Recepção: 25 Fevereiro 2011
Aprovação: 24 Maio 2014
Resumo: Este estudo tem por objetivo verificar a existência de causalidade e interdependência entre as volatilidades dos diferentes índices mundiais de ações. Foram avaliados os cinco importantes índices de bolsas de valores no cenário mundial, além do Ibovespa: Dow Jones Industrial Average, Nasdaq Index Composite, Nikkei-225, Standard & Poor´s 500 e Financial Times Stock Exchange. Utilizou-se a metodologia de séries temporais com os testes de estacionariedade de Dickey-Fuller Aumentado (ADF), KPSS e Causalidade de Granger para as series dos índices. Os resultados obtidos indicam que os índices não possuem qualquer tipo de tendência, comportando-se em um mesmo nível, com média constante ao longo do tempo. Além disso, as alterações observadas na volatilidade do Ibovespa não causam qualquer tipo de interferência nos índices americanos Dow Jones e S&P500. No sentido contrário, ou seja, analisando a causalidade dos mercados mundiais sobre o Ibovespa, este estudo mostrou que a volatilidade dos índices Nasdaq, S&P500 e Nikkei não provocam mudanças na volatilidade do Ibovespa, não havendo qualquer tipo de interdependência entre esses índices. Porém, existe uma relação entre as volatilidades do índice Dow Jones e Financial Times sobre o Ibovespa. Os resultados evidenciados corroboram grande parte daqueles apontados na literatura sobre o tema, mas divergem dos estudos que detectaram uma influência ampla e relevante dos índices acionários do mercado dos EUA sobre o brasileiro.
Palavras-chave: mercado de capitais, interdependência entre mercados, volatilidades de Garman-Klass.
Abstract: This study aims to verify the existence of causality and interdependence between the different volatilities of world stock indices. The five major indices of stock exchanges in the global scenario besides Ibovespa were evaluated: Dow Jones Industrial Average, Nasdaq Composite Index, Nikkei-225, Standard & Poor's 500 and Financial Times Stock Exchange. We used the methodology of time series with stationary tests of Dickey-Fuller (ADF) and KPSS Granger causality for the series of indices. The results indicate that the contents do not have any tendency. They behave in the same level, with an average constant over time. Moreover, the observed changes in the Ibovespa volatility do not cause any interference in the U.S. Dow Jones index and S&P500. In the opposite direction, analyzing the causality of global markets on Ibovespa, this study showed that the volatility of Nasdaq, S&P500 and Nikkei do not cause changes in the Ibovespa volatility, without any kind of interdependence between these indices. However, there is a relationship between the volatilities of Dow Jones and the Financial Times on Ibovespa. The highlighted results largely corroborate those reported in the literature on the subject, but differ from studies that detected a wide and important influence of the stock market indices of the USA over the Brazilian.
Keywords: interdependence, stock market, volatility Garman-Klass.
INTRODUÇÃO
A economia global da atualidade apresenta uma dinâmica de rede e com muitas interligações, fruto do desenvolvimento das tecnologias de comunicação, informação e mobilidade (Choudhry et al., 2010). Na iminência de uma crise e ao primeiro indício de instabilidade econômica – até social ou política, aquele capital especulativo tende a migrar rapidamente para outros mercados.
Para se proteger nesses momentos de instabilidade, alguns países sinalizam antecipadamente políticas compensatórias ou de regulação, como o aumento da taxa de juros como tentativa de promover incentivos à manutenção do capital, seja pela manutenção dos investidores ou pela chegada de novos investidores com outro perfil de assunção ao risco.
Contudo, essa política “econômico-monetária” tem sido alvo de questionamentos (Bresser-Pereira, 2009) quanto à sua eficácia, sobretudo pelos reflexos na desaceleração da economia local. Aparentemente, observa-se uma propagação da crise. Pode-se constatar tal fenômeno no passado recente, com as “crises” do México em 1994, da Rússia em 1998, no Brasil em 1999, e na Argentina em 2002.
Esse contexto despertou uma série de estudos internacionais, com destaque para os de Chen e So (2002), Forbes e Rigobon (2002), Maroney et al. (2004), Choudhry (2005), Choudhry et al. (2010); e nacionais, como os de Marçal e Pereira (2008), Marçal et al. (2011) e Perobelli et al. (2013).
Nessa lógica, esta pesquisa procura observar a crise financeira bancária que se tornou um fenômeno persistente em meados de 2008. Grandes corporações do mercado financeiro mundial se viram em estado de falência em pouco tempo. O que parecia apenas especulações da mídia passou a se tornar realidade em todo o mundo. Alguns grandes bancos norte-americanos e empresas de seguro, com tradição no mercado financeiro, foram à falência da noite para o dia.
Esse efeito, além de gerar fortes impactos na economia americana como um todo, causou um colapso de escala global nos mercados de capitais. Ações negociadas nas principais bolsas de valores, em todo o mundo, sofreram quedas vertiginosas em um curto intervalo de tempo. Segundo os dados da NYSE (2008), os principais índices americanos, Dow Jones, Nasdaq e S&P500, termômetros do mercado de capitais daquele país, registraram queda de aproximadamente 40% em apenas quatro meses. Esse efeito repercutiu pelo mundo muito rapidamente, atingindo quase todos os países. No Brasil, a realidade não foi diferente. Conforme dados apresentados pela Bovespa (2008), o seu principal índice, o Ibovespa recuou aproximadamente 50% em quatro meses. E sua volatilidade saltou para patamares muito elevados nesse período de crise financeira.
Esta dependência do mercado nacional em relação às economias internacionais, principalmente às dos países desenvolvidos, proporciona fortes incertezas quanto ao comportamento dos preços futuros das ações. Além disso, mudanças repentinas nos índices internacionais geram grande instabilidade nos mercados dos países emergentes, como o Brasil.
A incerteza quanto ao comportamento futuro dos preços das ações sempre foi uma incógnita para os agentes dos mercados, mas a dificuldade é ainda maior em períodos de crises contundentes, como a que o mundo atravessou em 2008.
Como os preços das ações não dependem unicamente de fatores internos às empresas, mas também do comportamento do mercado global, é natural que os mercados sofram efeitos externos, especialmente das oscilações das economias de países desenvolvidos. A velocidade com que os preços se movem no curto espaço de tempo em épocas de crise geram grandes volatilidades nos diferentes mercados mundiais, contagiando todos os mercados que possuem os mesmos players envolvidos.
