Artículos Originales
Efectos del reforzamiento demorado en ratas expuestas a condiciones espacialmente variables
Effects of delayed reinforcement in rats exposed to spatially variable conditions.
Efectos del reforzamiento demorado en ratas expuestas a condiciones espacialmente variables
Revista Argentina de Ciencias del Comportamiento, vol. 10, núm. 2, pp. 25-36, 2018
Universidad Nacional de Córdoba

Recepción: 30 Marzo 2018
Aprobación: 13 Junio 2018
Financiamiento
Fuente: Consejo Nacional de Ciencia y Tecnología
Nº de contrato: 329793
Beneficiario: Felipe de Jesús Patrón Espinosa
Resumen: Se evaluaron los efectos de manipular la demora de reforzamiento y la distancia espacial entre el manipulandum (palanca) y el reforzador (agua) sobre el mantenimiento del palanqueo en ratas. Cuatro grupos fueron expuestos a programas temporales en los que podían producir el reforzador si presionaban una palanca al menos una vez a lo largo de un ciclo de 30 segundos. Para el Grupo 1 la distancia espacial entre el manipulandum y el bebedero fue aumentando a través de tres fases, mientras que para el Grupo 2 esta distancia fue disminuyendo. Para ambos grupos el reforzador se entregó al final del ciclo. A los Grupos 3 y 4 el reforzador fue entregado de forma inmediata. Los resultados mostraron que la tasa de respuesta fue una función inversa de aumentar la demora de reforzamiento y la distancia espacial. Pero, este efecto fue más pronunciado al combinar estas variables.
Palabras clave: distancia espacial, demora de reforzamiento, ratas.
Abstract: The purpose of this work was to evaluate the effects of manipulating the reinforcement delay and the spatial distance between the manipulandum (lever) and the reinforcer (water) on the response maintenance by rats. Four groups were exposed to temporally defined programs, the first response within a 30 seconds cycle produced the reinforcer delivery. The Group 1 was exposed to conditions of increased spatial distance through three phases. Group 2 was exposed to conditions of decreased spatial distance through three phases. The reinforcer was delivered at the end of the cycle (delay). For Groups 3 and 4 the reinforcer was delivered after the first lever press. The results showed that the response rate was an inverse function of increasing the reinforcement delay and the spatial distance between the manipulandum and the light-liquid dispenser set. But, this effect was most pronounced when these variables were combined.
Keywords: spatial distance, reinforcement delay, rats.
Introducción
En el Análisis experimental de la conducta (AEC en adelante) los estímulos y las respuestas son las unidades de análisis empleadas para fragmentar los fenómenos estudiados. Esta estrategia adquiere sentido desde una perspectiva naturalista en la que todos los eventos ocurren en coordenadas temporales y espaciales. Con relación al estudio del comportamiento, Schoenfeld y Farmer (1970) han señalado que el investigador debe tomar en cuenta las propiedades continuas de la actividad del organismo en tiempo y espacio.
Distintos autores han propuesto ideas similares al advertir sobre la importancia de tomar en consideración las coordenadas temporales y espaciales de los eventos de estímulo y de respuesta en el AEC (Christie, 1996; McClearn & Harlow, 1954; Rescorla & Cunningham, 1979; Ribes, 1992), pero a pesar de que es posible encontrar estudios en los que se manipulan las propiedades temporales y espaciales de los estímulos afectando la actividad de los organismos, son pocos los que se interesen en ambas dimensiones al mismo tiempo.
Tradicionalmente, el proceder dentro del AEC comporta el aislamiento de variables, lo que resulta pertinente en términos de control, empero, este proceder promueve que se estudien las dimensiones tiempo y espacio de forma independiente. Al explorar el efecto de variar las propiedades temporales de los estímulos sobre la actividad del organismo, algunas de las variables que se han manipulado son la demora de reforzamiento (Hunter, 1913), la localización temporal del reforzador en los programas de reforzamiento de intervalo (Ferster & Skinner, 1957), o los distintos parámetros de los programas temporales (Schoenfeld, Cumming, & Hearst, 1956). Por su parte, al estudiar los efectos de variar las propiedades espaciales se ha manipulado, entre otras, la distancia de un estímulo respecto de otro (Murphy & Miller, 1959), la ubicación cardinal (Iversen, Sidman, & Carrigan, 1986) y el orden de ocurrencia de los estímulos (Carr & Wilkie, 1998).
Tomando en cuenta que son pocos los estudios dentro del AEC en los que se ha explorado en combinación los efectos de variar propiedades temporales y espaciales sobre la actividad de los organismos, el presente trabajo pretende alcanzar dicho propósito. De las distintas variables estudiadas, y antes mencionadas, se han seleccionado la demora de reforzamiento y la distancia espacial entre el manipulandum y el reforzador debido a que han sido estudiadas consistentemente y a que sus efectos son conocidos. Además, considerando el estado germinal del presente trabajo se considera apropiado emplear procedimientos sencillos al manipular al mismo tiempo ambas variables en términos de aparatología.
En lo que respecta a los procedimientos empleados al estudiar los efectos de variar la distancia espacial entre el manipulandum y el reforzador, los primeros trabajos con este objetivo se interesaron en el aprendizaje discriminativo (McClearn & Harlow, 1954; Murphy & Miller, 1955, 1959). De forma general, el procedimiento empleado se caracterizaba por el aumento progresivo de la distancia espacial entre el estímulo discriminativo, la respuesta procuradora o el reforzador manteniendo los valores temporales relativamente constantes de acuerdo a la estrategia de ensayo discreto. Los resultados más consistentes obtenidos en estos estudios sugieren una relación directa entre el aumento de la distancia espacial y ejecuciones pobres. Investigaciones más recientes han obtenido resultados similares, por ejemplo, al estudiar el aprendizaje espacial con el laberinto de Morris (1984), se ha encontrado que las ratas mejoran su ejecución si una señal se encuentra cerca de la plataforma o meta (Chamizo & Rodrigo, 2004).
