
Recepção: 01 Outubro 2012
Aprovação: 28 Março 2014
DOI: https://doi.org/https://dx.doi.org/10.12802/relime.13.1721
Resumo: Este artigo apresenta uma pesquisa com o conteúdo de Geometria Analítica e a teoria sobre os Registros de Representação Semiótica, utilizando o Sistema Integrado de Ensino e Aprendizagem (SIENA). Visa investigar as dificuldades de alunos na conversão dos registros em Geometria Analítica (Reta e Circunferência) e as possíveis contribuições do SIENA para a identificação dessas dificuldades e na recuperação individualizada desses conteúdos. Adotou-se a metodologia qualitativa, com ênfase no método de estudo de caso. A experiência abrangeu dez alunos do curso de Licenciatura em Matemática, da Universidade Luterana do Brasil/Canoas. Os resultados apontam que os acadêmicos apresentam dificuldades nas conversões entre os registros língua natural, algébrico e gráfico. Após os estudos de recuperação no SIENA, os alunos apresentaram melhor rendimento nos testes.
Palavras-chave: Registros de representação semiótica, geometria analítica, ensino e aprendizagem, tecnologias de informação e comunicaçã.
Resumen: Este artículo presenta una investigación sobre el contenido de la Geometría Analítica y la teoría sobre los Registros de Representación Semiótica, utilizando el Sistema Integrado de identificación de estas dificultades y en la recuperación individualizada de dichos contenidos. Se adoptó una metodología cualitativa, con énfasis en el método de estudio de caso. La experiencia se realizó con diez alumnos de la Licenciatura en Matemáticas de la Universidad Luterana de Brasil, Canoas. Los resultados indican que los alumnos presentan dificultades en las conversiones entre los registros del lenguaje natural, algebraico y gráfico. Después de los trabajos realizados en recuperación con SIENA, los estudiantes mostraron un mejor desempeño en las pruebas.
Palabras clave: Registros de representación semiótica, geometría analítica, enseñanza y aprendizaje, tecnologías de la información y las comunicaciones.
Abstract: This qualitative case study presents the investigation on Analytical Geometry as a teaching content and the Teaching and Learning Integrated System (SIENA). The aim was to assess the difficulties felt by students in the conversion of registers in Analytical Geometry (straight line and circumference) and the likely contributions SIENA may offer to the identification of such difficulties and the recovery of these contents at an individual’s level. The experiment included ten students of the Bachelor’s Degree in Mathematics, Lutheran University of Brazil, Canoas. The results indicate that the students felt difficulty to convert the registers language natural, algebraic and graphic, as well as in visualization, interpretation and abstraction. After recovery studies in SIENA the students presented a better performance in tests.
Keywords: Semiotic representation registers, analytical geometry, teaching and learning, information and communication technologies.
Résumé: Cet article présente une recherche sur le contenu de Géométrie Analytique et la théorie sur les Régistres de Représentation Sémiothique, en utilisent le Système Intégré d´Enseignement et Apprentissage (SIENA). L´étude a eu l´objectif de vérifier les difficultés des élèves dans la conversion des régistres en Géométrie Analytique (Droite et Circonférence) et les contributions possibles du SIENA pour l´identification de ces difficultés et pour la récuperation individualisée de ces contenus. On a adopté la méthodologie qualitative, avec emphase dans la méthode d´étude de cas. L´expérience a compris dix élèves du Cours de Formation de Professeurs en Mathématique, à l´Universidade Luterana do Brasil/Canoas. Les resultats indiquent que les élèves présentent des difficultés dans les convertions entre les registres de langue naturelle, algébrique et graphique. Après les études de récuperations dans le SIENA, ils ont présenté des tests avec un meilleur résultat.
Mots clés: Régistres de représentation sémiotique, géométrie analytique, enseignement et apprentissage, technologies de l´information et de la communication.
1. INTRODUÇÃO
Esta pesquisa faz parte do convênio de pesquisa firmado em 2005 entre o grupo de Tecnologias Educativas da Universidade de La Laguna (ULL), em Tenerife, Espanha, e o grupo de Estudos Curriculares de Educação Matemática (GECEM), da Universidade Luterana do Brasil (ULBRA). A pesquisa que está sendo realizada por esses grupos tem como título “Inovando o Currículo de Matemática através da Incorporação das Novas Tecnologias”. Um dos resultados é o desenvolvimento do Sistema Integrado de Ensino e Aprendizagem (SIENA), um sistema inteligente para apoiar o desenvolvimento do processo de ensino e aprendizagem, permitindo estudo, avaliação e estudos de recuperação de um conteúdo qualquer.
A pesquisa fundamenta-se na teoria de Duval sobre os Registros de Representação Semiótica, com o conteúdo de Geometria Analítica, utilizando, para sua implementação, o sistema inteligente SIENA. Segundo Duval (2004), muitos alunos apresentam dificuldades na compreensão da Matemática, sendo necessária uma abordagem cognitiva dos temas tratados, procurando descrever
o funcionamento cognitivo que leva o aluno a compreender e efetuar os diferentes processos matemáticos propostos nessa disciplina.
Assim, o autor entende que as atividades cognitivas que requerem esses processos matemáticos estão ligadas à utilização de uma variedade de representações semióticas. Segundo Damm (2002), em diversas pesquisas sobre Educação Matemática, constatou-se que os alunos apresentam dificuldades para efetuar a conversão entre os diferentes registros de representação de um objeto matemático.
No ensino e aprendizagem de Geometria Analítica, de acordo com Silva (2006), constata-se que muitos alunos apresentam dificuldades ao lidarem com as diversas representações gráficas e algébricas de curvas planas. Duval (apud Silva 2006) afirma que a razão dessas dificuldades está no fato do aluno desconhecer a correspondência semiótica entre o registro das representações gráficas e a escrita algébrica. As Orientações Curriculares Nacionais para o Ensino Médio (Brasil, 2006) afirmam que a Geometria Analítica possibilita a articulação entre a geometria e a álgebra, devendo o professor trabalhar o entendimento de figuras geométricas, por meio de equações, e o entendimento de equações por meio de figuras geométricas, abandonando a apresentação de equações sem explicações fundadas no raciocínio lógico, evitando a memorização excessiva de fórmulas. Evidencia-se, assim, a necessidade da utilização de diferentes Registros de Representação Semiótica (gráfico e algébrico) e do desenvolvimento de um trabalho didático que promova a articulação e a conversão entre esses registros.
A preocupação com tais dificuldades, associada à formação de professores de Matemática e à relevância da teoria dos Registros de Representação Semiótica, levou ao interesse por desenvolver a referida pesquisa, com o objetivo de investigar quais são as dificuldades que alunos de Licenciatura em Matemática apresentam em relação à conversão entre os Registros de Representação Semiótica na Geometria Analítica, nos conteúdos de Reta e Circunferência, bem como as contribuições do sistema inteligente SIENA para a identificação das dificuldades individuais e recuperação dos conceitos nos quais eles apresentaram deficiências.
2. SISTEMA INFORMÁTICO SIENA
O SIENA é um sistema inteligente para apoio ao desenvolvimento do processo de ensino e aprendizagem de um conteúdo qualquer, fundamentado em uma aprendizagem significativa, utilizando o ensino eletrônico como recurso pedagógico (Ruiz et al., 2007; Murlick & Groenwald, 2009).
Esse sistema foi desenvolvido através de uma variação dos tradicionais mapas conceituais (Novak & Gowin, 1988), sendo o mapa conceitual utilizado para o SIENA denominado Grafo Instrucional Conceitual Pedagógico - PCIG (Pedagogical Concept Instructional Graph), que permite a planificação do ensino e da aprendizagem de um tema específico. O PCIG não ordena os conceitos segundo relações arbitrárias, colocando-os de acordo com a ordem lógica em que devem ser apresentados ao aluno. Portanto, o PCIG deve ser desenvolvido segundo relações do tipo “o conceito A deve ser ensinado antes do conceito B”, começando pelos nodos (conceitos no grafo) dos conceitos prévios, seguindo para os fundamentais, até atingir os nodos objetivos.
O PCIG está ligado a um teste adaptativo que gera o mapa individualizado das dificuldades do estudante. Cada nodo do PCIG contém uma sequência didática para cada conceito avaliado no teste, conforme a figura 1.