Na busca de se mensurar este efeito informacional entre os mercados, diversos estudos acadêmicos se pautaram em analisar os fenômenos da interdependência e da integração entre os índices acionários das principais bolsas do mundo. São exemplos os estudos de Lamounier e Nogueira (2007), Marçal e Pereira (2008), Marçal et al. (2011), Shamiri e Isa (2009), Diamandis (2009), Park (2010), An e Brown (2010), Sing e Sharma (2012), Dasgupta (2013, 2014), Kumar (2013), e Righi e Ceretta (2013), que analisaram a interdependência e o efeito de causalidade dos preços das ações.
Relacionar a transmissão de volatilidade entre os diferentes mercados mundiais, considerando não somente a relação de causalidade entre os preços de fechamento nas principais bolsas, mas os principais indicadores do comportamento do mercado intraday - preços de abertura, fechamento, máximo e mínimo - serão importantes fatores a se considerar em uma análise robusta.
Este estudo pretende, então, analisar a seguinte questão: Existe alguma relação de dependência entre as volatilidades dos diferentes índices mundiais de ações dos principais mercados internacionais?
O objetivo proposto é, então, o de se verificar a existência do fenômeno de causalidade entre as volatilidades de diferentes índices de bolsas de valores dos principais mercados do mundo. Para esse fim, foi feita uma análise de interdependência das volatilidades destes mercados, utilizando-se a metodologia de causalidade proposta por Granger (1969).
REFERENCIAL TEÓRICO
Nesta seção, é apresentada uma síntese do conteúdo teórico abordado no presente estudo, fazendo uma revisão contextual sobre interdependência e integração entre mercados e volatilidade. São apresentadas também algumas evidências empíricas de interdependência e integração constatadas nos diversos mercados financeiros mundiais, demonstrando alguns estudos já realizados sobre o assunto.
Interdependência e integração entre mercados
Os termos interdependência e integração, apesar de parecerem sinônimos, são conceitos distintos na literatura científica de mercado financeiro. Ambos tratam em inferir a relação existente entre dois ou mais mercados. Eles buscam apurar o impacto que as oscilações do preço de um dado ativo pode causar no comportamento dos preço de outro ativo.
De forma simplista, entende-se interdependência como uma ligação informacional entre dois mercados distintos. Uma notícia que pode gerar uma mudança repentina no preço de uma ação de um mercado serve de parâmetro para provocar mudanças em outro mercado. Geralmente as informações absorvidas nos grandes mercados mundiais se espalham pelo mundo, contagiando o mercado acionário global.
Pagan e Soydemir (2000) apontaram duas interpretações para interdependência. A primeira pode ser entendida como a ligação informacional entre mercados para o apreçamento de ações. A segunda refere-se ao efeito de contágio entre os mercados.
Geralmente, o simples fato de ocorrer uma mudança repentina no valor da ação de uma empresa, em um dado setor, serve de insumo para gerar quedas sucessivas de preço em empresas do mesmo setor, mas pertencentes a mercados e países diferentes, o que, às vezes, pode ocorrer sem uma causa externa aparente. Este fenômeno que contagia os mercados externos sem um motivo a priori é denominado pelos investidores de “efeito boiada” – uma massa de investidores decide fechar/abrir suas posições em um breve intervalo de tempo. Os autores colocam que os investidores locais tomam suas decisões de compra e venda pautadas em informações externas de mercado, mesmo não conhecendo completamente o fato que as originou.
Já a integração surge como um conceito econômico na comercialização de produtos, pautada na Lei do Preço Único (LPU). Na ausência de fatores como custo de transporte e barreiras comerciais ou outras restrições, produtos idênticos seriam vendidos por preços semelhantes devido à facilidade de arbitragem entre os investidores. A inexistência dessa relação de preço entre produtos de regiões distintas só ocorre, conforme Sexton et al. (1991), quando uma dessas regiões possui algum impedimento para a arbitragem eficiente, como restrições comerciais, informações assimétricas ou aversão ao risco, gerando uma competição imperfeita entre um ou mais mercados.
No mercado financeiro, a integração toma uma forma semelhante ao conceito macroeconômico. Para Akdogan (1995), um mercado de capitais é dito integrado se seus ativos com riscos similares, negociados em mercados distintos, proporcionam o mesmo retorno para o investidor. Como dois ativos assumem retornos e riscos semelhantes, o processo de apreçamento deve também ser similar, possibilitando a arbitragem entre mercados. Geralmente, os pesquisadores medem essa relação de integração a partir do teste estatístico de correlação – quanto maior a correlação entre dois mercados, maior será sua relação de comportamento. No entanto, Akdogan (1995) e Pagan e Soydemir (2000) afirmam que a correlação não é uma ferramenta adequada para mensurar integração, tornando-se necessária a aplicação de testes relacionados ao apreçamento. Mercados segmentados assumem comportamentos semelhantes diante de um choque nas variáveis macroeconômicas mundiais, ou seja, sua correlação será elevada, mas a integração não existirá.
O fenômeno de interdependência é bem mais simples de ser estudado do que a integração. A presença de integração não é facilmente observada, podendo ser detectada por uma simples relação entre comportamento de preços ou índices de mercado. Existe a necessidade de um estudo que envolve modelos de apreçamento de ativos e gestão de risco, exigindo uma modelagem estatística mais complexa, de caráter multivariado.
Evidências empíricas de interdependência e integração
Na literatura de finanças, foram desenvolvidos muitos trabalhos com o objetivo de analisar o grau de independência entre os mercados de capitais de diversos países. O termo interdependência é usado para definir a influência do comportamento dos preços de um mercado acionário em outro mercado, seja pelo efeito informacional, seja pelo contágio das variações dos índices de ações. Esta revisão bibliográfica aborda trabalhos que analisaram o fenômeno da interdependência.
Lamounier e Nogueira (2007) fizeram um estudo que buscou verificar as relações entre os retornos dos principais mercados de capitais emergentes (Brasil, Rússia, Índia, China e México) e dos principais mercados desenvolvidos (EUA, Japão e Reino Unido), com a amostra divida em dois períodos de tempo: entre 1995-2002 e entre 2003-2005. No primeiro momento, marcado por algumas crises econômicas no mundo, os autores verificaram que apenas o retorno do mercado emergente da Rússia sofreu grandes impactos ante os choques dos retornos dos outros mercados, e os retornos entre os mercados desenvolvidos se mostraram inter-relacionados. Além disso, os autores constataram que os retornos dos países desenvolvidos ajudaram na previsão dos retornos dos países emergentes. No segundo momento, entre 2003-2005, mais estável que o primeiro, os pesquisadores observaram que a relação de causalidade para os retornos dos mercados foi relativamente alterada, e os retornos de outros mercados emergentes responderam de forma significativa aos choques nos retornos dos demais mercados analisados, como foi o caso do Brasil e do México.
