formats (written, video, audio etc.) | 79,0 | 71,9 | 7,1 |
| 3. Learn from a variety of formats (lectures, videos, podcasts, online discussion/conferencing). | 69,9 | 63,8 | 6,1 |
| 15. Discuss feedback received (assignments, quizzes, discussion, etc.) with the instructor | 62,4 | 56,3 | 6,0 |
| 12. Use synchronous technologies (Webex, Collaborate, Adobe Connect, Zoom, etc.) to communicate | 62,5 | 57,0 | 5,5 |
| 19. Access the online grade book for feedback on performance | 79,8 | 74,5 | 5,4 |
| 5. Utilize additional resources to answer course-related questions (course content, assignments, etc.) | 70,2 | 66,0 | 4,1 |
| 16. Complete basic computer operations (e.g. creating and editing documents, managing files and folders) | 74,1 | 70,4 | 3,7 |
| 20. Access online help desk/tech support for assistance | 67,6 | 64,4 | 3,2 |
| Very low | |||
| 11. Use asynchronous technologies (discussion boards, e-mail, etc.) | 63,1 | 62,2 | 0,9 |
| 14. Ask classmates for support (accessing the course, clarification on a topic) | 41,5 | 41,4 | 0,1 |
The classification was performed using k-means clustering based on the difference in percentages between 'very important' and 'very confident' responses.
In general, greater perception of importance than confidence in execution is observed, in the various aspects evaluated by the instrument (Figure 2).

Factor analysis
In order to reduce dimensionality and identify latent traits related to preparation for online learning, a factor analysis was performed for each component in each application. For all applications, items were grouped in the same way, only the contribution of the variance explained among the first factors changed. For both the assessment and execution components, three factors were identified, which were designated with the following labels: (importance/execution of) autonomous learning, (importance/execution of) use of technological tools, (importance/execution of) communication in virtual environments. On average, these three factors explain 49% of the variance of the importance component and 62% of the execution component.
The factor analysis of the components of the questionnaire is shown below (Tables 4 and 5).
| 2021 | 2022 | 2023 | Mean | |||||||||||||
| AL | UTT | CVE | AL | UTT | CVE | AL | UTT | CVE | AL | UTT | CVE | |||||
| Item \ Explained variance (%) | 38,0 | 7,0 | 5,0 | 7,0 | 36,0 | 5,0 | 38,0 | 7,0 | 5,0 | 27,7 | 16,7 | 5,0 | ||||
| 9. Complete course activities/assignments on time | 0,783 | 0,697 | 0,799 | 0,760 | ||||||||||||
| 10. Meeting multiple deadlines for course activities | 0,751 | 0,697 | 0,771 | 0,740 | ||||||||||||
| 8. Utilize course schedule for due dates | 0,689 | 0,639 | 0,638 | 0,655 | ||||||||||||
| 2. Be self-disciplined with studies | 0,589 | 0,602 | 0,597 | 0,596 | ||||||||||||
| 1. Set goals with deadlines | 0,410 | 0,539 | 0,539 | 0,496 | ||||||||||||
| 7. Stay on task and avoid distractions while studying | 0,588 | 0,503 | 0,528 | 0,540 | ||||||||||||
| 6. Devote hours per week regularly for the online class | 0,521 | 0,539 | 0,477 | 0,512 | ||||||||||||
| 12. Use synchronous technologies (Webex, Collaborate, Adobe Connect, Zoom, etc.) to communicate | 0,652 | 0,784 | 0,704 | 0,713 | ||||||||||||
| 11. Use asynchronous technologies (discussion boards, e-mail, etc.) | 0,639 | 0,749 | 0,683 | 0,690 | ||||||||||||