Um teste adaptativo informatizado é administrado pelo computador, que procura ajustar as questões ao nível de habilidade de cada examinando. Segundo Costa (2009), esse teste adaptativo procura encontrar um teste ótimo para cada estudante. Para isso, a proficiência do indivíduo é estimada interativamente durante a administração do mesmo. Assim, são selecionados apenas os itens que mensurem eficientemente a proficiência do aluno. Esse teste adaptativo tem por finalidade administrar questões de um banco de questões previamente calibradas, que correspondam ao nível de capacidade do examinando. Como cada questão apresentada a um indivíduo é adequada à sua habilidade, nenhuma delas é irrelevante (Sands & Waters, 1997). Ao contrário dos testes com papel e caneta, cada estudante recebe um teste com questões diferentes e tamanhos variados, produzindo uma medição mais precisa da proficiência e com uma redução do tamanho do teste em torno de 50% (Wainer, 2000).
No SIENA o teste adaptativo é realizado em cada nodo do PCIG, devendo ser cadastradas perguntas que irão compor o banco de questões do mesmo, com o objetivo de avaliar o grau de conhecimento que o aluno possui de cada conceito. As perguntas são de múltipla escolha, classificadas em “fáceis”, “médias” e “difíceis”, sendo necessário definir, para cada pergunta: o grau de sua relação com o conceito; o grau de dificuldade; a resposta verdadeira; a possibilidade de responder à pergunta considerando, exclusivamente, sorte ou azar; a estimativa do conhecimento prévio que o aluno tem sobre esse conceito; o tempo de resposta (em segundos) para o aluno responder à pergunta. O teste adaptativo estima o grau de conhecimento do aluno para cada conceito, de acordo com as respostas do estudante. Para isso, ele vai lançando perguntas aleatórias ao aluno, com um nível de dificuldade de acordo com as respostas do mesmo. Se o aluno responde corretamente, o sistema vai aumentando o grau de dificuldade das perguntas e, ao contrário, se a partir de um determinado momento ele não responder corretamente, o sistema diminui o nível de dificuldade da pergunta seguinte.
A ferramenta informática parte dos conceitos prévios, definidos no PCIG, e começa a avaliá-los progredindo sempre que o aluno consegue uma nota superior à estipulada pelo professor, no teste. Quando um conceito não é superado, o sistema não prossegue avaliando por esse ramo de conceitos do PCIG, pois se entende que ele é necessário para a compreensão do próximo ramo, abrindo para o estudante a possibilidade de realizar a sua recuperação. É importante dizer que o sistema poderá prosseguir por outras ramificações do PCIG.
O desempenho do aluno é calculado a partir da fórmula donde D é a dificuldade da pergunta, L é o nível de adivinhação da pergunta e P é a nota da pergunta anterior. O sistema dispõe de um mecanismo de parada, quando já não pode obter uma maior estimativa sobre o grau de conhecimento de um conceito, ou quando não existam mais perguntas no banco de questões.
O sistema mostrará através dos seus dois bancos de dados, quantos testes o aluno realizou no nodo, a data em que o aluno realizou os testes, e se o teste foi considerado verdadeiro ou falso pelo sistema. Ou seja, caso o aluno tenha encerrado o teste e não o sistema, impossibilitando-o de fazer uma estimativa fidedigna sobre o grau de conhecimento desse aluno em relação ao conceito abordado no nodo em que realizou o teste, o SIENA considera esse teste falso. O sistema mostrará também que perguntas foram realizadas, quais foram respondidas corretamente e qual a estimativa sobre o grau de conhecimento de cada conceito. As figuras 2 e 3 apresentam um exemplo desses bancos de dados.


