Artículos originales
Características endoscópicas e histopatológicas de los pólipos colorrectales resecados endoscópicamente en una institución universitaria de Bogotá D. C.
Endoscopic and Histopathological Characteristics of Colorectal Polyps Resected Endoscopically at a University Institution in Bogotá D. C.
Características endoscópicas e histopatológicas de los pólipos colorrectales resecados endoscópicamente en una institución universitaria de Bogotá D. C.
Revista Colombiana de Gastroenterologia, vol. 34, núm. 1, pp. 31-37, 2019
Asociación Colombiana de Gastroenterología
Recepción: 18 Julio 2018
Aprobación: 12 Septiembre 2018
Resumen:
El cáncer colorrectal es una de las causas de mortalidad más importantes en los países occidentales. Desde cuando se estableció la progresión de adenoma a carcinoma, se ha considerado que los pólipos del colon son un factor de riesgo importante para desarrollar el cáncer colorrectal, por esta razón es importante el conocimiento, detección y resección, e investigación del tema. En Colombia no se han realizado estudios prospectivos que evalúen las características de los pólipos colorrectales, razón por la cual se considera de gran importancia la realización de este estudio con el objetivo de determinar las características endoscópicas e histopatológicas de los pólipos colónicos encontrados y resecados mediante colonoscopia. Se realizó un estudio observacional descriptivo, mediante el análisis de los pólipos resecados en pacientes del servicio de gastroenterología y endoscopia digestiva de la Clínica Universitaria Colombia. Se calculó un tamaño de muestra de forma probabilística (n = 306 pólipos resecados). En cuanto a la histología, y contrario a lo informado en la literatura, la mayoría de los pólipos detectados en nuestro estudio (170) fue de tipo adenomatoso (55,6 %). El mayor porcentaje de ellos (86 %) correspondió al tipo tubular, hallazgo acorde con lo mencionado en la literatura, la mayoría de ellos con displasia de bajo grado. Solo en 2 de nuestros pacientes se realizó el hallazgo de pólipos cuya histología diagnosticó la presencia de adenocarcinoma.
Palabras clave: Pólipos, cáncer colorrectal, resección, histopatología.
Abstract:
Colorectal cancer is one of the most important causes of death in Western countries. Since the progression from adenoma to carcinoma was established, it has been considered that colon polyps are an important risk factor for development of colorectal cancer, hence the importance of knowledge and research about them as well as their detection and resection. In our country there had been no prospective evaluations of the characteristics of colorectal polyps, so we considered this study to determine the endoscopic and histopathological characteristics of colonic polyps found and resected through colonoscopy to be of great importance. This descriptive and observational study includes analysis of polyps resected from patients inthe Gastroenterology and Digestive Endoscopy service of the Clínica Universitaria Colombia. Sample size was calculated probabilistically (n = 306 resected polyps). Contrary to reports in the literature, most of the polyps detected in our study (170) were adenomatous (55.6%). The highest percentage (86%) were tubular which is consistent with the literature. Most of them had low grade dysplasia. Only two of our patients had polyps found whose histology indicated adenocarcinoma.
Keywords: Polyps, colorectal cancer, resection, histopathology.
Introducción
A nivel mundial, el cáncer colorrectal es una de las causas más importantes de morbimortalidad, con un aumento constante en la incidencia del mismo. Se ha establecido claramente la progresión de adenoma a carcinoma y se considera que los pólipos de colon son un factor de riesgo importante para desarrollar el cáncer colorrectal. Por esta razón es importante el conocimiento, detección, resección y análisis histopatológico del mismo 1. Los pólipos son masas dependientes de la mucosa, que protruyen hacia la luz (en este caso intestinal) y que pueden ser caracterizados por su apariencia macroscópica, tamaño, número y presencia o no de pedículo. Pueden dividirse en neoplásicos y no neoplásicos, y de acuerdo con la confirmación histológica del diagnóstico de los mismos, debe realizarse el seguimiento o tratamiento quirúrgico respectivo 2.