Marçal e Pereira (2008) testaram a evidência de interdependência e contágio entre os mercados de títulos soberanos nos diversos períodos de crise na década de 90. Foram utilizados o valor dos Títulos Soberanos (sovereign bonds) de Brasil, México, Rússia e Argentina no período entre janeiro de 1994 a dezembro de 2002. A hipótese de contágio foi testada a partir dos modelos de volatilidade multivariada: BEKK (sigla que corresponde às iniciais dos autores do modelo), Fatorial, DCC (Dynamic Conditional Correlation) e CC (Conditional Correlation). Os resultados apontaram que existe a evidência de interdependência entre todos os mercados analisados nesse período, o que mostra a inter-relação e a transmissão de informações entre os países. Impactos em um país contagiam os demais em um curto espaço de tempo.
Dando continuidade aos estudos, Marçal et al. (2011) analisaram o efeito de contágio e interdependência entre mercados acionários internacionais. Para tanto, foram utilizados os índices do mercado de capitais de México, Malásia, Argentina, Japão, Brasil, Coréia, Singapura e Estados Unidos no período entre janeiro de 1994 a dezembro de 2003. A metodologia utilizada para testar e mensurar a interdependência foram os modelos de volatilidade multivariados da classe ARCH, com ênfase no modelo DCC. Os resultados evidenciaram a interdependência regional entre os países da América Latina e da Ásia. Observou-se um contágio da crise da Ásia para a América Latina, mas não o inverso. Os Estados Unidos e o Japão foram os países que propagaram o contágio.
O impacto do mercado dos EUA sobre mercados emergentes durante o período da Crise Financeira Internacional de 2008 foi o foco do estudo desenvolvido por Shamiri e Isa (2009). A transmissão dos efeitos da crise foi analisada no estudo pela medida do fenômeno de spillover de volatilidade do mercado acionário americano sobre sete mercados emergentes do sudeste asiático: Cingapura, Hong Kong, Coreia do Sul, Taiwan, Malásia, Tailândia e Indonésia. Os dados abrangeram o período de 1998 a 2008. Foram exploradas as séries históricas de cotações de fechamento, com periodicidade diária, dos principais índices das bolsas de valores de cada um dos países. No estudo, a variância condicional foi estimada por um modelo GARCH bivariado, com uma representação BEKK, que alcança uma generalidade suficiente para permitir que variâncias e covariâncias condicionais dos mercados influenciem umas as outras, sem exigir a estimação de um grande número de parâmetros. Os resultados revelaram que houve uma forte influência do mercado dos EUA sobre os mercados emergentes do sudeste asiático. Foram detectados sinais do efeito de spillover de volatilidade, em especial para os mercados de Cingapura, Coréia do Sul e Hong Kong. Shamiri e Isa (2009) conjecturaram que os elevados fluxos de capitais provenientes dos EUA em direção às economias dos mercados do sudeste asiático aumentaram o risco desses mercados aos fatores internacionais e são a principal fonte de volatilidade dos índices das bolsas de valores.
O estudo de Diamandis (2009) contribuiu com resultados consistentes sobre o fenômeno da integração como uma ligação de longo prazo entre mercados acionários da América Latina (Argentina, Brasil, Chile e México) e o maior e mais influente mercado do mundo, o dos EUA. Com a estimação de duas representações de um modelo de Auto Regressão Vetorial (Vector Auto Regression – VAR), auto-regressiva e de médias móveis, sobre séries históricas de retornos semanais referentes ao período de janeiro de 1988 a julho de 2006, o pesquisador encontrou evidências da ocorrência do fenômeno da integração entre os cinco mercados. Contudo, os mercados mostraram-se parcialmente integrados. A integração mais significativa foi detectada quando os quatro mercados latino-americanos foram considerados conjuntamente frente ao mercado dos EUA. Individualmente, não houve interligação consistente com o mercado americano. Na avaliação do pesquisador, a intensidade do fenômeno captado justifica quaisquer iniciativas que possam trazer proveitos, como a da diversificação em carteiras de investimento internacionais compostas por ações dos mercados analisados.
Park (2010) analisou as ligações entre os mercados acionários de EUA, Japão e mais dez mercados asiáticos (Tailândia, Malásia, Indonésia, Cingapura, Filipinas, Coréia do Sul, China, Hong Kong, Taiwan e Índia). Os dados trabalhados foram as séries de retornos diários dos principais índices de bolsas de valores dos países selecionados, referentes ao período de janeiro de 2005 a dezembro de 2008. Park usou uma análise de correlações para avaliar as ligações entre os mercados e um modelo GARCH para investigar a ocorrência do efeito de transbordamento de médias de retornos (mean spillover). Os resultados encontrados revelaram que, no período analisado, houve uma forte ligação entre o mercado dos EUA e os asiáticos, e elevados valores de correlação entre estes últimos. O mercado da China foi o único que apresentou níveis mais fracos de ligação com os demais. No tocante ao efeito de transbordamento de médias de retorno, os mercados do Japão e das Filipinas foram os que revelaram maior sensibilidade à influência do mercado dos EUA. Esse efeito foi ampliado nos anos de 2007 e 2008 com a ocorrência da crise internacional. Park (2010) conclui seu estudo afirmando que, com base nos movimentos diários dos índices acionários, os países asiáticos se mostram fortemente ligados uns aos outros e muito influenciados pelo mercado americano, e que os benefícios da diversificação para investidores internacionais nestes mercados podem ser significativamente reduzidos.
An e Brown (2010) estudaram os co-movimentos dos mercados acionários dos países do BRIC (Brasil, Rússia, Índia e China) e dos EUA. Foram exploradas séries históricas de retornos semanais e mensais dos seus principais índices bursáteis, referentes ao período de 14 anos entre 13/10/1995 e 13/10/2009. Os resultados obtidos com o uso de técnicas de análise de cointegração mostraram algum nível de cointegração entre os mercados dos EUA e da China, mas nenhuma cointegração entre o mercado americano e os mercados dos demais países do BRIC.
