CONSTRUCCIÓN COGNITIVA DEL ESPACIO VECTORIAL R2
COGNITIVE CONSTRUCTION OF VECTOR SPACE R2
CONSTRUCCIÓN COGNITIVA DEL ESPACIO VECTORIAL R2
Revista Latinoamericana de Investigación en Matemática Educativa, vol. 21, núm. 1, pp. 57-86, 2018
Comité Latinoamericano de Matemática Educativa

Recepción: 26 Febrero 2016
Aprobación: 15 Marzo 2018
Financiamiento
Fuente: Fondecyt
Nº de contrato: 1140801
Financiamiento
Fuente: Proyecto digi y el Centro de Estudios Avanzados de Universidad de Playa Ancha
Resumen: Presentamos antecedentes sobre la validación de un modelo cognitivo para el aprendizaje del espacio vectorial R2. Como hallazgo, destacamos el papel que desempeña asociar un par de números reales a una ecuación lineal homogénea (de dos incógnitas) para inducir estructura algebraica a su conjunto solución. Además, se entrega evidencia de cómo el uso de un parámetro, para escribir una solución de una ecuación lineal homogénea, es un factor importante que pone de relieve a la ponderación de una solución por un escalar como una operación que se asocia al conjunto solución de una ecuación lineal homogénea. Todo lo anterior en estrecha relación con la construcción del espacio vectorial R2.
Palabras clave: Modelo cognitivo, Espacio vectorial R2, Ecuación lineal homogénea, Conjunto solución, Teoría apoe.
Abstract: We present background information on the validation of a cognitive model for the learning of the vector space R2. As a result, we highlight the role played by the association of a pair of real numbers to a homogeneous linear equation (with two unknowns) to induce an algebraic structure to the solution set. Furthermore, we present evidence of how the use of a parameter to write a solution of a homogeneous linear equation, is an important factor that highlights the product of a solution by a scalar as an operation that is associated with the solution set of a homogeneous linear equation. All of this has a close connection with the construction of the vector space R2.
Keywords: Cognitive model, Vector space R2, Homogeneous linear equation, Solution set, theory.
Résumé: Nous présentons les antécédents d’un modèle cognitif pour l’apprentissage de l’espace vectoriel R2 et sa validation. En tant que contribution, il faut remarquer le rôle joué par l’association d’une paire de nombres réels à une équation linéaire homogène (avec deux inconnues) pour induire une solution algébrique à son ensemble solution. Nous présentons aussi d’une part, des évidences sur l’utilisation d’un paramètre, comme un facteur important, qui souligne la pondération d’une solution par un nombre réel en tant qu’opération associée à l’ensemble de la solution d’une équation linéaire homogène, pour écrire une solution d’une équation linéaire homogène. Ces résultats ont une étroite relation avec la construction de l’espace vectoriel R2.
Mots clés: Modèle cognitif, Espace vectoriel R2, Équation linéaire homogène, Ensemble solution, Théorie apos.
Resumo: Apresentamos antecedentes sobre a validação dum modelo cognitivo para a aprendizagem do espaço vetorial R2. Destacamos o papel que desempenha a associação dum par de números reais com uma equação lineal homogénea (de duas incógnitas) para induzir estrutura algébrica a seu conjunto solução. Ademais amostramos evidencia de como o uso dum parâmetro para escrever uma solução duma equação lineal homogénea, é um fator importante que destaca a ponderação duma solução por um escalar como uma operação que se associa ao conjunto solução duma equação lineal homogénea. Tudo o anterior em estreita relação com a construção do espaço vetorial R2.
Palavras-chave: Modelo cognitivo, Espaço vetorial R2, Conjunto solução da equação linear homogénea, Teoria apos.
1. ANTECEDENTES QUE PROPICIAN LA CONSTRUCCIÓN DE R2 COMO ESPACIO VECTORIAL
Construir cognitivamente el espacio vectorial R2 requiere una mirada histórica epistemológica para comprender la evolución de las construcciones matemáticas asociadas con la estructura de espacio vectorial y, a la vez, atender los procesos mentales involucrados en el andamiaje cognitivo de estos tópicos (Artigue, 2003; Dorier y Sierpinska, 2002). Además, es necesario asumir una posición frente a aquellos conceptos que se han considerado basales en dicha construcción. Así, para esta investigación, se entenderá por producto cartesiano R2 al conjunto de todos los pares ordenados de números reales; por plano cartesiano, a un plano provisto de puntos, rectas y un sistema de coordenadas rectangular, y, por plano vectorial, a un plano provisto de segmentos dirigidos (o vectores geométricos). Nociones que pondrán de relieve a una estructura algebraica para los vectores del plano que se anclan a un origen, el espacio vectorial R2, como se ilustra en la figura 1.

