
Recepción: Abril , 16, 2014
Aprobación: Agosto , 06, 2015
DOI: https://doi.org/10.12802/relime.13.1921
Resumen: El presente artículo describe los resultados fundamentales de una investigación centrada en la modelización matemática y el uso del modelo obtenido en un contexto cercano a la realidad. Los alumnos obtienen un modelo, que toma la forma de una función, y lo aplican para contestar preguntas contextualizadas en un hipotético problema del mundo real, lo que aproxima la experiencia a las recomendaciones de la OECD y PISA sobre la resolución de problemas. En este trabajo se intenta comprobar el uso de competencias matemáticas de los alumnos asociadas al modelo obtenido.
Palabras clave: Modelización matemática, Funciones, Competencias, Enseñanza Secundaria.
Abstract: This article describes the results of a basic research focused on mathematical modelling and the use of the obtained model in the near reality context. Students obtained a model, a function, and apply it to answer questions located within a real world problem, which approximates the experience to the recommendations of the OECD/PISA problem solving. This work intended to assess the acquisition of math skills of students associated with the model obtained.
Keywords: Mathematical modeling, Functions, Competences, Secondary Education.
Resumo: Este artigo descreve os resultados de uma pesquisa básica focada em modelagem matemática e uso do modelo obtido no contexto próximo a realidade. Os estudantes ganham um modelo de trabalho e aplicá-lo a responder perguntas localizadas dentro de um problema do mundo real, que se aproxima a experiência para as recomendações da resolução de problemas PISA da OECD. Este trabalho procura avaliar a aquisição de habilidades matemáticas dos alunos associados ao modelo obtida.
Palavras-chave: Modelagem matemática, Funções, Competência, Ensino Secundário.
Résumé: Le présent article décrit les résultats fondamentaux d’une recherche centrée sur la modélisation mathématique et l’emploi du modèle obtenu dans un contexte proche de la réalité. Les élèves obtiennent un modèle, une fonction, et appliquer pour répondre à des questions concernant un problème du monde réel, ce qui approche l’expérience des recommandations de la OECD et PISA sur la résolution de problèmes. Cet article tente de évaluer l’acquisition de compétences mathématiques des élèves en rapport avec le modèle fonctionnel obtenu.
Mots clés: Modélisation mathématique, Fonctions, Compétences, Enseignement Secondaire.
1. INTRODUCCIÓN
La modelización matemática es considerada como parte integrante de la resolución de problemas (Organisation for Economic Co-operation and Development, en adelante OECD, 2006; National Council of Teachers of Mathematics, 2000, en adelante NCTM) y, al mismo tiempo, una de las actividades propias del trabajo matemático. En ese sentido, la modelización matemática puede ser considerada como parte de la actividad matemática que un alumno debe aprender a desarrollar para alcanzar el fin último de una modelización (un modelo matemático) pero también como la forma adecuada de introducir conceptos o nociones o como una vía de que los conceptos y nociones emerjan de las necesidades que implica la generación del modelo matemático.
El objetivo fundamental de este trabajo es analizar si los alumnos son capaces de generar un modelo matemático (que toma la forma de una función) y aplicarlo en un hipotético contexto real. En la primera sección se describrá brevemente la forma en que la modelización se integra en el enfoque por competencias también desde la didáctica de la matemática, especialmente usando las praxeologías de Chevallard (1999). Las siguientes secciones se ocupan de detallar las diferentes fases de la experiencia realizada y, por último, se exponen las conclusiones fundamentales obtenidas del análisis de los resultados.
2. LA MODELIZACIÓN MATEMÁTICA EN EL CONTEXTO DE LAS COMPETENCIAS
Al hablar de modelización matemática es común realizar una distinción entre modelo y modelización, de la misma forma que se realiza la distinción entre proceso y producto. Así, el término modelización se refiere al proceso mientras que modelo se refiere al resultado o al producto de ese proceso, en forma de representación física, simbólica o abstracta. Blum & Niss (1991) definen un modelo matemático como:
Un modelo consiste en ciertos objetos matemáticos, correspondientes a “elementos básicos” de la situación original o el modelo real, y de ciertas relaciones entre estos objetos, que corresponden con relaciones entre los “elementos básicos”. Para ser un poco más precisos, un modelo matemático puede ser visto como un triple (S, M, R), consistente en una situación problemática real S, una colección de entidades matemáticas M y una relación R entre los objetos y relaciones de S y los objetos y las relaciones de M (p. 39).
Otros autores son menos explícitos al definir lo que es un modelo (Barbosa, 2003; Blomhøj, 2004), aunque, como apunta Schmidt (2010), la concreción en la definición depende de los objetivos que se le atribuyen a la modelización:
Modelización matemática en general se refiere al uso de las matemáticas para resolver problemas reales y abiertos. Al mismo tiempo, la definición exacta varía en función de los objetivos, qué modelo en el proceso de modelado se está utilizando y la naturaleza del contexto asignado a la tarea de modelización (p. 2067).
En resumen, la modelización se refiere al proceso, representado usualmente mediante esquemas descriptivos, que relacionan una situación real con las matemáticas. Mediante dicho proceso se obtiene un modelo matemático que representa una solución a la situación problemática real planteada. Las diferentes perspectivas conceden mayor o menor importancia a algún o algunos de los procesos que se pueden establecer en las relaciones entre los elementos presentes en la modelización. Así, cada esquema propuesto configura un modelo en el proceso de modelado y como consecuencia, los fines pretendidos en la modelización dan lugar a perspectivas diferentes. Kaiser & Sriraman (2006, p. 304) distinguen cinco perspectivas diferentes: Modelización realista o aplicada, modelización contextual, modelización educacional (con dos vertientes: didáctica y conceptual), modelización socio-crítica y modelización epistemológica o teórica.
El informe PISA (Programme for International Student Assessment), define la competencia matemática de la siguiente forma:
Competencia matemática es una capacidad del individuo para identificar y entender la función que desempeñan las matemáticas en el mundo, emitir juicios fundados y utilizar y relacionarse con las matemáticas de forma que se puedan satisfacer las necesidades de la vida de los individuos como ciudadanos constructivos, comprometidos y reflexivos (OECD, 2006, p. 74).
En dicho informe se identifica competencia con capacidad, centrando esas capacidades en la resoluciòn de problemas. El tèrmino mundo hace referencia al “(...) marco natural, social y cultural en que vive el individuo” (OECD, 2006, p. 75). Respecto al uso de las matemáticas y la relación del alumno con las matemáticas, el informe pretende que el alumno use las matemáticas y las aplique a la resolución de problemas, de forma que establezca una relación personal con las matemáticas para que lleguen a ser apreciadas hasta convertirlas en un elemento de disfrute.
La definición que aporta PISA a competencia matemática se encuentra vinculada a un uso funcional de las matemáticas, asociado a su aplicabilidad en situaciones diversas:
El término «competencia matemática» se ha elegido con el fin de hacer hincapié en el carácter funcional del conocimiento matemático y en la posibilidad de aplicarlo de forma variada, reflexiva y perspicaz a una multiplicidad de situaciones de los más diversos tipos (OECD, 2006, p. 74).
