Artículos de revisión
Associations between screen exposure and children self regulation: A systematic review and meta-analysis
Asociaciones entre exposición a pantalla y autorregulación en niños: Una revisión sistemática y meta-análisis.
Associations between screen exposure and children self regulation: A systematic review and meta-analysis
Revista Argentina de Ciencias del Comportamiento, vol. 16, núm. 2, pp. 1-13, 2024
Universidad Nacional de Córdoba
Recepción: 19 Julio 2022
Aprobación: 25 Octubre 2022
Abstract: A systematic review and a meta-analysis were carried out to evaluate the type of methodological design of the existing research and to analyze the relationship between screen use and children self-regulation through a statistical analysis of r coefficients. Studies published between 2011 and 2021 that delve into the contribution of technological devices to the self-regulation of typically developing infants were considered. Twenty different associations were found in studies conducted with a total of 13408 children (0-12-year-old). Results showed that most of the studies were of parental reports, and the longer the time of screen exposure, the lower the scores on the self-regulation behavioral and psychometric tests (screen time, n = 20; r = −0.18, 95% CI, −0.26 to −0.09), with high levels of interstudy heterogeneity. These findings show that it is necessary to include research from other countries and further analyze possible moderators.
Keywords: Self-regulation, screens, children, meta-analysis.
Resumen: Se realizaron una revisión sistemática y un metaanálisis para evaluar el tipo de diseño metodológico de las investigaciones existentes y analizar la relación entre el uso de pantallas y la autorregulación de niños/as a través de un análisis estadístico de coeficientes r. Se consideraron estudios publicados entre 2011 y 2021 que analizan el aporte de los dispositivos tecnológicos a la autorregulación de niños/as con desarrollo típico. Se encontraron 20 asociaciones en estudios con un total de 13408 niños/as (0-12 años). Los resultados mostraron que la mayoría empleaban reportes parentales, y cuanto mayor era el tiempo de exposición a pantallas, menores eran las puntuaciones en pruebas psicométricas y conductuales de autorregulación (tiempo frente a la pantalla, n = 20; r = −0.18, IC 95%, −0.26 a −0,09), con altos niveles de heterogeneidad entre estudios. Esto demuestra que es necesario incluir investigaciones de otros países y analizar los posibles moderadores.
Palabras clave: Autorregulación, pantallas, niñez, metaanálisis.
In recent years, the use of electronic media by children has increased in many countries (Bergmann et al., 2022; Coyne et al., 2021; Melamud & Waisman, 2019). It was found not only that time spent using and engaging in different screens has increased in all stages of development, but also evidence of negative associations with socioeconomic status (SES) and positive associations with child age, caregiver screen time, and parents positive attitudes towards children’s screen time (Bergmann et al., 2022; Instituto Nacional de Estadísticas y Censos, 2021; Supanitayanon et al., 2020).
Children start using digital media devices early in life, as the average time of television (TV) use in infants under three is in general one hour or more (Gago Galvagno et al., 2022; Madigan et al., 2020; Simaes et al., 2022), two and a half hours in preschoolers (Rideout & Robb, 2020; Susilowati et al., 2021), and more than three hours in primary school children (Rideout & Robb, 2020; Seguin et al., 2021). All of this exceeds the suggestions of pediatric associations for these age ranges: a) no screen exposure before 18 months, b) no more than one hour of high-quality programming per day, with parental co-view if possible, between ages 2 and 5, and c) screen exposure with consistent limits on the quantity and quality of exposure in children older than 6 years (American Academy of Pediatrics, 2020; Seguin et al., 2021; Sociedade Brasileira de Pediatria, 2016). The American Academy of Pediatrics (2020) stopped advising against use of screens, and instead, suggested focusing on the child, the context, and the content (the three Cs), in order to promote responsible use.
In this sense, in recent years the term persuasive technologies has been used to account for an interdisciplinary field of research that aims to persuade the population to generate healthy behaviors for commercial purposes (Matthews et al., 2016). However, persuasion can bring about ethical dilemmas and can result in an irresponsible and excessive use of electronic devices (Hunter, 2018; Sullivan & Reiner, 2019). Furthermore, the principles of partial reinforcement, positive reinforcement, extrinsic motivators, and aesthetic design can lead to users of different ages to technology addiction behaviors (Baumeister et al., 2019; Mackinnon & Shade, 2020).
Despite the fact that the promotion of digital technology in children can prepare them for the future, it is necessary to highlight that the use of these devices earlier in life exposes them to content that may not be suitable nor appropriate for their age, such as commercial advertising or even violent or pornographic scenes (American Academy of Pediatrics, 2020; Melamud & Waisman, 2019). Additionally, there are several investigations demonstrating negative effects on cognitive development during infancy (Gago Galvagno et al., 2020;Supanitayanon et al., 2020), preschool (Susilowati et al., 2021; Tamana et al., 2019) and school years (Madigan et al., 2020; Seguin et al., 2021). For this reason, infant, preschool and school children’s screen exposure, independent of the type of content, require high levels of constant parent involvement (Fisher et al., 2020; Melamud & Waisman, 2019; Seguin et al., 2021).
Self-regulation is a complex construct that involves action, emotion, and cognition regulatory processes. It also involves both top-down and bottom-up regulation (Gagne et al., 2021; Nigg, 2017). Within the top-down processes, we find executive functions (e.g., cognitive flexibility, working memory and behavioral inhibition) and cognitive control (Miller & Marcovitch, 2015; Miyake et al., 2000). Bottom-up processes include effortful control, emotional regulation, risk-taking, and impulsivity (Nigg, 2017).