El procedimiento general para el estudio del reforzamiento demorado consiste en introducir un intervalo entre la respuesta procuradora y el reforzador. Este tipo de estudios se remonta a Hunter (1913) empleando procedimientos de ensayo discreto y a Skinner (1938) empleando el procedimiento de la operante libre. Desde estos estudios pioneros hasta los más recientes, el hallazgo más consistente implica que la tasa de respuesta es una función inversa de la duración de la demora (Pulido-Rull, Sosa-Sánchez, & Valadez, 2006).
Algunas de las dificultades para el estudio de la demora de reforzamiento se relacionan con la introducción de variables extrañas como resultado del comportamiento del sujeto experimental y no de la manipulación programada por el experimentador. Entre las variables más conocidas se encuentra la disminución del intervalo respuesta-reforzador y el aumento del intervalo entre reforzadores. Un ejemplo de la primera variable extraña se identifica en el estudio realizado por Lattal y Gleeson (1990). En éste emplearon un programa tándem (Razón Fija 1, Tiempo Fijo 30s) en el que la primera respuesta de los sujetos durante el ensayo producía el reforzador al transcurrir 30 s. Este procedimiento se ha denominado de demora variable, pues el sujeto puede seguir presentando respuestas durante el programa Tiempo Fijo 30s, lo que puede ser considerado como una disminución de la demora entre la respuesta y el reforzador que el experimentador no controló.
Con el fin de mantener la demora de reforzamiento fija, se ha desarrollado otro procedimiento caracterizado por la inclusión de un componente de reforzamiento diferencial de otras conductas; consiguiendo que la demora se reinicie si el sujeto responde durante el ensayo una vez que se ha producido el reforzador (Critchfield & Lattal, 1993). Uno de los inconvenientes al emplear este tipo de procedimientos consiste en que al reiniciarse la demora se aumenta el intervalo entre reforzadores introduciendo así la segunda variable extraña antes mencionada. Además, si las sesiones experimentales son finalizadas por un criterio temporal, 30 min por ejemplo, también podría verse afectada la frecuencia del reforzamiento.
Con la meta de solventar este problema y de estudiar el reforzamiento demorado de forma independiente de los efectos de la frecuencia del reforzamiento, Weil (1984) empleó programas definidos temporalmente (Schoenfeld & Cole, 1972). Éstos se conforman por la repetición de un ciclo de tiempo (ciclo T) que a su vez se encuentra dividido por dos subciclos en los que es posible manipular la probabilidad de reforzamiento. El subciclo discriminativo (tD) es el segmento del ciclo T en el que la probabilidad de reforzamiento es mayor, mientras que el subciclo delta (tΔ) es el segmento en el que la probabilidad de reforzamiento es menor. Así, la proporción que el subciclo tD ocupa del ciclo T se denomina Ť.
Conociendo dos procedimientos para manipular una propiedad temporal y otra espacial de los eventos de estímulo se ha propuesto indagar los efectos de variar la contigüidad espacial y temporal entre la respuesta procuradora y el reforzador. Como se ha mencionado antes, para lograr este objetivo, se ha elegido evaluar los efectos de variar la demora de reforzamiento y la distancia espacial entre el manipulandum (palanca) y el reforzador (agua) sobre el mantenimiento del palanqueo en ratas.
A partir de los hallazgos encontrados al estudiar estas variables se espera encontrar que la tasa de respuesta es una función inversa de aumentar la demora de reforzamiento o la distancia espacial entre estímulos, así como de aumentar sus valores en conjunto.
Método
Sujetos
Se emplearon 12 ratas hembras de la cepa Wistar, de tres meses de edad, ingenuas y con un peso corporal entre 189 y 275 g al inicio del experimento. Todas éstas se mantuvieron bajo un régimen de privación de agua de 23 horas y 25 minutos al día. Después de cada sesión experimental tuvieron acceso libre y de forma individual a bebederos con agua durante cinco minutos en sus cajas habitación que se ubicaban en una colonia con temperatura (entre 23 y 25 grados centígrados) y humedad controlada (entre 45% y 55%), así como ciclos día/noche de 12 horas. El alimento se encontró disponible mientras que las ratas se encontraron en sus cajas habitación.
Diseño
Se empleó un diseño de replicación intrasujeto (Arnau, 1990) en la modalidad reversible multivariable (Castro, 1977). Los grupos se diferenciaron por el orden en el que los sujetos fueron expuestos a las condiciones experimentales a través de las fases y por la entrega inmediata o demorada del reforzador.