Desde nuestro punto de vista, la importancia concedida a la funcionalidad asociada a la aplicabilidad permite que las competencias PISA puedan ser identificadas con una visión que prima el conocimiento matemático destinado a una finalidad, que, en el marco general, se puede relacionar con la obtención de un resultado a un problema contextualizado en el mundo real.
Para realizar la evaluación, PISA supone que el alumno ante un problema seguirá el siguiente esquema de cinco pasos (OECD, 2006, pp. 76-78) que caracteriza la forma en que un matemático desarrolla su labor y que PISA denomina de ‘matematización’:
- En el primer paso, el proceso de matematización se inicia con un problema presente en la realidad y consiste en identificar el problema real como un problema matemático.
- En el segundo paso, la persona que desea resolver el problema trata de identificar las matemáticas pertinentes al caso y reorganiza el problema según los conceptos matemáticos que han sido identificados.
- El tercer paso implica una progresiva abstracción de la realidad.
- El cuarto paso consiste en resolver el problema matemático.
- El quinto paso supone responder a la pregunta: ¿qué significado adquiere la solución estrictamente matemática al transponerla al mundo real?
En esa misma línea, PISA sostiene que un ciudadano debe percibir que las matemáticas cumplen una función que satisfaga las necesidades de la vida de los individuos, y supone que la generación de conocimiento matemático y su uso sigue un esquema conocido y reproducible, lo que hace de la enseñanza- aprendizaje de las matemáticas un proceso controlable por el profesor. Por tanto, considera las matemáticas como un saber encaminado a su aplicación para resolver problemas contextualizados, preferentemente en el mundo real, olvidándose en gran medida de problemas que no representen un uso pragmático de las matemáticas en una situación concreta e identificable con el mundo que rodea al alumno.
En nuestro caso, la competencia no se reduce a la competencia matemática que PISA propone sino que es tomada en un sentido más amplio. La competencia debe incluir no solo el saber-hacer que predomina en las competencias de PISA (Gascón, 2011) sino que busca indagar, de forma limitada en lo que aquí exponemos, en el saber. De esa forma, saber y saber hacer son dos componentes complementarias del conocimiento matemático y deben ser consideradas partes íntimamente ligadas, formando una praxeología (praxis+logos). La enseñanza/aprendizaje de las matemáticas debe estructurarse en torno a praxeologías (Chevallard, 1999), identificándose la praxis con saber-hacer y el logos con saber. La praxis constituye un bloque práctico y técnico mientras que el logos constituye un bloque tecnológico y teórico. La praxis englobaría el tipo o tipos de problemas, las cuestiones que se pretenden estudiar y las técnicas que se usan. El logos engloba la descripción, explicación y justificación de las técnicas que se usan, que recibe el nombre de tecnología, y la fundamentación de la tecnología, que recibe el nombre de teoría. Así, alrededor de una tarea problemática, T, se encuentra al menos una técnica, τ, una tecnología de τ, ϕ, y una teoría de ϕ, θ. El total, indicado por [T/ τ/ ϕ/ θ], constituyen la praxeología. Desde nuestro punto de vista, PISA considera una tarea o problema T como una terna [T/ τ/ θ], reduciendo en la práctica una praxeología al bloque práctico-técnico [T/ τ], de forma que el bloque tecnológico-teórico [ ϕ/ θ] se presupone integrado en el bloque anterior.
La NCTM (2000) y sus Principios y Estándares para la Educación Matemática ya concedían importancia a la modelización integrada como parte de la resolución de problemas. El informe PISA, al especificar qué capacidades, asociadas al proceso de matematización, debe desarrollar el alumno, incluye la construcción de modelos (OECD, 2006, pp. 101-102): pensamiento y razonamiento, argumentación, comunicación, construcción de modelos, planteamiento y solución de problemas, representación, utilización de operaciones y lenguaje técnico, formal y simbólico, empleo de material y herramientas de apoyo.
PISA sigue, aproximadamente, el esquema aceptado como propio de un proceso de modelización y conocido usualmente como Ciclo de modelización. Los cinco pasos que un alumno seguirá ante un problema, descritos en un párrafo anterior, se observan en el Ciclo de Blum & Borromeo(2009)(Figura 1). Podríamos decir que la modelización se integra en el ámbito más general de la resolución de problemas contextualizados en el mundo real al tratarse de un problema planteado en el resto del mundo (relacionado en el ciclo con el mundo de las matemáticas) y que suscita preguntas que deben ser respondidas, usando la competencias matemáticas como herramienta o útil que proporciona respuestas. De esa forma, las matemáticas –y la modelización matemática como caso particular- proporcionan respuestas a problemas planteados en un contexto auténtico, lo que permite que el problema sea “solucionado de forma auténtica mediante el recurso de las matemáticas.” (OECD, 2006, p. 85). La solución auténtica del problema supone que el alumno ha obtenido la solución mediante el desarrollo adecuado de sus competencias matemáticas, algo sólo posible desde el aprendizaje significativo del conocimiento matemático.
Respecto a la enseñanza de las Matemáticas en España, la mención sobre la inclusión de actividades de modelización no aparece de forma expresa ni en el curriculum de Enseñanza Secundaria Obligatoria ni en el Bachillerato (Real Decreto 1631/2006, Real Decreto 1467/2007, Orden ESD/1729/2008) aunque aparecen menciones a la modelización en la descripción de las competencias matemáticas que los alumnos deben alcanzar, situando la modelización como una forma de "Abordar problemas de la vida real (...) de forma que el alumno combine "diferentes herramientas y estrategias (...) para enfrentarse a situaciones nuevas" (Orden ESD/1729/2008, p. 27606). En este marco, la modelización se plantea como un recurso, un útil que permite enfrentarse a una situación nueva o problema. El énfasis se sitúa, por tanto, en la modelización como herramienta que permite resolver un problema del mundo real, de forma que el alumno sea capaz de generar o saber hacer el modelo, que se convierte en el fin último y fundamental.
3. LA ACTIVIDAD DE MODELIZACIÓN “ACEITE Y AGUA”
El caso concreto de estudio gira alrededor de la problemática medioambiental generada a partir de un vertido contaminante en el mar. La tarea se plantea a los alumnos en los siguientes términos: Se ha producido un vertido de petróleo en el mar. ¿Cómo averiguar la cantidad de petróleo vertido? Se trata, por lo tanto, de un problema donde intervienen dos magnitudes, área y volumen, dependiente una de la otra, lo que lleva a una relación funcional entre ambas. Se toma como contexto el caso de un vertido medioambiental y se plantea la búsqueda de un modelo matemático que describa un proceso físico. Se pretende llevar a la práctica todas las fases que se ven implicadas en ciertos casos de modelización, donde las matemáticas juegan un papel útil. Los datos se tomarán de forma experimental con la finalidad de obtener una función que ajuste dichos datos.
