Investigación original
Comparación y concordancia de las ecuaciones más recomendadas de estimación de filtrado glomerular para el diagnóstico de enfermedad renal crónica en una población de Lima, Perú
Comparison and agreement of the most frequently recommended equations for estimating glomerular filtration rate for the diagnosis of chronic kidney disease in a population of Lima, Peru
Comparación y concordancia de las ecuaciones más recomendadas de estimación de filtrado glomerular para el diagnóstico de enfermedad renal crónica en una población de Lima, Perú
Revista Médica Herediana, vol. 32, núm. 3, pp. 162-170, 2021
Universidad Peruana Cayetano Heredia

Recepción: 27 Noviembre 2019
Aprobación: 20 Mayo 2021
Resumen: Objetivo: Determinar la correlación y concordancia de fórmulas recomendadas para calcular la tasa de filtración glomerular (TFG) con el aclaramiento de creatinina medido (Clcr) en una población hospitalaria peruana. Material y métodos: Estudio de correlación y concordancia de personas con estados diferentes de función renal. Fueron estudiados 175 pacientes agrupados según el Clcr: Grupo 1: valores mayores de 140, Grupo 2: entre 140 a 90, Grupo 3: entre 90 a 60 y Grupo 4 cuyos valores fueron menores de 60 ml/min/1,73 m2 de SC. Se excluyeron los pacientes obesos (IMC>29). En una junta de orina de 24 horas y una muestra de sangre matutina se midió el Clcr (normalizado a 1,73 m2 de superficie corporal). Las fórmulas consideradas fueron: Cockcroft y Gault, MDRD, CDK- EPI y una fórmula peruana propuesta por Vásquez. Se analizó la correlación de Pearson entre las diversas fórmulas consideradas y el Clcr medido y su concordancia mediante el estudio de Bland Altman, de las diversas fórmulas usando la diferencia entre el resultado de cada fórmula para cada sujeto estudiado y el Clcr medido. Resultados: Todas las fórmulas propuestas tuvieron buen grado de correlación con el Clcr pero la fórmula CKD-EPI mostró importante imprecisión. Las fórmulas de Vásquez y MDRD mostraron leves diferencias favorables en pacientes con Clcr<60 ml/min. Conclusión: Recomendamos en nuestra población el uso de cualquiera de las fórmulas propuestas excepto CKD-EPI.
Palabras clave: Pruebas de función renal, creatinina, composición de medicamentos.
Abstract: Objective: To determine the correlation and agreement between the most frequently used formulas estimate the glomerular filtration rate (GFR) and the measured Creatinine Clearance (CrCl), in a Peruvian population. Methods: Study of correlation and agreement in a population with different stages of renal function. 175 patients were included, grouped by CrCl: Group 1: higher than 140, Group 2: between 140 and 90, Group 3: Between 90 and 60, Group 4: less than 60 ml/min/1,73 m2 . Height and weight were measured to calculate body mass index (BMI). Obese patients (BMI>29) were excluded. Using a 24-hour urine collection and a serum creatinine sample, creatinine clearance was measured (normalized for 1.73 m. of body surface). Formulas considered for analysis were: Cockroft and Gault, MDRD, CKD-EPI and a Peruvian formula proposed by Vásquez. Correlation was analyzed by Pearson coefficient between studied formulas and the measured CrCl; and its agreement was studied by Bland Altman analysis using the difference between the result obtained by each formula and the measured CrCl. Results: All studied formulas showed an acceptable degree of correlation but CKD-EPI formula had considerable imprecision. The formulas by Vásquez and MDRD showed slightly favorable differences in patients with CrCl<60 ml/min. Conclusion: We recommend the use of any of the studied formulas with exception of CKD-EPI in our population.
Keywords: Kidney function tests, creatinine, drug compounding.
INTRODUCCIÓN
La enfermedad renal crónica en estado terminal (ERC5) es un problema de salud pública reconocida y de curso creciente según datos de la literatura. La incidencia y prevalencia se encuentran notablemente en incremento en todo el mundo pero con mayor énfasis en países en vías desarrollo como el nuestro (1). El determinar objetivamente el estado de función renal es fundamental, sobre todo para efectos de prevención primaria y secundaria. Por lo mismo, la prevención y educación sanitaria son puntos claves para poder controlar o amenguar esta problemática, haciendo énfasis que el curso evolutivo es usualmente inexorable, del cual el desenlace final es la muerte (2); aunque los procedimientos de diálisis o de trasplante renal permitan ahora la sobrevida de pacientes en estas condiciones. Sin embargo, sus costos son elevados y dificultosos para ser brindados masivamente a estos pacientes en la gran mayoría de países del mundo con baja inversión en salud (3).