La elección de estos diferentes escenarios se justifica, en parte, por la necesidad de explorar la influencia de las diferentes concepciones que hay de par ordenado, a la par con la idea segmento dirigido, en el marco de las ecuaciones lineales de dos incógnitas y sus respectivos conjuntos solución. Teniendo presente que la resolución de una ecuación del tipo ax+b=0 es considerada uno de los problemas primarios del álgebra lineal (Máltsev, 1978). En definitiva, se desea promover un tránsito entre la matemática escolar y la matemática universitaria para sustentar dicha construcción con base en un conocimiento previo más elemental.
1.1. Antecedentes históricos epistemológicos del concepto espacio vectorial y algunos elementos matemáticos a considerar en la modelación cognitiva de R2
Los procesos de unificación que se fueron dando en geometría, a partir de las ideas que desarrollaron Descartes en 1637 y Klein en 1893 (Dorier, 1997), ponen de relieve una estructura algebraica —el concepto de grupo— (Kleiner, 2007), que está en sintonía con la resolución de ecuaciones y la búsqueda de un cálculo geométrico que intentaron algunos matemáticos entre los siglos xvii y xix para resolver problemas en el marco de la geometría sintética (Kleiner, 2007; Dorier, 1997); estos hechos influyeron en la presentación axiomática que realizó Peano en 1888 de lo que hoy conocemos como espacio vectorial (Dorier, 2000; Van der Waerden, 1930). Por otro lado, en 1930 se produce la axiomatización del álgebra lineal al alero del concepto espacio vectorial, situándolo como un concepto unificador, generalizador y formalizador de los conceptos ligados al álgebra lineal, de la misma forma que el concepto de límite en análisis (Dorier & Sierspinska, 2002; Artigue, 2003).
Con respecto a la enseñanza de la geometría en los años sesenta, a la luz de la postura de algunos matemáticos franceses como Artín (1963), Choquet (1964) y Revuz (1971), destaca el rol del concepto de espacio vectorial en la caracterización del plano y el espacio geométrico (Hernández, 1978, Dorier, 1995a), lo que pone en evidencia el tratamiento de la geometría a través de una estructura algebraica para alcanzar su visualización en el sentido de Zazkis, Dubinsky y Dautermann (1996): […] “La visualización es un acto que puede consistir en la construcción mental de objetos o procesos que un sujeto asocia con objetos o medios externos como el papel, la pizarra o la pantalla del ordenador, o situaciones percibidas” (p. 441). Esta perspectiva permite apreciar el rol que desempeñaron otros conceptos matemáticos en esta nueva mirada de la geometría y, a su vez, ayuda a comprender los procesos de abstracción asociados con ella. Estos planteamientos nos permitieron trazar un camino matemático para dar paso a la construcción cognitiva del espacio vectorial R2. Ruta que considera como punto de partida al producto cartesiano R2 y al plano cartesiano para luego avanzar hacia la construcción de un plano provisto de vectores anclados a un origen que sustenta una estructura algebraica, el espacio vectorial R2.
En atención a los antecedentes epistemológicos referidos en Dorier (2000), la presente investigación pone el acento en la resolución de una ecuación lineal homogénea (elh) de dos incógnitas considerando el producto cartesiano R2 a través de un procedimiento matemático que hace uso de parejas de números reales e inversos aditivos para generar sus soluciones. Tratamiento que pondrá de relieve la estructura aditiva de grupo abeliano en el conjunto solución de dicha ecuación, atendiendo a la relación entre cierto par de soluciones y la solución (0,0). Por otro lado, el hecho de relacionar una elh con la ecuación de una recta y/o la función lineal, pondrá de manifiesto a una recta vectorial que contiene el origen del sistema de coordenadas en el plano cartesiano. De esto último, la idea de múltiplo escalar en el conjunto solución de una elh sugerirá una ponderación por escalar en dicho conjunto. Además conectará con la idea de dilatación y contracción de cualquier segmento dirigido anclado al origen de una recta vectorial asociada con una elh.
1.2. La enseñanza del espacio vectorial desde la didáctica de la matemática como reacción a la reforma de las matemáticas modernas
Como resultado de los efectos producidos por la reforma de las matemáticas modernas en Francia en los años sesenta —donde se intentó poner en sintonía las estructuras matemáticas que promovió el grupo Bourbaki y las estructuras intelectuales que promocionó Piaget (Bkouche, Charlot & Rouche, 1991)—, se impulsaron distintas iniciativas como las que se describen a continuación:
Un programa de investigación en álgebra lineal para indagar en el tipo de problemáticas asociadas con su enseñanza y aprendizaje en distintos niveles de enseñanza en los años ochenta (Dorier, 1995b),
Una reforma curricular para el álgebra lineal en Estados Unidos (Dorier, 1997).
El desarrollo de algunas concepciones teóricas para entender y explicar el porqué de las problemáticas en el aprendizaje de los conceptos ligados al álgebra lineal a nivel universitario (Dorier & Sierpinska, 2002; Sierpinska, 2000; Robinet, 1986)
Estas tres iniciativas permiten situarnos en un panorama amplio respecto de la investigación y las innovaciones que desarrollaron distintos investigadores en torno a los conceptos del álgebra lineal.
En relación con el concepto espacio vectorial, desde la didáctica de la matemática, destacan algunas perspectivas que establecen ciertas directrices para su enseñanza (Dorier & Sierpinska, 2002; Dubinsky, 1996; Harel, 2000), como por ejemplo aquella que pone el acento en ciertos principios como el de representación múltiple (Harel, 2000) o aquella que sitúa el espacio vectorial como una estructura algebraica sistematizadora y generalizadora, aspecto que se debe tener en cuenta al momento de enseñar dicho concepto en relación con el obstáculo del formalismo (Dorier & Sierpinska, 2002) o la que intenta revertir el papel imitador y reproductor del estudiante (Dubinsky, 1996). Además, destacan algunas iniciativas de enseñanza que se han documentado como exitosas y que aluden a determinadas fases para ir situando paulatinamente al estudiante en un proceso gradual de abstracción (Weller et al., 2002; Harel, 2000) y otras que ponen de relieve el concepto de abstracción reflexiva como un mecanismo que promueve construcciones mentales relacionadas con la construcción de ideas matemáticas cuya comprensión demanda altos niveles de abstracción, como es el caso del espacio vectorial (Parraguez, Lezama, y Jiménez, 2016; Arnon et al., 2014; Parraguez & Oktaç, 2010; Roa y Oktaç, 2010; Trigueros 2005; Trigueros et Oktaç, 2005; Kú, Trigueros y Oktaç, 2008).
1.3. Relevancia del espacio vectorial R2 en esta investigación y sus alcances con la realidad educacional en Chile
El espacio vectorial Rn es una de las estructuras algebraicas más utilizadas en las ciencias, la ingeniería y la economía, entre otras. En el aula y en los textos se enfatiza en particular esta estructura algebraica para el caso n=2 y n=3. Dada su riqueza conceptual, basada en la convergencia de aspectos aritméticos, algebraicos y geométricos, esta estructura permite ejemplificar conceptos del álgebra lineal, como, por ejemplo: combinaciones lineales, base, conjunto generador, transformaciones lineales, dual, entre otros. Sin embargo, es poco probable que quienes la utilizan en el proceso de enseñanza se detengan en su construcción. Inclusive, para el caso del espacio vectorial R2, es poco común que se piense en articular y promover un tránsito entre el producto cartesiano R2, el espacio vectorial R2 y el plano vectorial para dotar a este último de una estructura algebraica, el espacio vectorial R2, a través de la resolución de un determinado tipo de ecuaciones —dirección en la que se orienta la investigación que aquí se presenta—. También es conocido que los estudiantes no se detienen a reflexionar en su construcción, dadas las dificultades que manifiestan cuando se les solicita que resuelvan situaciones del álgebra lineal vinculadas con un espacio vectorial en el marco de los conjuntos R2 y R3 (Robert et Robinet, 1989; Robinet, 1986). Por último, se ha evidenciado que el tránsito del espacio vectorial R2 al espacio vectorial R3 no es algo trivial (Robinet, 1986), lo que motivó el estudio de la construcción del espacio vectorial R2 que aquí se describe.
En resumen, el foco de esta investigación está en el rol que desempeñan las elh y no homogéneas con sus correspondientes conjuntos solución en relación con el producto cartesiano R2, y las respectivas representaciones gráficas de las funciones asociadas en la promoción de la construcción del espacio vectorial R2 a la par con la de plano vectorial. Para lograrlo se parte de una estrategia que consiste en construir el paralelismo de rectas en el plano cartesiano y la relación entre una diagonal y los lados no paralelos de un paralelogramo, en términos de su asociación a tres segmentos dirigidos que se anclan al sistema de coordenadas rectangular. Las construcciones anteriores se conjugan con la construcción de la dilatación o contracción de un segmento dirigido anclado al origen, en el plano cartesiano, con el fin de sugerir la ponderación de un par ordenado por un número real y la idea de un generador de la recta vectorial a partir de una solución del conjunto solución de la ecuación lineal homogénea (cselh), permitiendo coordinar los procesos asociados del producto cartesiano R2 con los del plano cartesiano. Poniendo de relieve la noción de forma lineal y su respectivo núcleo.
En este artículo, como primera etapa, se pretende evidenciar el nivel de coherencia que se puede dar entre los elementos algebraicos y geométricos elementales antes mencionados para construir cognitivamente la estructura de espacio vectorial R2, que es relevante para la comprensión de otros conceptos del álgebra lineal.
1.4. Pregunta de investigación
La pregunta que orienta esta investigación es la siguiente: ¿Qué elementos matemáticos son necesarios y se evidencian como prerrequisitos en estudiantes universitarios para construir cognitivamente la noción de espacio vectorial R2, con base en el producto cartesiano R2, el plano cartesiano y el plano vectorial?
2. MARCO TEÓRICO: APOE
La Teoría APOE (Acrónimo de Acción, Proceso, Objeto y Esquema) es una teoría constructivista que toma como marco de referencia las ideas de Piaget respecto del desarrollo del conocimiento, fundamentalmente rescatando el concepto de abstracción reflexiva y el concepto de esquema (Asiala et al., 1997). Dubinsky, quien desarrolla esta teoría, extiende el análisis cognitivo de conceptos matemáticos que se estudian de un nivel escolar, a un nivel de educación superior (Dubinsky, 1996). Para ello describe cómo un individuo pasa de un estado de conocimiento a otro en relación con un concepto matemático específico, descrito en términos de estructuras mentales, ya que él considera que los conceptos matemáticos no se aprenden directamente, sino que se construyen, y para ello es necesario que el individuo empiece de estructuras mentales previamente construidas para comprenderlo.
En la teoría APOE, las estructuras mentales que describen el proceso de construcción de un fragmento del conocimiento matemático son cuatro: acción, proceso, objeto y esquema. Conforme un individuo reflexiona y trabaja para comprender uno o varios conceptos matemáticos pone en juego mecanismos mentales: interiorización, coordinación, encapsulación y reversión, que son considerados casos particulares de la abstracción reflexiva (Arnon et al., 2014) para construir las estructuras mentales. Estas estructuras y mecanismos son la base para la construcción de esquema de un concepto, que desde esta perspectiva teórica (Figura 2), es una colección de acciones, procesos, objetos y esquemas de otros conceptos, relacionados en la mente del estudiante como una estructura cognitiva coherente. La coherencia del esquema es justamente la que precisa su nivel de desarrollo en términos de la triada —intra, inter y trans—, entendida en términos de las relaciones entre los componentes del esquema que el estudiante muestra haber construido y establecer si éste permite solucionar una situación matemática particular y usarlo en tal caso. Al tratar un problema matemático, el estudiante evoca un esquema y lo destematiza, si ha sido tematizado como un objeto, es decir, lo descompone para acceder a sus componentes, utiliza relaciones entre ellos y trabaja con el conjunto de estructuras. Un esquema está siempre en evolución y puede considerarse como un nuevo objeto al cual pueden aplicársele acciones y procesos; en tal caso se dice que el esquema se ha tematizado en un objeto (Asiala et al., 1997).