| 17. Navigate through the course in the Learning Management System (e.g. Moodle, Canvas, Blackboard etc.) | 0,600 | 0,605 | 0,662 | 0,622 | ||||||||||||
| 3. Learn from a variety of formats (lectures, videos, podcasts, online discussion/conferencing) | 0,660 | 0,595 | 0,630 | 0,628 | ||||||||||||
| 16. Complete basic computer operations (e.g. creating and editing documents, managing files and folders) | 0,566 | 0,471 | 0,529 | 0,522 | ||||||||||||
| 4. Be capable of following instructions in various formats (written, video, audio, etc.) | 0,587 | 0,503 | 0,516 | 0,535 | ||||||||||||
| 5. Utilize additional resources to answer course-related questions (course content, assignments etc.) | 0,556 | 0,430 | 0,510 | 0,499 | ||||||||||||
| 14. Ask classmates for support (accessing the course, clarification on a topic) | 0,727 | 0,695 | 0,730 | 0,717 | ||||||||||||
| 15. Discuss feedback received (assignments, quizzes, discussion, etc.) with the instructor | 0,646 | 0,663 | 0,697 | 0,669 | ||||||||||||
| 13. Ask the instructor for help via email, discussion board, or chat. | 0,662 | 0,689 | 0,683 | 0,678 | ||||||||||||
| 20. Access online help desk/tech support for assistance | 0,631 | 0,638 | 0,625 | 0,631 | ||||||||||||
| 18. Participate in course activities (discussions, quizzes, assignments. synchronous sessions) | 0,423 | 0,324 | 0,327 | 0,358 | ||||||||||||
| 19. Access the online grade book for feedback on performance | 0,506 | 0,479 | 0,440 | 0,475 | ||||||||||||
| 2021 | 2022 | 2023 | Mean | |||||||||||||
| AL | UTT | CVE | AL | UTT | CVE | AL | UTT | CVE | AL | UTT | CVE | |||||
| Item \ Explained variance (%) | 51,0 | 7,0 | 5,0 | 49,0 | 7,0 | 5,0 | 6,0 | 52,0 | 5,0 | 35,3 | 22,0 | 5,0 | ||||
| 9. Complete course activities/assignments on time | 0,759 | 0,777 | 0,756 | 0,764 | ||||||||||||
| 2. Be self-disciplined with studies | 0,723 | 0,709 | 0,737 | 0,723 | ||||||||||||
| 1. Set goals with deadlines | 0,690 | 0,700 | 0,734 | 0,708 | ||||||||||||
| 10. Meeting multiple deadlines for course activities | 0,740 | 0,754 | 0,733 | 0,742 | ||||||||||||
| 7. Stay on task and avoid distractions while studying | 0,653 | 0,668 | 0,686 | 0,669 | ||||||||||||
| 6. Devote hours per week regularly for the online class | 0,660 | 0,653 | 0,683 | 0,665 | ||||||||||||
| 8. Utilize course schedule for due dates | 0,684 | 0,653 | 0,643 | 0,660 | ||||||||||||
| 19. Access the online grade book for feedback on performance | 0,449 | 0,449 | 0,429 | 0,442 | ||||||||||||
| 16. Complete basic computer operations (e.g. creating and editing documents, managing files and folders) | 0,706 | 0,717 | 0,741 | 0,721 | ||||||||||||
| 17. Navigate through the course in the Learning Management System (e.g. Moodle, Canvas, Blackboard etc.) | 0,703 | 0,720 | 0,733 | 0,719 | ||||||||||||
| 12. Use synchronous technologies (Webex, Collaborate, Adobe Connect, Zoom, etc.) to communicate | 0,738 | 0,700 | 0,701 | 0,713 | ||||||||||||
| 11. Use asynchronous technologies (discussion boards, e-mail, etc.) | 0,696 | 0,663 | 0,679 | 0,679 | ||||||||||||
| 3. Learn from a variety of formats (lectures, videos, podcasts, online discussion/conferencing) | 0,654 | 0,641 | 0,662 | 0,652 | ||||||||||||
| 4. Be capable of following instructions in various formats (written, video, audio, etc.) | 0,649 | 0,631 | 0,656 | 0,645 | ||||||||||||