Initially in life, self-regulation is linked to temperamental characteristics, especially the effortful control and the propensity to express negative affectivity, while parents act as external regulators (de Grandis et al., 2019; Rothbart et al., 1990). Then, the emergence of voluntary control of behaviors occurs along with the development of the alert, orientation, and finally the executive network at 9 months (Posner & Rothbart, 2007). The simplest skills of cognitive self-regulation (i.e., cognitive flexibility, behavioral inhibition, and working memory) and emotional self-regulation (i.e., reactivity) are integrated to form more complex skills guided by the fact that the orientation system, language, and theory of mind (i.e., planning, problem solving, self-soothing, and information processing) become increasingly active and purposeful (Crowell, 2021; Vink et al., 2020). It is clear that due to the complexity of this construct, its various subdimensions, and the overlap between them, studies use multiple measures (e.g., behavioral, neuropsychological, psychometric, and psychophysiological methods), which sometimes makes the comparison between these articles difficult (Gagne et al., 2021; Lin et al., 2019;Nigg, 2017).
Some authors, who have already investigated the association between screen exposure and self-regulation skills in infants, suggest that the prolonged use of devices could decrease the opportunities for children to develop autonomous ways of regulation that allow them to calm down, displacing them from their significative activities in their routine (see displacement hypothesis, Neuman, 1995), generating fewer interactions with adults, and developing higher levels of passivity (i.e., emotional and cognitive regulation; Chassiakos et al., 2016; Melamud & Waisman, 2019; Radesky & Christakis, 2016).
Other authors suggest the opposite, being that children with poor self-regulation consume more media, possibly as a parental coping strategy, to calm their kid’s fussy behaviors (Chassiakos et al., 2016; Melamud & Waisman, 2019; Radesky et al., 2014). However, the relationship is probably bidirectional and recursive. Parents might try to calm more demanding children through screen exposure, which reduces the amount of enriching parent-infant interactions and other significant activities, exposes infants to potentially inappropriate content, leaves them alone, and contributes to continued regulatory difficulties, which in turn predict greater media exposure, and so on (Radesky et al., 2014).
In 2021, Uzundağ et al. (2021) conducted a systematic review on the association between screen time and content type with self-regulation skills in toddlers and preschoolers. They found that, in most articles, the association between time of use and self-regulation abilities was negative but, at later ages, the relationships were inconsistent. In addition, watching background TV and adult-directed content were negatively associated with toddlers and preschool children's self-regulatory skills, whereas watching fantasy content negatively predicted children's executive functions performance. Similar negative results were obtained by Madigan et al. (2020), in their meta-analysis on the use of screens and language development in children between 0 and 12 years (with small effect sizes), and in the systematic review carried out by Gago Galvagno et al. (2022) with infants between 0 and 3 years, highlighting the importance of the context of use and the multiple variables present in development.
Regarding empirical studies, most of them show negative associations between screen exposure and different regulatory skills, both cognitive and emotional (e.g., Cho et al., 2018; Corkin et al., 2021; Gago Galvagno et al., 2020). However, the relationships differ depending on age (i.e. general negative and small effect sizes in young children, and negative or null moderate results in preschoolers and school-age children), type of content (i.e., educational and children-appropriate age content have positive or null results), type of screen (i.e., background TV has the more stable negative impact, and personal computers [PC] shows inconsistent results during infancy and childhood), presence of parents during use (i.e., which moderates negative effects at all ages), and the quality of engagement (Cerniglia et al., 2021; Coyne et al., 2021; Madigan et al., 2020; Rosenqvist et al., 2016; Tabullo & Gago Galvagno, 2021; Tamana et al., 2019; Uzundağ et al., 2021).
Being that research shows negative or inconsistent results regarding associations between cognitive variables and electronic devices during children development, and that the promotion of self-regulation is essential to predict skills and later performance, the aim of this study is to assess the associations between screen exposure and self-regulation skills in children. To accomplish this, our specific aims are to evaluate the type of methodological design, measures and participants of the articles through a systematic review, and statistically assess the significance of the relationship through the analysis of r coefficients in a meta-analysis. Through the systematic review, we expect to find that most of the research measures screen time with parental reports and considering time use in a typical day. Regarding the meta-analysis, the hypothesis is that screen exposure will be negatively associated with different measures of self-regulation (i.e., emotional and cognitive). The findings of the present study will provide and reinforce information on the current contributions to this subject, as well as propose future studies that will allow filling the existing research gaps in the literature.
Method
Eligibility Criteria
This review was carried out based on the guidelines proposed by the PRISMA methodology for reporting systematic reviews and meta-analysis (Parums, 2021). It implies anticipating the selection criteria of the studies to be included. We reviewed research articles carried out between 2011 and 2021 written in English, Portuguese, and Spanish, with publication status "published". The search was carried out using selected descriptors among those proposed by international thesaurus specialized in Psychology.
The characteristics that the articles had to meet were: a) being carried out on children with typical development, b) between 0 and 12 years old, b) having an associative or explanatory scope (not descriptive or exploratory), and c) having screen exposure as an independent variable. Those articles that worked with the effects of screen exposure during the prenatal period were excluded. There were no exclusion criteria regarding caregiver characteristics and instruments used to measure self-regulation (e.g. psychometric, neuropsychological, or behavioral analysis).
Information sources
PsycInfo, Scopus, and EBSCO databases were used, using the combination of the following keywords in English, Portuguese, and Spanish (text word and/or term included in the thesaurus) (“screen” OR “media exposure” OR “electronic media” OR “cell phone” OR “TV” OR “tablet” OR “home environment”) AND (“self-regulation” OR "emotion regulation" OR "negative affect" OR "impulsivity" OR "risk-taking" OR "self-control" OR "cognitive control" OR "executive functions" OR "inhibitory control" OR "effortful control") AND ("infants" OR "toddlers" OR “early childhood” OR “children” OR “preschool children”).