Consideremos un objeto matemático. Se realizan acciones sobre objetos previamente construidos, relacionados con otros conceptos matemáticos que se toman como base para la construcción del nuevo. Las acciones se caracterizan por ser transformaciones que se realizan paso a paso, obedeciendo a estímulos que son o se perciben como externos (Arnon et al., 2014; Dubinsky & MacDonal, 2001).
Un estudiante ha interiorizado una acción en un proceso si puede realizar una operación interna que hace (o imagina) esencialmente la misma transformación enteramente en su mente, sin necesariamente realizar todos los pasos específicos. Dos o más procesos pueden coordinarse para construir un nuevo proceso y un proceso puede revertirse. Si el estudiante considera un proceso como un todo que estabiliza su propio dinamismo, y puede realizar nuevamente acciones sobre él, se considera que ha encapsulado el proceso en una estructura mental objeto, que es una construcción estática. En general se puede decir, a la luz de esta teoría, que las dificultades del estudiante con el simbolismo matemático provienen de tratar de llevar a cabo acciones y procesos sobre conceptos matemáticos específicos, antes de que los objetos hayan sido encapsulados. Además, si se precisa ir desde el objeto al proceso que le dio origen, ha ocurrido una desencapsulación del objeto (Arnon et al., 2014; Dubinsky, 1996).
Una descomposición genética (dg) es un modelo hipotético que describe en detalle las construcciones y mecanismos mentales necesarios para que un estudiante aprenda un concepto matemático (Arnon et al., 2014; Asiala et al., 1997). Este modelo no pretende ser único y debe ponerse a prueba experimentalmente para ser validado o refinado, a través de la aplicación de técnicas de recolección de datos y su posterior análisis. En el caso de esta investigación, se trata de especificar las construcciones mentales necesarias para el aprendizaje del concepto espacio vectorial R2 a partir del producto cartesiano R2, en el marco de las ecuaciones lineales y su respectivo conjunto solución. Cabe indicar que otras investigaciones que nos anteceden ya han indagado en el concepto espacio vectorial con base en el mismo marco teórico que se usa en este estudio de manera genérica (Parraguez y Oktaç, 2012; Parraguez & Oktaç, 2010; Oktaç, Trigueros & Vargas 2006; Trigueros et Oktaç, 2005), esto es, presentan una dg para un espacio vectorial V cualquiera en el que los conocimientos previos necesarios para su construcción se sustentan en esquemas de función, de conjunto y de operaciones binarias. El presente artículo, en cambio, propone una dg para un espacio vectorial específico (R2), en la que los conocimientos previos involucrados en su construcción —al contrario de los ya reportados— son construcciones mentales tipo acción de plano cartesiano y de elh, y así ésta puede considerarse como una contribución original a la literatura.
3. METODOLOGÍA
La teoría apoe proporciona un ciclo de investigación compuesto por tres componentes: el análisis teórico, el diseño y aplicación de instrumentos y el análisis y verificación de datos, el cual ha sido utilizado con éxito por el Grupo rumec y otros investigadores (García-Martinez & Parraguez, 2017; Parraguez et al., 2016; Trigueros, Maturana, Parraguez y Rodríguez, 2015; Arnon et al., 2014; Roa y Oktaç, 2012; Trigueros & Martínez-Planell, 2010). Este ciclo de investigación, determinado por esas tres componentes, permitió obtener evidencias de las estructuras mentales que mostraron los estudiantes participantes en la investigación, en la construcción del espacio vectorial R2.
El análisis teórico condujo a proponer las estructuras y mecanismos mentales que se describen en la dg preliminar en el apartado 3.1. Una vez definida la dg preliminar es necesario validarla, es decir, tener alguna evidencia de que el modelo de construcción de espacio vectorial R2 señalado en ella predice las construcciones de los estudiantes participantes en el estudio. Para esto, en una segunda etapa, se diseñaron y aplicaron técnicas de recolección de datos (cuestionarios y entrevistas semiestructuradas) que permitieron mostrar y/o refinar las construcciones mencionadas en la dg preliminar, mediante las cuales los estudiantes pueden construir el espacio vectorial R2. Cabe mencionar que las técnicas de recolección de datos —cuestionarios y entrevistas— permitieron ubicar episodios críticos que condujeron a la identificación, en el análisis de los argumentos observados de los alumnos, de aquellas estructuras y mecanismos mentales que subyacen a la construcción del concepto en estudio.
Se trabajó con siete estudiantes de las carreras de Pedagogía en Matemática e ingenierías de dos universidades de un país sudamericano. La selección de los estudiantes en estas dos universidades trabajadas como casos —indagación en profundidad de una realidad específica— (Stake, 2010) se vinculan con los siguientes aspectos: 1) heterogeneidad de los estudiantes que pertenecen al conjunto; 2) historial matemático de los estudiantes; 3) existencia en su malla curricular de las asignaturas de álgebra y álgebra lineal; 4) rendimiento óptimo en el curso álgebra lineal; 5) reprobación nula en las asignaturas de álgebra básica; 6) estudiantes voluntarios; 7) accesibilidad de los investigadores. La tabla i resume la información en cuanto a fuentes y técnicas utilizadas.
La presente investigación consideró estos casos para “mirar”, al interior de cada uno de ellos, cómo el plano cartesiano evoluciona de la mano de las construcciones relacionadas con las elh.
| Fuente | Caso 1 5 Estudiantes de Pedagogía en Matemática de la Universidad 1. (E1, E2, E3, E4 y E5) | Caso 2 2 Estudiantes de Ingeniería en Matemática de la Universidad 2. (E6 y E7) |
| Técnica | 1 Cuestionario individual de 5 preguntas Entrevista individual de 4 preguntas | |
| Análisis de los datos | Caso 1, Caso 2 y la dg Preliminar Los datos obtenidos con la aplicación de las técnicas fueron analizados desde la dg preliminar detectando qué estructuras encontradas en ellos no han sido consideradas en la dg o cuáles de las incluidas hipotéticamente no se perciben. | |
3.1 Una descomposición genética preliminar del espacio vectorial R2 y su articulación con la matemática escolar y universitaria
El análisis teórico, que es la primera componente del ciclo metodológico propuesto, consistió en un estudio detallado de R2 como espacio vectorial. Con base en esto último se propusieron las estructuras mentales hipotéticas necesarias en la construcción mental preliminar de este concepto. Esto es lo que llamamos una dg preliminar, que en esta investigación es un modelo epistemológico y cognitivo del espacio vectorial R2 que incorpora el plano cartesiano como un objeto y un procedimiento algebraico constituido por acciones y procesos, que permite obtener una solución de una elh. En la figura 3 se presenta un diagrama con las construcciones y mecanismos mentales para construir el espacio vectorial R2 como un objeto.
Para este estudio el diseño de la dg se sustenta en la resolución de una elh de dos incógnitas a través de un tratamiento algebraico que genera ecuaciones que se asocian con parejas de rectas paralelas a los ejes coordenados, cuyo punto de intersección determina un punto de la recta vectorial asociada con dicha ecuación y el correspondiente par ordenado que debe asociarse con una solución de dicha ecuación. Además, se pone en relieve tres segmentos dirigidos, anclados al origen del sistema de coordenadas, uno incluido en la recta vectorial y los otros dos en los respectivos ejes coordenados. Sobre la base de estos elementos algebraicos y geométricos se promueve la articulación del producto cartesiano R2, el plano cartesiano y el plano vectorial y se favorece el tránsito entre ellos.