O sistema possui duas opções de uso. A primeira serve para o aluno estudar os conteúdos dos nodos do PCIG e realizar o teste, verificando quais são seus conhecimentos sobre determinados conteúdos; a segunda opção oportuniza ao aluno realizar o teste e estudar os conceitos nos quais apresentou dificuldades, sendo possível uma recuperação individualizada dos conteúdos nos quais não conseguiu superar a média estipulada como necessária para avançar. Todos os nodos do PCIG estão ligados a uma sequência didática que possibilita ao aluno estudar os conceitos ou realizar a recuperação dos nodos em que apresenta dificuldades.
3. OS REGISTROS DE REPRESENTAÇÃO SEMIÓTICA
Na teoria de Raymond Duval (2004) sobre Registros de Representações Semióticas, as representações semióticas são definidas por ele como “produções constituídas pelo emprego de signos pertencentes a um sistema de representação, os quais têm suas dificuldades próprias de significado e de funcionamento” (Duval, 1993 apud Damm, 2002, p.143). De acordo com Machado (2003), esta teoria tem servido de base para pesquisas concernentes à aquisição de conhecimentos matemáticos e à organização de situações de aprendizagem desses conhecimentos.
De acordo com Duval (2004, p. 43), “a formação de uma representação semiótica é o recurso a um signo para atualizar a visão de um objeto ou substituir a visão desse objeto”. D’Amore (2005) complementa, afirmando que o conhecimento é a intervenção e a utilização dos signos. Assim, para ele, na aprendizagem da Matemática, os alunos são introduzidos em um mundo novo, conceitual e simbólico, sobretudo representativo.
Para Duval (2003, p. 13), “é suficiente observar a história do desenvolvimento da Matemática para ver que o desenvolvimento das representações semióticas foi uma condição essencial para a evolução do pensamento matemático.”
Porém, compreender e apreender conceitos matemáticos não tem sido tarefa fácil para a maioria dos alunos, pois eles, segundo Duval (2003), têm apresentado dificuldades, muitas vezes insuperáveis na busca pelo saber matemático. Diante de um mundo globalizado e, ainda, de acordo com o autor, com a recente exigência de uma maior formação Matemática inicial para todos os alunos, questões sobre como compreender essas dificuldades dos alunos, qual a sua natureza e onde elas se encontram passaram a ter uma maior importância, com o objetivo de prepará-los para enfrentar um mundo cada vez mais informatizado e tecnológico e cada vez mais complexo, como o que se está vivendo.
Na busca por respostas a essas questões, Duval (2003) diz que não se pode restringir ao campo matemático ou à sua história; é preciso uma abordagem cognitiva, já que o ensino de Matemática, em formação inicial, tem o objetivo não de formar futuros matemáticos, nem de ensinar aos alunos instrumentos que mais tarde lhes possam ser úteis, mas sim de contribuir para o desenvolvimento geral de suas capacidades de raciocínio, análise e visualização. O autor entende que a aprendizagem da Matemática constitui uma área de estudo privilegiado para as análises de atividades cognitivas fundamentais para o desenvolvimento cognitivo do aluno, como a conceitualização, o raciocínio, a resolução de problemas e a compreensão de textos, sendo que estas atividades cognitivas requerem a utilização de sistemas de representação diferentes aos da linguagem natural ou às imagens.
Os objetos matemáticos, segundo Duval (2003), a começar pelos números, “não são objetos diretamente perceptíveis ou observáveis com a ajuda de instrumentos. O acesso aos números está ligado à utilização de um sistema de representação que os permite designar.” Em palavras semelhantes, Damm (2002) salienta que a Matemática trabalha com objetos abstratos. Ou seja, não são diretamente perceptíveis ou observáveis, necessitando, para sua apreensão o uso de representações através de símbolos, signos, códigos, tabelas, gráficos, algoritmos e desenhos, pois permitem a comunicação entre os sujeitos e as atividades cognitivas do pensamento matemático.
No entanto, a autora salienta que para a compreensão da disciplina é fundamental que o aluno faça a distinção entre o objeto matemático e sua representação. Nesse sentido, em relação à Geometria Analítica, conteúdo ao qual se refere esta pesquisa e o uso dos Registros de Representação Semiótica, Silva (2006) verifica dificuldades dos alunos para compreender a diferença entre o objeto matemático e sua representação na aprendizagem Matemática.
É muito importante para a aquisição do conhecimento matemático que esta distinção seja estabelecida, e neste sentido, a teoria das representações semióticas auxilia de maneira decisiva, em particular, no que se refere às diversas representações de pontos, retas e curvas no plano (Silva, 2006, p. 24).
Sobre a aquisição conceitual de um objeto matemático D’Amore (2005), referindo-se a Duval (1993), afirma que ela se baseia em duas características fortes. A primeira está no fato de o uso de diversos Registros de Representação Semiótica ser típico do pensamento humano, e a segunda, no fato da criação e o desenvolvimento de novos sistemas semióticos serem marcos históricos de progresso do conhecimento.
Para D’Amore (2005), essas características revelam a estreita interdependência entre noesis (aquisição conceitual de um objeto) e semiosis (representação realizada por meio de signos) e como se passa de uma para outra.
Assim, para o autor, “não apenas não existe noesis sem semiosis, mas a semiosis é assumida como sendo uma característica necessária para garantir o primeiro passo na direção da noesis” (D’Amore, 2005, p.60).
Especificamente na Matemática, Duval (2004) afirma que ela permite uma grande variedade de representações: sistemas de numeração, figuras geométricas, escritas algébricas e formais, representações gráficas e língua natural. Assim, conforme Duval (2003, p.14), “a originalidade da atividade matemática está na mobilização simultânea de, ao menos, dois registros de representação ao mesmo tempo, ou na possibilidade de trocar, a todo momento, de registro de representação.” Em palavras semelhantes, Damm (2002) menciona que é somente através da coordenação de vários registros de representação, pelo indivíduo que apreende, que será possível a apreensão conceitual dos objetos matemáticos.
Entretanto, D’Amore (2005) pontua que, quando Duval refere-se a Registro de Representação Semiótica, ele faz referência a um sistema de signos que permite cumprir as funções de comunicação, tratamento e objetivação, como por exemplo, a numeração binária ou a decimal. Porém, não faz referência às notações convencionais, às quais não constituem um sistema, como por exemplo, as letras ou os símbolos utilizados para indicar as operações algébricas.
Segundo Duval (2003), existem quatro tipos muito diferentes de Registros de Representações Semióticas, conforme apresentadas na figura 4.