En los países desarrollados el cáncer colorrectal es el tercer cáncer más frecuente y constituye la segunda causa de muerte por cáncer. Se ha establecido una supervivencia a 5 años del 90 % cuando se diagnostica como enfermedad localizada, del 68 % cuando hay compromiso ganglionar y solo del 10 % cuando hay enfermedad metastásica. Bajo esta consideración y con el conocimiento de que el 90 % de los casos de cáncer colorrectal esporádico se generan en la secuencia adenoma-carcinoma, la implementación de programas de tamización y de detección temprana de las lesiones adenomatosas, así como la prevención a través de la polipectomía han generado que la mortalidad por cáncer colorrectal disminuya en los últimos años 3,4,5.
Los pólipos adenomatosos son comunes en adultos mayores de 50 años; sin embargo, solo unos pocos se van a convertir en adenocarcinomas. La histología y el tamaño de los mismos son las características que determinan su importancia clínica. Son considerados adenomas de alto riesgo neoplásico aquellos de histología tubular con más de 10 mm de tamaño, los de histología vellosa independiente del tamaño, la presencia de 3 o más adenomas y los que presentan displasia de alto grado 6,7.
Los pólipos pequeños, es decir, aquellos con un tamaño <5 mm de diámetro, se han considerado clásicamente lesiones no neoplásicas; sin embargo, algunos estudios han demostrado que entre el 30 % y 50 % pueden corresponder a adenomas y hasta el 4,4 % puede presentar características de alto riesgo 8,9.
Basados en estos datos, la estrategia universalmente adoptada hasta el momento es que todos los pólipos deben ser resecados y enviados a estudio histopatológico. Sin embargo, teniendo en cuenta que entre el 40 % y 50 % de las colonoscopias demuestran la presencia de pólipos, la resección y estudio de todos ellos generan un alto costo para los sistemas de salud, lo que ha llevado a la búsqueda de estrategias que permitan identificar aquellas lesiones que deben ser analizadas en su histología y aquellas que no, con el fin de disminuir los costos sin aumentar el riesgo para el paciente 10. Por esta razón surge la estrategia de resect and discard, en la cual se plantea la posibilidad de, basados en el uso de tecnologías endoscópicas, diferenciar entre la histología hiperplásica y adenomatosa de los pólipos pequeños, y de este modo determinar la necesidad de enviar o no el espécimen a patología. Aunque esta estrategia parece prometedora, hasta el momento no hay datos suficientes en la literatura que permitan hacer una recomendación formal al respecto 11,12.
Justificación
En nuestro medio se desconocen las características morfológicas de los pólipos en cuanto a su tamaño, al número de los mismos y a su correlación con los hallazgos histopatológicos. Este estudio prospectivo mostró las características de los pólipos colorrectales de nuestra población.
Objetivos
Determinar las características endoscópicas e histopatológicas de los pólipos colónicos encontrados y resecados mediante colonoscopia en pacientes tratados en nuestra institución. Evaluar la frecuencia y localización de los pólipos en la población de estudio y describir la incidencia de la patología maligna en nuestros pacientes a quienes se les realizó polipectomía.
Pacientes y método
Diseño del estudio
Se realizó un estudio observacional descriptivo, mediante el análisis de los informes de colonoscopia y de los resultados de histopatología de los pólipos resecados completamente, por medio de polipectomía con asa o con pinza de biopsias realizadas en pacientes del servicio de gastroenterología de la Clínica Universitaria Colombia entre enero y marzo de 2016. Las colonoscopias y resección de los pólipos fueron realizadas por gastroenterólogos y médicos residentes del servicio de gastroenterología, según los protocolos de la institución.