3.1 Metodología
La actividad fue propuesta como una actividad voluntaria a alumnos de 1º de Bachillerato Científico-Tecnológico (1º Bachillerato Curso 2010-2011 y 1º Bachillerato Curso 2011-2012) y fuera del horario lectivo. En el año 2011 participaron 11 alumnos y en el año 2012 lo hicieron 12, de los cuales 8 realizaron la 3ª fase de la actividad. La experiencia fue grabada en audio y vídeo. Para referirnos a los alumnos en lo que sigue, denominamos a los alumnos participantes el año 2011 con la letra A seguida de un número y a los del año 2012 con la letra B seguida de un número. Así, los alumnos son nombrados como A1, A2, …, A11 y B1, B2, …, B12.
Como paso previo a la realización de la actividad, a los alumnos se les presentó una forma de obtener la expresión analítica de una función de ajuste a partir de una tabla de datos. Para hacerlo, se les explicó cómo usar el programa de Geometría Dinámica GeoGebra que permite la modificación de la gráfica de una función dependiente de parámetros mediante el uso de deslizadores.
La propuesta se desarrolló en cuatro fases aunque aquí sólo expondremos tres de ellas: la recogida de datos en el laboratorio, el volcado de datos y obtención de la función de ajuste en el ordenador y la realización de un cuestionario sobre la aplicación del modelo obtenido a un hipotético caso real. Para las dos primeras fases los alumnos fueron distribuidos en grupos de trabajo, en el año 2011 los alumnos formaron dos grupos, Grupo A (5 alumnos) y Grupo B (6 alumnos) y en el año 2012 tres grupos, Grupo C (5 alumnos), Grupo D (4 alumnos) y Grupo E (3 alumnos). A continuación describiremos las tres fases.
- 1 ª Fase: Obtención de la tabla de datos .
Se les comunica a los alumnos que en esta fase van a estudiar cómo varía una mancha de aceite al añadir mayores cantidades de aceite a la mancha. Para ello deberán tomar el número de datos que estimen necesario utilizando el procedimiento que crean más conveniente.
Se les indicó que trajesen de sus casas una tina de plástico y en el laboratorio se les suministró reglas, cintas métricas, un bote de aceite de oliva de uso doméstico, un bote con un poco de detergente líquido y jeringuillas de plástico (de 5 ml y 10 ml el 2011 y de 2.5 ml, 5 ml y 10 ml el año 2012). Llenaron la tina con agua, añadieron una pequeña cantidad de detergente líquido (para concentrar la mancha de aceite) y comenzaron a verter aceite con ayuda de las jeringuillas en cantidades variables pero siempre sobre una única mancha de aceite sobre el agua. La mancha adopta una forma circular, por lo que es posible medir fácilmente el diámetro que se obtiene para un determinado volumen de aceite. Así, la contextualización del problema en la realidad se realiza en sentido estricto: el aceite y el agua los observan y manipulan, los círculos sobre los que toman medidas son círculos que forma el aceite que ellos mismos vierten sobre el agua, las medidas de la tabla de datos son medidas obtenidas observando una marca sobre una regla, etc.
En el proceso de estudio para conseguir generar el modelo supondremos que el comportamiento del aceite de uso alimentario es similar al petróleo, aceites o derivados. Por lo tanto, se le añadió una pequeña cantidad de detergente de uso doméstico para concentrar la mancha de producto y acotar el área contaminada de agua (barrera química). Se harán otras suposiciones menos exigentes que son comunes también en procesos de modelización: homogeneidad de la distribución de los contaminantes en el agua en el caso de un vertido, comportamiento similar de los contaminantes al aire libre y en agua salada que en el laboratorio y en agua dulce, etc.
Creemos que esta fase representa una de las grandes virtudes de la modelización propuesta ya que son los propios alumnos lo que generan los datos necesarios para realizarla. De esa forma, la modelización es su modelización en todos los sentidos y no una modelización parcial o incompleta al usar datos obtenidos por otro u otros de forma desconocida por los alumnos. Esta forma de trabajar se aleja de los problemas que los alumnos están acostumbrados a realizar, viéndose obligados a tomar decisiones y hacerse responsables de su actividad matemática.
- 2ª Fase: Volcado de datos y obtención de la función de ajuste .
Inmediatamente después de que los alumnos diesen por terminada la primera fase, se trasladaron al aula de Informática del instituto. Se les indicó que debían representar los datos obtenidos en los ejes cartesianos y conseguir una función de ajuste para los puntos del plano representados. Cada grupo disponía de un ordenador y de una fotocopia que se les entregó y que contenía las gráficas de funciones fundamentales (afín, cuadrática, proporcionalidad inversa, raíz cuadrada, exponencial de base mayor y menor que 1, logarítmicas de base mayor y menor que 1, seno, coseno y tangente).
A continuación, los alumnos contestaron tres preguntas sobre la función obtenida (que toma la forma
). La primera sobre qué nombre debía recibir el número que acompaña a la raíz cuadrada, indicando en el enunciado que se trata de un número que es constante y variable al mismo tiempo. La segunda implica un cambio en la función: ¿Qué forma toma la función si cambiamos la variable ‘Diámetro’ por la variable ‘Radio’?. La tercera vuelve a representar un cambio: ¿Qué forma toma la función si cambiamos ‘Radio’ por ‘Área’?
- 3ª Fase: Aplicación del modelo obtenido a un hipotético caso real.
En esta fase los alumnos tenían que contestar a un cuestionario de forma individual. Participaron 11 alumnos del curso 2010-2011 y 8 del curso 2011-2012. A los alumnos se les suministró una fotocopia en color y de tamaño DIN A3 de una parte de una carta náutica de la costa de Cambados a escala 1:30000 (Instituto Hidrográfico de la Marina, Carta 9250, 1963) (Figura 2) y un cuestionario que contenía una fotografía de la misma zona de la costa (Figura 3). En la fotocopia que contenía las preguntas se indicaba que la fotografía se correspondía con una imagen tomada vía satélite de un vertido en la costa (generada introduciendo la mancha de aceite en una imagen procedente de GoogleEarth). En la fotografía se distinguía claramente una mancha de color oscuro que se correspondía con el vertido. Se les indicó que ese día trajesen material de dibujo técnico (cartabón, escuadra, regla, compás) y una calculadora científica.


3.2. Desarrollo y análisis de la 1ª y 2ª Fase
En estas dos fases la actividad o tarea se reduce a la obtención de un modelo sobre el comportamiento del aceite sobre agua. Así, la obtención del modelo, que tomará la forma de la expresión de una función que relaciona el volumen de aceite con el diámetro de la mancha de aceite sobre el agua, podría ser considerada el punto final u objetivo de la actividad. Si los alumnos saben hacer el modelo, éste consistirá en obtener la expresión analítica de la función, algo que se consigue en la segunda fase de la actividad. El resultado matemático permite, de forma directa, obtener el resultado real.
A continuación resumimos los aspectos más relevantes de estas dos fases de la modelización.