La medida de la tasa de filtración glomerular (TFG) tiene como gold estándar la depuración de inulina (4) pero es aceptado universalmente que el Clcr normalizado y estandarizado tiene una excelente correlación con el gold estándar. En tal sentido, debería realizarse esta medición regularmente en la población adulta, pues sus costos son bajos y asequibles en muchos países. Sin embargo, esta técnica tiene dificultades operativas en la fidelidad de la recolección de orina (5) que ha conducido a proponer formulaciones diversas que permitan hacer acercamientos a la función renal de un individuo determinado y definir el estado de disfunción renal o ausencia de éste para ejercer programas de prevención secundaria.
Las principales sociedades internacionales coinciden en recomendar el uso de ciertas fórmulas para definir la TFG y el grado de función renal en las poblaciones (6). Esta propuesta está sustentada en la dificultad para recolectar orina de 24 horas (5) que en la actualidad es mayor por diversos motivos como situaciones laborales diversas, nivel de educación y practicidad operativa sanitaria. Sin embargo, estas fórmulas proceden de bases poblacionales que no necesariamente son semejantes antropométricamente e históricamente con la nuestra (cultura alimentaria, educación, actividad física y atención sanitaria) (7). Esta es la razón para el uso de diversas fórmulas en países del mundo oriental con propuestas específicas para sus poblaciones (8) .
En el Perú, Vásquez en el año 1985 desarrolló la propuesta de calcular la TFG en una recolección estructurada de orina de dos horas con muy buenos resultados (9).
Estos argumentos justifican un estudio que permita reconocer la o las mejores alternativas para definir con la mayor precisión posible el estado de la función renal, reconociendo que hay publicaciones locales y regionales con diversidad de observaciones pero que dejan aún vacíos de interpretación.
El objetivo del trabajo fue determinar la correlación y concordancia de fórmulas recomendadas para calcular la tasa de filtración glomerular (TFG) con el aclaramiento de creatinina medido (Clcr) en una población hospitalaria peruana.
MATERIAL Y MÉTODOS
Estudio descriptivo de tipo serie de casos de 175 participantes con diversos estados de función renal, considerándose personas sanas y con enfermedades crónicas, pero con creatinina sérica menor de 1,1 mg/dl hasta personas con creatinina muy elevadas (máximo 13 mg/dl) que no estuvieran en tratamientos de diálisis. Se trató de establecer mantener una proporción similar de hombres y mujeres para cada grupo de la población estudiada.
Los grupos se estructuraron de acuerdo al estado de función renal medido:
Grupo 1 valores mayores de 140 ml/min/1,73 m2 de SC
Grupo 2 entre 140 a 90 ml/min/1,73 m2 de SC
Grupo 3 entre 90 a 60 ml/min/1,73 m2 de SC
Grupo 4 cuyos valores fueron menores de 60 ml/ min/1,73 m2 de SC
Se excluyeron pacientes que se encontraban en terapia de reemplazo renal, menores de 18 años y personas o pacientes a quienes habiéndoseles explicado e informado el sentido del estudio previamente no desearon participar.
A los participantes se les midió talla y peso, y se calculó el índice de masa corporal (IMC) y la superficie corporal (SC). La función renal fue evaluada tomando una muestra de sangre matutina y en una recolección en orina de 24 horas, donde se midió la creatinina. Con las mediciones se calculó el Clcr normalizado a 1,73 m2 de superficie corporal.
Las fórmulas internacionales incluidas fueron: Cockroft y Gault, MDRD y CKD-EPI. La fórmula peruana fue la propuesta por Vásquez:
Fórmula Vásquez = [(200-edad) * Peso) / (135 * Cr)] * Sexo
Fórmula Cockroft-Gault= [(140-edad) * Peso) / (72 * Cr)] * Sexo
Fórmula CKD EPI = 141 * (Cr -0,329/0,7) * 0,993edad *1,018
Fórmula MDRD = 175 * Cr-1,154 * edad-0,203
La recolección de datos fue llevada a cabo entre agosto del año 2018 hasta febrero del 2019. Con los resultados se realizaron las correlaciones de dichas fórmulas con el Clcr y se evaluó las diferencias de valores encontradas (Delta) y su comportamiento mediante correlaciones respecto al Clcr. Posteriormente, se procedió al análisis de los datos en el programa estadístico SPSS V18.