Población
El marco muestral fue constituido por la totalidad de pólipos resecados en el servicio y que se enviaron a estudio de histopatología. Los pólipos se extrajeron en pacientes adultos (edad ≥18 años) remitidos al servicio para realizar estudio de endoscopia ambulatoria. Se calculó un tamaño de muestra de forma probabilística (n = 306 pólipos resecados) y se excluyeron muestras sin reporte de patología y sin datos clínicos.
Análisis estadístico
El análisis de los datos incluyó medidas de frecuencia y de tendencia central. La distribución de normalidad de las variables de interés se evaluó mediante los gráficos P-P y Q-Q, y la prueba de Shapiro-Wilks. Los datos categóricos se analizaron mediante las pruebas no paramétricas de U de Mann-Whitney, chi cuadrado (χ2) de independencia y prueba exacta de Fisher. La prueba no paramétrica χ2 se utilizó para identificar la relación entre los hallazgos macroscópicos y los antecedentes clínicos relevantes con los hallazgos de displasia en el estudio de histopatología, siempre y cuando se cumplieran los supuestos de Cochrane para la prueba (menos del 20 % de las celdas deben tener valores esperados <5 y ninguna celda debe tener valor esperado <1). Se calcularon intervalos de confianza (IC) 95 % para cada estimador. Los valores de p para el contraste de hipótesis se consideraron significativos cuando p <0,05. Los datos se analizaron con el software licenciado STATA/V. 13.0.
Control de calidad de la información
Para el desarrollo de este estudio se tuvieron en cuenta sesgos de información, selección y mala clasificación tanto diferencial como no diferencial, lo que permitió contar con información adecuada para el desarrollo del mismo.
Consideraciones éticas
Este protocolo de investigación se rigió por los principios establecidos en la Declaración de Helsinki y las buenas prácticas de investigación, y fue aprobado por los comités de investigación y de ética de Fundación Universitaria Sánitas.
Resultados
El tamaño de la muestra se completó luego de 2 meses y 7 días, período en el que se realizaron 1808 colonoscopias en nuestra institución. En total, 306 pólipos resecados mediante polipectomía endoscópica de colon y recto (resección completa con pinza de biopsia o con asa de polipectomía) se incluyeron en el estudio y se originaron en procedimientos realizados a 214 pacientes (115 mujeres y 99 hombres). La edad promedio de los pacientes fue 61,07 años (rango: 19 a 88). El promedio de pólipos resecados por paciente fue de 1,4 (mínimo 1 y máximo 8). El dolor abdominal (32,71 %) y el antecedente de pólipos fueron las principales indicaciones para realizar el estudio de colonoscopia en los pacientes incluidos en el estudio (Tabla 1).

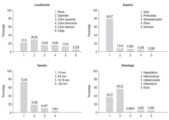
Los hallazgos macroscópicos de los estudios de colonoscopia mostraron que los pólipos resecados en su mayoría estaban localizados en el colon sigmoides (n = 89, 29,08 %; IC 95 %: 24,28-34,41), seguido por el recto (n = 67, 21,90 %; IC 95 %: 17,63-26,86). Con menos frecuencia se resecaron en el ciego (n = 16, 5,23 %; IC 95 %: 3,24-8,32). El aspecto morfológico identificado con mayor frecuencia en los pólipos resecados fue el pólipo sésil (n = 245, 80,07 %; IC 95 %: 75,23-84,16). El tamaño <5 mm fue el más frecuente dentro de los pólipos resecados (n = 222, 72,55 %; IC 95 %: 67,29-77,25). El reporte de histología adenomatosa fue el informado con mayor frecuencia dentro de las 306 muestras procesadas (n = 169, 55,23 %; IC 95 %: 49,63-60,70) (Figura 1).