Sing e Sharma (2012) também estudaram a interdependência entre os mercados dos países emergentes do BRIC, mas sem incluir um mercado forte e desenvolvido como fizeram An e Brown (2010). O estudo explorou cotações de fechamentos diários dos principais índices acionários dos países referentes ao período entre abril de 2005 e março de 2010. Usando técnicas consagradas de Análise de CoIntegração, Teste de Causalidade de Granger, Auto Regresão Vetorial (Vector Auto Regression – VAR), com as análises de Decomposições da Variância (Variance DeComposition – VDC) e Funções de Resposta a Impulso (Impulse Response Function – IFR), foram obtidos resultados que mostraram efeitos consistentes dos mercados uns sobre os outros. Curiosamente, um resultado inovador obtido pelo estudo foi que o mercado de ações da China mostrou-se capaz de influenciar o comportamento dos mercados dos demais países do BRIC sem, contudo, ser afetado por eles.
Kumar (2013) analisou o comportamento dos retornos e dos transbordamentos de volatilidade entre taxas de câmbio e do preço das ações nos mercados de três países emergentes: Índia, Brasil, África do Sul. No estudo, foi aplicada a metodologia proposta por Diebold e Yilmaz (2012), tendo o uso de modelos GARCH multivariados com parâmetro BEKK como referência para o comportamento da volatilidade. Os resultados apontaram para a existência de integração entre os mercados de câmbio e de ações, e também para a ocorrência de transbordamentos de volatilidade bidirecional entre os países considerados.
Righi e Ceretta (2013) desenvolveram um estudo recente sobre o fenômeno da transmissão de volatilidade de mercados acionários internacionais para o mercado brasileiro no entorno da crise financeira internacional de 2008. Os pesquisadores aplicaram um modelo GARCH multivariado com parametrização BEKK para estimar os relacionamentos dos mercados tomados dois a dois. Os mercados considerados foram, além do Brasil, os de EUA, Argentina, México e China. As séries históricas de retornos dos índices acionários dos cinco países abrangeram o período entre 04/01/2000 e 31/03/2010, tendo sido os dados divididos em três períodos para retratar a fase anterior à crise, a fase aguda da crise, e a fase posterior à crise de 2008. Um interessante e inovador resultado obtido foi que, durante a crise de 2008, o sentido da transmissão de volatilidade se deu a partir do mercado brasileiro para o dos outros países, além do comportamento da volatilidade ter se mostrado menos assimétrico quando comparado ao período anterior à crise. O autor faz a consideração de que esse comportamento inesperado se deveu ao fato de a economia brasileira ter sido uma das menos afetadas por aquela crise.
Dasgupta (2013) buscou detectar os fenômenos da integração e da interdependência, o que ele denominou como relações de longo e curto prazos, respectivamente, entre os mercados acionários do BRIC e dos EUA. Dentre os países do BRIC, o foco do estudo esteve particularmente sobre o Mercado da Índia. Os dados coletados e analisados foram as séries históricas de retornos diários dos principais índices acionários desses países referentes ao período de 15 anos compreendido entre 01/01/1998 e 31/12/2012. O pesquisador empregou as técnicas de Análise de CoIntegração, Teste de Causalidade de Granger, Auto Regressão Vetorial (Vector Auto Regression – VAR), com as análises de Decomposições da Variância (Variance DeComposition – VDC) e Funções de Resposta a Impulso (Impulse Response Function – IFR). Os resultados mostraram indícios da ocorrência de ambos os fenômenos entre os mercados do Brasil e da Índia. Níveis mais elevados de interdependência foram detectados entre os mercados da Índia e da China, principalmente no sentido daquele para este. O pesquisador ainda fez considerações sobre uma provável dominância futura do mercado da China sobre os demais, como função da intensa atratividade que aquele país tem exercido sobre os capitais de investidores estrangeiros de todo o mundo.
Outro estudo de Dasgupta (2014), publicado muito recentemente, fez uma investigação bastante similar ao do seu estudo anterior, aplicando as mesmas técnicas, mas, desta vez, trabalhando com dados do período de 10 anos situado entre 01/01/2003 e 31/12/2012. Os resultados obtidos com séries temporais mais recentes já mostraram efeitos de causalidade, no sentido de precedência da Causalidade de Granger, do mercado acionário da China sobre o mercado do Brasil. No tocante aos resultados relacionados especificamente ao Mercado acionário da Índia, os resultados mostraram a mesma influência sobre os demais mercados, mas agora com maior intensidade. O fenômeno da interdependência entre os mercados da Índia e da China também se revelou mais intenso nesse estudo.
Em síntese, os estudos abordados nesta revisão da literatura evidenciaram a ligação, em maior ou menor grau, dos mercados acionários internacionais. Seja pela detecção do fenômeno de interdependência, de integração, ou mesmo extremos de transbordamentos de volatilidades, ou ainda ligações simples de causalidade ou cointegração, são frequentes os indícios da existência de interligações entre os mercados acionários de diferentes países. Contudo, alguns estudos detectam indícios muito tênues ou mesmo a inexistência desses fenômenos para determinados pares ou conjuntos de países, como é caso do estudo de An e Brown (2010) e o de Diamandis (2009), o que evidencia a necessidade de novos estudos sobre o tema.
METODOLOGIA
Dados da pesquisa
Os dados utilizados nesta pesquisa referem-se aos valores de abertura, fechamento, máximo, mínimo diários dos principais índices de ações mundiais, conforme apresentados na Tabela 1. Segundo Sanvicente e Leite (1994), os índices de ações funcionam como termômetro do mercado de capitais, demonstrando as expectativas dos investidores perante o desempenho da economia de um país. Se o índice de um país está em alta, sua economia provavelmente estará em expansão. Eles são as os parâmetros ideais para avaliação das alterações subjetivas do ânimo dos investidores. A intensidade das flutuações é um importante parâmetro para a gestão e análise do risco.