Assim, de acordo com Duval (2003), percebe-se que os registros monofuncionais são os que possuem algoritmos próprios em sua estrutura, e os multifuncionais são aqueles nos quais os tratamentos não são algoritmizáveis; têm como representação discursiva a língua natural, ou seja, se manifestam por meio de associações verbais entre conceitos, pelas formas de raciocínio argumentativo, as quais se baseiam em observações, crenças, entre outros; e dedutivo, que se baseiam em definições, propriedades, teoremas, etc. Eles se apresentam, também, na forma não-discursiva, como as figuras geométricas planas e espaciais. Como registros monofuncionais na representação discursiva, têm-se os sistemas de escritas numéricas, algébricas e simbólicas, bem como o cálculo. Na representação não-discursiva, encontram-se os gráficos cartesianos com as mudanças de sistemas de coordenadas, interpolação, extrapolação.
Duval (2004) estabelece três atividades cognitivas inerentes a semiosis. Ou seja, para que um sistema semiótico seja um registro de representação, é necessária a formação de representações em um registro semiótico particular e as duas transformações de representações semióticas, uma denominada tratamento e a outra, conversão, às quais correspondem a atividades cognitivas diferentes.
Essas três atividades cognitivas estão reagrupadas no que se chamam ‘tarefas de produção’ e ‘tarefas de compreensão’. Para Duval (2004), a produção de uma resposta, seja um texto ou esquema, mobiliza simultaneamente a formação de representações semióticas e seu tratamento, enquanto a compreensão de algo, como um texto ou imagem, mobiliza as atividades de conversão e de formação, ou ainda as três atividades cognitivas. Ele menciona também que há regras de funcionamento próprias a cada uma dessas atividades, as quais dependem dos sistemas semióticos e são independentes das restrições que a comunicação pode impor à produção ou à compreensão das representações semióticas.
A formação da representação de um registro está atrelada ao que Duval (2004) chama de regras de conformidade, definidas por ele como sendo “aquelas que definem um sistema de representação e, em consequência, os tipos de unidades constituídas de todas as representações possíveis em um registro” (Duval, 2004, p. 43). Assim, ele continua afirmando que essas regras permitem
o reconhecimento das representações, como em um registro determinado, e que a formação das representações semióticas implica, então, “a seleção de um certo número de caracteres de um conteúdo percebido, imaginado ou já representado em função das possibilidades de representação próprias ao registro determinado” (Duval, 2004, p. 44).
Para melhor entender a ideia apresentada por Duval, pode-se comparar a formação de uma representação, segundo Damm (2002), à realização de uma tarefa de descrição. Ou seja, os Registros de Representação Semiótica precisam ser identificáveis, seja por meio de um texto em língua natural, de uma figura geométrica, de um gráfico, entre outros, respeitando regras inerentes a cada sistema de registros.
Com relação ao tratamento, Duval (2004) estabelece que é a transformação de uma representação inicial em outra representação terminal, respectiva a uma questão, a um problema. Ou seja, é a transformação de uma representação dentro de um mesmo registro. Por exemplo, “efetuar um cálculo ficando estritamente no mesmo sistema de escrita ou de representação dos números; resolver uma equação ou um sistema da equações; completar uma figura segundo critérios de conexidade e de simetria” (DUVAL, 2003, p. 16).
De acordo com Damm (2002), existem regras de tratamento próprias a cada registro, variando sua natureza e número de um registro a outro, como, por exemplo, quando se trabalha com as quatro operações com os números naturais no registro algorítmo, o tratamento utilizado requer a compreensão de regras do sistema posicional e da base dez. Sem essa compreensão, a utilização desse tratamento não é significativa para a aprendizagem.
O que acontece na aprendizagem de Matemática é que os registros de representação utilizados possuem graus de dificuldade diferentes e esse é um dos problemas que, segundo Damm (2002), o professor precisa enfrentar no momento de ensinar, sem esquecer que trabalha com o mesmo objeto matemático: “porém o registro de representação utilizado exige tratamento muito diferente, que precisa ser entendido, construído e estabelecidas relações para o seu uso" (Damm, 2002, p. 146)
Já a conversão, para Duval (2004), é a transformação externa relativa ao registro da representação de partida. Isto é, consiste em mudar de registro, conservando os mesmos objetos matemáticos, como, por exemplo, passar da escrita algébrica de uma equação à sua representação gráfica ou de uma representação linguística a uma figural.
Damm (2002) considera a conversão um passo fundamental no trabalho com as representações semióticas e não pode ser confundida com o tratamento.
O tratamento estabelece internamente ao registro, já a conversão se dá entre os registros, ou seja, é exterior ao registro de partida (Damm, 2002, p.147).
No processo de ensino e aprendizagem de Matemática, deve-se levar em conta não só a formação de representações e os tratamentos, como também, a conversão entre os diferentes registros de representação de um mesmo objeto matemático, e isso, de acordo com Damm (2002), estabelece um problema no ensino dessa disciplina, pois somente são levadas em consideração as duas primeiras atividades cognitivas, e ainda, segundo Duval (2004), principalmente para o registro em língua natural, para os registros numéricos e para os registros de escrita simbólica, enquanto que o que garante a apreensão do objeto matemático e a conceitualização, é a coordenação, pelo aluno, entre os vários registros de representação.
Duval (2003) complementa que é preciso levar em conta a natureza de cada registro, pois além de existir maior dificuldade em relação à tratamentos que envolvem registros plurifuncionais, o mesmo pode ocorrer em atividades de conversão, a qual pode ser mais complexa se houver necessidade ou não de passagens entre registro monofuncional e registro plurifuncional (passar da representação gráfica para a representação em língua natural, por exemplo).
Em relação à conversão entre gráficos e equações Duval (2003), pontua que:
Supõe que se consiga levar em conta, de um lado, as variáveis visuais próprias dos gráficos (inclinação, intersecção com os eixos, etc.) e, de outro, os valores escalares das equações (coeficientes positivos ou negativos, maior, menor ou igual 1, etc.) (Duval, 2003, p. 17).
De acordo com Duval (apud Moretti, 2003), as representações gráficas possuem três tipos distintos de procedimientos: 1) o procedimento por pontos; 2) o procedimento de extensão de um traçado efetuado e 3) o procedimento de interpretação global das propriedades figurais. Em relação aos dois primeiros procedimentos, Moretti (2003) afirma que o procedimento 1, no qual pontos obtidos por substituição na expressão da função são localizados em um sistema de eixos graduados, para que em seguida a curva possa ser traçada por meio da junção desses pontos, é o que mais aparece nos livros didáticos. Para o autor, dessa forma não há ligação entre o gráfico e a expressão algébrica da função correspondente.
Diversos problemas podem surgir dessa forma de proceder, pelo fato de que se há congruência semântica entre um par ordenado e sua representação cartesiana, o mesmo não se pode dizer de um conjunto de pontos no plano cartesiano e uma regra matemática a ele equivalente (Moretti, 2003, p.151).
No procedimento 3, o conjunto traçado/eixo, como comenta Moretti (2003, p. 151) “forma uma imagem que representa um objeto descrito por uma expressão algébrica. Esse modo permite que se identifiquem as modificações possíveis conjuntamente na imagem e na expressão algébrica.”
Duval (2003) acredita que, para uma apreensão global das propriedades inerentes às representações gráfica e algébrica de uma curva, não basta que a conversão seja trabalhada em único sentido - e isso também é fato em conversões realizadas com quaisquer dos dois registros de representação de um objeto matemático. Mas é necessário inverter o sentido da conversão, pois ao fazê-lo, permite-se ao aluno a possibilidade de analisar propriedades onde a conversão em apenas um sentido não são valorizadas ou perceptíveis.
Nesse contexto, Duval (2003) estabelece dois tipos de fenômenos característicos das conversões de representações: as variações de congruência e não-congruência, e a heterogeneidade dos dois sentidos de conversão. Segundo o autor, para analisar uma atividade de conversão, basta comparar a representação no registro de partida com a conversão no registro de chegada. Porém, duas situações podem ocorrer: ou a representação terminal transparece na representação de saída e a conversão se aproxima a uma situação de simples codificação – e diz-se que há congruência –, ou então, ela não transparece absolutamente e se dirá que ocorre a não-congruência. Na não-congruência, Duval (2004) afirma que não só o aumento do tempo de tratamento, como também a conversão, pode resultar impossível de ser efetuado, ou inclusive de compreender, sem que haja um conhecimento prévio específico da formação e tratamento da representação, próprias de cada registro envolvido.
O outro fenômeno característico da conversão de representações é o sentido da conversão. Para Duval (2003), nem sempre a conversão é efetuada quando o registro de partida e chegada são ivertidos. Ou seja, um aluno pode realizar a conversão entre dois registros em um sentido, porém, se tomado o registro de chegada, o aluno pode não voltar ao registro de partida, não efetuando assim, a conversão no sentido inverso.
Duval (2004) afirma que “uma aprendizagem especificamente centrada na troca e na coordenação dos diferentes registros de representação (conversão de registros), produz efeitos espetaculares sobre as tarefas de produção e compreensão” (Duval, 2004, p. 49), do contrário, a ausência de coordenação entre os diferentes registros representa um obstáculo para a aprendizagem conceitual. O autor acentua que organizar situações de aprendizagem centradas na coordenação de registros requer uma identificação prévia das variações cognitivamente pertinentes de uma representação em um registro, de maneira que possa ser realizada pelos alunos uma exploração segundo o método de fazer variar somente um fator de cada vez, deixando os outros sem troca, em uma representação. Ele recomenda que tais situações sejam propostas desde os primeiros anos do Ensino Médio.
Entende-se que o desenvolvimento cognitivo matemático do educando está diretamente vinculado às ações metodológicas que priorizam o uso da diversidade de Registros de Representação Semiótica e as atividades de conversão entre elas. Buscando diversificar situações que englobem essas atividades, o professor propiciará ao aluno não apenas que ele apreenda progressivamente conceitos matemáticos, mas contribuirá para que o mesmo evolua em sua capacidade de raciocínio, análise, visualização, interpretação e, consequentemente, na sua formação como cidadão.
4. METODOLOGIA DE PESQUISA
Nesta pesquisa, foi adotada uma abordagem qualitativa com um enfoque no método de um estudo de caso, seguindo estas etapas: desenvolvimento do referencial teórico sobre Registros de Representação Semiótica com os conteúdos de Geometria Analítica; período de estudos na ULL para familiarização com o ambiente virtual SIENA; construção do cenário virtual de pesquisa e implementação deste no SIENA, tendo as seguintes ações: desenvolvimento do PCIG dos nodos sobre os conteúdos de Reta e Circunferência e a conversão entre os Registros de Representação Semiótica: língua natural, escrita algébrica e representação gráfica referente a esses conteúdos; desenvolvimento do banco de questões de cada nodo do PCIG para realização dos testes adaptativos; elaboração das atividades da sequência didática (atividades de revisão com o conteúdo de Reta e Circunferência, atividades didáticas com o conteúdo, exercícios, simulações) para cada nodo do PCIG de Reta e Circunferência, as quais buscaram conversões entre os Registros de Representação Semiótica propostas em cada nodo e a integração com as Tecnologias da Informação e Comunicação, a fim de contribuir na recuperação individualizada dos alunos que apresentassem dificuldades em Reta e Circunferência; realização da experiência utilizando o Sistema SIENA, com 10 alunos de diferentes semestres do curso de Licenciatura em Matemática da Universidade Luterana do Brasil – ULBRA, campus Canoas; análise dos resultados a partir dos dados colhidos durante a experiência.
Os instrumentos de coletas de dados foram: o questionário para coleta de informações gerais para determinar o perfil dos estudantes participantes do experimento, os bancos de dados do SIENA e os registros escritos da resolução das questões pelos alunos. Também foram utilizadas para coletar informações as observações e as filmagens realizadas durante a experiência.
5. O AMBIENTE VIRTUAL DE PESQUISA
Para a implementação da experiência no SIENA, construiu-se inicialmente um esquema, conforme à figura 5, com os conceitos prévios, básicos, intermediários e avançados.

