Abstract: The purpose of this study is to verify the existence of a causal relationship between R&D expenses not activated by Accounting, a proxy for innovation, and the book-to-market ratio (BTM), which demonstrates expectation of value generation in firms. We analyzed a sample composed of 30 Brazilian public firms that disclosed information about R&D expenses in their footnotes, from 2010 to 2015. We applied the Granger Causality Test and the results reveal that INOV causes BTM in a 3-lag cycle and BTM causes INOV in a 4-lag, both with a negative effect. In other words, R&D expenses discharged in the Profit and Loss (P&L) provide an increase in the firm's market value above its book value after 3 years on average. After that, on the 4th. year, occurs the perception of innovation, signaling the evidence of a potential valorization of the company by investors, recognizing a continuous growth cycle. These findings emerge the necessity of a better understanding of the R&D expenses’ role in the value generation process, corroborating with the accounting users’ decision-making process.
Keywords:R&D expensesR&D expenses,Intangible assetsIntangible assets,InnovationInnovation,Granger Causality TestGranger Causality Test.
Resumo: O presente estudo tem o objetivo de verificar a existência de relação causal entre os gastos com P&D não ativados pela Contabilidade, proxy para inovação, e o índice book-to-market (BTM), o qual evidencia a expectativa de geração de valor nas companhias. Foram analisadas 30 empresas listadas brasileiras que evidenciaram informação sobre os gastos com P&D nas Notas Explicativas, para o período de 2010 a 2015. Por meio da aplicação do Teste de Causalidade de Granger, os resultados demonstraram que INOV causa BTM em um ciclo de 3-lags e BTM causa INOV no 4-lag, ambos com efeito negativo. Ou seja, os gastos com P&D proveem um efeito incremental no valor de mercado das firmas, acima do valor contábil, depois de uma média de três anos. Depois disso, no 4º ano, ocorre a percepção da inovação, sinalizando evidências de uma potencial valorização das firmas pelos investidores, reconhecendo um ciclo contínuo de crescimento. Esses achados destacam a importância de um melhor entendimento do papel dos gastos com P&D na geração de valor das companhias, corroborando com o processo de tomada de decisão dos usuários da Contabilidade.
Palavras-chave: Gastos com P&D, Ativos Intangíveis, Inovação, Causalidade de Granger.
R&D Expenses and the Expectation of Value Generation in Brazilian Firms
Gastos com P&D e a Expectativa de Geração de Valor nas Firmas Brasileiras
Received: 11 July 2018
Accepted: 19 January 2020
In the current context of knowledge generation, firms are combining tangible and intangible assets to seek new ways of economic value generation. Lev (2001) defines intangible resources as rights to economic benefits that do not have a physical body. They are constituted by a structured set of knowledge, practices and attitudes aimed at a firm's innovation (Lev, 2001). Oliveira et al. (2015) argue that one of the main factors to actively influence the innovation process is represented by the investments in research and development, known as R&D expenses.
Gupta (2011) states that the market power caused by innovation is due, mainly, to practices of product differentiation, the economy of scale and the search for leadership in the sector. Through the interaction with tangible assets, intangible resources corroborate with the generation of corporate value and economic growth (Lev, 2001).
When we discuss the innovation context in emerging countries specific challenges arise. Choi et al. (2011) and Ayyagari et al. (2011) mention that developing countries face various obstacles, mainly for acquiring financial resources to foster innovation. Particularly in Brazil, the government provides many forms of subsidies, but which are end up absorbed by a small number of big firms (Menezes Filho et al., 2014).
Cirani et al. (2016) argue that a lack of effectiveness arises in the implementation of the incentives by public agents and companies. Consequently, it promotes excessive bureaucracy, slowness in projects, high costs of innovation, low reliability in receiving resources and legal uncertainty, hampering the use of these instruments by national firms (Cirani et al., 2016).
In Brazil, the accounting regulation CPC 04 – Ativo Intangível (R1) determines that investments in R&D must be segregated in research expenses or development investments (CPC, 2010). Whether specific criteria are not met, these investments are discharged directly into P&L even though the benefits will only be noticed in the future.