Por meio de uma amostragem não probabilística, por conveniência, os dados foram obtidos junto à base de dados do ECONOMÁTICA®, no período de 1º de janeiro de 2000 a 31 de dezembro de 2008. O período de crise em 2008 foi incluído na amostra para não causar distorções na análise de interdependência entre os mercados. O período da amostra, a partir dos anos 2000, visa capturar os efeitos de interdependência nos índices na última década. O processo de amostragem por conveniência, segundo Gil (2002), constitui-se como o menos rigoroso de todos os tipos de amostragem, destituído de qualquer rigor estatístico. Os dados foram tratados pelo programa Excel, excluindo sábados, domingos, feriados e dias sem negociação. Para a utilização de métodos estatísticos, utilizou-se o software Eviews®.
Análise dos dados
O primeiro passo da análise foi a verificação da ordem de integração das séries, pois, segundo o que estabelecem as metodologias de análises de séries temporais, para evitar o problema de regressão espúria, a séries estudadas devem possuir o mesmo nível de integração.
Foram utilizados dois testes: o Teste de Estacionariedade de Dickey-Fuller Aumentado – ADF (Dickey e Fuller, 1979) e o teste KPSS (Kwiatkowski et al., 1992) para as séries em nível e nas diferenças. O resultado do teste ADF de estacionariedade é acompanhado de seu p-valor, ou seja, a probabilidade da série apresentar uma raiz unitária. O intervalo de confiança adotado foi o de 95%. Os valores do teste KPSS representam a estatística LM. A hipótese nula é de estacionaridade da série.
Para cada série de volatilidade foram realizados os testes ADF e KPSS para 20 níveis diferentes de defasagens, levando em consideração os fatores, a tendência e o parâmetro da constante se necessários. A escolha do nível ótimo de defasagem (lag) ocorreu conforme os menores valores dos critérios de informação de Akaike (AIC) e Bayesiano (BIC).
Por fim, foram feitas a investigação empírica e as análises de interdependência e causalidade entre as volatilidades dos índices, com a metodologia proposta por Granger (1969), que envolve o uso de Vetores Autorregressivos (VAR). Para tanto, utilizou-se o nível de defasagem igual a 1, buscando verificar se existe relação entre as volatilidades dos mercados com defasagem de um dia.
Estimação das volatilidades
A volatilidade do mercado acionário é expressa pelas oscilações ocorridas nele durante um dado período de tempo. Por se tratar de uma medida empírica, a volatilidade não é diretamente observável nos mercados, sendo necessária sua estimação através de modelos estatísticos ajustados às séries de retornos de um índice de cada mercado.
A necessidade de modelos capazes de extraírem a volatilidade de movimentos de preços de ativos financeiros serve de motivação para diversos pesquisadores das áreas de economia e estatística desenvolverem suas pesquisas. Como consequência, surgiu uma linha de estudos denominada de Análise de Séries Temporais Financeiras.
Sendo assim, Garman e Klass (1980) desenvolveram relevantes estudos sobre estimadores de volatilidade. O diferencial de estimação dos modelos propostos pelos autores está na percepção de que a volatilidade não pode ser considerada somente em valores brutos do retorno de um ativo, como é o caso dos modelos da classe ARCH, mas os valores de abertura, fechamento, máximos e mínimos devem ser levados em consideração quando se pretende medir oscilações.
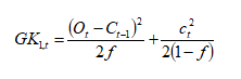
O primeiro estimador abordado por Garman e Klass (1980) é o estimador clássico
(1)C corresponde aos valores de fechamento dos índices no instante t.
O segundo estimador acrescenta os valores de abertura dos índices, expresso por:
(2) Onde f denota a fração do dia em que a bolsa está fechada, O os valores de abertura do índice e
a cotação de fechamento normalizada pelo índice de abertura.
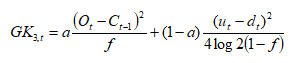
Parkinson (1980), visando melhorar a qualidade dos estimadores de Garman e Klass (1980), desenvolveu uma versão que incorpora as informações contidas nas cotações de mínimo e máximo e assumindo que o mercado opera de forma contínua (f = 0).
Assim, o terceiro estimador é dado por:
(3) onde
e são as cotações de máximo e mínimo normalizada pelo índice de abertura, respectivamente.
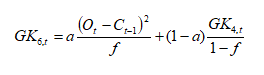
Seguindo esta mesma linha de Parkinson (1980), Garman e Klass (1980) chegaram a um estimador ainda mais eficiente usando não apenas as cotações de máximo e mínimo, mas também de abertura e fechamento:
(4)Onde a é uma constante. Garman e Klass (1980) comentam que, se utilizado o valor de a = 0,17, tem-se uma minimização da variância da expressão (4).
Um outro estimador desenvolvido por Garman e Klass (1980), considerado não viesado com menor variância na classe de estimadores invariantes à escala para f = 0 é o estimador analítico invariante dado pela expressão:
(5)Buscando uma versão mais robusta do estimador
eliminando os produtos
cruzados em (5), Garman e Klass
(1980) apresentam o
, conforme expressão:
(6)Visando promover uma simples alteração em
, considerando a fração 0 < f < 1 em que o mercado se encontra fechado, Garman
e Klass (1980) expressam seu último estimador, dado
por:
(7)onde a = 0,12 minimiza a variância de (7).
Outra linha de pesquisa sobre estimação de volatilidade refere-se às oscilações do mercado ocorridas devido a algum choque informacional que tenha acontecido antes do período de abertura da bolsa, gerando forte impacto no preço de abertura em relação ao fechamento do dia anterior.
Assim, essa volatilidade foi estudada por French e Roll (1986), denominando-se Volatilidade de Overnight (ONV), conforme a expressão:
(8)A importância do cálculo desta oscilação overnight traduz a realidade dos acontecimentos fora do pregão de negociação, visando verificar se impactos em mercados distintos podem gerar mudanças no preço de abertura de outros mercados.
Teste de Causalidade
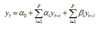
Granger (1969) desenvolveu um teste de causalidade que consiste em estimar as equações (9) e (10). A ideia básica do teste é que se x causa y, então, mudanças em x precedem mudanças em y.
Nesse contexto, em uma regressão de y, em função de seus valores defasados e de valores defasados de x, os valores de x deverão ser importantes para prever y. Diz-se, então, que y possui uma causalidade no sentido de Granger de x, se x ajuda a predizer y, ou seja, se os coeficientes defasados de x são estatisticamente significativos. Entretanto, y deve ser útil na previsão de x.