Con base en lo anterior, lo primero es determinar soluciones de una elh, asignando un par de números reales, inversos aditivos uno del otro, a los términos de ésta. Dichas soluciones se deben relacionar con la solución (0,0) para asociar una operación de adición con el cselh, donde el uso de un parámetro permite escribir dos ecuaciones paramétricas asociadas con la elh para determinar el cselh. Por otro lado, la dilatación o contracción del segmento dirigido, asociado con la recta vectorial, se debe relacionar con la ponderación de una solución a través de las ecuaciones paramétricas y el gráfico de la función lineal, mismos que se deben asociar con el conjunto solución de una elh.
3.1.1. Estado de construcción de los conceptos previos considerados en la dg a nivel escolar
Para construir el espacio vectorial R2 se requiere que el plano vectorial, como proceso, se coordine con el proceso resultante de la desencapsulación del plano cartesiano, como objeto, activando tríos de segmentos dirigidos anclados al origen del sistema de coordenadas que deben relacionarse con los lados no paralelos de un paralelogramo. Considerando un álgebra de pares ordenados para el producto cartesiano R2, como proceso, y un álgebra de soluciones para el cselh, como proceso, se activa un tránsito entre plano cartesiano y el plano vectorial a través de la coordinación de dichos procesos. Además, el cselh debe coordinarse con el plano cartesiano como proceso, a través de la construcción de una recta vectorial como proceso y la gráfica de la función lineal, como proceso, debiéndose asociar la ponderación de un par ordenado con la dilatación y contracción de un segmento dirigido de la respectiva recta vectorial. Finalmente, desde la combinación y descomposición lineal de pares ordenados como procesos y la verificación y coordinación de propiedades, como proceso, se construye el espacio vectorial R2 como una estructura del plano vectorial. A continuación, se describe la dg que se propone.
3.1.2. La interiorización de una acción como un proceso
Para dar inicio a la construcción del espacio vectorial R2 se requiere que la acción asignar un par de números reales inversos aditivos a los términos de una elh se interiorice en el proceso solución mediante la verificación de los pares ordenados en la elh, asociándolos con puntos de intersección de pares de rectas paralelas a los ejes coordenados.
3.1.3. Sobre la coordinación de procesos
Los procesos solución de una elh y par ordenado, se coordinan con el proceso conjunto de las soluciones mediante el uso de un parámetro, lo que permite obtener ecuaciones paramétricas de rectas paralelas a los ejes coordenados cuyos puntos de intersección se vinculan con la recta vectorial asociada con una elh. Asociar la solución (0,0) con las soluciones de la elh, cuya abscisa y ordenada son inversas aditivas, permite coordinar los procesos solución de la elh y operación binaria en el proceso suma de soluciones. Por otro lado, el objeto función lineal se debe desencapsular en el proceso ponderación de una solución. Para ello hay que reescribir el gráfico de la función lineal en términos de un parámetro. Los procesos suma de soluciones y ponderación de una solución se deben coordinar en el proceso álgebra de soluciones, atendiendo a las propiedades que sugiere la idea de múltiplo escalar en el cselh. Además, el objeto plano cartesiano se debe desencapsular en el producto cartesiano R2, asociando pares ordenados de números reales con los puntos de intersección de las rectas paralelas a los ejes coordenados. Estos dos últimos procesos se deben coordinar en el proceso álgebra de pares ordenados mediante la verificación de propiedades de la estructura algebraica del cselh. El proceso álgebra de pares ordenados se debe coordinar con el proceso plano vectorial R2 en el proceso álgebra de vectores, relacionando los lados no paralelos de un paralelogramo con el álgebra de pares ordenados.
3.1.4.- Sobre la encapsulación de un proceso y la vinculación entre la matemática escolar y la universitaria
Finalmente, el proceso algebra de vectores geométricos se encapsula en el objeto espacio vectorial R2 mediante la acción de comparación de la estructura algebraica del cselh en los respectivos subconjuntos del producto cartesiano R2, en el plano vectorial R2. Cabe indicar que la construcción del espacio vectorial R2 como objeto se hace mediante las estructuras relacionadas con los elementos algebraicos y geométricos declarados en los programas de estudio y las nuevas bases curriculares para el subsector de matemática a nivel escolar en Chile (Mineduc, 2012; Mineduc, 2016).
3.2.- Sobre los conocimientos previos de los estudiantes que conforman los casos
Antes de analizar las distintas respuestas que dieron los estudiantes que conformaron los casos de estudio al cuestionario, se hace necesario precisar sus conocimientos previos, lo cual se muestra en la tabla ii.
| Caso 1: 5 Estudiantes de Pedagogía en Matemática (E1, E2, E3, E4 y E5) | Caso 2: 2 Estudiantes de Ingeniería en Matemática (E6 y E7) | |
| Conocimientos previos | .- El concepto de grupo y cuerpo. .- Noción de espacio vectorial.* .- Concepto de función lineal y afín. .- Conjunto solución de una relación y solución como par ordenado. .- Concepto de vector geométrico. | .- El concepto de grupo y cuerpo .- Noción de espacio vectorial.* .- Concepto de función lineal y afín. .- Conjunto solución de una relación y solución como par ordenado. .- Concepto de vector geométrico. |
Estos conocimientos previos se refieren a conceptos que ya han estudiado estos siete aprendices en sus cursos de secundaria, y son tópicos que ellos evocarán en algún estado de construcción para dar respuesta a las actividades propuestas en los instrumentos que se les aplicaron. Con esto último queda de manifiesto que los investigadores no han intervenido los casos de estudio antes de la aplicación del cuestionario y la entrevista.
3.3. Sobre las preguntas que se consideraron en el cuestionario
Se diseñó un cuestionario de cinco preguntas con la intención de hacer explícitas las estructuras mentales que los estudiantes ponen en juego al responderlas. Hemos seleccionado, para ejemplificar el análisis, dos de las cinco preguntas —las preguntas 1 y 2—, pues a través de ellas los estudiantes de ambos casos dieron evidencias claras de las distintas construcciones y mecanismos mentales propuestos en la dg, en atención a los conceptos producto cartesiano R2 y plano cartesiano.
3.3.1. Análisis a priori de la pregunta 1
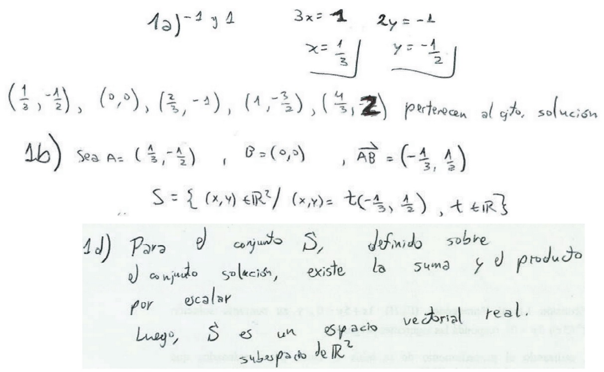
PREGUNTA 1: Dada la Ecuación Lineal Homogénea (elh) 3x+5y=0 , y su conjunto solución S={(x, y) ∈ R2 / 3x+5y =0}, responda las siguientes preguntas:
a) Determine, asignando un par de números reales a los términos de la elh, cinco pares ordenados que pertenezcan al conjunto solución de la elh.
b) ¿Cómo reescribiría el conjunto solución de la elh?
c) ¿Existirá una elh de dos incógnitas cuyo conjunto solución sea el conjunto vacío? Explique.
d) Considerando los pares ordenados del inciso a), y el conjunto solución del inciso c), ¿qué operaciones binarias se sugiere para el conjunto S? Explique.
En la tabla iii se muestran las ideas matemáticas relacionadas con el cselh que se podrían activar al aplicar el tratamiento algebraico que se propone en la dg para obtener soluciones de una elh.
| Inciso de la pregunta 1 | Aspectos matemáticos que están implícitos en la pregunta 1 |
| Inciso a | Con base en el tratamiento algebraico se espera que los estudiantes obtengan pares de soluciones inversas aditivas involucrando los respectivos inversos multiplicativos de los coeficientes de la elh. Esto sugiere infinitas soluciones para el cselh. |