Data analysis
First, the title, abstract, and keywords of the articles were analyzed. Words in these sections of the articles were coded. In the case that the three inclusion criteria were not met, or that the reading of the title, abstract, and keywords were not sufficient, the introduction and method of the article were read to analyze if it met the requirements of the systematic review.
Four independent investigators conducted the search. If inconsistencies in the search or analysis of a particular article were found (i.e., between authors criteria, mixed designs, longitudinal data among childhood and adolescence, children characteristics), it was analyzed (i.e., materials and methods, participants characteristics, and data analysis). If the articles could not be accessed directly, their authors were contacted through specialized social science networks (i.e., ResearchGate and Academia) or by email. If there were multiple studies based on the same data set, we selected the study with the largest sample size, readily available statistics, and better psychometric properties. If a single study assessed screen time and, for example, background TV, both effect sizes were extracted and examined in separate meta-analyses. If more than one measure of regulation was provided (e.g. self-regulation and negative affect), the most global assessment of child regulation was selected. If the study did not have a global assessment of these abilities, both effect sizes (e.g., executive functions and emotional regulation) were extracted. If regulation was assessed at multiple time points, we selected the first one to capture the earlier developed skills. When cross-sectional and longitudinal correlations were provided, we selected the temporally most distant effect size (Madigan et al., 2020; Parums, 2021).
Florencia
Results
The initial search returned 536 articles on PsycInfo, 218 on EBSCO, and 427 on Scopus, of which 15 studies (with 20 different outcomes, 13408 participants) met all the above-mentioned criteria (Figure 1). It was not necessary to contact any author to request the article. No outliers were found using box plots.
We summarized the main results of each of the studies (Table 1). The variables that were considered were related to the article’s general information, authors’ characteristics, sample characteristics, measured variables, instruments, and results.
Of the 15 research studies reviewed, 26.67% (n = 4) belonged to Europe, another equivalent was of Asian origin (n = 4), 20.00% (n = 3) came from Latin-American countries, another same percentage (n = 3) from North America, and the remaining study was conducted in Oceania (6.60%, n = 1). In turn, most papers were published in English between 2020 and 2021, except two of them (Cho et al. al. 2018; Rosenqvist et al., 2016).
The 53.33% (n = 8) of studies worked with a sample of children under 3 years of age or the equivalent of 36 months, while 33.33% (n = 5) studied children between 3 and 6 years of age, and the remaining 13.33% ranged from 7 to 12 years (n = 2).

Note. *Articles were excluded for not reporting correlation coefficient (n = 8) or evaluated children with mental diagnosis (n = 7).
| Study | Sample | Measures | Results |
| Cerniglia et al. (2021) Italy | n = 651 children aged 4. No mean, standard deviation and gender information was reported. | Teacher reports of dysregulation and screen time on a typical day. | Dysregulation was positively related to screen time. |
| Cho et al. (2018) Korea | n = 187 children aged 4 years. No mean, standard deviation and gender information was reported. | Parental reports of self-regulation and screen time on a typical day. | Self-regulation was negatively related to screen time. |
| Continuación… | |||
| Clifford et al. (2020) United States | n = 547 (M = 8.45 years, SD = 0.61, female = 270). | Parental reports of effortful control effortful and type of activities in a variety of screen media. | Effortful control was negatively related to screen time. |
| Corkin et al. (2021) United States | n = 3787 children aged 54 months. No mean, standard deviation and gender information was reported. | Behavioral tasks of hot and cool executive functions. Parental reports of screen time on a typical day. | No relationship between hot executive functions and screen time. Cool executive function was negative related to screen time. |
| Coyne et al. (2021) United States | n = 269 (M = 29.58 months, SD = 3.83, female = 132). | Parental reports of negative affect and problematic media use. | Negative affect was positively related to problematic media |
| de Lucena Martins et al. (2020) Brazil | n = 42 (M = 3.91 years, SD = 0.77, female = 18). | Behavioral computerized task of executive functions and parent reports of screen time in a typical day. | Executive function was negatively related to screen time. |
| Gago Galvagno et al. (2020) Argentina | n = 75 (M = 20.97 months, SD = 2.40). No gender information was reported. | Behavioral tasks of inhibitory control. Parental reports of TV, cell phone, and PC in a typical day. | Inhibitory control was negatively related to TV, cell phone and PC. |
| Gordon-Hacker & Gueron-Sela (2020) Israel | n = 207 (M = 17.71 months, SD = 0.83; female = 85). | Parental reports of negative emotionality and screen time on a typical day. | Negative affect was positively related to screen time. |
| Hu et al. (2020) United States | n = 579 (M = 5.08 years, SD = 0.42), female = 288). | Behavioral task of executive functions and parent reports of screen time in a typical day. | Executive function was negatively related to screen time. |
| Lin et al. (2020) Taiwan | n = 161 (M = 25.63 months, SD = 5.35). No gender information was reported. | Parental reports of emotional dysregulation and screen time in a typical day. | Emotion dysregulation was positively related to screen time. |
| López-Gil et al. (2020) Chile | n = 1561 (M = 9.7 years, SD = 1.2, female = 500). | Parental reports of self-regulation and screen time on a typical day. | Self-regulation was negatively related to screen time. |
| Lui et al. (2021) United Kingdom | n = 163 infants of 10 months (M = 305 days, SD = 6.63). | Parental reports of regulation and screen time on a typical day. | No relationship between regulation and screen time. |
| McHarg et al. (2020) United Kingdom | n = 163 (M = 36.24 months, SD = 1.09). No gender information was reported. | Behavioral tasks of executive functions and parent reports of screen time in a typical day. | No relationship between executive functions and screen time. |
| Rosenqvist et al. (2016) Finland | n = 381 (M = 8.43 years, SD = 2.30). No gender information was reported. | Behavioral tasks of executive functions. Parental reports of PC and TV use in a typical day. | Executive function was negatively related to TV. Executive function was positively related to PC. |
| Shin et al. (2021) United States | n = 296 (M = 28.0 months, SD = 5.3, female = 125). | Parental reports of negative affect, effortful control, and frequency and type of activities in a variety of screen media. | No relationship between effortful control and screen time. Negative affect was positive related to screen time. |
Regarding the independent variable identified in each article, it is necessary to highlight that most of the investigations, 86.60% (n = 13) considered the use of any technological screen as an electronic device (e.g., TV, cell phone, PC, game consoles, smart tablets) while the rest (n = 2) were publications that studied the interaction with a single device, (i.e., TV or smart devices with internet access). On the other hand, a high percentage of the articles (86.60%, n = 13) did not discriminate the reasons for their use, that is, if the interaction with the screen was for educational, recreational, game and/or leisure purposes, except for the 13.33% (n = 2) of studies, in which this was specified.