El tiempo que los alumnos dedicaron a obtener la tabla de datos no superó en ningún caso los 55 minutos, el año 2011 y los 36 minutos el año 2012, por lo que podemos calificar esta fase como de corta duración.
El ambiente de trabajo era relajado. No se observan pérdidas de tiempo significativas, todos los alumnos participan activamente, deciden de manera consensuada la distribución del trabajo y asumen que es importante realizar bien las mediciones.
El número de datos de los diferentes grupos varía considerablemente. El grupo A genera 23 datos, mientras otros se conforman con menos (16 el grupo B, 15 el grupo C, 13 el D y 9 el E). Durante la práctica, buscan regularidades en la tabla de datos que generan. Intentan comprobar que los datos siguen una ley de proporcionalidad directa. En la siguiente transcripción podemos observar ese proceso:
Alumno A3: Nueve con cuatro. Van de siete en siete centímetros, ¿verdad?
Alumno A6: No.
Alumno A3: ¿No?
Alumno A6: Ahora empezó […] Porque vamos de dos en dos. Si te fijas, la última medida de uno en uno de nueve a diez milímetros hay tres hay tres centímetros. […] Un milímetro sube tres centímetros.
Dos minutos después, vuelve a surgir la búsqueda de una relación de proporcionalidad directa:
Alumno A6: ¡Uah, chaval!, está yendo justo de tres en tres. […] No, no, pero justo, en serio.
Alumno A7: De nueve con cuatro a diez no van tres.
Alumno A6: Ehhh.
Alumno A7: Van seis.
Alumno A7: Porque de aquí a aquí hay dos milímetros de diferencia.
6 minutos antes de dar por concluida la toma de datos se produce un pequeño debate, en el que participan todos los alumnos del grupo A, alrededor de la falta de relación de proporcionalidad directa entre las variables, que el alumno A6 cree que debe deducirse de los datos que obtienen, y la postura de sus compañeros, que parecen asumir que no tiene por qué presentarse:
Alumno A6: ¡Mimá!, teneis que empezar a fijaros más, eh.
Alumno A3: ¿Por qué?
Alumno A6: Porque está variando un mucho esto. […] Hacedme caso, eh, mira.
Alumno A7: ¡Ay!, Alumno A6.
Alumno A3: Tranquilo Alumno A6.
(…)
Alumna A9: Es aceite, es impredecible.
(…)
Alumno A7: No sabes cómo se comporta la Naturaleza, Alumno A6.
Alumna A8: Sí, ¡que ese aceite va a ser muy natural!
La búsqueda de una relación entre variables que siga las características de la función afín se manifiesta en la hoja donde escriben los datos recopilados. Se observa que incluyen las diferencias entre datos consecutivos, en un intento de dar respuesta a cuánto aumenta el diámetro por mililitro de aceite añadido.
Así, la búsqueda del alumno A6 de la proporcionalidad entre variables y la inclusión de las diferencias entre datos consecutivos en la tabla de datos del grupo A, nos remite a la posible existencia de uno de los obstáculos epistemológicos ligados a la noción de función, el “obstáculo de la razón o proporción” (Ruiz Higueras, 1998). Al dar por terminada la fase de obtención de la función de ajuste, los alumnos debían indicar por escrito la razón o razones de cada grupo para decidirse por las funciones que usaron. El grupo C y el grupo D utilizan el crecimiento de la función buscada como justificación pero el grupo C parece ir más allá al referirse a que la proporcionalidad entre variables es diferente ‘ml a ml’ que de ‘5ml a 5ml’. Este hecho parece indicar que el obstáculo de la razón o proporción se halla en realidad más presente que lo que se podría deducir de las conversaciones que mantienen los alumnos. Siguiendo a Ruiz Higueras (1998), las concepciones del concepto de función con las que los alumnos se han familiarizado en su formación académica (identificación de ciertas regularidades en fenómenos sujetos al cambio: relación entre cantidades de magnitudes variables; razón o proporción; gráfica, en su visión sintética; curva analítico-geométrica; expresión analítica) aparecen, en principio, en las dos primeras fases de la actividad. Por lo tanto, nos hallaríamos ante un obstáculo epistemológico manifestado en la evolución histórica del concepto.
Al concluir la obtención de la tabla de valores o datos, los alumnos se trasladaron al aula de informática del Centro para volcar los datos en el ordenador y obtener la función de ajuste. Cada grupo usó un ordenador y, antes de que introdujesen los datos, se les recordó que disponían de dos archivos GeoGebra que contenían un conjunto de 20 puntos y 60 puntos del plano, todos ellos de la forma ( x , x ) como una forma de ahorrar tiempo al introducir los datos. También se les recordó cómo cambiar con rapidez los valores de las abscisas y ordenadas de los puntos ( x , x ) de los archivos. También se les explicó que podían usar la copia del documento, que mencionamos previamente y que contiene las gráficas de las familias de las funciones elementales. Se les indicó que el fin de esta fase era obtener la función de ajuste de los datos. La duración de todo el proceso no excedió los 15 minutos en ningún grupo. La mayor parte del tiempo la dedicaron al volcado de datos y ajuste de amplitud visible de los ejes. Se observa que utilizan las hojas que contienen las gráficas de las funciones elementales para decidir qué función es la apropiada e identifican inmediatamente que se trata de la raíz cuadrada. Esa situación es común a todos los grupos excepto el grupo B, que intenta ajustar en primer lugar los datos con una función del tipo
,decidiendo más tarde que la función es la raíz cuadrada.
En el grupo C, y una vez que ya obtuvieron la función de ajuste, se produce un debate muy corto a raíz de las dudas expresadas por el alumno B4 de que podría tratarse de una logarítmica:
Alumno B4: ¿Y si no es esa?
Alumno B6: Sí que es, ¡oh!
Alumno B4: ¿Y si es la logarítmica? Mira la logarítmica.
Alumna B1: ¿No ves que coincide casi perfecta? [Se trata de la alumna que introduce los datos en el ordenador y le señala la gráfica que han obtenido].
Alumno B6: ¿Cuál es la logarítmica? [El alumno B4 le enseña las copias con las gráficas de las funciones].
Alumna B1: Hombre, si quieres probamos, ¡eh!
Alumno B6: ¡Hala! logarítmica sí, je, je. […] Pero la logarítmica empieza en los negativos.
Alumna B1: Hombre, si quieres probamos.
Alumno B6: Aquí no puede empezar en los negativos porque vamos de cero para arriba pero (…) tiene negativos.
Alumno B4: Dejamos esa, es la que más cuadra. Es la que más va a cuadrar, vamos.
Alumno B2: Venga, ya está.