| Inciso b | Se espera que los estudiantes, utilizando el tratamiento algebraico, hagan uso de un parámetro y obtengan un par de ecuaciones paramétricas para reescribir el v. Lo anterior podría sugerir la ponderación por escalar para el cselh. |
| Inciso c | Se espera que un estudiante plantee que (0,0) será siempre una solución de una elh. Por lo tanto, S ≠ ɸ. |
| Inciso d | Con base en lo realizado se espera que se propongan las siguientes operaciones: +:SxS ---> S; (a,b)+(c,d)= (a+c,b+) y •:RxS ---> S; t•(a, b)= (t•a, t•b) |
El objetivo de la pregunta 1 es indagar si la acción asignar pares de números reales, inversos aditivos en los términos de una elh se interioriza en el proceso solución de una elh, verificando que los nuevos pares de números reales satisfacen la ecuación. Lo anterior requiere, como conocimiento previo, del grupo aditivo y multiplicativo de los números reales como proceso. Por otro lado, se desea constatar si comparar soluciones inversas aditivas de una elh actúa como mecanismo de coordinación para construir el proceso adición de soluciones a partir de los procesos cselh y operación binaria. Finalmente, se desea saber si coordinando los procesos de múltiplo escalar en el cselh y de ponderación de las coordenadas, a partir del gráfico de la función lineal con el uso de un parámetro, es posible construir el proceso ponderación de una solución para el cselh.
3.3.2. Análisis a priori de la pregunta 2
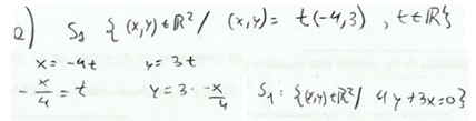
PREGUNTA 2: Sean S1, S2 y S3 los conjuntos solución de tres elh distintas. Cada uno de los siguientes pares ordenados (-4,3), (-3,1) y (-1,2) pertenecen a S1, S2 y S3, respectivamente.
¿Cómo explica, geométricamente, la igualdad (-4,3) = -1(3,-1) + 1(-1,2)? Explique.
Determine otros elementos de S2 y de S3 para escribir una nueva igualdad para (-4,3) con estos nuevos elementos. Comente lo realizado.
Considerando dos pares ordenados de S1, escriba una igualdad para el par ordenado (0,0).
Determine las elh asociadas con S1, S2 y S3, respectivamente, y establezca una relación entre ellas. Explique.
En la tabla iv se dan a conocer aquellas nociones matemáticas que se pueden relacionar al escribir una igualdad que vincula a tres soluciones de elh distintas.
| Inciso de la pregunta 2 | Aspectos matemáticos implícitos en la pregunta 2 |
| Inciso a | Requiere que un estudiante relacione los pares ordenados con segmentos dirigidos anclados a un sistema de coordenadas rectangular en el plano cartesiano. Además que vincule la ponderación por escalar como una trasformación no isométrica. Por último, que se vincule la igualdad con un paralelogramo que se ancla a un sistema de coordenadas rectangular. Lo anterior promueve un tránsito entre el plano cartesiano y el plano vectorial R2 desde un álgebra de pares ordenados del producto cartesiano R2. |
| Inciso b | Se pretende que un estudiante utilice la adición o ponderación por escalar para obtener otras soluciones de los respectivos cselh que se indican, entendiendo que la solución (0,0) no permite responder al requerimiento. |
| Inciso c | Se espera que un estudiante escriba otras igualdades reparando en el grupo aditivo (S, +). |
| Inciso d | Se espera que un estudiante utilice ecuaciones paramétricas para obtener las elh y establecer una relación entre los coeficientes de dichas ecuaciones. |
La pregunta 2 tiene por objetivo evidenciar la coordinación de los procesos suma de soluciones y ponderación de una solución en el proceso álgebra de soluciones. Por otro lado, se espera que a partir de la coordinación entre los procesos asociados con los segmentos dirigidos de las rectas vectoriales, y el de la relación entre la diagonal de un paralelogramo y sus lados no paralelos anclados al origen del sistema de coordenadas, se construya el proceso que permite articular el plano cartesiano con el plano vectorial R2 desde la estructura algebraica que se ha obtenido para el producto cartesiano R2.
3.4. Sobre el diseño de la entrevista
Se diseñó una entrevista semiestructurada (Rodríguez, Gil & García, 1999) para ahondar en los aspectos que el cuestionario no reveló (Anexo) y que no consideró en profundidad, específicamente algunas construcciones y mecanismos mentales que se dispusieron en la dg, pero por la naturaleza de las preguntas de este primer instrumento no fue posible ahondar en ellas.
La intención de cada una de las preguntas diseñadas para el guión de la entrevista fue analizada y consensuada por los investigadores. La pregunta 1 tuvo por objetivo mostrar si el proceso álgebra de soluciones se puede construir simultáneamente entre el espacio vectorial R2 y un subespacio propio de éste. La pregunta 2 permitió indagar en la construcción del proceso cselh para luego evidenciar la encapsulación del mismo en el objeto cselh provisto de operaciones no usuales. La pregunta 3 permitió describir la construcción del conjunto generador de una recta vectorial como proceso. Finalmente, la pregunta 4 permitió mostrar la desencapsulación del objeto espacio vectorial R2 en el proceso recta vectorial.
4. RESULTADOS
En este apartado se da cuenta de los resultados de la aplicación tanto del cuestionario como de la entrevista en los dos casos de estudio. Para ello se ha subdivido el análisis en dos apartados como se explicita a continuación.
4.1. Sobre los resultados del cuestionario
El trabajo realizado por los estudiantes en el cuestionario se ha dispuesto en la tabla v donde se muestran las construcciones mentales evidenciadas por los estudiantes a partir del análisis de las respuestas a todo el cuestionario, el que se interpretó por los investigadores y se negoció al alero de la dg propuesta.
| Casos Conceptos | Caso1 | Caso 2 | |||||
| E1 | E2 | E3 | E4 | E5 | E6 | E7 | |
| 1. Asignar pares de números reales a los términos de la elh | Proceso | Proceso | Acción | Objeto | Proceso | Acción | Proceso |
| 2. Solución de una elh | Proceso | Proceso | Proceso | Objeto | Proceso | Proceso | Proceso |
| 3. Ponderación de una solución para la cselh | Proceso | Objeto | Objeto | Objeto | Proceso | Proceso | Objeto |
| 4. Función lineal | Objeto | Proceso | Objeto | Objeto | Proceso | Proceso | Objeto |
| 5. Suma de soluciones de una elh | Proceso | Proceso | Proceso | Objeto | Proceso | Proceso | Objeto |
| 6. Segmentos dirigidos de rectas vectoriales | Proceso | Proceso | Proceso | Objeto | Proceso | Proceso | Objeto |
| 7. Plano cartesiano | Proceso | Proceso | Proceso | Objeto | Proceso | Proceso | Objeto |
| 8. Plano vectorial | Proceso | Proceso | Proceso | Objeto | Proceso | Proceso | Proceso |
| 9. Espacio vectorial | Proceso | Proceso | Proceso | Objeto | Proceso | Proceso | Objeto |
De la interpretación en la tabla v podemos señalar que todos los estudiantes dan evidencias de haber construido muchos de los procesos previos que les permiten encapsular el espacio vectorial R2 como objeto. Sin embargo, los estudiantes tienen dificultades para coordinar los procesos o encapsularlos, a excepción del E4 y el E7, quienes muestran evidencias de haber construido al espacio vectorial R2 como objeto. En lo que sigue, se exponen episodios de algunas respuestas al cuestionario que hemos seleccionado de ciertos estudiantes y que son representativas de lo que respondió la mayoría de los estudiantes que mostraron cada construcción, con la finalidad de ir al detalle este hecho.
El E1, como se observa en la figura 4, adiciona dos soluciones inversas aditivas y verifica que la suma sea una solución de la elh, concluyendo que ésta pertenece al cselh. Esto muestra una concepción proceso de cselh y una concepción acción de solución. Además, evidencia que está en vía de construir el proceso solución inversa aditiva.