By this accounting treatment, the lack of recognition of these investments generates a distance between the book value and market value of the shareholders´ equity (Perez & Famá, 2006). The gap between these values, named as a book-to-market ratio (BTM), is crucial in the prediction of firm’s future returns (Rosenberg et al., 1985; Chan et al., 1991; Fama and French, 1992; Strong & Xu, 1997; Billings & Morton, 2001).
Moreover, Doukas et al. (2002) complement that the investors and analysts are, systematically, more optimistic about the BTM ratio than the perspectives of share growth. Skinner and Sloan (2002) emphasize that there is an asymmetrical answer related to high and low BTM ratios for good and bad news of returns. Recently, this ratio has been used as a variable of the agents’ expectations in the capital markets (Donnelly, 2014).
However, R&D expenses could not be capitalized by the Accounting Standards, the market evaluates the economic returns arising from innovation as a whole (Hall, 2000). In this sense, our study signals the importance of improving disclosure practices regarding innovation as a way of providing better decisions by the market.
The purpose of this study is to verify the existence of a causal relationship between R&D expenses not activated by Accounting, a proxy for innovation, and the expectation of value generation, measured by BTM ratio, in Brazilian public firms. For this purpose, we analyzed 30 Brazilian public firms that disclosed R&D expenses in their footnotes, from 2010 to 2015.
We applied the Granger Causality Test and the results demonstrated that R&D expenses generate a negative effect on BTM ratio in a 3-lag cycle, which is an increase in the market value above its book value in an average of 3 years. After that, the innovation perception occurs through the influence of the BTM ratio on INOV, signaling the potential valuation of these investments by the market through the continuous growth cycle in the firms.
The main contributions of this study can be summarized as described below. First, the results corroborate with the accounting literature, demonstrating that R&D expenses not activated by the Accounting standards tend to generate a growth cycle although there is a lack of incentives in Brazilian companies.
Second, our findings suggest insights about the importance of a better disclosure practice regarding these expenses, since the market valuates this kind of information. Schmidt and Santos (2002) argue that a better understanding of the changes which took place in R&D expenses improves the ability to assess profitability and a firm's cash flow.
Finally, the practical contribution relates to the importance of these expenses as part of the decision-making process of accounting users, mainly managers and investors. Regarding the managers, it is believed that the adopted accounting standards may affect their investment decisions. If they have a short-term tendency or they are not aware of the importance of innovation, they will lead to the adoption of practices for minimizing them. In this sense, our findings demonstrate the importance of innovation, evidencing that R&D expenses have a direct impact on the firms’ valuation during future periods. In this sense, these expenses could be used as a strategic tool by the managers.
Finally, regarding the investors, since the BTM ratio is used for forecasting future returns, the identification of the variables which impact this forecasting becomes relevant in the context of the decision-making process. Therefore, R&D expenses can be observed by investors as a measure of the companies’ valuation tendency. Donnelly (2014) highlights the greater distance between the book and market values demonstrates firms’ optimism, reflecting the return above the market’s expectancies.
The current society, also known as knowledge society, is aimed at the creation of knowledge as a differentiator in the company’s productive activity (Dávila Calle & Silva, 2008). Thus, the process of knowledge creation happens when it is widespread in all the areas of the companies and incorporated into the products, services and systems, being considered support to continuous innovation (Nonaka & Takeuchi, 1997).
Therefore, continuous innovation is seen by the organizations as a source of competitive advantage and acquisition of abnormal returns, so the investments in R&D are important inputs for the firms to differentiate themselves from their competitors (Nadler & Tushman, 2000; Edvinsson, 2002; Oliveira et al., 2015).
The intangible portion is valued in a firm which brings on a distance between the book and the market value, named as BTM ratio, which is obtained by the division between net equity book value and the net equity market value (Rosenberg et al., 1985; Fama & French, 1992; Lakonishok et al., 1994; Berk, 1995; Barber & Lyon, 1997; Almeida & Eid Jr., 2010).
Cañibano et al. (2009) corroborate in the explanation of this value distance, which refers to the existence of relevant information for the decision-making process which was not caught by Accounting. Consequently, the balance sheet is unable to reflect this value, due to difficulties related to the recognition and measurement criteria (Malhotra, 2000).