La razón de que el alumno B4 proponga que quizá se trate de una logarítmica parece fundamentarse en que ambas funciones (raíz cuadrada y logarítmica) son funciones crecientes, cóncavas y de dominio limitado a los reales positivos, lo que redunda en una gráfica con ciertas semejanzas y cuyo dominio coincide con los valores posibles de aceite vertido que, evidentemente, deben ser mayores que 0. Así, en su decisión prima que el dominio de la función que van a usar coincida con el dominio del caso real. No parecen darse cuenta que las funciones que aparecen en las fotocopias entregadas pueden ser modificadas y, como consecuencia, tanto su gráfica como su dominio y recorrido se verán modificadas. La justificación del alumno B6 para desdeñar la opción de una logarítmica no deja de llamar la atención. Acude al recorrido de la función (la logarítmica empieza en los negativos) olvidándose del hecho de que las gráficas pueden ser desplazadas modificando su expresión. El resto de los alumnos no contemplan la posibilidad del uso de una logarítmica porque ya han encontrado una función que ajusta adecuadamente los datos, razón suficiente para no probar con otra función. Esa misma razón es la que convence finalmente al alumno que manifestó sus dudas.
En la siguiente tabla (Tabla I) presentamos los gráficos generados por los alumnos (Figura 4, Figura 5, Figura 6, Figura 7, Figura 8, Figura 9):


Como se puede observar en la Figura 9, el Grupo E no consigue un ajuste de los datos de los pares de puntos de su tabla de datos. Recordamos que en esta fase, la tarea de los alumnos debía ser obtener una función de ajuste de los datos de su tabla de valores. Además, incluyen dos deslizadores (y por tanto dos parámetros) aunque en la función que entregan solo se usa uno.
La razón de la rapidez con la que los alumnos identifican la función puede venir dada porque en la fotocopia que se les entregó a los alumnos con las gráficas de las familias de las funciones fundamentales, aparece escrita la raíz cuadrada en la forma
y la representación gráfica de la función
, con lo que los alumnos quizá introdujeron un parámetro en la expresión de la función como forma de reproducción de lo que observaban en la fotocopia.
3.3. Descripción y análisis de la 3ª Fase
El buque Prestige se hundió cerca de la costa de Galicia en noviembre del año 2002, provocando una marea negra de grandes proporciones y una reacción social que aún es recordada en España. La cercanía en el tiempo del vertido del Prestige representaba para los alumnos una realidad próxima, tanto temporalmente como socialmente. Partiendo de esta situación, en la tercera fase se les entregó a los alumnos una fotocopia a color DIN A3 de una carta náutica de una zona de la ría de Vilagarcía (zona en la que se sitúa el Instituto en el que los alumnos cursaban sus estudios) (Figura 2) y otra fotocopia de una hipotética fotografía vía satélite de un vertido contaminante (Figura 3) junto con las siguientes preguntas, que los alumnos debían contestar por escrito e individualmente:
a) Determina la escala de la fotografía.
b) Determina el área de superficie contaminada. Usa aquellos instrumentos y conocimientos que estimes necesarios o convenientes .
c) Aplica el modelo que obtuviste para determinar la cantidad de fuel del vertido.
Estas preguntas se podrían englobar en una única cuestión más general: ¿cómo se mide la cantidad de fuel vertido en el agua si solo disponemos de una mancha contaminante visible? Sin embargo, juzgamos que era más conveniente dividir la cuestión inicial en las tres cuestiones planteadas y evitar de ese modo la dificultad que puede presentarse en los alumnos para elaborar la propuesta de resolución (Albarracín y Gorgorió, 2013); una pregunta demasiado abierta podía conducirlos a puntos muertos que obligasen al profesor a intervenir y suministrar claves de resolución. El objetivo fundamental de esta fase es que los alumnos apliquen el modelo obtenido en una situación hipotéticamente real o en un contexto auténtico, relevante socialmente.
A continuación se detalla el análisis para cada una de esas tres cuestiones.
a) Determina la escala de la fotografía
Los alumnos tenían que determinar la escala de una imagen (Figura 3) a partir de otra imagen de la zona pero de escala conocida (Figura 2). Las imágenes del vertido eran diferentes el curso 2010-2011 (escala 1:43300) y el curso 2011- 2012 (escala1:58600). La razón de proporcionar imágenes diferentes los dos años era que la diferencia de escala entre la carta náutica (escala 1:30000) y la fotografía fuese mayor para que los alumnos se viesen en la necesidad de calcular la escala. Una diferencia de escala pequeña puede llevar a considerar un cálculo aproximado del área mediante la escala conocida.
En cuanto al conocimiento de los alumnos sobre el uso de escalas, se realiza una introducción en edad temprana (6º de Ed. Primaria, Real Decreto 1513/2006, p. 4301) y los cálculos con escalas y determinaciones de escalas aparecen de forma recurrente a lo largo de toda la Educación Secundaria, tanto en la asignatura de matemáticas como en otras asignaturas. Se trata, por tanto, de una pregunta en la que los alumnos deben usar conocimientos relacionados habitualmente con la geometría y sobradamente conocidos por los alumnos. En la Tabla II asumiremos que la determinación adecuada de la escala conlleva medir una longitud mayor de 4cm en la carta náutica para determinar la escala de la fotografía.

La alumna A9 (v. Tabla II), por ejemplo, proporciona un cálculo que conlleva que las escalas son iguales pero ante la evidencia de que no lo son (simplemente observando ambas imágenes) opta por afirmar que no sabe hacer escalas. La mención expresa al saber hacer no nos parece casual y situamos su respuesta en un contexto de enseñanza en el que los alumnos deben saber hacer más que saber. No disponer del saber asociado al saber hacer, o del logos asociado a la praxis, lleva al abandono de la tarea. Es decir, si el alumno hubiese acudido a los conocimientos adquiridos sobre semejanzas y sobre el mapa (identificando la escala como una razón de semejanza) no hubiese mencionado que no sabe hacer escalas. La alumna A9 ha reducido el conocimiento sobre semejanzas y escalas a recordar cómo se hacen ese tipo de cálculos (praxis), relegando el logos al olvido por considerarlo un conocimiento secundario o prescindible. Así, la opción de intentar utilizar sus conocimientos adquiridos no es posible o no se contempla como posibilidad. De esa forma, no se produce ningún intento de resolver el problema acudiendo al bloque tecnológico-teórico [ ϕ/ θ] relativo a semejanzas y escalas, que podría suministrar el recurso tecnológico (hacer escalas) asociado a la parte práctica-técnica [T/ τ] de la praxeología (Gascón, 2011). La alumna no puede acudir al saber asociado a las semejanzas y las escalas porque carece de ese saber, lo que le impide considerar esa opción.
Usar una medida de 1 cm (Tabla II, 15% de los alumnos) representa añadir una dificultad a la toma de medidas en las imágenes porque representa buscar dos puntos distantes exactamente 1 cm, algo que no será sencillo encontrar. De hecho, el alumno B6 fija dos puntos e indica una separación entre ambos de 1 cm, que en realidad es aproximadamente de 0.9 cm (Figura 10). Esa diferencia de 1 mm influiría notablemente en el cálculo posterior pero, el alumno prefiere forzar la medida para obtener 1 cm como separación entre los dos puntos (Figura 10).