| 5. Utilize additional resources to answer course-related questions (course content, assignments etc.) | 0,610 | 0,594 | 0,632 | 0,612 | ||||||||||||
| 14. Ask classmates for support (accessing the course, clarification on a topic) | 0,784 | 0,782 | 0,801 | 0,789 | ||||||||||||
| 15. Discuss feedback received (assignments, quizzes, discussion, etc.) with the instructor | 0,709 | 0,705 | 0,717 | 0,710 | ||||||||||||
| 13. Ask the instructor for help via email, discussion board, or chat | 0,682 | 0,719 | 0,711 | 0,704 | ||||||||||||
| 20. Access online help desk/tech support for assistance | 0,552 | 0,565 | 0,506 | 0,541 | ||||||||||||
| 18. Participate in course activities (discussions, quizzes, assignments, synchronous sessions) | 0,451 | 0,430 | 0,411 | 0,431 | ||||||||||||
Regarding the level of preparation for online learning, there is a significant difference between those with a very high level in comparison to the rest. From a global perspective, 40.4% of the candidates have a very high level of competence for online learning; by component, 48% have a very high level of perception of the importance of the skills, and 46.5% of confidence in their execution; by importance perception factors, 66% have a very high level for autonomous learning, 59% for the use of technological tools and 30% for communication in virtual environments; and by factors of confidence in execution, 31% have a very high level for autonomous learning, 54% for the use of technological tools and 32% for communication in virtual environments (Table 6).
| Higher readiness | Standard readiness | Total | |||||||||||||
| Component | N | % | Mean | S.D. | N | % | Mean | S.D. | N | % | Mean | S.D. | |||
| Global | 13.249 | 40,4 | 98,6* | 1,3 | 19.540 | 59,6 | 88,0 | 2,2 | 32.789 | 100,0 | 92,3 | 7,7 | |||
| Perception of importance | 15.730 | 48,0 | 99,0* | 1,1 | 17.059 | 52,0 | 90,1 | 2,1 | 32.789 | 100,0 | 94,4 | 6,4 | |||
| Autonomous learning | 21.727 | 66,3 | 99,3* | 1,1 | 11.062 | 33,7 | 89,5 | 2,2 | 32.789 | 100,0 | 96,0 | 6,2 | |||
| Use of technological tools | 19.416 | 59,2 | 98,2* | 2,3 | 13.373 | 40,8 | 84,4 | 2,5 | 32.789 | 100,0 | 92,6 | 8,4 | |||
| Communication in virtual environments | 9.794 | 29,9 | 99,9* | 0,4 | 22.995 | 70,1 | 87,5 | 2,5 | 32.789 | 100,0 | 91,2 | 9,1 | |||
| Confidence in execution | 15.237 | 46,5 | 98,2* | 1,8 | 17.552 | 53,5 | 84,1 | 3,1 | 32.789 | 100,0 | 90,6 | 10,3 | |||
| Autonomous learning | 10.250 | 31,3 | 99,9* | 0,3 | 22.539 | 68,7 | 87,0 | 3,2 | 32.789 | 100,0 | 91,1 | 10,9 | |||
| Use of technological tools | 17.828 | 54,4 | 98,3* | 2,3 | 14.961 | 45,6 | 81,3 | 3,1 | 32.789 | 100,0 | 90,6 | 11,1 | |||
| Communication in virtual environments | 10.457 | 31,9 | 99,7* | 0,9 | 22.332 | 68,1 | 82,6 | 3,5 | 32.789 | 100,0 | 88,1 | 12,6 | |||
DISCUSSION AND CONCLUSIONS
The development of Information and Communication Technologies (ICT) supported Distance Education, transforming it into an alternative that allowed universities to expand their offer with programs focused on independent study, with access to technology-mediated environments (Zubieta García & Rama Vitale, 2015). Success in this modality depends on the degree of preparation, willingness or ability to carry out online learning (Ucar & Ugurhan, 2023), in which self-regulation and communication skills play a central role (Pineda et al., 2024).