Drucker (1998) points out that Accounting tends to reflect only the loss of market position or failure of the innovation only when the damage had already taken place.
From an accounting standpoint, there is an important distinction between research and development expenditures. Before the adoption of the international accounting standards (IFRS) in Brazil, both research and development were charged to a group of accounts called deferred assets (Law 6.404/76). With the adoption of IFRS standards, optionally after 2008 and mandatorily from 2010 (Law 11.638/07), research expenses are no longer accounted as assets, but as expenses in the P&L. Concerning development expenses, they could be recognized as an asset in a group of intangible whether some conditions are met as required by the standard (CPC 04 following IAS 38 - Intangible Assets).
According to the item 57 of CPC 04 (2010), intangibles from the development phase can be capitalized, if and only if, the entity demonstrates all of these characteristics: the technical capacity, the intention, the available resources and the ability to complete and use or sell them; demonstrate how they will generate future economic benefits; and the entity needs to have the ability to adequately measure expenditures during the development phase (CPC 04 - R1, 2010).
In complement, item 43 suggests some example of development activities, as follows: (a) design, construction and testing of pre-production or pre-use prototypes and models; (b) design of tools, templates, molds and dies involving new technology; (c) pilot plant design, construction, and operation provided that it is no longer economically viable for commercial production; and (d) design, construction and testing of the chosen alternative of new or improved materials, devices, products, processes, systems, and services (CPC 04 - R1, 2010)
The standard mentions that research expenditures are recognized in the P&L when incurred, except when they are acquired as part of a business combination (CPC 04- R1, 2010). Some examples are expenses on pre-operating activities intended to constitute the company, training, advertising and promotional activities and others related to reallocation or reorganization (CPC 04- R1, 2010).
Aboody and Lev (2000) claim that, when the R&D is treated as expenses, the information on value variation and productivity is not disclosed. It hampers the investors' comprehension of the investment policy in R&D, corroborating to the increase of informational asymmetry (Aboody & Lev, 2000).
Barth et al. (2001) and Daniel and Titman (2006) suggest that asymmetric information tends to increase the gain obtained by insiders and reduce the attractiveness of R&D projects for external investors, due to an increase of the financing costs.
A series of empirical studies were carried out in recent years with the general goal of checking the factors of the distance between the market and book value of firms. We present a brief review to elucidate the main findings of these papers, especially those related to intangibles and economic value generation.
Perez and Famá (2006) verified the importance of intangible assets in the shareholders’ value creation. They analyzed 699 non-financial public companies in the New York Stock Exchange (NYSE) and the National Association Securities Dealers Automated Quotation (NASDAQ) from 1997 to 2002. The results demonstrated that companies with higher intangible resource levels tend to generate greater economic value to shareholders.
Colauto et al. (2009) analyzed the relationship between the intangible assets’ disclosure information and the market value of 80 non-financial Brazilian public companies in 2006. From the content analysis of the Management Report, the authors calculated the degree of intangibility and checked the correlation with the market value. Their findings show that more significant correlations are presented in the New Market firms since a higher governance level could act as a mediator factor to R&D investments.
Chan et al. (2015) verified whether companies with more R&D expenses have higher returns when they present good corporate governance practices. By the analysis of 25,941 American companies from 1990 to 2007, they found that good corporate governance practices tend to avoid excessive R&D investments, providing a premium return to the firms.
Azevedo and Gutierrez (2009) estimated the relationship between R&D expenses and the long-term growth of 75 public companies from the New York Stock Exchange (NYSE) from 2001 to 2007. The findings revealed a positive influence of R&D expenses in the long-term growth of the companies. This study contributed to the understanding that the reason why American companies continuously invest in R&D since the development of products, services, and new technologies tend to provide abnormal returns. Such results are aligned to the findings of Chan et al. (1990) and Lee and Shim (1995).
Alves et al. (2011) checked whether the R&D information is relevant to the Brazilian capital market, under the Value Relevance perspective. The sample was composed of 64 public companies from the power industry from 2002 to 2009. The results demonstrated that there is no additional informational content of the R&D investment for the sample. One of the reasons that it occurs is related to the fact that these companies are regulated, so the market expectation is homogeneous, mischaracterizing the relevance of these expenses. Their findings are also aligned to the study of Japanese companies from Nguyen, Nivoix and Noma (2010).