A seguir, desenvolveu-se o PCIG dos nodos com os objetos matemáticos: Reta e Circunferência, conforme à figura 6, fundamentado nos conceitos apresentados na figura 5 e nos Registros de Representação Semiótica. Os testes adaptativos realizados pelos alunos iniciam com as conversões entre os registros de língua natural e algébrico da Reta, sendo que cada nodo, seguindo a indicação das setas, é predecessor do nodo acima.

O banco de questões para o desenvolvimento dos testes adaptativos é composto de 30 questões em cada nodo do PCIG, as quais estão de acordo com a conversão entre os registros apresentados nesses nodos e divididas em 10 fáceis, 10 médias e 10 difíceis. Cada questão possui quatro alternativas de respostas e um tempo, em segundos, para a sua resolução, conforme ao nível de dificuldade e ao tempo estimado para a resolução. Após a pesquisa de atividades em livros didáticos de Matemática do Ensino Médio, foram elaboradas questões de forma modificada e ampliada, àquelas encontradas nesses livros e baseadas no esquema de conceitos sobre Reta e Circunferência. Buscou-se desenvolver questões nas que, ao resolvê-las, os alunos pesquisados deveriam articular entre os diferentes Registros de Representação Semiótica, entre os conceitos de Reta e Circunferência.
O nodo Conversão da Representação Língua Natural para Algébrica e da Representação Algébrica para a Língua Natural da Reta, por exemplo, foi composto por 15 questões que propuseram a conversão do registro Língua Natural para o registro Algébrico, e outras 15 que propuseram a conversão do registro Algébrico para a Língua Natural dentro de conceitos de Reta. Ou seja, para a língua natural abordaram-se questões e opções de respostas com a linguagem matemática, de forma discursiva, que envolvem o conteúdo de Reta. Cada grupo de 15 questões possui 5 fáceis, 5 médias e 5 difíceis e foram organizadas dessa forma porque o SIENA escolhe aleatoriamente as questões, seguindo o nível de dificuldade. Assim, tornou-se possível que, ao fazer o teste adaptativo, o aluno recebesse questões que visassem não só a conversão do primeiro registro para o segundo, como também do segundo para o primeiro, conforme explicitado acima. A figura 7 apresenta dois exemplos de questões desse nodo.