In the present study, more than thirty thousand responses to the Student Readiness for Online Learning (SROL) questionnaire (Martin et al., 2020) were collected in three consecutive years, from the population of applicants for admission to the distance programs offered by UNAM. This was done in order to explore the preparation of applicants to learn in the distance learning mode, and to accumulate evidence of validity about the use of this instrument in our context. The questionnaire demonstrated a higher degree of reliability (alpha > 0.9) than that reported by Martin et al. (2020) or Küsel et al. (2020). It also yielded consistent results over the period of analysis, highlighting the conformation of the same factors in each exercise, (importance/execution of) autonomous learning, (importance/execution of) the use of technological tools, and (importance/execution of) communication in virtual environments, with similar factor loadings and shared explained variance, which served as the basis for the construction of an indicator that allowed for assessing the level of readiness for online learning.
The concept of “online learning readiness,” which refers to how prepared and willing a student is to participate and succeed in online education activities, has a long history in distance education research. Warner et al. (1998) described it for the first time in a study in Australia, in which they analyzed the following elements: student preferences for the distance format, student confidence in using technologies for learning, and ability to carry out self-directed learning activities. Farid (2014) conducted a systematic review of instruments to measure readiness for online learning, with the intention of documenting the different constructs evaluated, the methodological rigor and evidence of validity of the published instruments, as well as their psychometric properties. They found a dozen instruments, few with adequate psychometric qualities, and identified that universities tend to develop their own questionnaires, without documenting a rigorous process of accumulating evidence of validity and reliability. In our study, we decided to apply the SROL questionnaire by Martin et al. (2020), because it was constructed with an academically rigorous process, considering previously published instruments, and the fact that it integrates the perception of the importance of each item as well as the confidence in its execution.
Not all applicants that pursue online studies have the necessary skills. Dakin (2016) states that online learning requires self-regulation to plan the process through structured practices that assume appropriation of prior knowledge, as well as a personal understanding of their own resources, such as thought, reflection, memory and reasoning. Ucar and Ugurhan (2023) add as an essential ingredient the degree of preparation, willingness or capacity for online learning.
Hung et al. (2010) in Taiwan developed and obtained validity evidence for a multidimensional instrument to measure college students' readiness for online learning. Through confirmatory factor analysis, they found five dimensions: self-directed learning, motivation for learning, computer/Internet self-efficacy, learner control, and online communication self-efficacy. Their students' readiness levels were high in computer/Internet self-efficacy, motivation for learning, and online communication self-efficacy and were low in learner control and self-directed learning. Overall, the results were similar to those of our study, suggesting that the dimensions analyzed are part of a similar construct, although the weight of each factor and of each item of the instruments is likely to be different depending on the population studied.
The instrument developed by Yu and Richardson (2015) inquired about the level of readiness for online learning in first-year college students by measuring their social, communicative, and technical skills. The validity analysis was carried out by Yu (2018) in the United States, and it was reported as a reliable instrument to measure students' social, communicative, and technical skills. Also in the United States, Joosten and Cusatis (2020) examined the relationship between students' characteristics regarding their readiness for online learning and their results in online courses at two higher education institutions. Using multiple regression analysis, they reported that several characteristics of students regarding their readiness for online learning significantly influenced the results.
In Argentina, Chiecher and Bossolasco (2021) analyzed the results of learning and studying strategies with an instrument generated by Bossolasco et al. (2019) to analyze academic trajectories in HE in high and low performance groups of in-person and distance learning modalities. The most important characteristic was the active role of the student in information organization strategies. In the case of our study, we did not monitor the students' academic trajectories, which is a limitation.
Küsel et al. (2020) compared online learning readiness using the SROL instrument in German university students and in students from several United States universities. Using the same instrument used in our study, they found lower levels of importance and confidence in execution in the four subscales of the instrument (online student attributes, time management, communication, and technical aspects). It is striking that in our study we found levels of importance and confidence in execution that were much higher than in German students, and even slightly higher than American students. These results may be explained by cultural differences among countries, as well as the temporality of the application, since Küsel conducted her study in 2019, while we collected data from 2021 to 2023, one year after the beginning of the pandemic. It is possible that our cohorts were more sensitized to online education (Küsel et al., 2020).