Mazzioni et al. (2014) found evidence about the influence of intangible assets on economic performance. The authors emphasized that some intangibles not recognized in the financial statements are an important factor to aggregate value to firms’ performance, especially in Brazil, Russia, India, China and South Africa.
Gong and Yang (2016) analyzed the nature of the differences between local norms (GAAPs) and the International Financial Reporting Standards (IFRS), which are associated with substantial changes in the relevance of R&D information. The authors determined that, in countries with more protection to investors, the changes were greater. However, the changes in information relevance in more conservative countries tend to be lower. These results highlight the importance of institutional factors and accounting standards for explaining the value relevance of R&D information after IFRS adoption.
Gu (2016) verified the joint effect of the market competition and the R&D investments in the share return. She found a positive and significant relationship between the competitors and the expected returns for the companies with present higher portions of R&D investment. The results also demonstrated a positive impact of R&D investments on expected returns for highly competitive firms. The findings contribute to the literature on the relationship between R&D investment and share return, such as Hsu (2009), Li (2011), Lin (2012), Hirshleifer et al. (2013) and Cohen et al. (2013).
Another aspect that has been analyzed through the BTM ratio is the market effect. Hung et al. (2012) verified Taiwanese public companies from 1991 to 2006. They found that in companies of low technology the BTM effect is perceived since there is a lower sub pricing by investors. On the other hand, companies with high intensity in R&D, generally, present low BTM, since they were successful in the past and in the performance expected in the future, which ends up overshadowing the BTM effect.
Despite an extensive literature that indicates that the R&D expenses are positively related to the firms’ performance, Chan et al. (2015) observed that broad reductions in R&D investments were related to an increase in share returns of North American companies, from 0.48% to 0.62%. These results are aligned with the Life Cycle Theory since the companies tend to reduce excesses of R&D investments along with their organizational life stages.
Camargo et al. (2016) analyzed the relationship between R&D investments and the organizational performance of G-20 companies from 2011 to 2015. The findings indicated that the R&D investment impacts negatively the Return on Assets (ROA). These results converge withGeylani and Stefanou (2012), who found evidence of return peaks derived from R&D investments in American companies.
Chaney et al. (1991), Eberhart et al. (2004) and Pavitt and Steinmuller (2002) support the relevance of innovation for the firm's long-term performance. The authors argue that the process of identification of the intangible value activities is complex, mainly in the period before the incorporation in products and availability to the market.
Gupta (2011) suggests three main reasons to justify the difficulty of capturing R&D returns: (i) a lot of R&D activities end up not resulting in products which will be traded; (ii) R&D activities may result in products their revenues are acknowledged in future periods; (iii) the gap of terms becomes complex when measuring the effects of immediate or future returns carried out in R&D investments, due to the difficulty in isolating other factors which may contribute to the generation of the return.
Pandit et al. (2011) analyzed the relationship between inputs and outputs of R&D expenses and the future operating performance of firms. The authors found a positive influence of patent quality on future operational performance.
Therefore, the R&D investments are means of the market to analyze correctly the information evinced by the companies regarding intangible resources, seeking better investment decisions, especially, related to the long-term (Daniel & Titman, 2006).
Zonateli et al. (2015) point out that intangible assets are recognized as the most relevant assets nowadays and they are important market-drivers. However, intangible assets are difficult to properly measure and report in the financial statements.
The authors complement that challenges for the recognition and measurement of intangible assets could be the high degree of uncertainty, which means dealing with factors such as risks, judgment and subjectivity. The authors also emphasized that the cause of the excess of conservatism in accounting standards may be subjectivity, concluding that this could be the reason that R&D is not activated by Accounting (Zonateli et al., 2015).
Most previous studies have empirically demonstrated a significant impact of R&D expenses to explain the distance between market value and the book value of firms or in expected returns, such as Gu (2016), Perez and Famá (2015) and Cohen et al. (2013). However, some benefits are perceived only after the incorporation in products and the availability to the market, once the identification process of the intangible value activities is complex (Eberhart et al., 2004; Pavitt & Steinmuller, 2002; Chaney et al., 1991; Devinney & Winer, 1991).