The following independent variables were measured: time watching TV (13.33%, n = 2), time using the PC (13.33%, n = 2), screen exposure (66.67%, n = 10), problematic screen exposure (6.67%, n = 1), cell phone use time (6.67%, n = 1), touchscreen exposure (6.67%, n = 1) and use of media to regulate distress (6.67%, n = 1). Only Gago Galvagno et al. (2020) measured executive functions and emotional regulation simultaneously as a dependent variable (6.67%, n = 1).
It should be noted that 60.00% (n = 9) did not report screen exposure in terms of hours, while the remaining 40.00% (n = 6) did. Most reported a range of use of 1 to 3 hours per day (33.33%, n = 5), while one (6.67%, n = 1) reported 3.5 hours.
Regarding the dependent variables, the following were measured: executive functions (40.00%, n = 6), effortful control (20.00%, n = 3), negative affect (6.67%, n = 1), self-regulation (13.33%, n = 2), emotional regulation (13.33%, n = 2), negative emotionality (6.67%, n = 1), regulation (6.67%, n = 1), and emotional behavior (6.67%, n = 1).
Reports as a unique measure were used in 46.67% (n = 7) of the publications. These came from parents (26.67%, n = 4), children (13.33%, n = 2) and/or teachers (6.67%, n = 1). On the other hand, 53.33% (n = 8) of the articles performed behavioral tasks for the dependent variable, together with the reports for screen exposure. The latter were collected by the researchers (53.33%, n = 8), except for one of the studies that also added a parental report (6.67%, n = 1). In addition, only 20.00% (n = 3) of the reviewed papers consisted of longitudinal studies.
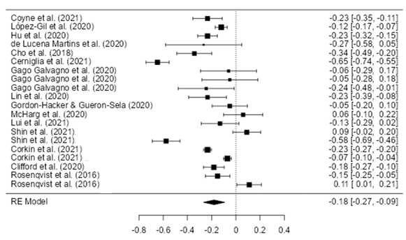
Regarding meta-analytic results, most studies presented negative associations between screen exposure and self-regulation (85.00%, n = 17), and only a minority showed non-significant positive effects (15.00%, n = 3, toddlers less than 3 years old). The studies showed a significant and negative combined effect size r = −0.18 (95% CI, −0.26 to −0.09) (Figure 2).
Thus, a greater amount of screen exposure was associated with lower child self-regulation. Inspection of the funnel plot revealed asymmetry (Figure 3) and suggested that studies with smaller sample sizes had more extreme effect sizes. Egger's linear regression test for asymmetry did not suggest publication bias (t = .216, p = .829).
Finally, Fail-Safe N showed that 1970,000 missing studies are needed for the result of this meta-analysis to be non-significant (p < .001). There was evidence of significant heterogeneity between studies for effect sizes (QB = 273.52, p < 0.001, I² = 95.26). The high heterogeneity indicates that the effects described by the different studies are very diverse, so the overall coefficient is not reliable, and the results are not generalizable. The scarcity of available studies does not allow the analysis of other variables as possible moderators, such as age, the measures used or publication year. On the other hand, the literature suggests that in meta-analyses carried out with few studies, the I² statistic tends to underestimate heterogeneity (e.g., Von Hippel, 2015), so it is recommended to interpret it from the 95% confidence interval and not to estimate it.
Discussion
The general aim of the present systematic review and meta-analysis was to assess the associations between screen exposure and children self-regulation. To accomplish that, our specific aims were to evaluate the type of methodological design, measures, and participants of the articles through a systematic review, and statistically assess the significance of the relationship through the analysis of r coefficients in a meta-analysis. Regarding the results of the systematic review, most of the studies were non-experimental designs with parental reports, and behavioral and psychometric measures. The meta-analysis showed that the relationship between screen exposure and self-regulation was negative. That is, the more time children spend in front of screens, the lower their ability to self-regulate their actions, emotions, and cognition, and viceversa. Only a minority (not significant and approached 0) of the studies found non-positive relationships between these two variables, specifically articles that worked with toddlers under 3 years.


Therefore, we can conclude that, at least according to the literature here analyzed, the direction of the relationship between screen time exposure and self-regulation is negative, with a small effect size and high levels of heterogeneity between studies. The small effect size, on one hand, could be due to the multifactorial construct, where the use of screens and technology only represent a single predictor in child development (Frick et al., 2017; Madigan et al., 2020). Likewise, since other studies found that the type of screen is differentially associated to children's cognitive abilities (Madigan et al., 2020; Supanitayanon et al., 2020; Tabullo & Gago Galvagno, 2021; Uzundağ et al., 2021), the low effect size obtained may also be due to the different types of screens that were taken as variables in the analyzed studies.
