Investigación original

Recepción: 02 Mayo 2023
Aprobación: 21 Diciembre 2023
DOI: https://doi.org/10.20453/rmh.v35i1.5296
Resumen: Objetivo: Describir las tendencias de la frecuencia de obesidad y su relación con algunos factores socioeconómicos en mujeres en edad fértil en el Perú. Material y métodos: Estudio transversal de datos secundarios, analítico utilizando las bases de datos de la Encuesta Nacional Demográfica en Salud (ENDES) de los años 2005 a 2018. Se estimó la frecuencia de mujeres con obesidad para cada año y se las comparó mediante los intervalos de confianza al 95% (IC95%). Se comparó la magnitud de asociación de lugar, edad y paridad, lugar de residencia, grado de educación e índice de riqueza. Resultados: Se observó un aumento de la obesidad en mujeres en edad fértil de 17,72% (IC95%: 16,24-19,32) en el 2005 a 32% (IC95%: 30,46-34,42) en el 2018. La prevalencia de obesidad tipo I aumentó de 9,07% (IC95% 8,09-10,16) en el año 2005 a 22,15% (IC95% 15,19-16,48) en el 2018. Se observó un aumento continuo en la prevalencia de obesidad tipo II de 2,34% (IC95% 1,84-3,05) a 7,29% (IC95% 3,75-4,52). En las mujeres que se encontraron embarazadas al momento de la entrevista se encontró una prevalencia de obesidad de 17,21% (IC95% 11,42-25,10) en el año 2005 llegando a 38,61% (IC95% 20,25-28,46) en el año 2018. Se encontró relación significativa de la posibilidad de ser obesa con la edad y la paridad. Conclusiones: La prevalencia de obesidad en las mujeres en edad fértil en nuestro país es alta y continúa incrementando con el tiempo. La prevalencia incrementada se presenta igualmente en gestantes, incrementando las complicaciones materno-perinatales.
Palabras clave: Salud de la mujer, Perú, obesidad.
Abstract: Objective: To describe the trends in the frequency of obesity and its relationship with some socioeconomic factors in women of childbearing age in Peru.Methods:Analytical cross-sectional study of secondary data, using the databases of the Encuesta Nacional Demográfica en Salud (ENDES) from 2005 to 2018. The frequency of women with obesity was estimated for each year and compared using the confidence intervals at 95% (95% CI). The magnitude of association was compared between place, age and parity, place of residence, level of education and wealth index. Results: An increase in obesity was observed in women of childbearing age from 17.72% (95% CI: 16.24-19.32) in 2005 to 32% (95% CI: 30.46-34.42) in 2018. The prevalence of type I obesity increased from 9.07% (95% CI 8.09-10.16) in 2005 to 22.15% (95% CI 15.19-16.48) in 2018. It was observed a continuous increase in the prevalence of type II obesity from 2.34% (95% CI 1.84-3.05) to 7.29% (95% CI 3.75-4.52). In women who were pregnant at the time of the interview, a prevalence of obesity was found to be 17.21% (95% CI 11.42-25.10) in 2005, reaching 38.61% (95% CI 20.25). -28.46) in 2018. A significant relationship was found between the possibility of being obese with age and parity. Conclusions:The prevalence of obesity in women of childbearing age in our country is high and continues to increase over time. The increased prevalence also occurs in pregnant women, increasing maternal-perinatal complications.
Keywords: Obesity, women´s health, Peru.
INTRODUCCIÓN
Este estudio es parte de una tesis de maestría en epidemiologia clínica de uno de los autores (1) y tuvo como objetivo describir los cambios de la frecuencia de obesidad en las mujeres peruanas en edad fértil (MEF) en el periodo de los años 2005 al 2018, como también explorar posibles asociaciones entre obesidad en las MEF con la edad, lugar de residencia, índice de riqueza y grado de instrucción.