In this way, it could be questioned whether indeed a direct relation exists. Some authors argue that R&D investments tend to signal a positive effect, but it occurs only in long periods, as of late reaction by the market (Camargo et al., 2016; Daniel & Titman, 2006).
The relationship between value generation expectation and R&D expenses tends to be negative, due to the fact with firms with low BTM ratio have high R&D expenses. It occurs since growing companies tend to invest more, especially in the expansion cycle (Lev & Sougianni, 1999). So, the hypothesis is stated as:
H1: There is a negative causal relationship between R&D expenses and BTM ratio.
Hall (2000) points out the relevance of intangibles derived from R&D since they are valued by the market. It provides a greater distance between market and book values, reducing the BTM ratio, which impacts the negative relationship between R&D expenses and the dependent variable.
We emphasize that the granger causality test could provide an additional influence, as a directed relation to ones in long terms.
As highlighted, there is a rather subjective task about intangibles assets, which could affect the accounting information provided to the users. Lev (2000) argues that when R&D is treated as expenses, this information disturbs investors' understanding of the intangible policy.
Consequently, we expected that even Accounting does not recognize this kind of expense as an asset, the market tends to evaluate them, even if it is in the long-term run.
We collected financial data from the Economatica® database and R&D expenses were taken from the firm’s footnotes available at the Brazilian Securities and Exchange Commission (Comissão de Valores Mobiliários - CVM).
We used a set of Brazilian public companies at B[3] from 2010 to 2015. This period consists of the post-IFRS adoption to avoid different classifications of R&D expenses.
Aiming to operationalize the calculation of the variables and obtain proper results for the analysis, the following companies were crossed off: a) the financial and insurance ones, due to their operating characteristics which do not allow comparisons to other industries; b) the ones which did not present market value on December 31, 2015; c) the ones which had either negative or valueless Net Equity, which would hinder the BTM calculation, on December 31, 2015; d) the ones which did not present information about R&D expenses on their footnotes. Moreover, for the companies that present more than one share class (ON or PN), we chose the most liquid one.
The final sample was composed of 30 Brazilian public companies, for a 6-year period, totaling 163 observations. It is worth highlighting that these 30 companies form the set of all the organizations which disclosed, in footnotes, the amount of R&D expenses in the 6 years of this study.
The following table (Table 1) shows the segregation of these companies in their industries, according to Economatica® classification.
Table 1 shows the distribution of firms that disclosed information about their R&D expenses in their footnotes during the analyzed period. Most companies belong to Electric Power and Vehicles and Parts Manufacturing industries, which evidence the pattern of innovation in Brazil. These firms are linked, in particular, to fixed investments (Pacheco, 2011).

We highlight that most firms are classified in the Electric Power Industry. According to Brazilian Federal Law 9991/2000, there is a compulsory application of resources from the Net Operating Revenue to stimulate innovation in this sector (Agência Nacional de Energia Elétrica [ANEEL], 2012). Bin et al. (2015) point out that although these measures are important, they tend to not be fully effective, stimulating innovative firms to negotiate technology in an oligopoly market. Thus, there is a failure in the logic of the policy of innovation incentives in this industry, requiring mechanisms to award research efforts in these firms. Besides, the authors complement that the kind of these investments has an incremental impact and brings localized impacts difficult to perceive.
The methodology of analysis of the cause-effect relationships between Innovation and Expected Value Generation is based on the Granger Causality Test. We apply it to check whether the investments in innovation, as R&D expenses, generate a negative effect on the book-to-market ratio (BTM), a proxy for the distance between the book value and the market value. It implies a causal relationship between R&D expenses and the BTM ratio so that the investments in innovation are valued by the market, increasing the distance between market value and book value, that is a negative effect on the ratio.
In other words, the application of the Granger Causality Test aims to assume the hypothesis that Innovation “granger-causes” BTM. This test presupposes that relevant information to the forecast of the respective variable, in this case, Innovation and BTM, are solely embedded in the time series of these two variables (Gujarati & Porter, 2011).