In addition, the negative associations could be explained by the fact that adults provide the screens to calm children, thus reducing opportunities for them to develop self-regulation skills (Chassiakos et al., 2016; Melamud & Waisman, 2019). On the other hand, in general, screens are usually used without the presence of adults or with content not appropriate for the age, which is why this could make children carry out passive activities without any type of significant engagement with other adults (Lui et al., 2021; Madigan et al., 2020). Another interpretation could be that a higher use of screens is associated with neglectful parenting styles and lower SES (Bergmann et al., 2022; Supanitayanon et al., 2020), which in turn is related to lower levels of self-regulation in children (de Grandis et al., 2019; Gago Galvagno et al., 2021).
Also, it is necessary to highlight that, in all studies, data regarding screen exposure was obtained through parental reports, created or adapted by researchers, as found in previous reviews in this topic (Gago Galvagno et al., 2022; Madigan et al., 2020; Uzundağ et al., 2021), although in specific cases these were completed by teachers or even by the children themselves. In turn, the dependent variable was evaluated through behavioral tasks or psychometric tests. But even in the use of the same type of measures, disparity was found in the way in which the constructs were defined and evaluated, as Nigg (2017) proposed in a theoretical revision about self-regulation. This increased the heterogeneity between studies, making it difficult to analyze moderation effects. Similarly, other studies have found that the lack of variable control leads to inconsistencies in the results (Clifford et al., 2020; Madigan et al., 2020; Tabullo & Gago Galvagno, 2021). It is necessary to highlight that the absence of significant results was observed in three articles with infants under 3 years of age. This could be because during the first years of life the intra and intersubject variance is higher, since there is rapid development in a short period of time (de Grandis et al., 2019; Madigan et al., 2020).
Conclusions
Toddlers are increasingly exposed to electronic media in their daily lives (Picco et al., 2020; Sociedad Argentina de Pediatría, 2020). These findings are consistent with other empirical studies, systematic reviews and meta-analyses where there are prevalence of parent reports and non-experimental designs, and significant negative associations with small effect sizes were found between screen exposure and other cognitive abilities in children (Cerniglia et al., 2021; Gago Galvano et al., 2022; Madigan et al., 2020;Tabullo & Gago Galvagno, 2021; Uzundağ et al., 2021).
Limitations
The inconsistencies in the results of this study may be due to the lack of control of other related variables that could be exerting effects and that require further research, such as the type of content to which infants are exposed, the type of devices and their uses (e.g., general videos, video games, music, interactive applications), the quality of engagement during media use, SES variables, among others (Clifford et al., 2020; Madigan et al., 2020; Tabullo & Gago Galvagno, 2021). Furthermore, in all the included studies, the type of instruments were parental reports (for screen exposure), behavioral tasks and psychometric tests (for self-regulation), and the measured indicator was exposure in terms of hours, which introduces potential bias and underreporting (Yuan et al., 2019). The same goes for measures of self-regulation, where most studies have different ways of operationalization, which can also increase the variation between studies.
Regarding the methodology, none of the reviewed studies used probabilistic sampling. In addition, most of the research was carried out with infants under 36 months and their mothers. Furthermore, there were few longitudinal studies, and another limitation was that the researchers could not control some variables. The statistics that were used were correlations or associations. In that sense, none of these analyses should be considered strictly causal.
Another limitation is that only journal articles were evaluated, excluding publications in other types of formats (books, book chapters, conferences, or others). In addition, articles published in Spanish, English, and Portuguese were reviewed, which introduces a language bias. Additionally, the pooled effect sizes are based on small sample sizes, which may limit statistical power. Finally, although we included all of the studies accumulated to date, most of the studies in this meta-analysis partially predate the massive move to wearable devices.
Future directions
First and foremost, future studies in this subject should contemplate the impact of the COVID-19 pandemic and other crisis and/or emergency situations, as the variables regarding screen exposure and child self-regulation could be sensitive to any social, political, health and economic context.
Also, future studies could include the measurement of variables related to the type of device used, the type of content consumed, and the quality of interactions with the adult during screen exposure. Moreover, device apps that directly measure screen time could be used to prevent biases in usage reporting. The same applies for the variable of self-regulatory skills, which could be measured through direct behavioral measures using similar theoretical frameworks.
Regarding the methodological aspect, it would be necessary to carry out more longitudinal studies with larger probabilistic samples and from different countries. Furthermore, although carrying out experimental designs is more challenging and expensive, for non-experimental studies, multivariate studies or structural equation models could establish predictions about the percentage of variance that can be explained by each variable, the types of associations between them, and the error variances. Studies could also vary regarding the participant that reports results and its relationship with the child (e.g., mother, father, teacher, another adult). Working with these limitations could improve the comparisons between studies, and the obtained results would be more consistent. This would allow identifying the possible moderators that could help to achieve a responsible use of the screens, and to improve child development in regard to these widely and popularly used devices.