Aparatos
Se empleó una cámara experimental de 85 cm de largo por 42 cm de ancho y 36 cm de altura con la opción para la instalación de distintos módulos de estímulo y respuesta en tres zonas de su pared operativa. La zona central se encontraba a la mitad de la pared larga (85 cm) opuesta a la puerta por la que se introducía los sujetos. Las otras dos zonas se encontraban a los lados de la zona central a una distancia de 15 cm. En cada zona se pudo instalar, dependiendo de la fase experimental: un estímulo visual que constó de un disco translúcido de 2.5 cm que podía iluminarse de color amarillo por medio de un foco de 28-V ubicado a 9 cm del suelo, un dispensador de agua de tipo gotero que entregó 0.3 cm3 de agua en cada activación (marca MED modelo ENV-201A) ubicado a 2 cm del suelo, y una
| Grupos | Fase 1 | Fase 2 | Fase 3 | Reversión | |
| Demora | G1 Demora | Ed (1) R (1) Er (1) | Ed (1) R (2) Er (1) | Ed (1) R (3) Er (1) | Ed (1) R (1) Er (1) |
| G2 Demora | Orden invertido | Ed (1) R (1) Er (1) | |||
| Sin demora | G3 Sin demora | Ed (1) R (1) Er (1) | Ed (1) R (2) Er (1) | Ed (1) R (3) Er (1) | Ed (1) R (1) Er (1) |
| G4 Sin demora | Orden invertido | Ed (1) R (1) Er (1) | |||
| Sesiones | 15 | 15 | 15 | 7 | |
palanca de respuesta (marca MED modelo ENV-110M) ubicada a 2 cm del suelo. Cabe señalar que debido a que el dispensador de agua fue de tipo gotero el agua producida no contó con un límite de tiempo para el acceso. Además el bebedero contó con un sensor de respuestas de entrada de cabeza (marca MED modelo ENV-251L). La cámara se encontraba dentro de un cubículo de aislamiento acústico de color negro, mismo que contaba con dos ventiladores de 115W que proporcionaron ventilación y ruido blanco. La luz general fue proporcionada por un foco de luz negra-ultravioleta de 20 W. La programación, registro y recolección de eventos se realizó mediante un equipo de cómputo que contó con una interfase y el software MED-PC IV para ambiente Windows. El análisis de datos se realizó a través del softwareIBM SPSS Statistics 23® y SigmaPlot 11.0®. La figura 1 muestra las medidas de la cámara experimental y la disposición espacial en la que se instalaron los dispositivos para la fase con mayor distancia espacial.
Procedimientos
Los sujetos fueron expuestos a entrenamiento que consistió en la exposición a un programa de Tiempo Fijo 30 s señalizado por el encendido de una luz. En conjunto se mantuvo activo un programa de reforzamiento continuo con el que se entregaba agua cada vez que el sujeto presionaba una palanca que se encontraba a un lado del bebedero y por debajo del estímulo visual. Estas sesiones finalizaban después de 60 min o si se producían 100 reforzadores (agua), y el entrenamiento finalizó cuando se cumpliera este criterio en tres sesiones consecutivas diarias. Durante este procedimiento los dispositivos como la palanca, el bebedero y la luz fueron instalados en la Zona 2 (central). Después de esto, se formaron cuatro grupos de tres ratas cada uno. Todos los sujetos fueron expuestos a un programa que entregaba agua cada 30 s (T = 30 s) sólo si la palanca de respuesta era presionada dentro del ciclo (Ť = 1.00, P = 1.0). La disponibilidad de producción del reforzador (tD) fue señalada con la iluminación de un estímulo circular, mismo que se apagaba con la primera respuesta de presión de palanca del ciclo y se volvía a encender con el inicio del siguiente ciclo. Para el Grupo 1 la distancia espacial entre el manipulandum y el bebedero fue aumentando a través de tres fases. Durante la Fase 1 todos los dispositivos (luz, palanca y bebedero) fueron instalados en la Zona 1o sur (ubicación contigua o UC). Para la Fase 2 únicamente la palanca fue instalada en la Zona 2 o central (ubicación próxima o UP), mientras que en la Fase 3 fue instalada en la Zona 3 o norte (ubicación lejana o UL). Las fases para el Grupo 2 fueron similares pero en orden inverso, es decir, la distancia espacial fue disminuyendo. Para ambos grupos el reforzador se entregó al final del ensayo (demora). Las condiciones experimentales para los Grupos 3 y 4 fueron similares a las condiciones de los Grupos 1 y 2 respectivamente, la única diferencia consistió en que el reforzador se entregó de forma inmediata a la presentación de la respuesta procuradora. Cada fase contó con 15 sesiones que finalizaban al transcurrir 60 ensayos que iniciaban cuando se colocaba a la rata en el área de en medio de la cámara. Al finalizar la Fase 3, todos los sujetos fueron expuestos a una fase de reversión de cinco sesiones en la que las condiciones experimentales fueron similares a las de la Fase 1 de su respectivo grupo. Se realizó una sesión al día en horario matutino de lunes a sábado.

Análisis de Datos
Con el fin de comparar las tasas de respuesta y los porcentajes de reforzadores grupales dependiendo de la distancia espacial entre el manipulandum y el conjunto luz-bebedero (Fase 1, 2 y 3) para cada grupo, se empleó la prueba de Friedman. Además, se empleó la prueba de Wilcoxon para comparar las condiciones con valores extremos en lo que respecta a la distancia espacial entre los dispositivos de estimulación (Fase 1 y Fase 3). El nivel de significancia fue igual a .01 para todas las pruebas.
Cumplimiento de normas éticas
El estudio se realizó siguiendo las directrices de la Universidad de Guadalajara que cumplen con la NORMA Oficial Mexicana NOM-062-ZOO-1999 para la producción, cuidado y uso de los animales de laboratorio, así como con la NORMA Oficial Mexicana NOM-087-ECOL-SSA1-2002 para la clasificación y manejo de residuos biológicos.