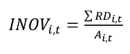
As Innovation proxy (INOV), we used the proportion of R&D expenses in the P&L, disclosed in the footnotes of the companies in the sample, from 2010 to 2015. Companies whose information on R&D expenses was absent or did not present this kind of expense had already been crossed off the sample.
(1)In which: INOVit corresponds to the innovation index, obtained by the sum of the research expenses of each firm (i) in each of year (t) divided by total assets (i) in each year (t).
As a proxy for the expectation of value generation, through the distance from the book value to the market value, we used the Book-to-Market Ratio (BTM), which is based on the works of Rosenberg et al. (1985), Fama and French (1992), Lakonishok et al. (1994), Berk (1995), Barber and Lyon (1997), Almeida and Eid Jr. (2010).
(2)In which: BTMit is the book-to-market ratio;
BVPL(it) is the book value of the Net Equity, for each company analyzed (i) at end of the year (t);
MVPL(it) is the market value of Net Equity, for each company analyzed (i) at end of the year (t).
The BTM relationship tends to differ from company to company. According to Almeida and Eid (2010), it happens because expectations regarding cash flow and expected share return are different in each one. That is, those which are going through financial difficulties tend to have their market value, MVPL(it), closer to the book value, BVPL(it). On the other hand, companies with good perspectives of financial performance have a low BTM ratio, which provides high earnings (Fama & French, 1992).
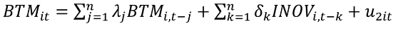
Thus, the models of the Granger test are obtained, according to equations 3 and 4:
(3)
(4)Supposing that the error terms (u) are not correlated and both variables (BTM and R&D) are stationary. The relationship of expected causality is considered unidirectional between the dependent variable (BTM) and R&D expenses (INOV). It is expected that only equation 4 presents statistical significance, demonstrating the direct influence of innovation expenses on expected value generation.
It is important noting that the Granger causality only means that there is a correlation between the current value of a variable and the past values of another one, it does not necessarily mean that the movement of a variable causes movement in another one (Brooks, 2014) and it is used as evidence of this cause-effect relationship.
Table 2 presents descriptive statistics to characterize the variables used in the empirical analysis during the research period.

Table 2 shows that the average values of R&D expenses concerning the total assets are low. The maximum value reached is approximately 6.8% in the analyzed period, signaling a potential deficit in innovation in these companies.
To illustrate the importance of these values, data from the Organization for Economic Co-operation and Development (OECD, 2016) and the Ministério da Ciência, Tecnologia, Inovação e Comunicações (MCTIC, 2015) show that although innovation spendings in Brazil are progressing, they are still far from the values employed by more developed countries. Data for the year 2013 showed that, for Brazil, national R&D expenses in relation to GDP were 1.24%, while in Germany, the United States and Japan these expenses reached 2.83%, 2.74% and 3.48%, respectively. These values also signal the financing pattern of innovation in Brazilian companies, signaling the dependence on public financing (MCTIC, 2015).
Analyzing the normality of the two variables, it is observed that neither of them present normal behavior from the Shapiro-Wilk test for normality; the test statistics for INOV W = 0.64451 (p-value = 0.0000) and BTM W = 0.68796 (p-value = 0.0000) were obtained, rejecting the normality hypothesis in both variables, which limits the results to this sample.
We also applied Levin-Lin-Chu unit-root test to BTM and INOV. Both variables are stationary for a subsample of 22 firms (BTM p-value 0.000 at 1% of statistical significance level and INOV p-value 0.0729 at 10% of statistical significance level). We used a subsample because the Levin-Lin-Chu unit-root test demands a strongly balanced sample.
To apply the Granger causality test, time lags from 1 to 4 periods (years) were applied, in both directions of the cause-effect relationship between INOV and BTM. First, we tested the hypothesis that INOV granger-causes BTM (INOV → BTM) and statistical significance was only expected in this case, with a negative effect. After, we tested the secondary hypothesis that BTM granger-causes INOV (BTM → INOV).
The Granger test checks the joint significance of the lagged regressors, and it is expected they present the effect of cause on the dependent variable. For statistical analysis, only the results of, at least, 0.05 significance level were considered significant.