Por otro lado, como se aprecia en la figura 5, el E1 manifiesta que en el conjunto solución existen soluciones inversas aditivas, a la luz de lo reflexionado en la pregunta 1, lo que evidencia que ha construido el proceso solución inversa aditiva y además muestra una concepción proceso de cselh. Muestra también que puede escribir una nueva combinación lineal utilizando la propiedad del cselh que ha generalizado y ajustando escalares; da muestras de una construcción acción del álgebra de soluciones.

En la figura 6, la respuesta del E2 al apartado 2e muestra que, si bien no logra dar una solución para las elh conocidas, puede conjeturar respecto del rol de una solución de una elh desde una recta vectorial y la ponderación por escalar, lo que muestra una concepción objeto de ponderación por escalar.

El E3, como se aprecia en la figura 7, define en el apartado 1d una operación binaria externa para el cselh, en atención a lo que ha realizado en los apartados 1a y 1b. Su argumento da cuenta de que a partir de una solución se pueden obtener las demás soluciones multiplicándolas por un escalar, manifestando con ello una concepción proceso ponderación de una solución.

Por otro lado, como se aprecia en la figura 8, el E3 representa pares ordenados específicos como vectores geométricos anclados al origen y relaciona la ponderación por -1 con dos vectores opuestos, manifestando con ello una concepción acción de vector opuesto. Además, interpreta la combinación lineal de dos soluciones específicas como la diagonal de un paralelogramo, manifestando una construcción acción suma de soluciones, lo que da lugar a la construcción acción álgebra de soluciones.

En la figura 9, el E4 obtiene una solución en el apartado 1a vía el procedimiento que se ha indicado y luego obtiene un múltiplo escalar de ella para generar nuevas soluciones. Además, en 1b, reescribe el conjunto solución haciendo uso de la ponderación por escalar. En el apartado 1d, declara que el cselh es un subespacio vectorial del espacio vectorial R2, argumentando que hay dos operaciones. Esto muestra una concepción objeto de cselh.

En la figura 10, el E4 evidencia una concepción objeto de solución de una elh al escribir la elh asociada con una solución específica. Destaca el uso de las ecuaciones paramétricas que sugiere el procedimiento para obtener soluciones de una elh.

En la figura 11, el E4, si bien lo que responde no se ajusta a la pregunta del apartado 2d, conjetura que toda solución del cselh se puede escribir como una combinación lineal, lo que muestra una construcción proceso álgebra de soluciones en el cselh.

El E7, como se aprecia en la figura 12, reconoce en el cselh propiedades de un grupo aditivo como acciones, destacando la propiedad de clausura, seguido de una generalización, lo que manifiesta una concepción proceso del cselh. Además, da muestras de haber construido el proceso solución inversa aditiva.

4.2. Sobre los resultados de la entrevista
Considerando el desempeño del E4 en el cuestionario, quien evidenció gran parte de las construcciones mentales que se propusieron en la dg, como se aprecia en la tabla v, se decidió entrevistarlo para ahondar en aquellas construcciones incluidas en la dg que a nuestro parecer inciden en el proceso álgebra de pares ordenados y su respectiva encapsulación en el objeto espacio vectorial R2.
A continuación, algunos extractos de las respuestas a la entrevista.
PREGUNTA1b) Dada la solución (-3,2) de una elh será posible, a partir de ese elemento, obtener a todos los elementos del cselh con la adición.
E4: …Sí, porque si tomamos cualquier múltiplo escalar de ese elemento...
Entrevistador: …es que no se está considerando la multiplicación por un escalar, sólo la adición de pares ordenados…
E4: Bueno, pero en el caso particular que sumemos ese único elemento lo podemos sumar con el mismo.
Entrevistador: Ya… lo podemos sumar
E4: Sí, por ejemplo… (suma (-3,2) consigo mismo y obtiene el (-6,2) no percatándose del error aritmético).
Entrevistador: Entonces sólo con la adición se podrán obtener todos los elementos del cselh.
E4: No, porque sólo nos va a entregar las soluciones enteras…

Su respuesta coincide con lo que indicó en el apartado 1d del cuestionario, donde menciona que se pueden dar dos operaciones para el cselh. En este caso, como se ve en la figura 13, a partir de una solución obtiene una nueva solución, evidencia de la acción solución múltiplo escalar.
PREGUNTA 3a) ¿Sólo con la adición de pares ordenados y dos soluciones de dos ecuaciones homogéneas no equivalentes se puede obtener todo R2?
E4: Con la adición no es posible… si vemos la suma queremos ver la suma de dos vectores pues tenemos dos elementos no nulos (dibuja dos vectores en el plano cartesiano, no colineales, ya que son elementos de dos ecuaciones no equivalentes).
E4: Como tenemos estos dos vectores no paralelos los podemos sumar y nos va a dar un tercer vector (aplica el método del paralelogramo y dice que ésa es toda la suma de los dos vectores).
E4: Cual será el problema siempre que sumemos números enteros, éstos son cerrados bajo la suma. Entonces cuando los sumemos siempre vamos a obtener un par cuyas componentes serán números enteros.