Unlike other studies, the indicator constructed in the present study to assess the readiness level for online learning was not limited to adding up the responses to the instrument; instead, each response was assigned a weight based on a quantitative basis. This represents an original contribution, since it allows for the generation of a metric that assesses not only the overall level of readiness for online learning, but also the degree of perception of importance and confidence in execution in general and by specific factor.
Our sample found that globally only 40.4% of applicants have a very high level of competence for online learning, which implies probable suboptimal learning in a large part of the candidates. The analysis by factor shows an area of opportunity in autonomous learning, since 66.3% have a high level of importance perception, but only 31.3% in confidence in its execution, which is aligned with the difference between the proportions of applicants who declare it very important/confident to be self-disciplined in their studies as well as focusing on the activity and avoiding distractions while studying, so this finding provides a guideline on the importance of including in the program content about online study techniques and habits, as well as time management.
The analysis of the cases that responded in the highest category shows the same trend as those of Martin et al. (2020), a higher perception of importance versus execution confidence in general, and little importance given to the use of asynchronous communication media and asking for help from classmates. The proportion of cases that chose the highest category on the scale is notably higher than that reported by Chaves (2021) and Handang (2022). It must be kept in mind that having a very high level of preparation for online learning can be a differentiating factor for the student to be accepted or successfully complete the degree of choice, as shown in the work of García-Minjares et al. (2019). This study compared academic degrees and failure rates in subjects of a university degree offered in face-to-face, blended, and online modalities. It found lower completion efficiency, lower enrollment in courses, and higher failure rates as the degree of face-to-face attendance decreased, which could support aspects as autonomous learning, time management, in conjunction with other variables such as motivation, responsibility, and resilience.
The strengths of our study include: the use of the SROL instrument showed evidence of validity, its translation into Spanish yielded consistent results in the three applications and reported excellent levels of reliability; the sample size is very large, which adds strength to the proposed indicator for the level of preparation for online study. Regarding the study limitations: the answers are self-declared by the applicants during the selection process, so there may be a social desirability bias; it was carried out in a single educational institution that, despite its size, does not necessarily reflect the reality of other public and private universities in Mexico or Spanish-speaking countries; the global calculation of the level of preparation for online learning was not contrasted with interest groups by gender, age, or type of program; the study did not include follow-up of students in their university admission process, their academic trajectory or failure.
The findings of this study show areas of opportunity for applicants to distance learning courses in terms of autonomous learning and communication, aspects that influence success in the distance learning modality. These can be taken into account by universities that have distance education courses, to design remedial activities, plan study and communication strategies to prevent dropout, establish detailed analysis of academic trajectories and identify students at risk, incorporate teacher training activities for faculty, among other potential uses. It is important to continue with this line of research in Spanish-speaking countries, since having obtained evidence of validity and reliability of this instrument in our context, it can be used to make prediction estimates of performance in online courses, include it in analysis of school academic trajectories, and become part of the arsenal of questionnaires to be used by universities that offer online or hybrid education. In the future, research could be carried out to explore the effect of serious disruptions in the educational process, as well as qualitative or mixed-methods research to identify the causes of the differences found in the perception of importance and confidence in execution in some elements of the questionnaire, as well as their educational implications.
Conclusions
The SROL instrument to assess readiness for online learning in applicants to distance higher education programs, adapted to Spanish, has evidence of validity from different sources. There are important differences between the perception of importance of the elements of readiness for online learning, compared to confidence in its execution, which is generally lower.
The level of readiness for online learning is determined by autonomous learning, the use of technological tools, and communication in virtual environments. Many applicants for a distance university degree do not have an optimal level of preparation for studying online, so, if admitted, they may not achieve a satisfactory learning experience. Applicants to a distance university program at our institution have inadequate study habits, which are reflected in a low level of execution of autonomous learning, especially in being self-disciplined and concentrating on studying without distractions, which predetermine many students to delays in their academic trajectories.