Según las estimaciones de la Organización Mundial de la Salud las enfermedades crónicas no transmisibles (ECNT) son responsables de más del 60% de todas las muertes registradas en el mundo (2). Factores de riesgo como tabaquismo, alcoholismo, obesidad, inadecuados hábitos alimenticios y sedentarismo se asocian a la mayoría de las muertes causadas por las ECNT y a la carga de la enfermedad debido a estos trastornos. (3,4)
El aumento de obesidad en la población general ha llamado la atención a nivel global por su impacto a la salud integral de las personas. Se conoce su implicancia tanto a nivel musculo–esquelético como metabólico como por ejemplo artrosis y diabetes mellitus tipo 2, así como a nivel cardiovascular y neoplásico. Sin embargo, en la mujer y especialmente la mujer en edad fértil hay que observar aun otros aspectos que son influenciados por la obesidad. (5,6)
En la salud de la mujer, la obesidad se relaciona con un mayor riesgo de neoplasias ginecológicas, y de vesícula y vías biliares, así como también una mayor tasa de infertilidad y síndrome metabólico, condiciones con alto impacto en la vida y sobrevida de las mujeres. (7–11)
Se conoce que la obesidad está estrechamente relacionada a complicaciones perinatales como por ejemplo la diabetes gestacional, la pre-eclampsia y malformaciones fetales entre otros. También existe un aumento importante de la morbimortalidad materno-infantil. (12,13)
En Europa se observó un aumento de la obesidad en mujeres de 9% a 16% en el periodo del 1990 al 2004 (11). En chile se observó que más de la mitad de las embarazadas tuvieron sobrepeso en el año 2010 (14). En nuestro país existen pocos estudios al respecto, pero estos señalan que existe igualmente una tasa aumentada de obesidad. En el 2008 la prevalencia de obesidad de las mujeres en edad fértil fue de 14,3% (15). El grupo de CRONICAS observó en esta población un aumento de obesidad de más de 25% del año 2008 al 2014. (16)
MATERIAL Y MÉTODOS
Estudio transversal analítico de datos secundarios usando las bases de datos de acceso público de la Encuesta Demográfica y de Salud Familiar (ENDES) del Instituto Nacional de Estadística e informática del Perú (INEI) de los años 2005-08 hasta 2018. (17)
La ENDES reporta estimaciones anuales sobre indicadores identificados en los planes estratégicos. La ENDES tuvo un diseño transversal multietápico en donde cada unidad de análisis no presenta la misma probabilidad de haber participado en la muestra del estudio (18). De cada hogar participante se eligió aleatoriamente a una mujer en edad fértil (15 a 49 años) para que sea entrevistada. Las secciones de la encuesta de interés en el presente estudio fueron: tabaquismo, salud materna, educación y antecedentes demográficos. La ponderación de la muestra se realizó con la información correspondiente del conglomerado, el peso de la ponderación y la región de encuesta. La obesidad se definió como tener un IMC de 30 o más. Se categorizó la Obesidad según los siguientes tres grados: obesidad I: IMC de 30 a 34,9, obesidad II: IMC de 35 a 39,9 y obesidad III: IMC de 40 o más (19). Similarmente se define Obesidad en el Embarazo por a un IMC previo o durante el primer control Perinatal mayor de 30 (20,21). Por fines del estudio se definió como gestante con Obesidad aquella participante que presentó un IMC mayor de 30 al momento de la evaluación.
Para el análisis de datos se realizaron cálculos utilizando el comando “svy” prefijo para análisis de encuestas del paquete estadístico STATA v. 16 con licencia por la Universidad Peruana Cayetano Heredia. Los análisis bivariados se realizaron ejecutando regresión logística. Los gráficos fueron elaborados con el paquete estadístico GraphPad Prism 8 con licencia personal. Las estimaciones incluyen ponderaciones del diseño multietápico del INEI para las encuestas ENDES.