É importante salientar que o fato de x causar y não quer dizer que y é efeito ou resultado de x. A causalidade de Granger mede a precedência da variável, as informações nelas contidas, não tendo, portanto, o sentido estrito de causalidade. Como a teoria é baseada em termos da importância das informações passadas, aconselha-se utilizar um número maior de defasagens (lags). As regressões bivariadas para esse teste são expressas desta forma:
(9)
(10)Em que:
variável dependente;
variável independente;
parâmetros estimados para as equações.
Após estimarem-se as equações (09) e (10) para a realização do teste de causalidade, alguns cuidados devem ser tomados. Os principais deles são: a eliminação da autocorrelação entre os resíduos das regressões e a definição dos números de defasagens (k2) e os valores futuros (k1) da variável explicativa que devem ser usados nas equações.
As hipóteses a serem testadas são as seguintes:
(a) os coeficientes dos valores da variável independente da equação (09) são zero.
(b) os coeficientes dos valores da variável independente da equação (10) são zero.
Se as duas hipóteses forem rejeitadas, ter-se-á relação bicausal e, se nenhuma for rejeitada, ter-se-á ausência de causalidade. Se a primeira hipótese for rejeitada e a segunda não, a causalidade será de y para x e, caso a primeira não seja rejeitada e a segunda seja, a causalidade será de x para y.
É importante detectar a presença de autocorrelação entre os resíduos por causa dos efeitos que essa pode causar no caso de se utilizarem os estimadores convencionais dos parâmetros das equações (mínimos quadrados ordinários).
O teste de causalidade é feito com base na estatística F, a um nível de significância preestabelecido (de 1%). Para calcular essa estatística, utilizou-se a fórmula a seguir:
(11)Em que:
SQRr
soma dos quadrados dos resíduos da equação com restrição;
SQRu
soma dos quadrados dos resíduos da equação sem restrição;
q
número de parâmetros estimados na equação sem restrição;
p
número de parâmetros estimados na equação com restrição;
n
número de observações.
RESULTADOS E DISCUSSÃO
Para avaliar a ordem de integração, a Tabela 2 expressa os resultados dos testes de raiz unitária de Dickey-Fuller e KPSS aplicados às séries de volatilidades em nível de Garman-Klass e overnight dos diferentes mercados mundiais.
Os termos GK (0, 1, 2, 3, 4, 5 e 6) da Tabela 2 correspondem às volatilidades de Garman-Klass. O termo ONV refere-se à volatilidade overnight. As expressões ADF e KPSS dizem respeito aos testes de raiz unitária ADF e KPSS.
Analisando a Tabela 2, pode-se observar que os p-valores do teste de ADF de todas as séries estudadas são menores do que 0,01, o que os coloca na área de rejeição da hipótese nula – rejeita-se a hipótese de não estacionariedade – evidenciando a estacionariedade de todas as séries de volatilidade em nível, ao grau de significância de 1%. Os resultados do teste KPSS estão de acordo com os apresentados no ADF. Observa-se que todos os valores da estatística LM são menores do que 0,643, o que evidencia a aceitação da hipótese nula de estacionariedade das séries. O fenômeno da estacionaridade dos dados é algo importante em séries financeiras. Uma série estacionária é aquela livre de tendências, ou seja, a volatilidade dos retornos dos índices se mantém em mesmo nível.
Uma vez constatado que as séries são estacionárias em nível, a utilização de teste de cointegração e modelos de correção de erro não são necessários. Tais modelos buscam captar as tendências comuns entre eles, o que não é evidenciado aqui.
O fato de as séries de volatilidade serem estacionárias com médias constantes não significa dizer que as oscilações dos mercados são constantes, uma vez que suas volatilidades possuem somente médias constantes, mas com variância inconstante. Em outras palavras, existem determinados períodos de tempo em que o mercado apresenta oscilações maiores comparados com épocas de calmaria. Esse fenômeno ocorre devido à incerteza dos agentes em relação a algum impacto ou crise que tenha ocorrido.
Vale ressaltar que, se as séries de volatilidade não fossem estacionárias em nível e apresentassem uma tendência de alta ou queda, isso significaria que as oscilações desses mercados viriam crescendo ou diminuindo a cada dia, o que geralmente não ocorre em mercados maduros, com grande número de empresas e altos volumes de negociações.
A Tabela 3 apresenta uma súmula dos resultados dos testes de causalidade entre as volatilidades dos índices das bolsas internacionais. Os blocos marcados com um X indicam a rejeição da hipótese nula de ausência de causalidade ao nível de significância de 10%, enquanto que os blocos em branco indicam a aceitação da hipótese. Assim, os blocos marcados indicam a existência da relação de interdependência entre os mercados, de acordo com uma estimativa de volatilidade específica.
Analisando-se a Tabela 3, observa-se que as mudanças ocorridas na volatilidade do Ibovespa não causam qualquer tipo de interferência no índice Dow Jones. Isso pode ser explicado, considerando-se que o índice americano Dow Jones é um dos maiores do mundo, composto por grandes companhias mundiais, e que não sofre qualquer impacto pelas mudanças ocorridas nas oscilações das ações das empresas brasileiras.

Outro ponto que também explica esta ausência de causalidade diz respeito à composição do índice Dow Jones. Ele é composto por empresas do setor industrial, o que não ocorre com o Ibovespa, que possui companhias de diferentes setores da economia. Apesar de grande parte dos estudos evidenciarem a causalidade, a ausência de causalidade entre o Dow Jones sobre Ibovespa pode ser percebido somente no estudo de An e Brown (2010), que não verificou relação entre os índices dos EUA com os índices dos países do BRIC.
No que se refere à interferência da Ibovespa sobre os outros índices estrangeiros, observa-se que o S&P500 também apresentou baixa relação de causalidade com o Ibovespa, apresentando-a somente nas volatilidades GK4 e GK6. Esse efeito ocorre porque o S&P500 é uma expansão do índice Dow Jones e possui, portanto, comportamento similar. Já Righi e Ceretta (2013) tiveram resultados distintos aos aqui apresentados. Segundo os autores, o Ibovespa, em momentos de alta volatilidade, principalmente na crise de 2008, gerou uma causalidade inversa. Ele foi o responsável pela transmissão de volatilidade.
Para os demais índices, Nasdaq, Nikkei e FTSE, nota-se que as oscilações do Ibovespa geram algum tipo de oscilação nesses índices. Ou seja, existe uma relação causal no sentido de Granger entre o Ibovespa e esses mercados.