References
American Academy of Pediatrics (2020, January 31st). American Academy of Pediatrics announces new recommendations for children’s media use. https://www.pathwaypeds.com/american-academy-of-pediatrics-announces-new-recommendations-for-childrens-media-use/
Baumeister, H., Kraft, R., Baumel, A., Pryss, R., & Messner, E. M. (2019). Persuasive E-health design for behavior change. En H. Baumeister & C. Montag (Eds.), Digital Phenotyping and Mobile Sensing (pp. 261-276). Springer. https://doi.org/10.1007/978-3-030-31620-4_17
Bergmann, C., Dimitrova, N., Alaslani, K., Almohammadi, A., Alroqi, H., Aussems, S., Barokova, M., Davies, C., Gonzalez-Gomez, N., Gibson, S. P., Havron, N., Horowitz-Kraus, T., Kanero, J., Kartushina, N., Keller, C., Mayor, J., Mundry, R., Shinskey, J., & Mani, N. (2022). Young children's screen time during the first COVID-19 lockdown in 12 countries. Scientific reports, 12(1), 2015. https://doi.org/10.1038/s41598-022-05840-5
*Cerniglia, L., Cimino, S., & Ammaniti, M. (2021). What are the effects of screen time on emotion regulation and academic achievements? A three-wave longitudinal study on children from 4 to 8 years of age. Journal of Early Childhood Research, 19(2), 145-160. https://doi.org/10.1177/1476718X20969846
Chassiakos, Y. L. R., Radesky, J., Christakis, D., Moreno, M. A., Cross, C., AAP COUNCIL ON COMMUNICATIONS AND MEDIA, Hill, D., Ameenuddin, N., Hutchinson, J., Levine, A., Boyd, R., Mendelson, R., & Swanson, W. (2016). Childhood and adolescence and digital media. Pediatrics, 138(5), e20162593. https://doi.org/10.1542/peds.2016-2593
*Cho, S. Y., So, H. J., Lim, S. M., Koh, M. S., Song, K. Y., & Moon, J. H. (2018). Smart Device Usage-Related Factors are Correlated with Self-Regulation Ability in Early Childhood. Journal of the Korean Child Neurology Society, 26(3), 135-145. https://doi.org/10.26815/jkcns.2018.26.3.135
*Clifford, S., Doane, L. D., Breitenstein, R., Grimm, K. J., & Lemery-Chalfant, K. (2020). Effortful control moderates the relation between electronic-media use and objective sleep indicators in childhood. Psychological Science, 31(7), 822-834. https://doi.org/10.1177/0956797620919432
*Corkin, M. T., Peterson, E. R., Henderson, A. M., Waldie, K. E., Reese, E., & Morton, S. M. (2021). Preschool screen media exposure, executive functions, and symptoms of inattention/hyperactivity. Journal of Applied Developmental Psychology, 73, 101237. https://doi.org/10.1016/j.appdev.2020.101237
*Coyne, S. M., Shawcroft, J., Gale, M., Gentile, D. A., Etherington, J. T., Holmgren, H., & Stockdale, L. (2021). Tantrums, Toddlers, and Technology: Temperament, Media Emotion Regulation, and Problematic Media Use in Early Childhood. Computers in Human Behavior, 120, 106762. https://doi.org/10.1016/j.chb.2021.106762
Crowell J. A. (2021). Development of Emotion Regulation in Typically Developing Children. Child and Adolescent Psychiatric Clinics of North America, 30(3), 467–474. https://doi.org/10.1016/j.chc.2021.04.001
de Grandis, C., Gago Galvagno, L. G., Clerici, G. D., & Elgier, Á. M. (2019). El desarrollo de la autorregulación en la infancia temprana y sus factores moduladores. Investigaciones en Psicología, 24(1), 68-77. https://www.psi.uba.ar/investigaciones/revistas/investigaciones/indice/trabajos_completos/anio24_1/de_grandis.pdf
*de Lucena Martins, C. M., Bandeira, P. F. R., Lemos, N. B. A. G., Bezerra, T. A., Clark, C. C. T., Mota, J., & Duncan, M. J. (2020). A network perspective on the relationship between screen time, executive function, and fundamental motor skills among preschoolers. International Journal of Environmental Research and Public Health, 17(23), 8861. https://doi.org/10.3390/ijerph17238861
Fisher, K. W., Williamson, H., & Guerra, N. (2020). Technology and Social Inclusion: Technology Training and Use by Youth with IDD in the 2012 National Longitudinal Transition Study. Inclusion, 8(1), 43-57. https://doi.org/10.1352/2326-6988-8.1.43
Frick, M. A., Forslund, T., Fransson, M., Johansson, M., Bohlin, G., & Brocki, K. C. (2017). The role of sustained attention, maternal sensitivity, and infant temperament in the development of early self-regulation. British Journal of Psychology, 109(2), 277–298. https://doi.org/10.1111/bjop.12266
Funder, D. C., & Ozer, D. J. (2019). Evaluating effect size in psychological research: Sense and nonsense. Advances in Methods and Practices in Psychological Science, 2(2), 156-168. https://doi.org/10.1177/2515245919847202
Gagne, J. R., Liew, J., & Nwadinobi, O. K. (2021). How does the broader concept of self-regulation relate to emotion regulation in young children? Developmental Review, 60, 100965. https://doi.org/10.1016/j.dr.2021.100965
Gago Galvagno, L. G., Azzollini, S. C., & Elgier, A. M. (2022). Asociaciones entre la exposición a medios electrónicos y comunicación durante la infancia temprana: Una revisión integrativa. Pensando Psicología, 18(1), 1-23. https://doi.org/10.16925/2382-3984.2022.01.02