El protocolo de este estudio fue aprobado por el Comité Institucional de Ética de la Universidad Peruana Cayetano Heredia (código de inscripción 102383, 24.04.2019).

RESULTADOS
Se observó un incremento en la prevalencia de obesidad en las mujeres en edad fértil (MEF) en el periodo de tiempo 2005 al 2018, de 17,72% (IC95%: 16,24-19,32) en el 2005 a 32% (IC95%: 30,46-34,42) en el 2018. Este aumento de la prevalencia en la década observada es significativo ya que los IC95% no se sobreponen. (tabla 1). Sin embargo, se encontró una disminución transitoria en los años 2009 – 2011.
Se observó que el porcentaje de MEF obesas que se encontraban gestando al momento de la entrevista se mantiene constante, alrededor de 4% (tabla 1). Al evaluar las mujeres embarazadas de todas las MEF se encontró una prevalencia de obesidad del 17,21% (IC95% 11,42-25,10) en el año 2005, cifra que se incrementó aproximadamente en 1,3% anual, llegando a 24,12% (IC95% 20,25-28,46) en el año 2015 y a 38,61% (IC95% 27,71-50,78) (tabla 2) en el 2018.
Al evaluar la evolución de la prevalencia de la obesidad según grados, se observó un incremento rápido y continuo de la prevalencia de la obesidad tipo I de 9,07% (IC95% 8,09-10,16) en el año 2005 a 22,15% (IC95% 20,44-23,97) en el 2018. Igualmente se observó un aumento continuo más discreto en la prevalencia de obesidad tipo II de 2,34% (IC95% 1,84-3,05) a 7,29% (IC95% 6,22-8,54) (gráfico 1). Realizando una regresión logística se muestra un incremento en el valor de 0,9 al año para la obesidad tipo I y un aumento de 0,3 al año para la obesidad tipo II. La prevalencia de obesidad tipo III que en los años 2005-2009 estuvo en un valor de 5-6% mostró una disminución marcada en los años 2009-2011, manteniéndose en los años siguientes una prevalencia cercana al 2% (gráfico 1). La disminución de la prevalencia global de obesidad en los años 2009-2011 coincide con la caída de la prevalencia de MEF con Obesidad tipo III.
En los análisis bivariados se mostró la relación entre la obesidad en general y las variables de interés de acuerdo con el Odds-Ratio (OR) y su IC95%. Se observó que la posibilidad de padecer obesidad aumentó con la edad. En la tabla 3 se muestra el OR de padecer obesidad en las MEF de 18-35 y en las mayores 35 en comparación con las mujeres menores de 18 años. Se observó que en los últimos 3 años evaluados el grupo de las mujeres de 18-35 años presentan un OR de aproximadamente 3 mientras el grupo de las mujeres mayores de 35 años presentó valores de OR mayores de 6 en comparación de las mujeres menores de 18 años.




Se encontró un aumento significativo de la posibilidad de obesidad en relación con una mayor paridad. En el 2018 una MEF con 1 hijo tuvo OR de 2,38 (IC95% 1,56-3,64), mientras las mujeres con más de 4 hijos OR de 7,19 (IC95% 4,47-11,58) con relación a las mujeres que no tuvieron hijos.
Al evaluar la prevalencia de obesidad segur lugar de residencia urbano o rural, se encontró una menor posibilidad de presentar obesidad en las mujeres que viven en áreas rurales frente a las que viven en áreas urbanas (gráfico 2). Sin embargo, el OR en el 2005 fue de 0,49 (IC95% 0,37-0,64) y 0,94 (IC95% 0,72-1,23) en el 2018.