Resultados
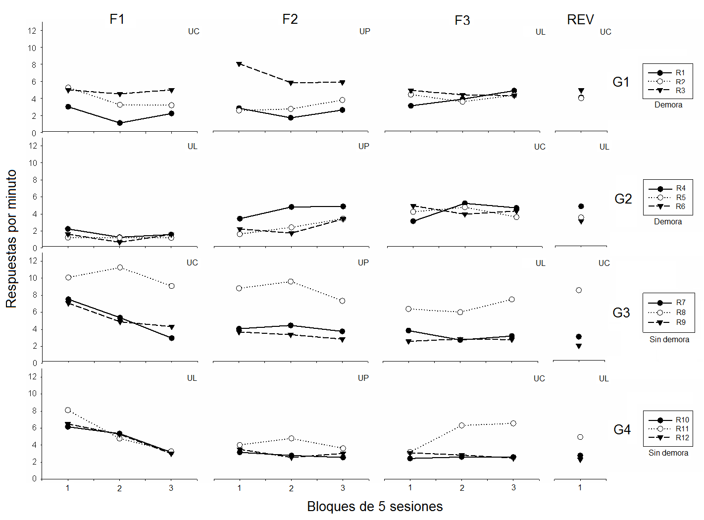
La figura 2 muestra la tasa de respuesta (presión de palanca) promedio para cada sujeto de los cuatro grupos a través de las fases en bloques de cinco sesiones. Como se observa, durante la Fase 1 los sujetos del Grupo 1 presentaron tasas que no superaron las 6 respuestas, y que fueron más bajas en el Bloque 2 en comparación con los Bloques 1 y 3. En la Fase 2 la Rata R3 presentó tasas comparativamente mayores con el resto de las ratas alcanzando el valor de 8 respuestas en el Bloque 1, y de 5 respuestas en los Bloques 2 y 3. Las Ratas R2 y R3 mostraron tasas constantes para los tres bloques (2 y 4 respuestas). A lo largo de la Fase 3 y la fase de reversión, todas las ratas mostraron tasas con valores entre 3 y 5 respuestas.
Los sujetos del Grupo 2 durante la Fase 1 presentaron tasas más bajas en comparación con las tasas del Grupo 1 en la misma fase (menores a 2 respuestas). Para la Fase 2, 3 y de reversión los resultados fueron similares a los observados en el Grupo 1: las tasas se mantuvieron estables y no superaron las 4 respuestas, exceptuando un sujet (Rata R4) durante la Fase 2.
En los primeros dos bloques de la Fase 1, los sujetos del Grupo 3 mostraron tasas más elevadas en comparación con las tasas de los Grupos 1 y 2 para la misma fase. La Rata R7 fue la que alcanzó valores más altos, manteniendo un rango entre 9 y 11 respuestas. Las Ratas R8 y R9 mostraron tasas comparativamente más altas (8 respuestas) en el Bloque 1 que en los Bloques 2 y 3. En las Fases 2, 3 y de reversión se observaron tasas estables para las Ratas R8 y R9, mostrando valores que se mantuvieron entre 2 y 4 respuestas. Por su parte, la Rata R7 mostró funciones decrecientes de incrementar la distancia entre el manipulandum y el conjunto luz-bebedero al pasar a las Fases 2 y 3. Posteriormente, en la fase de reversión se observó que la media de la tasa alcanzó valores más altos en comparación con los observados en la Fase 3.
En la Fase 1, las ratas del Grupo 4 mostraron tasas cercanas a 7 respuestas para el Bloque 1, a 5 respuestas para el Bloque 2 y a 3 respuestas para el Bloque 3. Durante las Fases 2, 3 y de reversión, las Ratas R10 y R12 mostraron tasas que se mantuvieron en un rango entre 2 y 3 respuestas. Por su parte, la Rata R11 presentó una tasa de 4 respuestas durante el Bloque 1 de la Fase 2. Posteriormente se observó una tasa de 5 respuestas en el Bloque 2 y de 4 respuestas en el Bloque 3. Este dato se mantuvo constante en el Bloque 1 de la Fase 3, pero posteriormente en los Bloques 2 y 3, se observaron tasas mayores en comparación con el Bloque 1 (6 respuestas). Finalmente, en la fase de reversión la Rata R11 mostró una tasa de 5 respuestas.

La figura 3 muestra el promedio de la tasa de respuesta (presión de palanca) grupal a través de las tres primeras fases. Como puede notarse, el Grupo 1 presentó tasas estables en las tres fases con valores entre 3 y 4 respuestas. Con el propósito de comparar las tasas grupales dependiendo de la distancia espacial entre el manipulandum y el conjunto luz-bebedero para las ratas del Grupo 1, se realizó un análisis empleando la prueba de Friedman. Cabe señalar que con el fin de obtener datos (número de observaciones por fase) comparables para el análisis estadístico, sólo se tomaron en consideración las tres primeras fases. Se encontró que la tasa de respuesta grupal en condiciones de ubicación contigua (M = 3.9) no son estadísticamente diferentes a la tasa grupal ante condiciones de ubicación próxima (M = 3.4) o de ubicación lejana (M = 4.166) [X2(2) = 4.933, p = .085]. En conjunto con esto, se realizó un análisis por medio de la prueba de Wilcoxon con el objetivo de confirmar lo reportado previamente comparando las condiciones con valores extremos en lo que respecta a la distancia espacial entre los dispositivos de estimulación (Fase 1 y Fase 3). La prueba reveló que no existen diferencias estadísticamente significativas entre la tasa de respuesta grupal ante la condición de ubicación contigua y la condición de ubicación lejana (z = -1.767, p = .077).
Para el Grupo 2, la tasa fue una función creciente de disminuir la distancia espacial entre el manipulandum y el conjunto luz-bebedero. A partir de la prueba de Friedman, se encontró que existen diferencias estadísticamente significativas en la tasa de respuesta grupal dependiendo de la distancia espacial entre los dispositivos de estimulación a la que fueron expuestos los sujetos [X2(2) = 62.101, p < .01]: ubicación contigua (M= 4.533), ubicación próxima (M = 2.866) y ubicación lejana (M = 1.333). Además, la prueba de Wilcoxon confirmó estas diferencias entre las tasas de respuesta grupales de la Fase 1 y la Fase 3 (z = -5.683, p < .01).

*p < .01.