Tais resultados surpreendem as expectativas iniciais, uma vez que o mercado brasileiro, aqui representado pelo Ibovespa, possui uma parcela insignificante no volume de negócios mundiais. Em termos numéricos, o volume de negócios da BM&FBovespa corresponde a 0,6 trilhões de dólares ao ano, conforme dados apresentados pela World Federation of Exchanges (2009).
Comparando-se esse valor com os volumes das bolsas de Nova Iorque (35 trilhões), Nasdaq (17 trilhões) e Londres (12,6 trilhões), o mercado Brasileiro possui uma fatia de aproximadamente 0,9% dos negócios. Esse valor é irrisório perante os 54% da NYSE, 26% da Nasdaq e 19% da FTSE. Nota-se claramente que o Ibovespa não tem uma parcela significativa no mercado global.
Portanto, dizer que as oscilações no mercado brasileiro podem proporcionar algum distúrbio nos mercados internacionais seria uma afirmação equivocada, demonstrando um viés significativo dos recursos estatísticos utilizados.
Um resultado interessante que pode ser observado na Tabela 3 diz respeito ao sentido da causalidade dos mercados mundiais sobre o Ibovespa. Os números mostram que a volatilidade do índice Nasdaq não provocou qualquer efeito sobre a volatilidade do Ibovespa. Provavelmente, essa ausência de interferência se deve às características das empresas componentes desses índices. O Nasdaq, por exemplo, é composto por empresas de tecnologia enquanto o Ibovespa é bastante diversificado.
De forma geral, foi possível observar que a maioria dos mercados analisados apresenta o fenômeno da causalidade bidirecional no sentido de Granger entre seus índices. Esse resultado era esperado pelo que estabelecem as teorias macroeconômica e financeira, visto que, em se tratando de mercados globais, compostos por investidores de diferentes regiões do mundo, oscilações provindas de um mercado específico devem mesmo gerar incertezas sobre as expectativas quanto ao comportamento dos preços em outros mercados. Essa dinâmica afeta as volatilidades dos preços dos seus ativos.

Um estimador de volatilidade que apresentou poucos casos de causalidade no sentido de Granger foi a volatilidade overnight, que representa as oscilações ocorridas no mercado devido às informações recebidas pelos investidores após o fechamento do mercado. Ou seja, essa causalidade na volatilidade mostra que as incertezas ocorridas pelas informações no período de bolsa fechada geram algum tipo de mudanças na volatilidade do mercado no dia seguinte. Porém, os resultados mostraram que, geralmente, isso não ocorre.
CONSIDERAÇÕES FINAIS
Este artigo teve como objetivo analisar a relação de interdependência existente entre os mercados de capitais do Brasil, dos EUA, da Inglaterra e do Japão, por meio da observação de existência de causalidade entre as volatilidades do Ibovespa, dos índices americanos Dow Jones Industrial Average, Nasdaq Index Composite, Nikkei-225, Standard & Poor´s 500, o índice londrino Financial Times Stock Exchange e o índice japonês Nikkei-225. Para verificar a presença de memória de longo prazo nas séries de fechamento dos índices internacionais e do nacional, foi utilizado o método de causalidade de Granger a partir de Vetores Autorregressivos (VAR) construídos com os retornos diários dos índices selecionados.
Os resultados obtidos indicaram que os índices não possuem qualquer tipo de tendência, comportando-se em um mesmo nível, com média constante ao longo do tempo. Além disso, as alterações observadas na volatilidade do Ibovespa não sofreram qualquer tipo de interferência nos índices americanos Dow Jones e S&P500.
No entanto, com relação à interferência da Ibovespa sobre os outros índices estrangeiros, nota-se que as oscilações do Ibovespa geram algum tipo de oscilação nesses índices, existindo uma relação causal no sentido de Granger entre o Ibovespa e esses mercados. Esse resultado vai contra as expectativas iniciais e a aparente realidade dos mercados de capitais internacionais, dado o reduzido volume de negócios do mercado acionário brasileiro frente ao do mercado dos EUA. Curiosamente, esse resultado se alinha, de certa forma, com aquele obtido por Righi e Ceretta (2013) que apontou uma transmissão de volatilidade a partir do mercado brasileiro para os demais.
No sentido contrário, ou seja, com a análise dos efeitos dos mercados acionários internacionais sobre o Ibovespa, este estudo mostrou que a volatilidade dos índices Nasdaq, S&P500 e Nikkei não foram capazes de provocar mudanças na volatilidade do Ibovespa, não havendo qualquer tipo de interdependência entre esses índices. Essa constatação se alinha com os resultados obtidos por Lamounier e Nogueira (2007), Diamandis (2009), An e Brown (2010), e Dasgupta (2013, 2014), que detectaram pouca ou nenhuma influência do mercado dos EUA sobre o do Brasil, mas se opõe aos resultados do estudo de Marçal e Pereira (2008).
Os resultados aqui obtidos visam contribuir para fomentar a discussão de um tema de crucial importância para o gerenciamento de riscos e o apreçamento de operações no mercado de capitais brasileiro.
Como indicação para trabalhos futuros, sugere-se a utilização de novas metodologias para a análise de transmissão de volatilidade, envolvendo os modelos multivariados de Correlação Condicional Dinâmica (DCC), desenvolvidos por Engle (2002).
Referências
AN, L.; BROWN, D. 2010. Equity market integration between the US and BRIC countries: evidence from unit root and cointegration test. Research Journal of International Studies, 1(16):15-24.
AKDOGAN, H. 1995. The integration of international capital markets. Brookfield, VT, Edward Elgar, 224 p.
BOLSA DE VALORES DO ESTADO DE SÃO PAULO (BOVESPA). 2008. Disponível em: http://www.bovespa.com.br. Acesso em 10/06/2008.
BRESSER-PEREIRA, L.C. 2009. Crise e recuperação da confiança. Revista Economia e Política, 29(1):133-149. http://dx.doi.org/10.1590/S0101-31572009000100008
CHEN, C.C.; SO, R.W. 2002. Exchange rate variability and the riskiness of US multinational firms: evidence from the Asian financial turmoil. Journal of Multinational Financial Management, 12(3):411-428. http://dx.doi.org/10.1016/S1042-444X(02)00018-X
CHOWDHURY, A.R. 1994. Stock Market Interdependencies: Evidence From the Asians NIEs. Journal of Macroeconomics, 16(4):629-651. http://dx.doi.org/10.1016/0164-0704(94)90004-3
CHOUDHRY, T. 2005. Time-varying beta and the Asian financial crisis: Evidence from Malaysian and Taiwanese firms. Pacific-Basin Finance Journal, 13(1):93-118. http://dx.doi.org/10.1016/j.pacfin.2004.06.001
CHOUDHRY, T.; LU, L.; PENG, K. 2010. Time-varying beta and the Asian financial crisis: Evidence from the Asian industrial sectors. Japan and the World Economy. 22(2):228-234. http://dx.doi.org/10.1016/j.japwor.2010.06.003
DASGUPTA, R. 2013. BRIC and US Integration and dynamic linkages an empirical study for international diversification strategy. Interdisciplinary Journal of Contemporary Research in Business, 5(7):536-563.