La resección de pólipos se realizó principalmente mediante pinza (n = 255, 83,33 %; IC 95 %: 78,75-87,09). Algunos indicadores acerca de las condiciones de calidad con que se realizó la colonoscopia en los 214 pacientes muestran que el procedimiento fue incompleto en el 3,74 % de los mismos debido especialmente a dificultad técnica o estenosis en el 2,80 % de los pacientes. Otros factores relacionados con la calidad del procedimiento no superaron el 1 %. Dentro de las muestras de tejido reportadas con histología adenomatosa (n = 169) o mixta (n = 11), la displasia de bajo grado (n = 173, 96,11 %; IC 95 %: 92,19-98,10) y el tipo tubular (n = 148, 82,22 %; IC 95 %: 75,98-87,12) fueron los hallazgos más relevantes (Tabla 2).

Las condiciones clínicas más frecuentemente encontradas en este grupo de pacientes sometidos a polipectomía endoscópica fueron la presencia de hemorroides internas (37,85 %), divertículos en recto y sigmoides (24,30 %), hemorroides externas (20,09 % y pandiverticulosis (11,21 %), entre otras.
El análisis bivariado mediante la aplicación de pruebas no paramétricas (χ2 y Fisher) permitió identificar la relación entre algunas características demográficas y clínicas con la presencia de diferentes grados de displasia, de tal manera que se encontraron diferencias estadísticamente significativas para la localización del pólipo (p = 0,000), tamaño del pólipo (p = 0,002), antecedente personal de pólipos (p = 0,004), antecedente de síndrome de intestino irritable (p = 0,001) y rectorragia (p = 0,013). Otras variables de interés no presentaron asociación estadísticamente significativa.
Discusión
El cáncer colorrectal es una de las causas de mortalidad más importantes en los países occidentales, observándose un Incremento en el número de casos en las últimas décadas. Desde hace más de 70 años cuando se estableció la progresión de adenoma a carcinoma, se ha considerado que los pólipos de colon son un factor de riesgo importante para desarrollar el cáncer colorrectal. De ahí la importancia de su conocimiento, detección y resección, e investigación en el tema 13.
Un pólipo gastrointestinal puede caracterizarse por su apariencia macroscópica, tamaño, número y por la presencia o no de pedículo. Los pólipos colorrectales pueden dividirse en neoplásicos y no neoplásicos 14.
Los pólipos hiperplásicos son las lesiones no neoplásicas más comunes del colon. Histológicamente tienen componentes celulares normales y no presentan displasia. Son lesiones pequeñas (usualmente <5 mm), en su mayoría inocuas, que se pueden encontrar a lo largo de todo el colon, siendo particularmente frecuentes en el recto y en el sigmoide. Su prevalencia aumenta con la edad, siendo hasta de un 30 % en mayores de 50 años. Dado que no suelen generar síntomas, son generalmente hallados incidentalmente en las colonoscopias 15.
Los pseudopólipos inflamatorios corresponden a áreas inflamadas de la mucosa que se proyectan sobre el nivel de la mucosa adyacente. Usualmente son resultado de una respuesta inflamatoria localizada o difusa, como es el caso de la enfermedad inflamatoria intestinal. Estos pólipos no se consideran precursores de cáncer colorrectal (2,15).
Los pólipos adenomatosos son tumores neoplásicos epiteliales benignos, casi siempre asintomáticos. Morfológicamente se clasifican en sésiles, pediculados y planos. La importancia clínica de los pólipos adenomatosos radica en su potencial variable de malignidad. En algunos casos se manifiestan por la presencia de sangrado digestivo evidente o sangre oculta en heces. La secuencia adenoma-carcinoma es bien conocida y se acepta que el 80 % al 90 % de todos los cánceres colorrectales se originan en adenomas 16.
La prevalencia de los adenomas colónicos aumenta en forma directamente proporcional con la edad. De acuerdo con la literatura, aproximadamente el 12 %-30 % de las personas tienen adenomas a partir de la quinta década de vida; de estos, cerca del 25 % se considera lesiones de alto riesgo de malignización 17. La Organización Mundial de la Salud (OMS) clasifica los adenomas en:
Tubular (menos del 25 % de arquitectura vellosa): 80 %-86 %.
Túbulo-velloso (entre el 25 % y el 75 % de arquitectura vellosa): 8 %-16 %.