De forma contraria a lo visto para el Grupo 2, la tasa de respuesta en el Grupo 3 fue una función decreciente de aumentar la distancia espacial entre el manipulandum y el conjunto luz-bebedero. La prueba de Friedman reportó que la tasa de respuesta grupal para las condiciones de ubicación contigua (M = 6.066), ubicación próxima (M = 4.266) y ubicación lejana (M = 3.266) es diferente a niveles significativos [X2(2) = 45.644, p < .01]. La prueba de Wilcoxon reveló que existen diferencias estadísticamente significativas entre la tasa de respuesta grupal ante la condición de ubicación contigua y la condición de ubicación lejana (z = -5.548, p < .01).
El Grupo 4 mostró la tasa de respuesta grupal más alta durante la Fase 1 (5 respuestas). Posteriormente, en las Fases 2 y 3 la tasa mostró valores cercanos a 3 respuestas. Al comparar las tasas entre fases, la prueba de Friedman encontró diferencias estadísticamente significativas, Fase 1: M = 4.8, Fase 2: M = 3.033, y Fase 3: M = 2.8. Por su parte, la prueba de Wilcoxon confirmó estas diferencias entre las tasas de respuesta ante condiciones de ubicación contigua y condiciones de ubicación lejana (z = -3.138, p < .01).
La figura 4 muestra la media del porcentaje grupal de reforzadores obtenidos a través de las tres primeras fases. Como se observa, el Grupo 1 obtuvo el 61% de los reforzadores en la Fase 1 y el 63% en la Fase 2. Al pasar a la Fase 3 se observó un porcentaje más alto en comparación con las fases anteriores (73%). De forma similar a lo realizado con la tasa de respuesta grupal, se empleó la prueba de Friedman con el propósito de comparar los porcentajes obtenidos en cada fase. Esta prueba reveló que existen diferencias estadísticamente significativas en el porcentaje de reforzadores obtenidos dependiendo de la distancia espacial entre los dispositivos de estimulación a la que fueron expuestos los sujetos [X2(2) = 12.393, p < .01]: ubicación contigua (M = 68.333), ubicación próxima (M = 68.333) y ubicación lejana (M = 73.333). En conjunto con esto, se empleó la prueba de Wilcoxon para confirmar las diferencias entre los porcentajes obtenidos ante las condiciones con valores extremos en relación con la distancia espacial entre los dispositivos de estimulación. A partir de esto, se confirmó la diferencia entre los porcentajes de reforzadores obtenidos en la Fase 1 y la Fase 3 (z = -4.034, p < .01).

*p < .01.
Para el Grupo 2, el porcentaje de reforzadores obtenidos fue una función creciente de disminuir la distancia espacial entre el manipulandum y el conjunto luz-bebedero. La prueba de Friedman reveló que la media de los porcentajes de reforzadores obtenidos para las condiciones de ubicación contigua (M = 71.666), ubicación próxima (M = 63.333) y ubicación lejana (M = 41.666) es diferente a niveles significativos [X2(2) = 66.112, p < .01]. Por su parte, la prueba de Wilcoxon confirmó estas diferencias entre los porcentajes obtenidos en la condición de ubicación contigua y la condición de ubicación lejana (z = -5.799, p < .01).
Los Grupos 3 y 4 mostraron un efecto techo al producir cerca del 100% de los reforzadores en las tres fases. El análisis por medio de la prueba de Friedman constató que no se encontraron diferencias estadísticamente significativas entre el porcentaje de reforzadores obtenidos para el Grupo 3 dependiendo de las condiciones [X2(2) = 1.510, p = .470]: ubicación contigua (M = 100), ubicación próxima (M = 100) y ubicación lejana (M = 100). La prueba de Wilcoxon confirmó este hallazgo al comparar las condiciones de ubicación contigua y ubicación lejana (z = -1.948, p = .051). Los resultados para el Grupo 4 fueron similares: no se encontraron diferencias estadísticamente significativas entre condiciones (ubicación contigua: M = 100, ubicación próxima: M = 100, ubicación lejana: M = 100) por medio de la prueba de Friedman [X2(2) = 1.686, p = .430], y la prueba de Wilcoxon tampoco reveló diferencias significativas entre las medias de los porcentajes obtenidos en la Fase 1 y la Fase 3 (z = -.097, p = .923).

La figura 5 muestra la demora obtenida (intervalo entre la última respuesta de presión de palanca dentro del ciclo y el reforzador) promedio para cada sujeto de los grupos con entrega del reforzador al final del ciclo T (Grupo 1 y Grupo 2) a través de las fases en bloques de cinco sesiones. De forma general, se observaron demoras obtenidas consistentes entre las ratas de ambos grupos y sin mostrar cambios debidos a la fase. Para la mayoría de los sujetos las demoras obtenidas se mantuvieron dentro de un rango entre 10 y 14 s a través de las fases. Este hallazgo no se cumplió, únicamente, en las fases de ubicación contigua (Fase 1 para el Grupo 1 y Fase 3 para el Grupo 2). Para el Grupo 1 la demora obtenía para todas las ratas fue una función creciente del transcurso de las sesiones, con valores cercanos a 8 s en el Bloque 1 y a 12 s en el Bloque 3. El Grupo2 durante la Fase 3, mostró efectos similares a losdel Grupo 1, solamente la Rata R4 presentó valoresdiferentes al obtener una demora de 12 s en elBloque 1.
Discusión
El propósito de este trabajo fue evaluar los efectos de variar la demora de reforzamiento y la distancia espacial entre el manipulandum y el reforzador sobre el mantenimiento del palanqueo en ratas. De forma general, los efectos observados cumplen lo que se esperaba al realizar este trabajo en el sentido de que la tasa de respuesta fue una función inversa de aumentar la demora de reforzamiento y la distancia espacial entre el manipulandum y el conjunto luz-bebedero. Además, este efecto se evidenció más con la combinación de estas variables.