El 45% de los alumnos utilizan un método adecuado para calcular la escala: 2 la determinan usando una única regla de tres (Figura 11) y 7 usan dos reglas de tres (Figura 12).


Ninguno de los alumnos hace referencia a la razón de semejanza al responder esa pregunta y la ausencia de referencias a la razón de semejanza en el cálculo del volumen del vertido real, que realizan posteriormente, nos lleva a pensar que no han tenido en cuenta que pudiesen considerar el problema como un problema de semejanza, con lo que se manifiesta lo dicho anteriormente en el caso del cálculo de la escala por la alumna A9. Identificar la fracción

como una razón de semejanza entre dos imágenes les hubiese llevado, probablemente, a tomar la escala de la fotografía como una razón de semejanza y esto, quizá, les hubiese ayudado a utilizar la relación de volúmenes entre figuras semejantes

para obtener el volumen de vertido real a partir del volumen del vertido obtenido a partir del área de vertido calculado en la fotografía. Como veremos, la totalidad de los alumnos tienen problemas para realizar ese cálculo.
Las reflexiones que los alumnos hacen les han llevado a realizar determinados cálculos que conducen a un resultado que aportan como escala. Creemos que el análisis de los procesos que un alumno desarrolla para dar respuesta a una pregunta proporciona una información valiosa que permite realizar una mejor valoración sobre su grado de adquisición o dominio de competencias matemáticas, consideradas éstas como equivalentes a la comprensión y asimilación del conocimiento matemático, que ver si el resultado final a una pregunta es el correcto.
b) Determina el área de superficie contaminada. Usa aquellos instrumentos y conocimientos que estimes necesarios o convenientes
El cálculo debería ser planteado, de forma general por los alumnos, como el cálculo del área de una figura irregular de la que no se dispone de una fórmula que proporcione su área y, por tanto, debe ser calculado trazando diagonales de la figura, generando triángulos y calculando el área de estos, contenidos conocidos desde la Ed. Primaria. En la siguiente tabla (Tabla III) se muestra el tipo de procedimiento que los alumnos han utilizado para aproximar el área de la superficie contaminada y también se detalla el tipo de figura que han utilizado.

En la figura 13 se muestra la aproximación que hizo la alumna B1 a partir de un trapezoide.

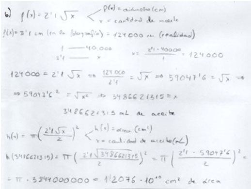
Llama la atención que tres alumnos (15%) utilicen las funciones del modelo para calcular el área del vertido. Adjuntamos el cálculo realizado por el alumno B2, que había trazado un círculo sobre la fotografía, como ejemplo (Figura 14):

Se observa la inclusión de la función h(x) , obtenida en la fase no descrita en el presente artículo y que relaciona área del vertido con volumen del mismo.
La explicación a esa respuesta creemos encontrarla en la forma en que se plantean habitualmente los ejercicios y problemas de matemáticas en las aulas, que suministran los datos necesarios y suficientes para contestar las preguntas y, en muchas ocasiones, solo es posible contestar una pregunta si se dispone de los resultados aportados por preguntas previas. Dedicar tiempo y esfuerzos a obtener las funciones antes de plantear las preguntas del cuestionario puede haber llevado a pensar a los alumnos que la pregunta se planteaba para ser contestada usando las funciones. Lo mismo podría haber ocurrido con los alumnos que no calculan el área por no disponer de la escala (al no poder calcular la escala en la primera pregunta, consideran que no es posible determinar el área).
Resultan sorprendentes las dificultades de los alumnos para identificar las figuras geométricas fundamentales y el cálculo de sus áreas. En este trabajo se pone de manifiesto que la repetición insistente de conocimientos considerados imprescindibles o fundamentales (como es el caso del cálculo de áreas y volúmenes) no garantiza que los alumnos los vayan a adquirir adecuadamente ni que sean capaces de usarlos exitosamente.
En cuanto al tipo de figuras utilizadas para el cálculo de áreas, hemos observado que en el curso 2010-2011, el 100% de los alumnos intentan aproximar el área mediante polígonos, sin embargo, en el curso 2011-2012 todos lo aproximan mediante un círculo.
c) Aplica el modelo que obtuviste para determinar la cantidad de fuel del vertido.
Los alumnos tenían escritas en el encerado tres funciones obtenidas en las fases previas (Tabla IV). Las funciones g y h son funciones obtenidas por los alumnos en la fase no descrita en el presente artículo. La previsión era que los alumnos calculasen el área real del vertido usando el área de vertido calculada en la fotografía y la escala de la fotografía determinada previamente.

El análisis de las respuestas muestra que la alumna B1 utiliza la escala para determinar las longitudes reales del polígono que ha usado para aproximar el área de vertido (trapezoide). Una vez hecho esto, realiza el mismo cálculo que ya hizo en el apartado anterior para determinar aproximadamente el área real de vertido. Con ese valor, que sustituye por h(x) , calcula el valor de x .
Por su parte, el alumno B2, usa la escala para determinar el diámetro real (ha usado un círculo como medio de aproximar el área de vertido) y utiliza la función f para calcular el volumen.
Excepto estos dos alumnos, todos los alumnos cometen errores o no calculan el volumen solicitado (90%). Aunque se observan dificultades comunes a varios alumnos, se podría decir que cada uno de los alumnos presenta particularidades que son objeto de análisis individualizado. La mayoría de los alumnos tienen dificultades con ejercicios sencillos de uso de escalas y de cálculo de áreas. Algunos alumnos utilizan mal las unidades de medida de magnitudes, atribuyendo unidades de medida de longitud a medidas de área o de volumen. Se observan deficiencias en el cambio de unidades de medida (paso de cm2 a m2 por ejemplo). Se presentan dificultades asociadas a la correcta identificación y uso de las variables funcionales. Algunos alumnos presentan deficiencias en el cálculo y manipulación de expresiones algebraicas sencillas. Se constata en algunos alumnos un uso inadecuado de la notación matemática y una presentación deficiente de su trabajo.
El hecho de que los alumnos no identifiquen la función h (que relaciona área con volumen) como la más apropiada para responder la cuestión planteada puede deberse a varias razones, no todas ellas relacionadas con la dificultad asociada a la pregunta. Pensamos que el haber escrito las tres funciones f , g y h en el encerado ha provocado desconcierto en los alumnos. Indicar qué función deben usar los alumnos limita el uso del modelo en contexto pues proporciona respuestas clave a preguntas que se generan en el uso del modelo en dicho contexto.
A modo de resumen del análisis de resultados, destacamos:
- Es evidente una diferencia notable en el número de datos recogidos en el laboratorio de cada grupo y, además, en todos los casos parecen insuficientes. La razón estriba en que previamente habían realizado prácticas de funciones de ajuste de puntos en el plano en casos en que el número de puntos necesario para un correcto ajuste es pequeño. De esa forma, las prácticas o experiencias previas se revelan como factores de influencia en la forma inmediata de actuar de los alumnos ante una situación nueva. Acostumbrados a la repetición de esquemas o algoritmos inmutables suministrados con anterioridad, llevan esa misma norma de actuación al caso de una modelización matemática.