Velloso (al menos 75 % de arquitectura vellosa): 3 %-16 % 18.
Por definición, todos los adenomas tienen algún grado de displasia, frecuentemente de bajo grado. La displasia de los adenomas se clasifica como displasia de bajo grado (leve a moderada) o de alto grado (severa, incluye el carcinoma in situ) 18.
Solo el 5 % de los adenomas está en riesgo de transformación maligna. La probabilidad de displasia de alto grado y de transformación carcinomatosa aumenta con el tamaño del pólipo (especialmente cuando es >1 cm), tienen componente velloso, son múltiples o la edad al momento del diagnóstico es >60 años. Se considera que un pólipo es de histología avanzada cuando tiene un tamaño >10 mm, su componente velloso es >25 % y cuando presenta displasia de alto grado (19).
En cuanto a la histología, y contrario a lo informado en la literatura, la mayoría de los pólipos detectados en nuestro estudio (170) fue de tipo adenomatoso (55,6 %). El mayor porcentaje de ellos (86 %) correspondió al tipo tubular, hallazgo acorde con lo mencionado en la literatura; la mayoría de ellos con displasia de bajo grado.
Los adenomas serrados son un subtipo de pólipo adenomatoso que muestra epitelio displásico con un patrón de crecimiento similar al del pólipo hiperplásico. Son ligeramente más comunes en el colon izquierdo 20,21. En nuestro estudio se encontraron pólipos serrados en 3 casos, lo que corresponde al 0,98 % de la muestra.
El tamaño de los pólipos ha mostrado estar relacionado con su potencial de malignización. Algunos estudios han mostrado que los pólipos pequeños (<5 mm) tienen una estructura adenomatosa en un 30 % a 50 % de los casos, mientras que los adenomas pequeños (<10 mm) generan malignidad en un 1,3 % de los casos; esta tasa aumenta hasta un 10 % en presencia de un alto componente velloso y hasta un 27 % en presencia de displasia significativa. Los adenomas entre 10 mm y 2 cm tienen un riesgo del 5 % de tener un carcinoma en el momento de su resección, y en los >20 mm hay un riesgo entre el 10 % y el 20 %. El grado de displasia es un factor de riesgo de malignidad, independiente del tamaño 22.
La detección temprana del cáncer colorrectal es fundamental para mejorar las opciones terapéuticas y reducir su mortalidad. En términos de prevención secundaria, la resección de pólipos adenomatosos de manera endoscópica reduce la incidencia del cáncer colorrectal. Por esta razón, el tratamiento aceptado hasta el momento para los pólipos colorrectales, independientemente de su tamaño, arquitectura o grado de displasia, es la resección completa 1,23.
La colonoscopia es la estrategia de tamización preferida en cáncer colorrectal. La incidencia de esta enfermedad ha mostrado reducciones de hasta 90 % en pacientes en quienes se realizaron polipectomías, en comparación con pacientes en 3 grupos de referencia: 2 cohortes en los que los pólipos colorrectales no fueron resecados y un registro de la población general. La colonoscopia puede completarse con mínimo riesgo en más del 95 % de los casos. La tamización con colonoscopia ha mostrado ser costo-efectiva (24).
Recientemente se han descrito estrategias en las que se pretende predecir el potencial de malignidad del pólipo y de esta manera determinar si el mismo puede ser resecado y descartado (estrategia predict, resect and discard). Este tipo de estrategia se emplea en especial en los pólipos diminutos, es decir, <5 mm, y con menor frecuencia en pólipos pequeños (entre 6 y 9 mm); sin embargo, aún son motivo de intenso debate 25,26.
Solo en 2 de nuestros pacientes se realizó el hallazgo de pólipos cuya histología diagnosticó la presencia de adenocarcinoma, ambas mujeres, una de ellas de 43 años con un pólipo de 20 mm; la otra, de 77 años con un pólipo <5 mm.