Los resultados relacionados con la tasa de respuesta en su representación individual y grupal fueron consistentes. De forma general, los sujetos expuestos a la demora de reforzamiento (Grupos 1 y 2) mostraron tasas de respuesta más bajas en comparación con los grupos a los que se les entregó el reforzador de forma inmediata (Grupos 3 y 4). Esto replica el hallazgo más conocido sobre el gradiente de demora en estudios de reforzamiento demorado (Bruner, Pulido, & Escobar, 2000; Lattal & Gleeson, 1990; Pulido-Rull & López-Bello, 2006; Pulido-Rull, Sosa-Sánchez et al., 2006).
A partir de un análisis visual, el efecto de la demora de reforzamiento se hace más identificable al comparar las tasas de respuesta individuales (figura 2) para cada grupo durante la Fase 1. En ésta los sujetos fueron expuestos a las cuatro combinaciones para los valores de la demora de reforzamiento y de distancia espacial: (1) con demora y con contigüidad espacial (Grupo 1), (2) con demora y sin contigüidad espacial (Grupo 2), (3) sin demora y con contigüidad espacial (Grupo 3), y (4) sin demora y sin contigüidad espacial (Grupo 4). Como pudo notarse, las diferencias en las tasas de los Grupos 1 y 3 durante la Fase 1 sólo pueden ser explicadas como efecto de la demora pues las propiedades espaciales a las que se expusieron fueron similares. Esto se replica en los Grupos 2 y 4 confirmando que la tasa de respuesta es una función decreciente de la demora de reforzamiento.
A partir de la comparación de las tasas de respuesta durante la Fase 1 también se evidenció el efecto de la discontigüidad espacial y de la combinación de ésta con la demora de reforzamiento. Los Grupos 2 y 4 fueron expuestos a condiciones de discontigüidad espacial y mostraron tasas menores que los Grupos 1 y 3, es decir, la tasa de respuesta fue una función decreciente de la discontigüidad espacial; esto independientemente del valor de la demora de reforzamiento. Este resultado es congruente con lo reportado en diversos estudios sobre el efecto de la distancia espacial entre el manipulandum y el reforzador sobre el aprendizaje (Bruner & Landaverde, 1985; McClearn & Harlow, 1954; Meyer, Polidora, & McConnell, 1961). Además, el Grupo 2 que fue expuesto a la combinación demora de reforzamiento más discontigüidad espacial, durante la Fase 1, mostró tasas de respuesta más bajas en comparación con su propia ejecución en otras fases y en comparación con las ratas de los demás grupos en las tres fases. De forma inversa, el Grupo 3 obtuvo la tasa más alta del experimento ante condiciones sin demora y con contigüidad espacial (Fase 1).
Estos hallazgos son contradictorios con lo que se ha reportado en estudios de forrajeo en los que se ha aumentado la distancia entre el manipulandum y el lugar de entrega del reforzador con el fin de ver los efectos sobre la acumulación de la comida. En éstos, se ha encontrado que la tasa de respuesta de las ratas aumenta con el incremento de la distancia espacial (Reilly, Posadas-Sánchez, Kettle, & Killeen, 2012). No obstante, en dichos estudios se empleó un programa de reforzamiento de razón fija 1 lo que permite a las ratas producir alimento de forma continua con el propósito de identificar cambios en la acumulación. Esta característica no permite comparar los resultados obtenidos en esos estudios con los del presente trabajo.
Con respecto al cambio de fases, la tasa de respuesta grupal para el Grupo 2 fue una función creciente del cambio de fases (disminución de la distancia espacial entre los dispositivos de estimulación). En concordancia con esto, el efecto contrario fue observado en el Grupo 3: una relación inversa entre la tasa de respuesta y el cambio de fases (aumento de la distancia espacial). Esto sugiere que ante condiciones de entrega demorada, exponer a los sujetos durante las primeras sesiones a preparaciones con el manipulandum espacialmente distante genera tasas de respuesta aún más bajas en comparación con condiciones similares pero sin demora. No obstante, como se observó para el Grupo 1, esto no se cumple si los sujetos fueron expuestos previamente a las mismas condiciones de demora, pero espacialmente contiguas (efecto de arrastre).
Los resultados en relación con la media grupal del porcentaje de reforzadores obtenidos replicaron lo observado con las tasas de repuesta únicamente para los Grupos 1 y 2. Para el Grupo 1, los porcentajes se mantuvieron estables en las dos primeras fases, pero en la Fase 3 se observaron porcentajes más altos. En el Grupo 2, el porcentaje de reforzadores obtenidos fue una función creciente del cambio de fase (disminución de la distancia espacial entre dispositivos de estimulación). A partir de esto, se identifica una correspondencia entre la tasa de respuesta y el porcentaje de reforzadores obtenidos que no se cumple para los Grupos 2 y 4. Como pudo notarse, para los grupos en los que la entrega de los reforzadores fue inmediata se presentó un efecto techo por lo que no fue posible identificar efectos debidos al cambio de la distancia espacial entre dispositivos como en los Grupos 1 y 2.
Lo anterior puede interpretarse como un indicador de eficiencia en la medida en la que ciertas condiciones (para este caso la entrega inmediata de los reforzadores) generan ejecuciones óptimas en las que los sujetos producen la mayor cantidad de reforzadores disponibles a partir de tasas de respuesta bajas. Un dato que se relaciona con esto fue presentado por los Grupos 3 y 4 durante las Fases 2 y 3, pues los sujetos no sólo produjeron la mayoría de los reforzadores disponibles ante condiciones espacialmente variables, sino que, además, sus tasas fueron una función decreciente del cambio de las fases.