*Gago Galvagno, L. G., De Grandis, M. C., Jaume, L. C., & Elgier, A. M. (2020). Home environment and its contribution to the normative capacities of early childhood. Early Childhood Development and Care, 192(5), 710-723. https://doi.org/10.1080/03004430.2020.1796655
Gago Galvagno, L. G., Miller, S. E., De Grandis, C., & Elgier, A. M. (2021). Emergent coherence and communication relationships between executive function tasks in young children: evidence from a Latin American sample. Infancy, 26(6), 962-979. https://doi.org/10.1111/infa.12421
*Gordon-Hacker, A., & Gueron-Sela, N. (2020). Maternal use of media to regulate child distress: A double-edged sword? Longitudinal links to toddlers' negative emotionality. Cyberpsychology, Behavior, and Social Networking, 23(6), 400-405. https://doi.org/10.1089/cyber.2019.0487
*Hu, B. Y., Johnson, G. K., Teo, T., & Wu, Z. (2020). Relationship between screen time and Chinese children’s cognitive and social development. Journal of Research in Childhood Education, 34(2), 183-207. https://doi.org/10.1080/02568543.2019.1702600
Huedo-Medina, T. B., Sánchez-Meca, J., Marin-Martinez, F., & Botella, J. (2006). Assessment of heterogeneity in meta-analysis: Q statistic or I² index? Psychological Methods, 11(2), 193-206. https://doi.org/10.1037/1082-989X.11.2.193
Hunter, A. (2018). Towards a framework for computational persuasion with applications in behavior change. Argument and Computation, 9(1), 15-40. https://doi.org/10.3233/AAC-170032
Instituto Nacional de Estadísticas y Censos (2021). Acceso y uso de tecnologías de la información y la comunicación EPH. Informes Técnicos, Ciencia y Tecnología. https://www.indec.gob.ar/uploads/informesdeprensa/mautic_05_22843D61C141.pdf
* Lin, H. P., Chen, K. L., Chou, W., Yuan, K. S., Yen, S. Y., Chen, Y. S., & Chow, J. C. (2020). Prolonged touch screen device usage is associated with emotional and behavioral problems, but not language delay, in toddlers. Infant Behavior & Development, 58, 101424. https://doi.org/10.1016/j.infbeh.2020.101424
Lin, B., Liew, J., & Pérez, M. (2019). Measurement of self-regulation in early childhood: relationships between laboratory and performance-based measures of effortful control and executive functioning. Early Childhood Research Quarterly, 47, 1-8. https://doi.org/10.1016/j.ecresq.2018.10.004
*López-Gil, J. F., Oriol-Granado, X., Izquierdo, M., Ramírez-Vélez, R., Fernández-Vergara, O., Olloquequi, J., & García-Hermoso, A. (2020). Healthy lifestyle behaviors and their association with self-regulation in Chilean children. International Journal of Environmental Research and Public Health, 17(16), 5676. https://doi.org/10.3390/ijerph17165676
*Lui, K, Hendry, A., Fiske, A., Dvergsdal, H., & Holmboe, K. (2021). Associations between touchscreen exposure and hot and cool inhibitory control in 10-month-old infants. Infant Behavior and Development, 65, 101649. https://doi.org/10.1016/j.infbeh.2021.101649
Mackinnon, K., & Shade, L. R. (2020). God only knows what it's doing to our children's brains: A closer look at the Internet addiction discourse. Jeunesse: Young People, Texts, Cultures, 12(1), 16-38. https://doi.org/10.1353/jeu.2020.0003
Madigan, S., McArthur, B. A., Anhorn, C., Eirich, R., & Christakis, D. A. (2020). Associations between screen use and children's language skills: a systematic review and meta-analysis. JAMA Pediatrics, 174(7), 665-675. https://jamanetwork.com/journals/jamapediatrics/fullarticle/2762864
Matthews, J., Win, K. T., Oinas-Kukkonen, H., & Freeman, M. (2016). Persuasive technology in mobile applications that promote physical activity: a systematic review. Journal of Medical Systems, 40, 72. https://doi.org/10.1007/s10916-015-0425-x
*McHarg, G., Ribner, A. D., Devine, R. T., & Hughes, C. (2020). Screen time and executive function in toddlerhood: A longitudinal study. Frontiers in Psychology, 11, 570392. https://doi.org/10.3389/fpsyg.2020.570392
Melamud, A., & Waisman, I. (2019). Pantallas: discordancias entre las recomendaciones y el uso real. Archivos Argentinos de Pediatría, 117(5), 349-351. http://dx.doi.org/10.5546/aap.2019.349
Miller, S. E., & Marcovitch, S. (2015). Examining executive function in the second year of life: coherence, stability, and relationships to joint attention and language. Developmental Psychology, 51(1), 101-114. https://doi.org/10.1037/a0038359
Miyake, A., Friedman, N. P., Emerson, M. J., Witzki, A. H., Howerter, A., & Wager, T. D. (2000). The unity and diversity of executive functions and their contributions to complex "Frontal Lobe" tasks: a latent variable analysis. Cognitive Psychology, 41(1), 49–100. https://doi.org/10.1006/cogp.1999.0734
Neuman, S. B. (1995). Literacy in the Television Age: The Myth of the TV Effect. Ablex.