- El hecho de suministrar, en las fotocopias
entregadas a los alumnos, la familia de funciones “raíz cuadrada” como
la vinculada a la expresión
ha tenido
influencia en el trabajo de los alumnos a la hora de introducir la forma de la función. Si se hubiese optado
por incluir dicha función en la forma
se les habría presentado una dificultad mayor en su trabajo de determinación de
la función adecuada. Lo dicho para la expresión de la función se puede ampliar
a otros aspectos de la modelización, tanto reduciendo el grado de dificultad
(indicando el número de datos que deben obtener en el laboratorio,
suministrando la escala de la fotografía, simplificando la figura de área
contaminada, etc.) como aumentándola (añadiendo dificultades a la determinación
de la escala como, por ejemplo, no suministrando la carta náutica y esperar que
los alumnos soliciten información al profesor o la busquen de forma autónoma,
proponiendo una figura geométrica más compleja, añadiendo preguntas de mayor
dificultad, reduciendo las preguntas de la tercera fase a solo la tercera
pregunta, etc.) lo que nos sitúa en un problema que nos parece crucial al
hablar de modelización matemática en la enseñanza: el grado de dificultad
aconsejable en una modelización, ligado en parte al planteamiento del mismo
como un problema más o menos abierto.
- Los alumnos vinculan una función a su expresión analítica genuina. Se olvidan de que una función puede ser presentada como resultado de las operaciones de varias funciones sin que ello represente un cambio en el nombre asignado a la función. Conocer que el hecho de introducir los parámetros a y b modifica la gráfica y el dominio y recorrido de la función, resulta básico en el caso de intentar ajustar puntos del plano mediante funciones. Resulta evidente que los alumnos no consideran ese hecho en todas sus posibilidades, algo que resulta sorprendente si tenemos en cuenta la formación matemática que han recibido. Conocen y, en teoría, dominan conceptos, nociones y herramientas matemáticas de gran potencia y que les permiten realizar el estudio gráfico completo de una función (dominio de definición, recorrido, puntos de corte con los ejes, monotonía, extremos, curvatura y puntos de inflexión, cálculo de asíntotas) pero no se dan cuenta, por ejemplo, de que un logaritmo puede tener como dominio de definición los números positivos pero también los número mayores de -3, de forma que el dominio, el recorrido y la gráfica se ve modificada al modificar la expresión.
- El 20% de los alumnos no determinan la escala de la fotografía y el 40% lo hace de forma claramente deficiente. Esos datos muestran que la mayoría de los alumnos no son capaces de hacer un uso adecuado de sus conocimientos sobre escalas en el contexto de problemas sencillos. Hay que tener en cuenta que son alumnos de 1º de Bachillerato Científico- Tecnológico y que en el plazo de un año y unos pocos meses muchos de ellos se encontrarán enfrentándose a estudios de grados universitarios de carácter científico. La explicación a este hecho radica en que el modelo de enseñanza de las matemáticas se basa, fundamentalmente, en memorizar algoritmos, esquemas y técnicas heurísticas concretas. Si el alumno olvida el algoritmo o la técnica heurística, su conocimiento matemático desaparece. No disponer de saber asociado a saber hacer deriva en ese tipo de comportamiento.
- Usar un polígono como forma de aproximar el área de vertido, es utilizada solo por el 35% de los alumnos. De ellos, solo el 10% llega a calcular el área según un proceso adecuado. Esto nos lleva a que los problemas son planteados usualmente de forma secuencial: la primera cuestión proporciona la clave para responder la segunda cuestión, la segunda cuestión para responder la tercera, etc. Así, los problemas son, en realidad, guías de problemas.
Los alumnos no vinculan las cuestiones relacionadas con mapas con cuestiones relacionadas con la semejanza entre figuras. En las respuestas de los alumnos en ningún caso se menciona la semejanza, acudiendo a la proporcionalidad directa como forma de responder a las cuestiones. Esa circunstancia sirve de explicación a que el 90% de los alumnos no lleguen a determinar el volumen de vertido.
4. CONCLUSIONES
Al hablar de modelización matemática en la enseñanza-aprendizaje de las matemáticas es usual incluir los obstáculos que conlleva la implantación de la modelización. Uno de esos obstáculos es la duración temporal de la modelización (Blum & Niss, 1991, pp. 43-44) porque el profesor tiene miedo de no disponer del tiempo suficiente para llevar a cabo sus objetivos prioritarios y que no incluyen la modelización matemática. La duración de las tres fases de la modelización que presentamos en este artículo no excede la hora y media, lo cual es perfectamente asumible por un profesor en cuanto a la inversión de tiempo que precisa.
Resaltamos que el Obstáculo de la razóno proporción que se observa, y que Ruiz Higueras (1998) considera como epistemológico, no se haría visible sin la realización de un debate y el análisis de las conversaciones de los alumnos. Esa circunstancia lleva a la necesidad de una toma de decisiones por parte del profesor sobre, por ejemplo, la utilización del debate en el aula. Destacamos, además, que este obstáculo se manifiesta tanto en la primera como segunda fase y ambas son fases fácilmente reducibles a la obtención de un resultado (una tabla de datos y una función de ajuste), identificables con el uso de una técnica previamente aprendida o derivada de una técnica previamente aprendida y, por tanto, identificable con el saber hacer y la praxis.
Acudiendo al Ciclo de modelización (Figura 1), podríamos identificar la 1ª y 2ª fases como los pasos 1, 2, 3 y 4 que, desde el resto del mundo, traslada el problema a las matemáticas, matematiza la situación, proporciona un modelo matemático y un resultado matemático. La 3ª fase se inscribe en el paso 5, de modo que el modelo obtenido vuelve al resto del mundo para ser aplicado, proporcionando resultados reales. No se produce ni validación ni exposición, asumiendo el modelo alcanzado y los resultados que proporciona como adecuados.
Si hablamos de las competencias, la actividad propuesta puede ser caracterizada como un problema planteado desde una situación del mundo real y plenamente situado en un contexto auténtico. Desde las competencias, podemos identificar los objetivos con la obtención experimental de una tabla de datos, obtener un modelo matemático (función) a partir de la tabla de datos y aplicar el modelo a una situación problemática nueva y contextualizada en la que el modelo obtenido proporciona respuestas. Como muestra el análisis de resultados, las competencias de los alumnos, identificadas como capacidadde , tanto en lo que se refiere a conceptos y nociones básicos sobre funciones como en otras áreas no directamente relacionadas con las funciones, son claramente deficientes. Los alumnos no son capaces de aplicar sus conocimientos matemáticos en un contexto real, lo que los convierte en no competentes según los términos de definición de ser competente de PISA. Creemos importante resaltar que las deficiencias, que consideramos notables, no saldrían a relucir si la modelización planteada se hubiese limitado a la obtención del modelo, identificable con el saber hacer (Gascón, 2011). Es decir, si observamos únicamente las dos primeras fases, los alumnos son capaces de saber hacer una tabla de datos y una función de ajuste. Si suponemos que los alumnos han integrado en esos procesos el saber asociado (variables funcionales, distinción entre función matemática y función en contexto, parámetros presentes, dominio, recorrido, etc.) diremos que los alumnos son competentes generando el modelo.