Con este trabajo se identifican las características de los pólipos resecados en nuestros pacientes, resaltando el hallazgo de que más del 50 % de los pólipos resecados en nuestra institución corresponde al tipo adenomatoso. Y que en un caso se resecó un pólipo de tan solo 5 mm, con un informe histopatológico que evidenció la presencia de patología neoplásica, por lo cual se considera de gran importancia en nuestra población la resección de los pólipos encontrados durante las colonoscopias, los cuales deben ser enviados a estudio histopatológico y no deben ser descartados.
Referencias
Zauber AG, Winawer SJ, O’Brien MJ, Lansdorp-Vogelaar I, van Ballegooijen M, Hankey BF, et al. Colonoscopic polypectomy and long-term prevention of colorectal-cancer deaths. N Engl J Med. 2012;366(8):687-96. doi: 10.1056/NEJMoa1100370.
IJspeert JE, Medema JP, Dekker E. Colorectal neoplasia pathways: state of the art. Gastrointest Endosc Clin N Am. 2015;25(2):169-82. doi: 10.1016/j.giec.2014.11.004.
Ferlay J, Shin HR, Bray F, Forman D, Mathers C, Parkin DM. Estimates of worldwide burden of cancer in 2008: GLOBOCAN 2008. Int J Cancer. 2010;127(12):2893-917. doi: 10.1002/ijc.25516.
Piñeros M, Murillo RH, Instituto Nacional de Cancerología, Bogotá, D. C . Incidencia de cáncer en Colombia: importancia de las fuentes de información en la obtención de cifras estimativas. Rev Colomb Cancerol. 2004;8(1):5-14.
Rex DK, Lehman GA, Hawes RH, Ulbright TM, Smith JJ. Screening colonoscopy in asymptomatic average-risk persons with negative fecal occult blood tests. Gastroenterology. 1991;100(1):64-7.
Winawer SJ, Zauber AG, Fletcher RH, Stillman JS, O’Brien MJ, Levin B, et al. Guidelines for colonoscopy surveillance after polypectomy: a consensus update by the US Multi-Society Task Force on Colorectal Cancer and the American Cancer Society. Gastroenterology. 2006;130(6):1872-85. doi: 10.1053/j.gastro.2006.03.012.
Paggi S, Rondonotti E, Amato A, Terruzzi V, Imperiali G, Mandelli G, et al. Resect and discard strategy in clinical practice: a prospective cohort study. Endoscopy. 2012;44(10):899-904. doi: 10.1055/s-0032-1309891.
Fossi S, Bazzoli F, Ricciardiello L, Nicolini G, Zagari RM, Pozzato P, et al. Incidence and recurrence rates of colorectal adenomas in first-degree asymptomatic relatives of patients with colon cancer. Am J Gastroenterol. 2001;96(5):1601-4. doi: 10.1111/j.1572-0241.2001.03784.x.
Rex DK, Khan AM, Shah P, Newton J, Cummings OW. Screening colonoscopy in asymptomatic average-risk African Americans. Gastrointest Endosc. 2000;51(5):524-7.
Rex DK, Lehman GA, Ulbright TM, Smith JJ, Pound DC, Hawes RH, et al. Colonic neoplasia in asymptomatic persons with negative fecal occult blood tests: influence of age, gender, and family history. Am J Gastroenterol. 1993;88(6):825-31.
Vu HT, Sayuk GS, Gupta N, Hollander T, Kim A, Early DS. Patient preferences of a resect and discard paradigm. Gastrointest Endosc. 2015;82(2):381-384.e1. doi: 10.1016/j.gie.2015.01.042.
Wilson AI, Saunders BP. New paradigms in polypectomy: resect and discard, diagnose and disregard. Gastrointest Endosc Clin N Am. 2015;25(2):287-302. doi: 10.1016/j.giec.2014.12.001.