A figura 8 apresenta dois exemplos de questões do nodo Conversão da Representação Língua Natural para a Representação Gráfica e Representação Gráfica para a Língua Natural da Reta:

As atividades da sequência didática para cada nodo do PCIG foram desenvolvidas com base na conversão entre os Registros de Representação Semiótica: língua natural, algébrico e gráfico, conforme à conversão proposta em cada nodo, integrando as Tecnologias da Informação e Comunicação, tendo como objetivo contribuir para que os alunos ampliassem a compreensão dos conceitos nos quais apresentassem dificuldades. Assim, no momento em que o aluno realizasse um teste adaptativo, caso não atingisse a nota 0,6 estipulada como rendimento satisfatório, o sistema o direcionava para a sequência didática correspondente ao nodo onde realizou o teste, podendo realizar a revisão do conteúdo com atividades didáticas que propusessem a conversão segundo o nodo e, a seguir, realizar um novo teste.
Uma sequência didática é um conjunto de atividades pedagógicas organizadas de maneira sistemática, com a finalidade de ajudar o aluno a dominar melhor um conteúdo (Dolz, Noverraz & Schneuwly, 2004).
Para planejar uma sequência didática, Flemming e Mello (2003) afirmam que é necessário que o professor tenham claramente estruturados o tema, o objetivo, o conteúdo e sua contextualização no curso em que está trabalhando, visualizando as inter-relações do tema como novo conhecimento para os aprendizes, com o desenvolvimento de competências e habilidades requeridas. No contexto da Matemática, afirmam que para uma sequência didática propiciar que o professor e o aluno busquem novos espaços e conhecimentos, várias estratégias didáticas podem ser usadas, como trabalhar com projetos de estudos, com resolução de problemas ou com jogos didáticos.
Pais (2005, p.102) salienta que, em uma pesquisa, a aplicação da sequência didática
é uma etapa importante para garantir a proximidade dos resultados práticos com a análise teórica. Uma sequência didática é formada por um número de aulas planejadas e analisadas previamente com a finalidade de observar situações de aprendizagem, envolvendo os conceitos previstos na pesquisa didática.
Assim, foram desenvolvidas atividades com o auxílio dos softwares power point, JClic, winplot, flash, além de disponibilizados sites que abordam o conteúdo estudado, para possível consulta pelos alunos.
O design da página inicial da sequência didática desenvolvida para cada nodo dos conceitos de Reta e Circunferência possui documentos digitais, nos que há links de acesso às atividades didáticas que apresentam: um histórico e aplicações da Geometria Analítica; apresentações em power point, salvas em html, com explicações ilustradas para a revisão do conteúdo; exercícios interativos, como jogos de associação simples e complexa, frases com lacunas para preencher, quizes2, jogo ‘batalha naval’, exercício de escrever as coordenadas de pontos em um mapa, problemas com animações gráficas e hiperlinks dos sites para os alunos acessarem. Algumas dessas atividades abordam também a conversão entre os registros língua natural, algébrico e gráfico de pontos. A figura 9 apresenta o design da página inicial da sequência didática, com os links de acesso às atividades e sites do nodo Conversão da Representação Gráfica para a Representação Algébrica da Reta.

O link história da Geometria Analítica, desenvolvido com o software flash, está no cenário da sequência didática de todos os nodos dos conceitos de Reta e Circunferência e apresenta um texto com um breve histórico e exemplos de aplicações na atualidade da Geometria Analítica. A figura 10 apresenta uma página desse texto.

Para a revisão do conteúdo de Reta e Circunferência, foram desenvolvidos links com o auxílio do software power point, nos quais foram apresentadas explicações ilustradas, utilizando os registros língua natural, algébrico e gráfico, salvas em html. Essas explicações estão nos cenários das sequências didáticas de todos os nodos dos conceitos de Reta e Circunferência, respectivamente. A figura 11 apresenta um dos slides do link sobre explicações de coeficientes da Reta.

Também foram desenvolvidos, com o software JClic, projetos de atividades contendo duas atividades em cada projeto, para cada nodo, como jogos e atividades interativas de associação simples e complexa e de preencher lacunas, de acordo com a conversão proposta entre os Registros de Representação Semiótica em cada nodo.
A figura 12 apresenta um jogo de associação complexa no JClic, criado para o nodo Conversão da Representação Língua Natural para a Representação Gráfica e da Representação Gráfica para a Língua Natural da Circunferência, no qual o aluno devia relacionar a informação no registro língua natural ao gráfico correspondente, sendo que um gráfico pode estar relacionado a mais de uma informação e, à medida que o aluno relacionava corretamente, os quadros com as informações eram fechados, encerrando o jogo.

Com o auxílio do software flash, foram desenvolvidas atividades e jogos para cada nodo, como, por exemplo, a atividade em que o aluno devia escrever as coordenadas numéricas de pontos do mapa que representavam a longitude e latitude da localização geográfica desse ponto, conforme à figura 13. Ao errar, o aluno poderia tentar outra vez e, ao escrever corretamente, deveria clicar na opção “próxima”, para escrever as coordenadas de outro ponto. A atividade continha 6 pontos diferentes e, ao final, apresentava ao aluno o seu número e percentual de acertos, tendo como objetivo que o aluno realizasse a conversão do registro gráfico para a representação numérica das coordenadas de pontos.

A figura 14 apresenta o jogo ‘batalha naval’, desenvolvido também com o software flash, para o nodo Conversão da Representação Gráfica para a Representação Algébrica da Reta, no qual o aluno devia escrever a equação da reta que permitisse que o submarino lançasse um míssil, em linha reta, atingindo e explodindo o navio. Caso não escrevesse a equação correta, o aluno receberia a informação “míssil perdido”, devendo tentar outra vez. Ao acertar, era apresentada ao aluno uma nova imagem, com posições diferentes para o submarino e o navio, para que encontrasse outra equação da reta que correspondesse à nova trajetória que o míssil devia percorrer para atingir o alvo.

Na figura 15, apresenta-se uma atividade com uma animação gráfica que representa a translação de uma circunferência paralelamente ao eixo das abscissas, simulando uma bicicleta andando em um plano, desenvolvida com os softwares winplot e flash, para o nodo Conversão da Representação Gráfica para a Representação Algébrica da Cincunferência, na qual o aluno deveria escrever a equação que representa a animação gráfica, de acordo com o exemplo em vermelho que utiliza o registro algébrico, enquanto são escritas equações no software winplot. Caso o aluno errasse a equação, receberia a mensagem “tente novamente” e, ao acertar, “parabéns por concluir”, tendo a opção de reiniciá-la. Para que o aluno melhor observasse a animação gráfica, criou-se um botão de pausa. Assim, o aluno poderia, por exemplo, visualizar com maior facilidade no gráfico que, embora o ponto do centro das circunferências mudasse à medida que vai ocorrendo a translação, as ordenadas desses pontos tiveram sempre o mesmo valor, modificando apenas o valor da abscissa.

6. RESULTADOS
O desempenho dos alunos foi analisado através dos dois bancos de dados gerados pelo SIENA, para cada teste realizado pelos alunos. As notas estão compreendidas no intervalo [0,1 e 1) e foi estabelecido o índice 0,6 para o desempenho considerado satisfatório para cada nodo.
A seguir, ilustra-se, na figura 16, o gráfico com os resultados dos alunos no teste 1, para cada nodo do PCIG, conforme às notas fornecidas pelo banco de dados do SIENA.