Los resultados relacionados con la demora obtenida mostraron consistencia entre sujetos, grupos y fases. Este hallazgo es congruente con lo que se ha encontrado en otros estudios en los que los cambios en la duración de la demora obtenida son consecuencia de cambios en la duración de la demora programada (Ruiz & Bruner, 2008; Sizemore & Lattal, 1977). Debido a que en el presente trabajo no se varió la demora programada, es congruente que se hayan encontrado demoras estables en la mayoría de las ratas y fases. En adición, se ha planteado que la demora obtenida puede ser vista como una variable independiente, y se ha encontrado que ésta tiene un efecto sobre la tasa de respuesta: demoras obtenidas cortas se relacionan con tasas de respuesta elevadas (Sizemore & Lattal, 1978). Empero, la estabilidad mostrada por las demoras obtenidas en este estudio da paso a proponer que los efectos observados sobre la tasa de respuesta no fueron producto de esta variable.
Los resultados del presente trabajo brindan apoyo a los principios de aprendizaje asociativo por contigüidad espacial y temporal adoptado por distintas escuelas teóricas. A lo largo de la historia del conocimiento humano, estos principios han sido empleados por naturalistas (Aristóteles, trad. 1980), asociacionistas (Hume, trad. 1977), conductistas (Hull, 1932; Mowrer, 1960), y cognitivistas (Tolman, 1932, 1948) con el fin de explicar lo que hoy se conoce como aprendizaje. A partir de este estudio es posible afirmar que su empleo a nivel teórico sigue vigente y, además, que su combinación genera efectos agregados.
Como se ha visto a lo largo de este análisis, las diferencias entre las ejecuciones de los grupos mostraron efectos importantes debidos a la combinación, no sólo de las dos variables manipuladas en este experimento, sino que también de la historia que los sujetos desarrollan con la exposición a las condiciones experimentales. Además, se hizo evidente que emplear distintas variables dependientes facilita la identificación de efectos diferentes. Por ejemplo, al analizar los resultados de los Grupos 1 y 2 podría suponerse que las tasas de respuesta correspondieron al porcentaje de reforzadores producidos para todos los grupos, sin embargo, al representar el porcentaje de reforzadores obtenidos confirmó que esto no se cumplió.
A partir de esto se hace un señalamiento a la importancia de generar estudios en los que se tome en consideración la combinación de las dimensiones temporal y espacial de los fenómenos conductuales, tanto en lo que respecta a la manipulación de variables como en la representación de los efectos sobre la actividad de los organismos.
Agradecimientos
Este estudio fue financiado por el Consejo Nacional de Ciencia y Tecnología con el aporte de la beca Doctoral 329793 otorgada a Felipe de Jesús Patrón Espinosa.
El presente estudio forma parte de diversos experimentos incluidos en la tesis doctoral del primer autor por lo que existen artículos publicados con anterioridad que cuentan con semejanzas procedimentales.
Referencias
Aristóteles. (1980). Del sentido y lo sensible y de la memoria y el recuerdo. (F. Samaranch, Trad.). Buenos Aires, Argentina: Aguilar.
Arnau, J. (1990). Diseños experimentales en psicología y educación (2ª ed.). México: Trillas.
Bruner, C., & Landaverde, J. (1985). Los efectos de variar la ubicación espacial de un estímulo en la situación de automoldeamiento y automantenimiento. Revista Mexicana de Análisis de la Conducta, 11(1-2), 11-20.
Bruner, C. A., Pulido, M. A., & Escobar, R. (2000). La adquisición del palanqueo con programas temporales de reforzamiento demorado. Revista Mexicana de Análisis de la Conducta, 25, 379-391.
Carr, J. A. R., & Wilkie, D. M. (1998). Characterization of the strategy used by rats in an interval time–place learning task. Journal of Experimental Psychology: Animal Behavior Processes, 24(2), 151-162. doi: 10.1037/0097-7403.24.2.151
Castro, L. (1977). Diseño experimental sin estadística (2ª ed.). México: Trillas.
Chamizo, V. D., & Rodrigo, T. (2004). Effect of absolute spatial proximity between a landmark and a goal. Learning and Motivation, 35(2), 102–114. doi: 10.1016/S0023-9690(03)00059-6
Christie, J. (1996). Spatial contiguity facilitates pavlovian conditioning. Psychonomic Bulletin and Review, 3(3), 357-359. doi: 10.3758/BF03210760
Critchfield, T. S., & Lattal, K. A. (1993). Acquisition of a spatially defined operant with delayed reinforcement. Journal of the Experimental Analysis of Behavior, 59(2), 373-387. doi: 10.1901/jeab.1993.59-373
Ferster, C. B., & Skinner, B. F. (1957). Schedules of reinforcement. New York, US: Appleton-Century-Crofts. doi: 10.1037/10627-000
Hull, C. L. (1932). The goal-gradient hypothesis and maze learning. Psychological Review, 39(1), 25-43.doi: 10.1037/h0072640
Hume, D. (1977). Tratado de la naturaleza humana: ensayo para introducir el método del razonamiento experimental en asuntos morales. (V. Viqueira, Trad.). México, MX: Porrúa.
Hunter, W. S. (1913). The delayed reaction in animals and children. Behavior Monographs, 2, 1–86.
IBM SPSS Statistics for Windows (Version 23.0) [Software de computación]. Armonk, NY: IBM Corp.