En la figura 14 se aprecia el uso de los vectores canónicos y el uso de la adición de pares ordenados para argumentar que se generarán sólo elementos de Z2. Esto evidencia la construcción de los objetos incluidos en el álgebra de pares ordenados.
Para el caso de la ponderación por escalar, E4 establece que es posible obtener todas las soluciones a partir de una solución, refiriéndose al conjunto generador. Esto corrobora nuevamente lo que indicó en la pregunta 1 del cuestionario. Se le pide la representación geométrica y, como se aprecia en la figura 15, relaciona la recta vectorial como un subespacio de R2. Esto sugiere la desencapsulación del objeto espacio vectorial R2 en el proceso recta vectorial.
PREGUNTA 3a) ¿Podríamos mirar geométricamente el conjunto generador?
Entrevistador: …y eso se podría mirar geométricamente (haciendo alusión al conjunto generador).
E4: Desde luego que se puede ver geométricamente, pues esto lo podemos ver como una recta en el plano… aquí tenemos un vector (-3,2) y el conjunto generado corresponde ser esta recta que es un subespacio vectorial de R2.

El E4, como se aprecia en la figura 16, relaciona los vectores canónicos de R2 para elaborar un contraejemplo y mostrar que sólo con la ponderación por escalar y dos elementos fijos no es posible obtener todos los elementos de R2. Para ello argumenta que cada vector de la base canónica genera un subespacio vectorial de R2, indicando además que la unión de dos subespacios vectoriales no necesariamente es un subespacio vectorial, aludiendo a una propiedad de los espacios vectoriales. Lo expresado evidencia que relaciona propiedades de un espacio vectorial y compara subespacios vectoriales de R2, lo que muestra una concepción objeto de espacio vectorial.
Entrevistador: ¿Sólo con la ponderación por escalar y dos soluciones de dos ecuaciones homogéneas no equivalentes se puede obtener todo R2?
E4: Yo pienso que no, y de hecho me voy a valer del mismo ejemplo anterior para ver que no se puede (dibuja los ejes coordenados y los vectores canónicos haciendo ver que cada uno de ellos genera sólo a los ejes coordenados como dos rectas vectoriales, haciendo notar que la unión de dichos conjuntos es distinta del conjunto R2, como se aprecia en la figura 10). De hecho, esto es una propiedad básica que se suele pasar en los cursos de álgebra lineal de que la unión de dos subespacios no necesariamente es un subespacio vectorial.