Observou-se que, no primeiro teste, nos nodos 1 e 5, denominados Conversão da Representação Língua Natural para a Representação Algébrica, e da Representação Algébrica para a Língua Natural da Reta, e Conversão da Representação Língua Natural para a Representação Algébrica, e da Representação Algébrica para a Língua Natural da Circunferência, um maior número de alunos apresentaram dificuldades. Evidencia-se, neste grupo de alunos pesquisados, maior dificuldade na conversão entre os registros que envolvem a língua natural e o algébrico, tanto para o conteúdo de Reta quanto para o de Circunferência, confirmando assim, a colocação de Duval (2003), na qual uma situação de conversão das representações torna-se mais complexa quando um dos registros é um registro plurifuncional, como neste caso, a língua natural. O autor ressalta ainda que “a passagem de um enunciado em língua natural a uma representação em outro registro toca um conjunto complexo de operações para designar os objetos” (Duval, 2003, p.18).
Em contraste, no nodo Conversão da Representação Algébrica para a Representação Gráfica da Reta, a maioria dos alunos atingiram um resultado superior a 0,6. Além disso, observou-se que em todos os nodos ao menos um aluno apresentou desempenho inferior a 0,6, fazendo com que o SIENA, a cada nodo em que um aluno não obtivesse tal resultado, o direcionasse a realizar estudos de revisão e atividades didáticas propostas na sequência didática, a fim de possibilitar uma recuperação individualizada do conteúdo proposto no nodo não aprovado, para, então, realizar um segundo teste no mesmo.
Após os estudos de recuperação, os dados fornecidos pelo banco de dados do SIENA apontaram uma melhora significativa no desempenho dos alunos, embora alguns não tivessem, ainda, atingido o resultado considerado satisfatório no segundo teste, necessitando voltar a realizar os estudos de recuperação, para então realizar um terceiro teste. No segundo teste, observou-se que o nodo 1, Conversão da Representação Língua Natural para a Representação Algébrica e da Representação Algébrica para a Língua Natural da Reta, continuou apresentando um maior número de alunos com dificuldades, e pelo menos um aluno ainda apresentou dificuldades, necessitando novamente estudos de recuperação para realizar um terceiro teste.
Os dados apontam, no terceiro teste realizado pelos alunos, que no nodo Conversão da Representação Língua Natural para a Representação Algébrica e da Representação Algébrica para a Língua Natural da Reta, dois dos cinco alunos que realizaram o teste obtiveram resultados abaixo de 0,6, enquanto nos demais nodos onde os estudantes realizaram o terceiro teste, todos obtiveram desempenho superior a essa cifra. A tabela I ilustra esses dados, apresentando o rendimento dos alunos em cada teste realizado para cada nodo do PCIG.

Percebeu-se que as dificuldades apresentadas no primeiro teste foram reduzidas, à medida que os alunos não aprovados realizavam os estudos de recuperação e as atividades didáticas propostas na sequência didática respectiva a cada nodo do PCIG, no intervalo desses testes, o que aponta uma contribuição do sistema SIENA por possibilitar que o aluno realizasse estudos de recuperação individualizada. Ou seja, estudos conforme às dificuldades individuais dos alunos apresentadas em cada nodo, para então fazer um novo teste adaptativo.
Ilustram-se, nas figuras 17,18 e 19, três testes consecutivos, respectivamente realizados pelo aluno 4, do nodo Conversão da Representação Língua Natural para a Representação Algébrica e da Representação Algébrica para a Língua Natural da Reta, entre os quais foi oportunizada, através do sistema SIENA, a revisão do conteúdo. É importante salientar que, após oportunizar um momento de revisão dos conteúdos abordados e atividades didáticas sobre os mesmos, a fim de contribuir para sanar dúvidas e dificuldades percebidas pelos alunos em testes anteriores, conforme proposto na sequência didática para qual o sistema conduz o aluno, o sistema apresentava novas questões, que continham elementos já abordados em questões de testes anteriores, além de questões iguais ou novas.



Com base nesses testes e nos registros escritos pelo aluno, foi possível perceber uma melhora considerável entre o primeiro e último teste realizado, conforme ilustrado nas cores das questões.
Os registros escritos dos alunos na resolução das questões dos testes de cada nodo, bem como as questões apontadas pelo banco de dados do SIENA como erradas nos testes realizados pelos alunos, revelaram as seguintes dificuldades na realização das conversões propostas pelas mesmas: identificar e visualizar, nos registros algébricos e gráficos das retas, os coeficientes angular e linear, bem como realizar cálculos para encontrá-los -ou seja, nos tratamentos envolvidos nesses cálculos; relacionar o coeficiente angular com o ângulo correspondente e com os conceitos de paralelismo e perpendicularismo; escrever na forma numérica e representar graficamente as coordenadas de um ponto, as quais apresentavam-se escritas no registro língua natural, tanto no conteúdo de Reta quanto no de Circunferência; nos tratamentos envolvidos no teorema de Pitágoras; realizar tratamentos para encontrar pontos de interseção entre as retas apresentadas no registro algébrico; realizar tratamentos que implicavam passar uma equação da forma geral para a forma reduzida, tanto em equações de Retas quanto de Circunferências; relacionar a ordem dos quadrantes; resolver questões que abordavam mais elementos, como por exemplo, encontrar a equação da reta que passa em um ponto e é perpendicular a outra reta que continha pontos ou equação definida; realizar tratamentos com pontos na forma algébrica; interpretação, visualização e escrita algébrica em questões que apresentavam elementos abstratos, como os parâmetros, cuja variação representava a translação da circunferência no registro gráfico. Ainda em relação à Circunferência, dificuldades em: realizar tratamentos relacionados ao cálculo dos quadrados dos binômios, ao cálculo do raio, ao cálculo para encontrar o centro, ou então para visualizá-lo na sua representação algébrica; representar graficamente a equação de uma circunferência, mesmo que ela estivesse na forma reduzida. Ou seja, realizar a conversão do registro algébrico para o gráfico. A figura 20 apresenta o erro de um aluno no cálculo para encontrar o raio da circunferência, com base em dois pontos (centro e outro ponto da circunferência), como aconteceu com o aluno 8, que tomou o ponto do centro da circunferência errado. Ou seja, o aluno ao resolver a questão que implicava a conversão do registro gráfico para o registro algébrico da equação da Circunferência, cometeu um erro de tratamento ao tentar encontrar o raio da equação.

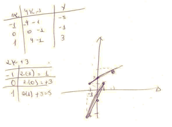
A figura 21 apresenta outro exemplo, também conforme ao registro escrito pelo aluno 8 de erros recorrentes, ao tentar encontrar o gráfico da reta a qual pertencem os pontos (), informando seu coeficiente angular, linear e outras características, conforme à pergunta. Essa dificuldade demonstrou pouco conhecimento das formas paramétricas, ao procurar relacionar a variável “k” com as variáveis “x” e “y” mas separadamente, chegando a desenvolver gráficos distintos. Esses erros apontam que o aluno não conseguiu resolver corretamente a questão, na qual deveria realizar a conversão do registro algébrico para o gráfico da reta. Para isso, primeiramente era necessário realizar um tratamento algébrico, a partir da representação algébrica dos pontos da reta e das demais informações fornecidas na questão, para encontrar a equação correspondente e em seguida identificar o gráfico desta.