It is highlighted that the explanatory power of the models is high due to the use of the own lagged dependent variable. The goal of the test with the use of the lagged dependent variable is that this model carries all the information which would be relative to the other omitted variables of the model, that is, other explanatory variables which were not discussed here, leaving the analysis only in the marginal effect of the independent variable of cause, in order to identify its preceding time effect.
The results obtained for the first test, that is, INOV granger-causes BTM is presented in table 3.

It is observed that in the 3-lag test, even with the 2-lag significance, the negative coefficient of lag 3 (t-3) is higher than the positive coefficient of lag 2. The coefficients are comparable because they represent the same variable in two distinct moments in time.
The result regarding the coefficient of the third lag is also obtained in the last regression, with the statistical significance of lag 3, again with a negative signal.
That is, considering the analysis of the INOV variable as BTM cause, the results point to INOV → BTM in a 3-lag cycle. Thus, R&D expenses, used here as innovation proxy, after a 3-year period, on average, generate a negative effect on the BTM, measure which checks the proportion between book value and market value, that is, investments in innovation provide an increase in the company market value above its book value in a 3-year cycle, on average.
In table 4, we present the second test, BTM granger-causes INOV.

In the tests to check whether the BTM causes INOV, it is possible to observe that the Granger test only presents statistical significance at 5% level with 4 lags, even so, the cause interest variable (BTM) only presents significance in the lag of period 1, when all the 4-lag cycle is considered. Thus, there is just a BTM → INOV effect in a 4-period cycle, with a negative effect.
In summary, the effects obtained by the models are represented below:
INOV → BTM: 3 lags
BTM → INOV: 4 lags
Therefore, it is clear the time precedence of the research expenses (INOV) on the value generation captured by BTM. Thus, the results presented confirm the hypothesis expected that INOV causes BTM with a negative effect in the long run, and the average time is of 3 years.
Our paper explores the existence of a causal relationship between R&D expenses discharged in the P&L, that are not capitalized by Accounting, and the distance between the book and market values, measured by the BTM ratio, in the Brazilian public firms.
For this purpose, we analyzed 30 companies that disclosed, in their footnotes, information about R&D expenses, from 2010 to 2015, totaling 163 observations, in an unbalanced panel, as a result of the unavailability of data for the variables.
By the Granger Causality Test, we found that INOV causes BTM, in a 3-lag cycle. Moreover, the results also demonstrated that BTM causes INOV with 4 lags, both with negative effects.
In other words, R&D expenses discharged in the P&L, after a 3-year period, on average, generate a negative effect on the BTM ratio. These findings suggest evidence that the investments on innovation provide an increase in the company market value above its book value in an average 3-year cycle. After that, on the 4th. period, it was observed that there is innovation perception, signaling evidence of potential valuing of the company by investors so that a continuous growth cycle is recognized.
These results are following the studies of Eberhart et al. (2004) and Camargo et al. (2016), corroborating in the sense that R&D expenses tend to be perceived later by the market. Thus, the potential cash flow of these investments tends to be underestimated, as a result of the acknowledgment by Accounting.
Therefore, from the moment at investors recognize the investments on innovation, the high BTM ratios demonstrate a certain optimism of the companies, reflecting in return expectations above the ones created beforehand by the market (Donnelly, 2014).
It stands out that companies in developing countries, specifically in Brazil, which are characterized by still developing their skills, only the minority of businesses dominate the most advanced capabilities. Thereby, many of the indicators used to measure innovation do not seek to capture such intermediate levels of capacity, characteristic of most companies in the context of late-industrializing economies (Lourdes & Figueiredo, 2009).
We highlight that the period defined in this study was from 2010 to 2015. We decided to use data post-2010 due to the changes in accounting standards, specifically, CPC 04, which modified recognition and measurement of intangible assets.
We add that our sample was restricted to 30 companies. Nonetheless, this is due to the fact that several companies do not have R&D expenses or did not disclose this information in their footnotes.
Finally, an extension of this study could consider the relationship between R&D outputs and the expectation value generation or the BTM ratio, as a way of relaxing the assumption that the marginal benefits generated by R&D expenses are constant for all companies (Pandit et al., 2011). Another suggestion is to analyze the effects of innovation investments on the generation of shareholders’ economic value, by alternative methodologies.