Para finalizar, ilustraremos la complejidad de la introducción de la modelización en la enseñanza de las matemáticas a través de un ejemplo. Supongamos que un profesor fija como objetivo la obtención del modelo (tabla de datos con un número de datos suficiente, búsqueda una función que ajuste plenamente los datos) y su uso exitoso en un contexto real asociado. Esas capacidades pueden ser reducidas de tal modo que puedan ser identificables con el saber hacer : obtener datos experimentales se reduce al uso de instrumentos de medida, conseguir la función de ajuste se puede reducir al uso puramente técnico de un programa informático, etc. Imaginemos ahora que otro profesor estará más preocupado por que el alumno reflexione sobre los conceptos y nociones presentes en el modelo, por el saber asociado a ese mismo saber hacer. Por ejemplo, que el alumno identifique las variables presentes en la tabla de datos, distinga las variables físicas de las variables matemáticas, identifique los parámetros que aparecen en el problema, comprenda la influencia de cambio del valor del parámetro en la gráfica de la función, identifique el dominio y recorrido de las funciones, etc. Con esos objetivos, puede parecerle a este segundo profesor que suprimir el que los alumnos obtengan los datos o la obtención de la función de ajuste por sí mismos no representa un elemento importante, proporcionando él mismo los datos y obteniendo la función de ajuste en una sesión conjunta. De esa forma, el modelo será, para los alumnos, su modelo en menor grado y será percibido como otra actividad matemática más realizada, en algunos de los procesos fundamentales, por el profesor. Que el resultado final (la función obtenida) pueda ser calificado como excelente o no, será algo secundario para este profesor mientras que para el primer profesor es la calidad de ese resultado final lo importante. De todos modos, queremos destacar que, en ambos casos, se puede argumentar que se llevan a cabo los procesos de construcción, simplificación/ estructuración, matematización, trabajo matemático e interpretación del ciclo de modelización (Figura 1) y los procesos de matematización que describe PISA.
La contradicción entre las dos posturas o enfoques mencionados es evidente y solo es explicable desde una pregunta que plantea la modelización: ¿qué es lo importante en una modelización? Si respondemos que lo importante es obtener el producto de la modelización obtendremos una conclusión, pero si optamos por responder que la modelización forma parte del conocimiento matemático en un sentido amplio, obtendremos otra. En el fondo, el problema que plantea la modelización en la enseñanza-aprendizaje de las matemáticas es el mismo que cualquiera otra cuestión relacionada con la enseñanza-aprendizaje de las matemáticas: ¿qué queremos que los alumnos aprendan? y por tanto, ¿qué queremos enseñar a los alumnos?
Es fundamental que el profesor sea consciente de que los objetivos que marca influyen en la forma en que plantea e implementa la modelización y, como consecuencia, en la respuesta del alumno. Eso convierte la modelización en una actividad más abierta y menos predecible (Blum & Niss, 1991; Blum & Borromeo, 2009). Obliga al profesor, por tanto, a la toma de decisiones sobre qué objetivo es el fundamental, lo que se encuentra directamente relacionado con la perspectiva bajo la que se plantea (Kaiser & Sriraman, 2006). Desde nuestro punto de vista, la praxis (generar la tabla de datos, etc.) debe ser complementada con el logos (identificación de variables, relación entre variables, etc.), de modo que un objetivo fundamental debe ser la búsqueda del equilibrio entre ambas.
Referencias
Albarracín, L. y Gorgorió, N. (2013). Problemas de estimación de grandes cantidades: modelización e influencia del contexto. Revista Latinoamericana de Investigación en Matemática Educativa, 16(3), 289-315. doi: 10.12802/relime.13.1631
Barbosa, J. C. (2003). What is mathematical modelling? In S. J. Lamon, W. A. Parker, & K. Houston (Eds.), Mathematical modelling: a Way of Life: ICTMA 11 (pp. 227-234). Chichester, Reino Unido : Horwood Publishing.
Blomhøj, M. (2004). Mathematical modelling - A theory for practice. In B. Clarke, D. Clarke, G. Emanuelsson, B. Johnansson, D. Lambdin, F. Lester, A. Walby, & K. Walby (Eds.), International Perspectives on Learning and Teaching Mathematics (pp. 145-159). Suecia: National Center for Mathematics Education.
Blum, W. & Borromeo, R. (2009). Mathematical Modelling: Can It Be Taught And Learnt? Journal of Mathematical Modelling and Application, 1(1), 45-58
Blum, W. & Niss, M. (1991). Applied mathematical problem solving, modelling, applications, and links to other subjects - state, trends and issues mathematics instruction. Educational studies in mathematics, 22(1), 37-68. doi: 10.1007/BF00302716
Chevallard, Y. (1999). L’analyse des pratiques enseignantes en théorie anthropologique du didactique. Recherches en Didactique des Mathématiques, 19(2), 221-266.
Gascón, J. (2011). ¿Qué problema se plantea el enfoque por competencias? Un análisis desde la teoría antropológica de lo didáctico. Recherches en Didactique des Mathématiques, 31(1), 9-50.
Kaiser, G. & Sriraman, B. (2006). A global survey of international perspectives on modelling in mathematics education. ZDM, 38(3), 302-310.
NCTM-National Council of Teachers of Mathematics (Ed.) (2000). Principles and Standards for School Mathematics. Reston, EEUU: NCTM. (Trad. al castellano (2003): N.C.T.M.: Principios y Estándares para la Educación Matemática. Sevilla, España: S.A.E.M. THALES)
OECD (2006). PISA 2006 Marco de evaluación Conocimientos y habilidades en Ciencias, Matemáticas y Lectura. OECD. ( http://www.oecd.org/pisa/39732471.pdf )
Orden ESD/1729/2008 de 11 de Junio. BOE 18/06/08, por la que se regula la ordenación y se establece el currículo del bachillerato.
Real Decreto 1631/2006, de 29 de diciembre, por el que se establecen las enseñanzas mínimas correspondientes a la Educación Secundaria Obligatoria. BOE del 5 de Enero de 2007.
Real Decreto 1467/2007, de 2 de noviembre. por el que se establece la estructura del bachillerato y se fijan sus enseñanzas mínimas. BOE del 6 de Noviembre de 2007.
Ruiz Higueras, L. (1998). La noción de función: análisis epistemológico y didáctico. Jaén, España: Universidad de Jaén.
Schmidt. B. (2010). Modeling in the classroom motives and obstacles from the teacher’s perspective. In V. Durand-Guerrier, S. Soury-Lavergne, & F. Arzarello (Eds.), Proceedings of the CERME 6 (pp. 2066-2076). Lyon.
Notas de autor
bua@edu.xunta.es