Iversen, I. H., Sidman, M., & Carrigan, P. (1986). Stimulus definition in conditional discriminations. Journal of the Experimental Analysis of Behavior, 45, 297-304. doi: 10.1901/jeab.1986.45-297
Lattal, K. A., & Gleeson, S. (1990). Response acquisition with delayed reinforcement. Journal of Experimental Psychology: Animal Behavior Processes, 16(1), 27-39. doi: 10.1037/0097-7403.16.1.27
McClearn, G., & Harlow, F. (1954). The effect of spatial contiguity on discrimination learning by rhesus monkey. Journal of Comparative and Physiological Psycholog., 47(5), 391-394. doi: 10.1037/h0059728
Meyer, D. R., Polidora, V. J., & McConnell, D. G. (1961). Effects of spatial S-R contiguity and response delay upon discriminative performances by monkeys. Journal of Comparative and Physiological Psychology, 54(2), 175-177. doi: 10.1037/h0041336
Morris, R. (1984). Developments of a water-maze procedure for studying spatial learning in the rat. Journal of Neuroscience Methods, 11(1), 47-60. doi: 10.1016/0165-0270(84)90007-4
Mowrer, O. H. (1960). Learning theory and behavior. New York, US: John Wiley & Sons Inc.
Murphy, J. V., & Miller, R. E. (1955). The effect of spatial contiguity of cue and reward in the object-quality learning of rhesus monkeys. Journal of Comparative and Physiological Psychology, 48(3), 221-224. doi: 10.1037/h0045441
Murphy, J. V., & Miller, R. E. (1959). Spatial contiguity of cue, reward, and response in discrimination learning by children. Journal of Experimental Psychology, 58(6), 485-489. doi: 10.1037/h0041157
NORMA Oficial Mexicana NOM-062-ZOO-1999. Especificaciones técnicas para la producción, cuidado y uso de los animales de laboratorio. Diario Oficial de la Federación. México D.F., México, 6 de diciembre de 1999. Recuperado de: http://www.ibt.unam.mx/computo/pdfs/bioterio.NOM-062.pdf
NORMA Oficial Mexicana NOM-161-SEMARNAT-2011. Que establece los criterios para clasificar a los Residuos de Manejo Especial y determinar cuáles están sujetos a Plan de Manejo. Diario Oficial de la federación. México D.F., México, 22 de agosto de 2011. Recuperado de http://www.dof.gob.mx/nota_detalle.php?codigo=5286505&fecha=01/02/2013
Pulido-Rull, M. A., & López-Bello, L. (2006). Delay of reinforcement effects under temporally defined schedules of reinforcement. Revista Mexicana de Análisis de la Conducta, 32(1), 39-53.
Pulido-Rull, M. A., Sosa-Sánchez, R., & Valadez, L. (2006). Adquisición de la operante libre bajo condiciones de reforzamiento demorado: una revisión. Acta Comportamentalia, 14(1), 5-21.
Reilly, M. P., Posadas-Sánchez, D., Kettle, L. C., & Killeen, P. R. (2012). Rats (Rattus norvegicus) and pigeons (Columbia livia) are sensitive to the distance to food, but only rats request more food when distance increases. Behavioural Processes, 91(3), 236-243. doi: 10.1016/j.beproc.2012.09.002
Rescorla, R. A., & Cunningham, C. L. (1979). Spatial contiguity facilitates pavlovian second-order conditioning. Journal of Experimental Psychology: Animal Behavior Processes, 5(2), 151-161. doi: 10.1037/0097-7403.5.2.152
Ribes, E. (1992). Sobre el tiempo y el espacio Psicológicos. Acta Comportamentalia, 1, 71-84.
Ruiz, J. A., & Bruner, C. A. (2008). Demora de reforzamiento con agua en un procedimiento de beber inducido por el programa. Revista Mexicana de Análisis de la Conducta, 34(1), 97-109.
Schoenfeld, W. N., & Cole, B. K. (1972). Stimulus schedules: The t-T systems. New York: Harper & Row.
Schoenfeld, W. N., & Farmer, J. (1970). Reinforcement schedules and the ‘‘behavior stream’’. En W. N. Schoenfeld (Ed.), The theory of reinforcement schedules (pp. 215–245). New York: Appleton-Century-Crofts.
Schoenfeld, W. N., Cumming, W. W., & Hearst, E. (1956). On the classification of reinforcement schedules. Proceedings of the National Academy of Science, 42, 563-570.
SigmaPlot Exact Graphs and Data Analysis (Version 11.0) [Software de computación]. San Jose, CA: Systat Software Inc.
Sizemore, O. J., & Lattal, K. A. (1977). Dependency, temporal contiguity, and response-independent reinforcement. Journal of the Experimental Analysis of Behavior, 27(1), 119-125. doi: 10.1901/jeab.1977.27-119
Sizemore, O. J., & Lattal, K. A. (1978). Unsignaled delay of reinforcement in variable-interval schedules. Journal of the Experimental Analysis of Behavior, 30(2), 169-175. doi: 10.1901/jeab.1978.30-169
Skinner, B. F. (1938). The behavior of organisms. New York: Appleton-Century-Crofts.
Tolman, E. C. (1932). Purposive behavior in animals and men. New York, US: Appleton-Century-Crofts.
Tolman, E. C. (1948). Cognitive maps in rats and men. Psychological Review, 55(4), 189-208. doi: 10.1037/h0061626
Weil, J. L. (1984). The effects of delayed reinforcement on free-operant responding. Journal of the Experimental Analysis of Behavior, 41(2), 143-155. doi: 10.1901/jeab.1984.41-143
Notas de autor
Enviar correspondencia a: Patrón Espinosa, F. J. E-mail: felipe.patron@uabc.edu.mx
Información adicional
Citar este artículo como: Patrón Espinosa, F. J; Ortega Gonzáles, M; Torres Ceja, C. J. & Flores Aguirre, C. J. (2018). Efectos del reforzamiento demorado en ratas expuestas a condiciones espacialmente variables. Revista Argentina de Ciencias del Comportamiento, 10(2), 25-36
Enlace alternativo
https://revistas.unc.edu.ar/index.php/racc/article/view/19753/pdf (pdf)