5. DISCUSIÓN
En primer lugar, destacamos la relevancia de modelar cognitivamente la construcción del espacio vectorial R2 a partir de la acción asignar números reales a los términos de una elh. Ello permite a los estudiantes obtener soluciones y construir el proceso solución para el cselh. Lo anterior se pone en evidencia en la respuesta del E1 a la pregunta 2b o lo que indicó el E3 en la pregunta 2a. Además se hace notar que dicha acción se sustenta en los grupos (R, +) y (R-{0}, ×), involucrando los coeficientes de una elh, hecho que favorece su interiorización en el proceso indicado anteriormente y que se puede constatar en la forma en que los E1, E2 y E5 responden la pregunta 1a del cuestionario. La utilización de un parámetro permite caracterizar una solución de una elh y a la vez promueve la construcción proceso ponderación por escalar de una solución como lo manifiesta tempranamente el E4 en la pregunta 1b, esta construcción favorece a su vez la construcción proceso conjunto generador para una recta vectorial, como se aprecia en las respuestas del mismo estudiante durante la entrevista. Si bien se esperaban argumentos que pusieran de manifiesto la relación entre las ecuaciones paramétricas y aquellas de las rectas paralelas a los ejes coordenados, en el plano cartesiano, únicamente el E4 hace uso de dichas ecuaciones para obtener las elh asociadas con las soluciones en la pregunta 2.
Desde un punto de vista matemático, manipular algebraicamente una ecuación lineal homogénea para obtener una solución, pone de relieve no sólo la estructura de R como grupo sino que además permite establecer una relación de la función lineal con su respectivo gráfico. Por otro lado, desde un punto de vista cognitivo, se pone de manifiesto la importancia de la construcción acción asignar números reales a los términos de una elh. Esta acción permite relacionar las variables de una ecuación mediante dos ecuaciones paramétricas, de tal forma que el uso del parámetro actúa como mecanismo de interiorización, mientras que reescribir el conjunto solución en términos de la relación de las variables en un par ordenado actúa como mecanismo de coordinación, permitiendo la construcción proceso ponderación de una solución.
La dg que se ha propuesto, siguiendo el ciclo de investigación que propone apoe, describe de manera adecuada las construcciones y mecanismos mentales necesarios para modelar el aprendizaje del concepto espacio vectorial R2 considerando la realidad educacional en Chile a nivel escolar. En esta construcción lo geométrico y lo algebraico conviven de manera armoniosa; lo que está en sintonía con los aspectos epistemológicos del periodo de 1630 a 1888, cuando se subraya la búsqueda de un nuevo cálculo geométrico que decanta en la axiomatización de un espacio vectorial y también con investigaciones previas relativas a la construcción del espacio vectorial y otros conceptos del álgebra lineal (Roa-Fuentes y Parraguez, 2017; Parraguez et al., 2016; Arnon et al., 2014; Parraguez & Oktaç, 2010; Roa y Oktaç, 2010; Trigueros, 2005; Trigueros et Oktaç, 2005).
6. CONCLUSIONES
El presente trabajo contribuye a la literatura en Educación Matemática dado que, por una parte, se propone una dg para construir el espacio vectorial R2 cuyos requisitos previos son elementales y, por otra, se muestran algunos resultados de una estrategia didáctica que permite a los alumnos su construcción al menos como proceso, lo que va más allá de la simple memorización. Además, los resultados empíricos sugieren cierta coherencia de las construcciones mentales dispuestas en la dg para construir simultáneamente el espacio vectorial R2 y un subespacio propio del mismo, partiendo de la construcción del cselh como objeto. De esta manera, es posible articular aquellos conceptos conocidos y trabajados por los estudiantes a nivel escolar, entre los 15 y 18 años en la realidad educacional chilena, con los nuevos conceptos que subyacen al concepto de espacio vectorial R2 y que caracteriza la dg que se ha propuesto. El estudio aquí presentado pone de relieve el papel de conceptos como estructura algebraica de R, elh, función lineal, recta vectorial y el conjunto solución como articuladores para transitar entre los conceptos producto cartesiano R2, plano cartesiano y plano vectorial, pilares para la construcción del espacio vectorial R2. Este estudio muestra la viabilidad de la dg para los dos casos de estudio presentados, y se proyecta en una investigación más amplia considerando la validación o refinación de la dg en otros casos, casos múltiples.
Agradecimientos
Este trabajo ha sido subvencionado parcialmente por el proyecto Fondecyt 1140801. Por el Proyecto digi y el Centro de Estudios Avanzados de Universidad de Playa Ancha. Además se agradece al Instituto Tecnológico Autónomo de México y a la Asociación Mexicana de Cultura A. C. por el apoyo a este proyecto. Finalmente, se agradece a los participantes por la buena disposición en la investigación.
Referencias
Arnon, I., Cottrill, J., Dubinsky, E., Oktaç, A., Roa Fuentes, S., Trigueros, M. & Weller, K. (2014).apos Theory: A framework for research and curriculum development in mathematics education. New York: Springer. doi: 10.1007/978-1-4614-7966-6
Artigue, M. (2003). ¿Qué se puede aprender de la investigación educativa en el nivel universitario? Boletín de la Asociación Matemática Venezolana, 10 (2), 117-134.
Artín, E. (1963). Les points de vue extrêmes sur l’enseignement de la géométrie. L’enseignement mathématique 9, 1-4.
Asiala, M., Brown, A., Devries, D.J., Dubinsky, E., Mathews, D. & Thomas, K. (1997). A framework for research and curriculum development in undergraduate mathematics education. In J. Kaput, A.H. Schoenfeld, E. Dubinsky (Eds.) Research in Collegiate Mathematics Education II, cbms Issues in Mathematics Education, 6, 1-32. doi.org/10.1090/cbmath/006/01
Bkouche, R., Charlot, B. et Rouche, N. (1991). Faire des mathématiques : le plaisir du sens. Paris: Armand Colin.
Choquet, G. (1964). L’enseignement de la géométrie. Paris: Hermann.
Dorier, J. L. (1995a). A general outline of the genesis of vector space theory. Historia Mathematica, 22 (3), 227-261. doi: 10.1006/hmat.1995.1024
Dorier, J. L. (1995b). Meta level in the teaching of unifying and generalizing concepts in mathematics. Educational Studies in Mathematics, 29 (2), 175-197. doi: 10.1007/BF01274212
Dorier, J. L. (2000). Epistemological analysis of the genesis of the theory of vector spaces. In J-L. Dorier (Ed.), On the teaching of linear algebra (Vol. 23, pp. 3-81). Dordrecht: Springer. doi: 10.1007/0-306-47224-4_1
Dorier, J. L. (Ed.). (1997). L’enseignement de l’algèbre linéaire en question. Grenoble: La Pensée Sauvage.
Dorier, J. L. & Sierpinska, A. (2002). The teaching and learning of mathematics at university level. New ICMI Study Series, 7 (3), 255-273.
Dubinsky, E. (1996). Aplicación de la perspectiva piagetiana a la educación matemática universitaria. Educación Matemática, 8 (3), 24-41.
Dubinsky, E. & MacDonald, M.A. (2001). apos: A Constructivist Theory of Learning in Undergraduate Mathematics Education Research. In D. Holton et al. (Eds.), The Teaching and Learning of Mathematics at University Level: An icmi Study, Kluwer Academic Publishers, pp. 275-282.
García-Martinez, I. & Parraguez, M. (2017). The basis step in the construction of the principle of mathematical induction based on APOS theory. The Journal of Mathematical Behavior, 46, 123-143. doi: 10.1016/j.jmathb.2017.04.001
Harel, G. (2000). Three Principles of learning and teaching mathematics. Particular Reference to Linear Algebra-Old and New Observations. In J-L. Dorier (Ed.), On the teaching of linear algebra (Vol. 23, pp. 177-189). Dordrecht: Springer. doi: 10.1007/0-306-47224-4_6
Hernández, J. (1978). La enseñanza de las matemáticas modernas. Madrid: Alianza.
Klein, F. (1893). Vergleichende Bertrachtungen über neuere geometrische Forschungen. Mathematische Annalen, 43 (1), 63-100. doi: 10.1007/BF01446615
Kleiner, I. (2007). A History of abstract algebra. Boston: Birkhaüser.
Kú, D., Trigueros, M. y Oktaç, A. (2008). Comprensión del concepto de base de un espacio vectorial desde el punto de vista de la teoría APOE. Educación Matemática, 20 (2), 65-89.
Máltsev, A. (1978). Fundamentos de álgebra lineal. MIR: Moscú.
MINEDUC (2012). Ajuste curricular 2012. Consultado el 15 de enero de 2016 en: http://media.mineduc.cl/wp-content/uploads/sites/28/2016/04/Cartilla-Curricular-FG-1.pdf.
MINEDUC (2016). Bases curriculares. Consultado el 02 de enero de 2016 en: http://www.ayudamineduc.cl/docs/informacion/info_guia/guia_ajuste.pdf.
Oktaç, A., Trigueros, M. & Vargas, X. (2006). Understanding of vector spaces a viewpoint from apos theory, cd-rom. Proceedings of the 3rd International Conference on the Teaching of Mathematics, Estambul, Turquía.
Parraguez, M. & Oktaç, A. (2010). Construction of the vector space concept from the viewpoint of apos theory. Linear Algebra and its Applications, 432 (8), 2112-2124.
Parraguez, M. y Oktaç, A. (2012). Desarrollo de un esquema del concepto espacio vectorial. Revista Paradigma, 33 (1), 103-134.
Parraguez, M., Lezama, J. y Jiménez, R. (2016). Estructuras mentales para modelar el aprendizaje del teorema de cambio base de vectores. Enseñanza de las Ciencias, 34 (2), 129-150. doi: 10.1016/j.laa.2009.06.034
Revuz, A. (1971). The position of Geometry in Mathematical Education. Educational Studies in Mathematics, 4 (1), 48-52. doi 10.1007/BF00305796
Roa-Fuentes, S. y Parraguez, M. (2017). Estructuras mentales que modelan el aprendizaje de un teorema del álgebra lineal: Un estudio de casos en el contexto universitario. Revista Formación Universitaria, 10 (4), 15-32.
Roa, S. y Oktaç, A. (2010). Construcción de una descomposición genética. Revista Latinoamericana de Investigación en Matemática Educativa, 13 (1), 89-112.
Roa, S. y Oktaç, A. (2012). Validación de una descomposición genética de transformación lineal: Un análisis refinado por la aplicación del ciclo de investigación de apoe. Revista Latinoamericana de Investigación en Matemática Educativa, 15 (2), 199-232.
Robert, A. et Robinet, J. (1989). Quelques résultats sur l’apprentissage de l’algèbre linéaire en première année de deug. irem de Paris VII. Cahier de Didactique des Mathématiques, 53. irem de Paris VII.
Robinet, J. (1986). Esquisse d’une Genèse des Concepts d’Algèbre Linéaire. irem de Paris VII. Cahier de Didactique des Mathématiques, 29, irem de Paris VII.
Rodríguez, G, Gil J &García, E. (1999). Metodología de la investigación cualitativa. Málaga: Aljibe.
Sierpinska, A. (2000). On some Aspects of Student´s thinking in Linear Algebra. In J-L. Dorier (Ed.), On the teaching of linear algebra (Vol. 23, pp. 209-246). Dordrecht: Springer. doi: 10.1007/0-306-47224-4_8
Stake, R.E. (2010). Investigación con estudio de casos. Barcelona: Labor.
Trigueros, M. (2005). La noción del esquema en la investigación en matemática educativa a nivel superior. Educación Matemática, 17 (1), 5-31.
Trigueros, M. & Martínez-Planell, R. (2010). Geometrical representations in the learning of two-variable functions. Educational Studies in Mathematics, 73 (1), 3-19. doi : 10.1007/s10649-009-9201-5
Trigueros, M. et Oktaç, A. (2005). La théorie apos et l’enseignement de l’algèbre linéaire. Annales de Didactique et de Sciences Cognitives, 10, 157-176.
Trigueros, M., Maturana, I., Parraguez, M. & Rodríguez, M. (2015). Construcciones y mecanismos mentales para el aprendizaje del Teorema Matriz Asociada a una Transformación Lineal. Educación Matemática, 27 (2), 95-124.
Van der Waerden, B.L. (1930). Modern Algebra, 2 Vols. New York: Springer-Verlag.
Weller, K., Montgomery, A., Clark, Julie, Cottrill, J., Trigueros, M. & Arnon, I. (2002). Learning Linear Algebra with isetl (disponible en: http://goo.gl/Qx4qiZ).
Zazkis, R.; Dubinsky, E. & Dautermann, J. (1996). Coordinating visual and analytic strategies: a student’s understanding of the group D4. Journal for Research in Mathematics Education, 27 (4), 435-457. doi: 10.2307/749876
ANEXO