The typical student applicant is unclear about the relevance of the interaction processes in distance education, since asking peers for support was the least valued and trusted. Participation in the learning environment is characterized by the degree to which students are actively involved in interacting with the course content, other students, and the professor; although collaboration is one of the fundamental skills for learning, peer communication was the aspect valued as least important by the students, which should motivate reflection in the faculty and course organizers.
It is important to continue obtaining validity evidence about the use of the SROL instrument through different sources, to document its usefulness, as well as to explore others that objectively measure the construct being studied, considering local and cultural contexts.
REFERENCES
Amador Bautista, R. (2012). 40 años del Sistema Universidad Abierta de la UNAM. Crónica histórica. Perfiles Educativos, 34(137), 194-212. https://doi.org/10.22201/iisue.24486167e.2012.137.34124
Ates Cobanoglu, A., & Cobanoglu, I. (2021). Do turkish student teachers feel ready for online learning in post-covid times? A study of online learning readiness. Turkish Online Journal of Distance Education, 22(3), 270-280. https://doi.org/10.17718/tojde.961847
Bossolasco, M. L., Chiecher, A. C., & Dos Santos, D. (2019). Diseño y validación de un instrumento para el análisis de trayectoria academicas en el primer año universitario. Revista Educación Superior, 27, 11-38. https://doi.org/10.56918/es.2019.i27.pp11-38
Catalano, A. J. (2018). Measurements in distance education: A compendium of instruments, scales, and measures for evaluating online learning. Routledge. https://doi.org/10.4324/9781315229447
Chaves, M. G. F. (2021). Remote Learning Readiness and Challenges: Perceptions and Experiences among Tertiary State University Management Students. Recoletos Multidisciplinary Research Journal, 9(1), 79-89. https://doi.org/10.32871/rmrj2109.01.08
Chiecher, A. C., & Bossolasco, M. L. (2021). ¿Cómo te preparas para un examen? Estudio comparativo con estudiantes de las modalidades presencial y distancia. Perfiles Educativos, 43(173). https://doi.org/10.22201/iisue.24486167e.2021.173.59973
Dakin, G. H. (2016). Learning Skills: Connecting Process and Structure for Student Centered Distance Learning. ERIC.
Ehlers, U. D. (2020). Future skills and the future of higher education. Ulf-Daniel Ehlers. https://doi.org/10.1007/978-3-658-29297-3
European Commission. (2006). Recomendación del Parlamento Europeo y del Consejo de 18 de diciembre de 2006 sobre competencias clave para el aprendizaje permanente. Oficina de Publicaciones Oficiales de las Comunidades Europeas. https://goo.gl/6ayK8K
European Commission. (2007). Competencias clave para un aprendizaje a lo largo de la vida. Un marco de referencia europeo. Oficina de Publicaciones Oficiales de las Comunidades Europeas. https://goo.gl/y4ucQs
Farid, A. (2014). Student online readiness assessment tools: A systematic review approach. Electronic Journal of e-Learning, 12(4), 375-382.
García-Minjares, M., Torres-Valdés, V. G., & Sánchez-Mendiola, M. (2019). Contraste en la trayectoria escolar y reprobación en las modalidades presencial, abierta y a distancia en una carrera de Ciencias Sociales de la UNAM. Memoria del Foro de Investigación Educativa 12a edición, 1481-1492. Instituto Politécnico Nacional.