7. CONCLUSÃO
Os acadêmicos apresentaram dificuldades nas conversões entre os registros língua natural, algébrico e gráfico, cometendo erros nos tratamentos numéricos, algébricos e gráficos envolvidos na resolução das questões para realizar as respectivas conversões. Tais erros e dificuldades nas conversões apontaram que os alunos possuem uma compreensão limitada acerca dos conteúdos de Reta e Circunferência, e dificuldades de interpretação, de visualização e abstração de conceitos relacionados a esses conteúdos.
Constatou-se a necessidade, no nodo Conversão da Representação Língua Natural para a Representação Algébrica da Reta, de melhorar o caminho metodológico percorrido pela sequência didática elaborada, a fim de melhor contribuir para sanar as dificuldades apresentadas pelos alunos pesquisados.
Cabe ressaltar que, conforme ao desempenho dos alunos, os menores resultados estão relacionados com a língua natural. Isto é, envolvem perguntas ou respostas discursivas. Já os melhores resultados nos testes adaptativos, nos quais os alunos necessitaram menos estudos de recuperação, foram obtidos pelos alunos concluintes do curso de licenciatura, se comparados aos demais, observando que eles já tinham estudado Geometria Analítica também nesse curso.
O sistema inteligente SIENA mostrou-se eficiente, contribuindo para a identificação das dificuldades individuais dos dez alunos pesquisados em relação à conversão entre os Registros de Representação Semiótica, língua natural, algébrico e gráfico no conteúdo de Geometria Analítica, abordando Reta e Circunferência, e na recuperação dos conceitos nos quais estes alunos apresentaram dificuldades. Todos os alunos, após estudos de recuperação no SIENA, apresentaram melhores resultados nos testes realizados.
Sugere-se, para pesquisas futuras, uma ampliação da sequência didática para cada conceito, abordando a revisão do conteúdo à luz da teoria dos Registros de Representação Semiótica, com exercícios e atividades resolvidas para melhor exemplificá-lo, bem como a construção de mais atividades didáticas interativas que contemplem a conversão proposta em cada nodo para, assim, oferecer aos alunos uma maior possibilidade de sanar suas dificuldades individuais.
Referências
Brasil. (2006). Ministério da Educação. Secretaria de Educação Básica. Orientações Curriculares para o Ensino Médio. Ciências da Natureza, Matemática e suas Tecnologias. Brasília, Brasil: MEC/ Seb, 2006.
Costa, D. R. (2009). Métodos estatísticos em testes adaptativos informatizados (Tese de Mestrado não publicada). Universidade Federal do Rio de Janeiro, Rio de Janeiro, Brasil.
D’Amore, B. (2005). Epistemologia e didática da Matemática. São Paulo, Brasil: Escrituras Editora.
Damm, R. F. (2002). Registros de Representação. Em S. Dias Alcântara Machado (Org.), Educação Matemática: uma introdução (pp. 135-153). São Paulo, Brasil: EDUC, pp. 135-153.
Dolz, J., Noverraz, M. & Schneuwly, B. (2004). Seqüências didáticas para o oral e a escrita: apresentação de um procedimento. Em J. Dolz & B. Schneuwly (Eds.), Gêneros orais e escritos na escola. Tradução de Roxane Rojo e Glaís Sales Cordeiro (pp. 95-128). São Paulo, Brasil: Mercado das Letras.
Duval, R. (1993). Registros de representación semiótica y funcionamiento cognitivo del pensamiento. En F. Hitt (Ed), Investigaciones en Matemática Educativa II (pp. 173-201). D.F., México: Grupo Editorial Iberoamérica.
Duval, R. (2003). Registros de Representações Semióticas e Funcionamento Cognitivo da Compreensão em Matemática. Em S. Dias Alcântara Machado (Org.), Aprendizagem em Matemática: Registros de Representação Semiótica (pp.11-33). São Paulo, Brasil: Papirus.
Duval, R. (2004). Semiosis y Pensamiento Humano: registros semióticos y aprendizajes intelectuales. Tradução em casteliano de Myriam Veja Reestrepo. Berna, Suíça: Peter Lang.
Flemming, D. M. & Mello A. C. C. (2003). Criatividade e jogos didáticos. São José, Brasil: Saint Germain.
Machado, S. A. (Org.). (2003). Aprendizagem em Matemática: Registros de Representação Semiótica. São Paulo, Brasil: Papirus.
Moretti, M. T.(2003). A Translação como Recurso no Esboço de Curvas por meio da Interpolação Global de Propriedades Figurais. Em S. Dias Alcântara Machado (Org.), Aprendizagem em Matemática: Registros de Representação Semiótica (pp.149-160). São Paulo, Brasil: Papirus.
Murlick, V. & Groenwald, C. O. (2009). Recuperação individualizada de conteúdos matemáticos utilizando sistemas inteligentes. Em VI Congresso Ibero-americano de Educação Matemática. Puerto montt, Chile.
Novak, J. & Gowin, D. B. (1988). Aprendiendo a aprender. Barcelona, España: Ediciones Martínez Roca S.A.
Pais, L. C. (2005). Didática da Matemática: uma análise da influência francesa. Belo Horizonte, Brasil: Autêntica.
Ruiz, L., González, E., Vera, J., Braileanu, B., Castro, A. Saavedra, J., Jorge, J., Carrillo, J., Rubio, J. & González, C. (2007). Hacia um Sistema Inteligente basado em Mapas Conceptuales Evolucionados para la Automación de un Aprendizaje Significativ. Aplicación a La Enseñanza Universitaria de la Jerarquía de Memoria. En XII Jornadas de Enseñanza Universitária de la Informática. Teruell, España.
Sands, W. A. & Waters, B. K. (1997). Introducion to ASVAB and CAT. In W. Sands, B. Waters & J. Mcbride, (Eds.), Computerized adaptive testing: from inquiry to operation. Washington, DC: American Psychological Association. Silva, C. R. (2006). Explorando Equações Cartesianas e Paramétricas em um Ambiente Informático (Tese de Mestrado não publicada). Pontifícia Universidade Católina, São Paulo, Brasil.
Silva, C. R. (2006). Explorando Equações Cartesianas e Paramétricas em um Ambiente Informático (Tese de Mestrado não publicada). Pontifícia Universidade Católina, São Paulo, Brasil.
Wainer, H. (2000). Computerized adaptive testing: a primer. New Jersey, EEUU: Lawrence Erlbaum Associates.
Notas