Nigg, J. T. (2017). Annual Research Review: On the relationships between self-regulation, self-control, executive functioning, effortful control, cognitive control, impulsivity, risk-taking, and inhibition of developmental psychopathology. Journal of Child Psychology and Psychiatry, 58(4), 361-383. https://doi.org/10.1111/jcpp.12675
Parums, D. V. (2021). Review Articles, Systematic Reviews, Meta-Analyses, and the Preferred Reporting Articles for Systematic Reviews and Meta-Analyses (PRISMA) 2020 Guidelines. Medical Science Monitor: International Medical Journal of Experimental and Clinical Research, 27, e934475-1. https://doi.org/10.12659/MSM.934475
Picco, J., González Dávila, E., Wolff, S., Gómez, V., & Wolff, D. (2020). Aspectos psicosociales de la pandemia COVID-19 en la población de la ciudad de Mendoza. Revista Argentina de Cardiología, 88(3), 207-210. https://dialnet.unirioja.es/servlet/articulo?codigo=7525369
Posner, M. I., & Rothbart, M. K. (2007). Research on attention networks as a model for the integration of psychological science. Annual Review of Psychology, 58, 1-23. https://doi.org/10.1146/annurev.psych.58.110405.085516
Radesky, J. S. & Christakis, D. A. (2016). Increased screen time: Implications for early childhood development and behavior. Pediatric Clinics of North America, 63(5), 827-839. https://doi.org/10.1016/j.pcl.2016.06.006
Radesky, J. S., Silverstein, M., Zuckerman, B., & Christakis, D. A. (2014). Infant self-regulation and early childhood media exposure. Pediatrics, 133(5), e1172-e1178. https://doi.org/10.1542/peds.2013-2367
Rideout, V., & Robb, M. B. (2020). The Common Sense census: Media use by kids age zero to eight, 2020. Common Sense Media. https://www.commonsensemedia.org/sites/default/files/research/report/2020_zero_to_eight_census_final_web.pdf
*Rosenqvist, J., Lahti-Nuuttila, P., Holdnack, J., Kemp, S. L., & Laasonen, M. (2016). Relationship of TV watching, computer use, and reading to children's neurocognitive functions. Journal of Applied Developmental Psychology, 46, 11-21. https://doi.org/10.1016/j.appdev.2016.04.006
Rothbart, M. K., Posner, M. I., & Boylan, A. (1990). Regulatory mechanisms in infant development. En J. Enss (Ed.), The Development of Attention: Research and Theory (pp. 139-160). Elsevier. https://doi.org/10.1016/S0166-4115(08)60450-1
Seguin, D., Kuenzel, E., Morton, J. B., & Duerden, E. G. (2021). School's out: Parenting stress and screen time use in school-age children during the COVID-19 pandemic. Journal of Affective Disorders Reports, 6, 100217. https://doi.org/10.1016/j.jadr.2021.100217
*Shin, E., Choi, K., Resor, J., & Smith, C. L. (2021). Why do parents use screen media with toddlers? The role of child temperament and parenting stress in early screen use. Infant Behavior and Development, 64, 101595. https://doi.org/10.1016/j.infbeh.2021.101595
Simaes, A. C., Gago Galvagno, L. G., Serodio, M., Morales, L., Ducasse, A., Benitez, G., Opazio, A., & Caccia, P. (2022). Asociaciones entre atención conjunta y estimulación en el hogar en contexto de COVID. Psicodebate, 22(1), 7-23. https://doi.org/10.18682/pd.v22i1.4438
Sociedad Argentina de Pediatría (2020). Uso de pantallas en tiempos del coronavirus. Archivos Argentinos de Pediatría, Suplemento COVID, c142-c144. https://www.sap.org.ar/docs/publicaciones/archivosarg/2020/SuplCOVIDa28.pdf
Sociedade Brasileira de Pediatria. (2016). Saúde de Crianças e Adolescentes na Era Digital. Manual de Orientação. Departamento de Adolescência. https://nutritotal.com.br/pro/wp-content/uploads/2019/03/Manual_orienta%C3%A7%C3%B5es_era_digital.pdf
Sullivan, L. S., & Reiner, P. (2019). Digital Wellbeing and Persuasive Technologies. Philosophy & Technology, 3, 413-424. https://doi.org/10.1007/s13347-019-00376-5
Supanitayanon, S., Trairatvorakul, P., & Chonchaiya, W. (2020). Exposure to screen media in the first 2 years of life and preschool cognitive development: a longitudinal study. Pediatric Research, 88, 894-902. https://doi.org/10.1038/s41390-020-0831-8
Susilowati, I. H., Nugraha, S., Alimoeso, S., & Hasiholan, B. P. (2021). Screen time for preschool children: Learning from Home during the COVID-19 pandemic. Global Pediatric Health, 8, 1–6. https://doi.org/10.1177/2333794X211017836
Tabullo, A., & Gago Galvagno, L. G. (2021). Early vocabulary size in Argentinean toddlers: associations with home literacy and screen media exposure. Journal of Children and Media, 16(3), 352-367. https://doi.org/10.1080/17482798.2021.1982742
Tamana, S. K., Ezeugwu, V., Chikuma, J., Lefebvre, D. L., Azad, M. B., Moraes, T. J., Subbarao, P., Becker, A. B., Turvey, S. E., Sears, M. R., Dick, B. D., Carson, V., Rasmussen, C., CHILD study Investigators, Pei, J., & Mandhane, P. J. (2019). Screen-time is associated with inattention problems in preschoolers: Results from the CHILD birth cohort study. PloS one, 14(4), e0213995. https://doi.org/10.1371/journal.pone.0213995
Uzundağ, B. A., Altundal, M. N., & Keşşafoğlu, D. (2021, November 3). Screen media exposure in early childhood and its relationship to children's self-regulation: A systematic review. TMS Proceedings 2021. https:/doi.org/10.1037/tms0000108
Vink, M., Gladwin, T. E., Geeraerts, S., Pas, P., Bos, D., Hofstee, M., Durston, S., & Vollebergh, W. (2020). Towards an integrated account of the development of self-regulation from a neurocognitive perspective: A framework for current and future longitudinal multi-modal investigations. Developmental Cognitive Neuroscience, 45, 100829. https://doi.org/10.1016/j.dcn.2020.100829
Von Hippel, P. T. (2015). The I2 heterogeneity statistic may be biased in small meta-analyses. BMC Medical Research Methodology, 15, 35. https://doi.org/10.1186/s12874-015-0024-z
Yuan, N., Weeks, H. M., Ball, R., Newman, M. W., Chang, Y. & Radesky, J. S. (2019). How much do parents actually use their smartphones? Pilot study comparing self-report to passive sensing. Pediatric Research, 86(4), 416-418. https://doi.org/10.1038/s41390-019-0452-2
Notas de autor
Enviar correspondencia a: Gago-Galvano, L. G.: lucas.gagogalvagno@uai.edu.ar
Información adicional
Citar este artículo como: Lee, F. et al. (2024). Associations between screen exposure and children self-regulation: A systematic review and meta-analysis. Revista Argentina de Ciencias del Comportamiento, 16(2), 1-13.
Información adicional
redalyc-journal-id: 3334
Enlace alternativo
https://revistas.unc.edu.ar/index.php/racc/article/view/38309/44919 (pdf)