En una primera fase se utilizó estadística descriptiva de las características de cada grupo según la edad, el sexo, talla, peso y el IMC. Posteriormente, se realizó correlación de Pearson entre las diversas formulaciones consideradas y el Clcr. Posteriormente se comparó las características de precisión de las diversas fórmulas usando la diferencia (delta) entre el resultado de cada fórmula para cada sujeto estudiado y el aclaramiento de creatinina medido.
También se determinó la sensibilidad, especificidad, valor predictivo positivo y negativo de cada fórmula en función del Clcr medido y se comparó las diferencias entre los grupos del Clcr estratificados en 90, 60 y 30 ml/min. Finalmente se calculó el estadístico Kappa para cada fórmula y cada nivel de aclaramiento de creatinina especificado anteriormente. Para aceptar o rechazar la probabilidad de cualquiera de los análisis previamente anunciados se estableció una significancia estadística de dos colas en p<0,05.
Los datos fueron almacenados en una base electrónica e informados a cada participante.
El estudio fue revisado y aprobado por el Comité de ética del Hospital Cayetano Heredia. Los participantes firmaron el consentimiento informado aprobado por el comité de ética.
RESULTADOS
Se estudiaron 175 participantes bajo los criterios anteriormente señalados. La tabla 1 muestra las tasas de Clcr, la edad y la antropometría de los sujetos estudiados. La correlación hallada entre la creatinina sérica y el Clcr medido y normalizado a 1,73 m2 de SC de todos los sujetos estudiados se puede observar en el gráfico 1.
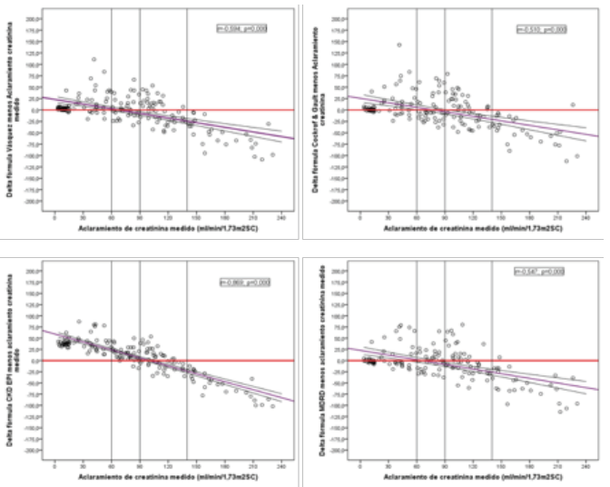
La tabla 2 muestra los valores de Clcr y el de las diversas fórmulas según el estado de función renal considerado en material y métodos. La tabla 3 muestra los resultados de la correlación de las fórmulas estudiadas y el Clcr. Los gráficos 2, 3, 4 y 5 muestran las correlaciones de las fórmulas estudiadas. En la tabla 4 se muestra las diferencias de valores encontrados (Delta) entre el resultado de las fórmulas estudiadas y el Clcr medido. La sensibilidad, especificidad, valor predictivo positivo (VPP), valor predictivo negativo (VPN) y el coeficiente Kappa, se pueden observar en la tabla 5.
DISCUSIÓN
Obtener una mejor estimación de la función renal ha sido una de las necesidades imperiosas en la práctica clínica que ha conducido a lo largo del tiempo a desarrollar cada vez mejores biomarcadores y fórmulas de la estimación de la tasa de filtración glomerular.
El estándar de oro es el aclaramiento de inulina, pero en la práctica clínica cotidiana el aclaramiento de la creatinina es aceptado universalmente, reconociendo que puede sobrestimar el aclaramiento de inulina (10). Pero, el aclaramiento de creatinina de 24 horas genera ciertas dificultades operativas para su uso cotidiano, tanto por la dedicación que se requiere para estar preciso en la recolección de orina todo un día completo, sobre todo para personas en edad laboral que en el mundo urbano actual carece con alta frecuencia de horarios estructurados rutinariamente, generando sesgos en la recolección de la orina.




Ello ha motivado la necesidad de generar fórmulas que generalmente, considerando la creatinina sérica como variable crítica y la edad, el peso y el sexo como covariables importantes permitan estimar con mayor o menor precisión el real aclaramiento de la creatinina. Sin embrago, es importante reconocer con certeza los beneficios y limitaciones de las diversas fórmulas propuestas y sobre todo las utilizadas mayormente en la práctica clínica como en investigaciones diversas, para reflexionar correctamente sobre el paciente o los resultados de las investigaciones (11). Este tema es más importante en países pobres donde hay una magnitud de población con estados de desnutrición diversas y muchas veces severas, o con culturas diferentes a las fuentes de donde proceden las fórmulas (generalmente países desarrollados económicamente), situaciones que no deben soslayarse.