González-Casanova, P. (1972). Palabras del Sr. Rector ante el H. Consejo Universitario sobre el proyecto de Estatuto del Sistema Universidad Abierta de la U.N.A.M. Gaceta UNAM. http://acervo.gaceta.unam.mx/index.php/gum70/article/view/6526/6524
Handang, J. G. (2022). Readiness for Online Learning among Social Studies Students During the Pandemic. International Journal on Integrated Education, 5(4), 78-91. https://doi.org/10.17605/ijie.v5i4.2920
Hung, M., Chou, C., Chen, C., & Own, Z. (2010). Learner readiness for online learning: Scale development and student perceptions. Computers & Education, 55(3), 1080-1090. https://doi.org/10.1016/j.compedu.2010.05.004
Joosten, T., & Cusatis, R. (2020). Online Learning Readiness. American Journal of Distance Education, 34(3), 180-193. https://doi.org/10.1080/08923647.2020.1726167
Küsel, J., Florence M., & Silvija M. (2020). University Students’ Readiness for Using Digital Media and Online Learning-Comparison between Germany and the USA. Education Sciences,10(11). https://doi.org/10.3390/educsci10110313
Martin, F., Stamper, B., & Flowers, C. (2020). Examining student perception of readiness for online learning: Importance and confidence. Online Learning, 24(2), 38-58. https://doi.org/10.24059/olj.v24i2.2053
McLeod, B. (2022). Online Learning Readiness among International Students. The University of Mississippi. https://www.proquest.com/openview/fd6d84cd258439e59d261419614d24f1/1?pq-origsite=gscholar&cbl=18750&diss=y
Pineda Ballesteros, E., Darder Mesquida, A., & Salinas Ibáñez, J. M. (2024). Modelo pedagógico para la educación a distancia mediada virtualmente con una perspectiva de distancia transaccional. Revista de Educación a Distancia (RED), 24(77). https://doi.org/10.6018/red.557441
Rafsanjani, M. A., Pamungkas, H. P., Laily, N., & Prabowo, A. E. (2022). Online Learning During the Covid-19 Pandemic: Readiness and Satisfaction among Indonesian Students. Center for Educational Policy Studies Journal, 12(3), 149-165. https://doi.org/10.26529/cepsj.1113
Reyes-Millán, M., Villareal-Rodríguez, M., Murrieta-Flores, M. E., Bedolla-Cornejo, L., Vázquez-Villegas, P., & Membrillo-Hernández, J. (2023). Evaluación de la preparación para el aprendizaje en línea en la nueva normalidad de la educación a distancia. Heliyón,9(11). https://doi.org/10.1016/j.heliyon.2023.e22070
Silva, K. K. A. D., & Behar, P. A. (2023). Pedagogical models based on transversal digital competences in distance learning: Creation parameters. RIED-Revista Iberoamericana de Educación a Distancia, 26(1), 101-119. https://doi.org/10.5944/ried.26.1.34006
Suryanti, S., & Sutaji, D. (2021). Perception of readiness for online learning: Voice from Mathematics Learners. Journal of Physics: Conference Series,1940(1), 1-6. https://doi.org/10.1088/1742-6596/1940/1/012103
Ucar, H., & Ugurhan, Y. Z. C. (2023). The role of e-learning readiness on self-regulation in open and distance learning. Turkish Online Journal of Distance Education, 24(4), Article 9, 146-159. https://doi.org/10.17718/tojde.1231705
Universidad Nacional Autónoma de México. (2023). Agenda estadística. Población Escolar. Sistema de Universidad Abierta y Educación a Distancia. UNAM.
Universidad Nacional Autónoma de México. CUAIEED. (2023). Modelo Educativo del Sistema Universidad Abierta y Educación a Distancia de la Universidad Nacional Autónoma de México. UNAM https://cuaieed.unam.mx/
UNESCO. (2019). Marco de competencias de los docentes en materia de TIC. Versión 3. Organización de las Naciones Unidas para la Educación, la Ciencia y la Cultura. https://unesdoc.unesco.org/ark:/48223/pf0000371024
Warner, D., Christie, G., & Choy, S. (1998). Readiness of VET clients for flexible delivery including on-line learning. Australian National Training Authority.
Yu, T., & Richardson, J. C. (2015). An exploratory factor analysis and reliability analysis of the Student Online Learning Readiness (SOLR) instrument. Online Learning, 19(5), 120-141. https://doi.org/10.24059/olj.v19i5.593
Yu, T. (2018). Examining construct validity of the student online learning readiness (SOLR) instrument using confirmatory factor analysis. Online Learning, 22(4), 277-288. https://doi.org/10.24059/olj.v22i4.1297
Zubieta García, J., & Rama Vitale, C. (2015). La educación a distancia en México: una nueva realidad universitaria. UNAM CUAED.