DASGUPTA, R. 2014. Integration and dynamic linkages of the Indian stock market with BRIC: an empirical study. Asian Economic and Financial Review, 4(6):715-731.
DIAMANDIS, P.F. 2009. International stock market linkages: evidence from Latin America. Global Finance Journal, 20(1):13-30. http://dx.doi.org/10.1016/j.gfj.2009.03.005
DICKEY, D.A.; FULLER, W.A. 1979. Distribution of the Estimators for autoregressive time series with a Unit Root. Journal of the American Statistical Association, 74(3):427-431.
DIEBOLD, F.X.; YILMAZ, K. 2012. Better to give than to receive: predictive directional measurement of volatility spillovers. International Journal of Forecasting, 28(1):57-66. http://dx.doi.org/10.1016/j.ijforecast.2011.02.006
ENGLE, R. 2002. Dynamic Conditional Correlation - A Simple Class of Multivariate GARCH Models, Journal of Business and Economic, 20(2):339-350.
FORBES, K.; RIGOBON, R. 2002. No contagion, only interdependence: measuring stock market Comovements. The Journal of Finance, 57(5):2223-2261. http://dx.doi.org/10.1111/0022-1082.00494
FRENCH, K.; ROLL, R. 1986. Stock Returns variances: The Arrival of information and the Reaction of Traders. Journal of Financial Economics, 17(1):5-26. http://dx.doi.org/10.1016/0304-405X(86)90004-8
GARMAN, M.B.; KLASS, M.J. 1980. On the estimation of security price volatilities from historical data. Journal of Business, 53(1):67-78. http://dx.doi.org/10.1086/296072
GIL, A.C. 2002. Métodos e técnicas de pesquisa Social. 4ª ed., São Paulo, Atlas, 175 p.
GRANGER, C.W.J. 1969. Investigating causal relations by econometric models and cross spectral methods. Econometrica, 37(3):424-438. http://dx.doi.org/10.2307/1912791
KUMAR, M. 2013. Returns and volatility spillover between stock prices and exchange rates: empirical evidence from IBSA countries. International Journal of Emerging Markets, 8(2):108-128. http://dx.doi.org/10.1108/17468801311306984
KWIATWOWSKI, D.; PHILLIPS, P.C.B.; SCHMIDT, P.; SHIN, Y. 1992. Testing the null hypothesis of stationarity against the alternative of a unit root. Journal of Econometrics, 54:159-178. http://dx.doi.org/10.1016/0304-4076(92)90104-Y
LAMOUNIER, W.M.; NOGUEIRA, E.M. 2007. Causalidade entre os retornos de mercados de capitais emergentes e desenvolvidos. Revista de Contabilidade & Finanças, 43(1):34-48.
MARÇAL, E.F.; PEREIRA, P.L.V. 2008. Testing the hypothesis of contagion using multivariate volatility models. Brazilian Review of Econometrics, 28(2):193-218.
MARÇAL, E.F.; PEREIRA, P.L.V.; MARTIN, D.; NAKAMURA, W. 2011. Evaluation of contagion or interdependence in the Financial Crises of Asia and Latin America, considering the Macroeconomic Fundamentals. Applied Economics, 43:2364-2379. http://dx.doi.org/10.1080/00036840903194204
MARONEY, N.; NAKA, A.; WANSI, T. 2004. Changing Risk, Return, and Leverage: The 1997 Asian Financial Crisis. Journal of Financial and Quantitative Analysis, 39(1):38-49. http://dx.doi.org/10.1017/S0022109000003926
NEW YORK STOCK EXCHANGE (NYSE). 2008. Disponível em: http://www.nyse.com. Acesso em: 12/04/2008.
PAGAN, J.A.; SOYDEMIR, G. 2000. On the linkages between equity markets in Latin America. Applied Economics Letters, 7(3):207-210. http://dx.doi.org/10.1080/135048500351816
PARK, J.W. 2010. Comovement of Asian stock markets and the U.S. influence. Global Economy and Finance Journal, 3(2):76-88.
PARKINSON, M. 1980. The extreme value method for estimating the variance of the rate of return. Journal of Business, 53(1):61-65. http://dx.doi.org/10.1086/296071
PEROBELLI, F.F.C.; VIDAL, T.L; SECURATO, J.R. 2013. Avaliando o Efeito Contágio entre Economias durante Crises Financeiras. Revista de Estudos Econômicos, 43(3):557-594.
RIGHI, M.B.; CERETTA, P.S. 2013. Efeito da crise de 2007/2008 na transmissão internacional de volatilidade no mercado de capitais brasileiro. REAd - Revista Eletrônica de Administração, 75(2):384-400. http://dx.doi.org/10.1590/S1413-23112013000200005
SANVICENTE, A.Z.; LEITE, H.P. 1994. Índice Bovespa: Um Padrão para os Investimentos Brasileiros. São Paulo, Atlas, 140 p.
SEXTON, R.J.; KLING, C.L.; CARMAN, H.F. 1991. Marketing integration, efficiency of arbitrage, and imperfect competition: methodology and application to U.S. celery. American Journal of Agricultural Economics, 73(3):569-580. http://dx.doi.org/10.2307/1242810
SHAMIRI, A.; ISA, Z. 2009. The US crisis and the volatility spillover across South East Asia stock markets. International Research Journal of Finance and Economics, 34(2):7-17.
SING, S.; SHARMA, G.D. 2012. Inter-linkage between stock exchanges: a study of BRIC nations. International Journal of Marketing, Financial Services & Management Research, 1(3):1-17.
WORLD FEDERATION OF EXCHANGES (WFE). 2009. Disponível em: http://www.world-exchanges.org. Acesso em: 05/03/2009.
APÊNDICES