Mandel JS, Church TR, Bond JH, Ederer F, Geisser MS, Mongin SJ, et al. The effect of fecal occult-blood screening on the incidence of colorectal cancer. N Engl J Med. 2000;343(22):1603-7. doi: 10.1056/NEJM200011303432203.
Heitman SJ, Ronksley PE, Hilsden RJ, Manns BJ, Rostom A, Hemmelgarn BR. Prevalence of adenomas and colorectal cancer in average risk individuals: a systematic review and meta-analysis. Clin Gastroenterol Hepatol. 2009;7(12):1272-8. doi: 10.1016/j.cgh.2009.05.032.
Kronborg O, Fenger C, Olsen J, Jørgensen OD, Søndergaard O. Randomised study of screening for colorectal cancer with faecal-occult-blood test. Lancet. 1996;348(9040):1467-71. doi: 10.1016/S0140-6736(96)03430-7.
Vogelstein B, Fearon ER, Hamilton SR, Kern SE, Preisinger AC, Leppert M, et al. Genetic alterations during colorectal-tumor development. N Engl J Med. 1988;319(9):525-32. doi: 10.1056/NEJM198809013190901.
Citarda F, Tomaselli G, Capocaccia R, Barcherini S, Crespi M; Italian Multicentre Study Group. Efficacy in standard clinical practice of colonoscopic polypectomy in reducing colorectal cancer incidence. Gut. 2001;48(6):812-5.
Bujanda L, Cosme A, Gil I, Arenas-Mirave JI. Malignant colorectal polyps. World J Gastroenterol. 2010;16(25):3103-11.
Richter JM, Campbell EJ, Chung DC. Interval colorectal cancer after colonoscopy. Clin Colorectal Cancer. 2015;14(1):46-51. doi: 10.1016/j.clcc.2014.11.001.
Bordaçahar B, Barret M, Terris B, Dhooge M, Dreanic J, Prat F, et al. Sessile serrated adenoma: from identification to resection. Dig Liver Dis. 2015;47(2):95-102. doi: 10.1016/j.dld.2014.09.006.
Abdeljawad K, Vemulapalli KC, Kahi CJ, Cummings OW, Snover DC, Rex DK. Sessile serrated polyp prevalence determined by a colonoscopist with a high lesion detection rate and an experienced pathologist. Gastrointest Endosc. 2015;81(3):517-24. doi: 10.1016/j.gie.2014.04.064.
Lieberman DA, Rex DK, Winawer SJ, Giardiello FM, Johnson DA, Levin TR. Guidelines for colonoscopy surveillance after screening and polypectomy: a consensus update by the US Multi-Society Task Force on Colorectal Cancer. Gastroenterology. 2012;143(3):844-857. doi: 10.1053/j.gastro.2012.06.001.
Winawer SJ, Zauber AG, Ho MN, O’Brien MJ, Gottlieb LS, Sternberg SS, et al. Prevention of colorectal cancer by colonoscopic polypectomy. The National Polyp Study Workgroup. N Engl J Med. 1993;329(27):1977-81. doi: 10.1056/NEJM199312303292701.
Brenner H, Chang-Claude J, Seiler CM, Rickert A, Hoffmeister M. Protection from colorectal cancer after colonoscopy: a population-based, case-control study. Ann Intern Med. 2011;154(1):22-30. doi: 10.7326/0003-4819-154-1-201101040-00004.
Kessler WR, Imperiale TF, Klein RW, Wielage RC, Rex DK. A quantitative assessment of the risks and cost savings of forgoing histologic examination of diminutive polyps. Endoscopy. 2011;43(8):683-91. doi: 10.1055/s-0030-1256381.
Hassan C, Pickhardt PJ, Rex DK. A resect and discard strategy would improve cost-effectiveness of colorectal cancer screening. Clin Gastroenterol Hepatol. 2010;8(10):865-869.e1-3. doi: 10.1016/j.cgh.2010.05.018.
Notas de autor
*Correspondencia: rgprietoo@hotmail.com
Declaración de intereses