Por estas razones, esta investigación conjugó tanto personas sanas como enfermas de cualquier índole y con diferentes estados de función renal. La idea era tener una visión integral del comportamiento de las diversas fórmulas en todo el rango de la función renal en un país como el Perú con una magnitud de personas desnutridas todavía significativa (12), y cuya cultura alimentaria es diversa y generalmente diferente a la de aquellos países de donde provienen las fórmulas mayormente utilizadas y recomendadas en la literatura.
Esta fue una razón importante para que este trabajo incluyera no solamente la correlación de fórmulas recomendadas internacionalmente, sino también una antigua propuesta peruana prácticamente olvidada pero correctamente sustentada en recolección de una muestra de orina de dos horas de diabéticos previamente hidratados.
Nuestros resultados, han mostrado que todas las fórmulas propuestas tienen buen grado de correlación con el aclaramiento medido de la creatinina estandarizado a 1,73 m2 de superficie corporal, pero las fórmulas de Vásquez, de Cockroft y Gault y la fórmula MDRD mejor sensibilidad, especificidad, valor predictor positivo y negativo en relación al aclaramiento de creatinina medido para los diferentes estratos de disfunción renal. También tuvieron los mejores valores del estadístico Kappa en estos estratos (tabla 5). Esto no se pudo objetivar en la fórmula propuesta de CKD EPI, aunque su correlación fue buena, pero su precisión no lo fue (gráfico 5).
Para conocer la exactitud de cada fórmula en relación al aclaramiento medido, se calculó el delta entre el valor predicho por la fórmula y el valor medido de aclaramiento de creatinina, situación que se observa en la tabla 4. Es importante observar que todos los deltas con excepción de la fórmula CKD EPI discurren a través del valor cero, así como también es importante anotar que todas las fórmulas sin excepción presentan grandes sobrestimaciones y subestimaciones del valor real medido del aclaramiento de creatinina. Esto se traduce mejor en la visualización de los gráficos de correlación de las fórmulas con el Clcr y en el valor Kappa (tabla 5) que es aceptable pero no muy bueno cuando las tasas de filtración están por encima de 30 ml/min/1,73m2 SC, pero es muy bueno para tasas inferiores a 30 ml/min/1,73 m2 SC con excepción de la fórmula CKD EPI cuyo valor es cero. Esta misma tabla permite apreciar que el valor de Kappa va disminuyendo cuando la TFG aumenta, lo que traduce que las formulaciones se tornan más precisas cuanto menor va siendo el aclaramiento de la creatinina y es coincidente con los gráficos de correlación que muestran la gran dispersión de datos cuando la función renal es mayor de los 90 ml/min/1,73 m2 SC.
Por lo discutido, es nuestra recomendación proponer el empleo en la práctica clínica cotidiana para nuestra población las fórmulas de Vásquez, Cockroft-Gault o la MDRD. De estas tres formulaciones es interesante reconocer como la única reciente la propuesta MDRD, pues tanto la formulación de Vásquez como la de Cockroft-Gault son bastante antiguas.
Como ya se comentó anteriormente, es importante reconocer que la propuesta de Vásquez estuvo sustentada en una recolección corta de dos horas, tiempo corto y accesible a la mayoría de personas, y ello puede inclusive reemplazar la recolección de 24 horas porque puede realizarse en forma controlada y supervisada evitando los sesgos propios de subestimación o sobrestimación del flujo urinario, variable importante en la medición del aclaramiento de creatinina. Esta observación ya ha sido también realizada en países de nuestra región con resultados similares. Es pues lamentable seguir sin considerar estas mejoras tecnológicas de ya largo tiempo. Sin embargo, es explicable por cuanto la propuesta de Vásquez solo consta como tesis de especialista, pero no fue publicada. Esta observación invita a reflexionar sobre la importancia de interiorizar que todo esfuerzo de investigación debiera ser publicado e indexado en bases de literatura internacional.
Actualmente hay marcadores como la Cistatina C que han mostrado su excelente correspondencia con el aclaramiento de inulina (13), pero sus costos aún están lejos de hacerla competitiva en países pobres como el nuestro, pero sería interesante validarla en nuestras poblaciones e introducirlas progresivamente para que al ser masificadas permitan bajar sus costos.