APPENDIX 1
Original questionnaire in English
Student Readiness for Online Learning
If you are using or adapting this instrument, please cite:
Martin, F., Stamper, B., & Flowers, C. (2020). Examining Student Perception of Readiness for Online Learning: Importance and Confidence. Online Learning, 24(2), 38-58.
1. As an online student, rate how important these competencies are for you in your online learning. Use the following scale to answer these questions accordingly.
| 1 | 2 | 3 | 4 | 5 |
| Very Unimportant | Unimportant | Neither Important or Unimportant | Somewhat Important | Very Important |
Online Student Attributes
Set goals with deadlines
Be self-disciplined with studies
Learn from a variety of formats (lectures, videos, podcasts, online discussion/conferencing)
Be capable of following instructions in various formats (written, video, audio etc)
Utilize additional resources to answer course-related questions (course content, assignments etc.)
Time management
Devote hours per week regularly for the online class
Stay on task and avoid distractions while studying
Utilize course schedule for due dates
Complete course activities/assignments on time
Meeting multiple deadlines for course activities
Communication
Use asynchronous technologies (discussion boards, e-mail, etc.)
Use synchronous technologies (Webex, Collaborate, Adobe Connect, Zoom, etc.) to communicate
Ask the instructor for help via email, discussion board, or chat
Ask classmates for support (accessing the course, clarification on a topic)
Discuss feedback received (assignments, quizzes, discussion etc) with the instructor
Technical
Complete basic computer operations (e.g. creating and editing documents, managing files and folders)
Navigate through the course in the Learning Management System (e.g. Moodle, Canvas, Blackboard etc.)
Participate in course activities (discussions, quizzes, assignments. synchronous sessions)
Access the online grade book for feedback on performance
Access online help desk/tech support for assistance
2. As an online student, rate your confidence in your ability to accomplish the following competencies in online learning. Use the following scale to answer these questions accordingly.
| 1 | 2 | 3 | 4 | 5 |
| Very Unconfident | Somewhat Unconfident | Neither confident or unconfident | Somewhat Confident | Very Confident |
Online Student Attributes
Set goals with deadlines
Be self-disciplined with studies
Learn from a variety of formats (lectures, videos, podcasts, online discussion/conferencing)
Be capable of following instructions in various formats (written, video, audio etc)
Utilize additional resources to answer course-related questions (course content, assignments etc.)
Time management
Devote hours per week regularly for the online class
Stay on task and avoid distractions while studying
Utilize course schedule for due dates
Complete course activities/assignments on time
Meeting multiple deadlines for course activities
Communication
Use asynchronous technologies (discussion boards, e-mail, etc.)
Use synchronous technologies (Webex, Collaborate, Adobe Connect, Zoom, etc.) to communicate
Ask the instructor for help via email, discussion board, or chat
Ask classmates for support (accessing the course, clarification on a topic)
Discuss feedback received (assignments, quizzes, discussion etc) with the instructor
Technical
Complete basic computer operations (e.g. creating and editing documents, managing files and folders)
Navigate through the course in the Learning Management System (e.g. Moodle, Canvas, Blackboard etc.)
Participate in course activities (discussions, quizzes, assignments. synchronous sessions)
Access the online grade book for feedback on performance
Access online help desk/tech support for assistance
Thank you for taking the time to complete this survey.
Información adicional
How to cite: Hernández-Gutiérrez, M., García-Minjares, M., & Sánchez-Mendiola, M. (2025). Level of readiness for online learning in applicants to distance Higher Education. [Nivel de preparación para aprendizaje en línea en aspirantes a ingresar a Educación Superior a distancia]. RIED-Revista Iberoamericana de Educación a Distancia, 28(1). https://doi.org/10.5944/ried.28.1.41539