En conclusión, este estudio permite visualizar a profundidad que hay alternativas de propuestas nacionales que son idóneas a nuestra población y que son tan similares en sus resultados a formulaciones ya antiguas como la Cockroft–Gault y otras relativamente recientes como la MDRD. También es importante subraya que la formulación propuesta CKD EPI no es confiable a poblaciones pobres de nuestro país y sería mejor utilizarla con gran prudencia.
REFERENCIAS BIBLIOGRÁFICAS
1. Loza C. Análisis de la situación de la enfermedad renal crónica en el Perú, 2015. Lima: Ministerio de Salud, Dirección General de Epidemiología; 2016.
2. García de Vinuesa S. Factores de progresión de la enfermedad renal crónica. Prevención secundaria. Nefrología. 2008; 28:17–21.
3. Organización Mundial de la Salud. La carga global de la insuficiencia renal y los objetivos de desarrollo sostenible. Ginebra: Organización Mundial de la Salud; 2018. (Citado el 12 de setiembre del 2019) Disponible en: http://www.who.int/bulletin/volumes/96/6/17-206441-ab/es/
4. Rahn KH, Heidenreich S, Brückner D. How to assess glomerular function and damage in humans. J Hypertens. 1999; 17(3):309–17.
5. Tormo C, Lumbreras B, Santos A, Romero L, Conca M. Strategies for Improving the Collection of 24- Hour Urine for Analysis in the Clinical Laboratory: Redesigned Instructions, Opinion Surveys, and Application of Reference Change Value to Micturition. Arch Pathol Lab Med. 2009; 133(12):1954–60.
6. National Kidney Foundation. K/DOQI clinical practice guidelines for chronic kidney disease: evaluation, classification, and stratification. Am J Kidney Dis. 2002; 39 (Suppl 1):S1-266.
7. Sangay ARV, Zevallos JAC. Características de la estructura corporal, hábitos dietéticos y función renal a través de la vida, de personas saludables de clase media entre los 20 y 80 años de edad de Lima. Rev Med Hered. 2019; 29(4):217.
8. Kakuta Y, Okumi M, Ichimaru N, et al. Utility of the Japanese GFR estimation equation for evaluating potential donor kidney function. Clin Exp Nephrol2010; 14(1):63–7.
9. Vásquez F. Predicción de la depuración de creatinina endógena a partir de la creatinina sérica, peso y edad en pacientes de sexo femenino. Tesis de Bachiller en Medicina. Lima, Perú: Universidad Peruana Cayetano Heredia; 1985. pp.
10. Hernández J, Torres A, Rodríguez F. Comparación de cuatro métodos de medición de la tasa de filtración glomerular con depuración de inulina en individuos sanos y en pacientes con insuficiencia renal. Nefrología. 2010; 30(3):324–30.
11. Peral-Aguirregoitia J, Lertxundi-Etxebarria U, Saracho-Rotaeche R, Iturrizaga-Correcher S, Martínez-Bengoechea MJ. Estimación de la tasa de filtración glomerular para el ajuste posológico de los fármacos. Reina la confusión. Nefrología.2012; 32(1):115–7.
12. Cieza JA, Casillas A, Da Fieno AM, Urtecho SB. Asociación del nivel de albúmina sérica y alteraciones de los electrolitos, gases sanguíneos y compuestos nitrogenados en pacientes adultos incidentes del servicio de emergencia de un hospital general. Rev Méd Hered. 2016; 27(4):223–9.
13. Arias I, Pobes A, Baños M. Nuevo marcador de función renal. Nefrología. 2005; 25(3):217–20.; 32:162-170.
Notas de autor
Correspondencia: Javier Antonio Cieza Zeballos. Universidad Peruana Cayetano Heredia. Avenida Honorio Delgado 430. San Martin de Porres. Lima, Perú. Teléfono: 51998027178. Correo electrónico: javier.cieza@upch.pe
Declaración de intereses
Información adicional
Declaración de financiamiento: El estudio fue financiado por los autores.
Contribución de autoría: JACZ: Participó en el diseño del estudio, análisis e interpretación de los resultados, revisión crítica del artículo y aprobación de la versión a ser publicada. CTUL, DChD: Participaron en el diseño del estudio, recolección de los datos, interpretación de los resultados; redacción del artículo y aprobación de la versión a ser publicada.
Enlace alternativo
https://revistas.upch.edu.pe/index.php/RMH/article/view/4059/4612 (pdf)