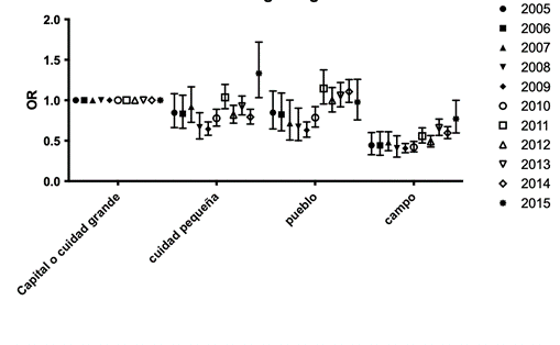
También se evidenció una diferencia significativa en el OR de las mujeres que viven en el campo frente a aquellas que viven en un centro poblado, y ciudades sean pequeñas o grandes (grafico 3).
Con relación al grado de educación no se encontró diferencia significativa. Al evaluar el índice de riqueza, se encontró que todas las categorías de riqueza tienen una posibilidad mayor de ser obesas que la categoría de muy pobres (gráficos 4 y 5).



DISCUSIÓN
En el estudio se evaluó la frecuencia de padecer obesidad y los grados de obesidad en las MEF del Perú durante el periodo 2005 al 2018, utilizando como fuente las bases de datos de las ENDES. También se analizó la asociación de obesidad con diversos factores socioeconómico como el grado de educación y el lugar de residencia.
Diversos estudios a nivel mundial muestran un incremento de la frecuencia de obesidad en ambos sexos y en los diferentes grupos de edad, hablándose de una “pandemia de obesidad “, que debemos enfrentar (22,23). Se encontró un incremento sostenido del porcentaje de obesidad durante el período evaluado, lo mismo sucedió con los grados de obesidad I y II, sin embargo, en el caso de obesidad tipo III se observó una disminución rápida en el año 2010, manteniéndose con valores bajos los siguientes años. La disminución del porcentaje de obesidad tipo III en los últimos años evaluados puede deberse a un esfuerzo de incorporar a programas de salud que priorizan un estilo de vida saludable. Estas mujeres pueden pasar de obesidad tipo III a obesidad tipo II y I. Otra posibilidad para explicar esta disminución sería la mayor morbimortalidad de este tipo de obesidad, resultado de un tiempo sobrevida reducido.
Es interesante observar que, si bien existe un incremento en la frecuencia de obesidad en la gestación, la frecuencia de gestantes en el grupo de mujeres obesas se mantiene constante; El incremento de la frecuencia de obesidad en la gestación puede deberse a una ganancia ponderal elevada durante el embarazo de mujeres que previo al embarazo presentaban un peso normal o sobrepeso. Cabe mencionar que las diferentes complicaciones maternas y perinatales se presentan tanto en las pacientes obesas al momento de la gestación como en aquellas que experimentan una ganancia de peso excesiva en el embarazo. (14)
Al igual que el grupo de CRONICAS se observó que existe un aumento importante de la obesidad en la población en zonas rurales (15,16). Mientras que, en la década anterior, el vivir en una zona rural fue un factor de protección para padecer obesidad, en el 2018 se observó una distribución similar de la prevalencia de obesidad en zonas urbanas como en rurales, mostrando que existe un aumento importante de obesidad en las zonas rurales del país.
Para contrarrestar efectos de la “pandemia de obesidad” es necesario seguir con la implementación de políticas en salud que fomentar estilos de vida saludable, actividad física y una nutrición balanceada para evitar la mayor morbimortalidad que conlleva la obesidad. Igualmente, las políticas de información de alimentos con alta valor calórico, como por ejemplo el etiquetado especial podrán aportar a este problema de salud pública (24,25). Al igual el aumento de la prevalencia de gestantes con IMC alto es preocupante, debiéndose realizar un control prenatal diferenciado con un apoya nutricional estricto, ya que es sumamente importante controlar la ganancia de peso durante el embarazo que igualmente incrementan los riesgos morbimortalidad materno-perinatal. (5,7,8,26)
Igualmente, el aumento de la población obesa global puede desafiar las capacidades logísticas de los sistemas de salud (27), como por ejemplo la necesidad de camas especiales y las limitaciones de peso para los equipos de imagen. Por ende, se requiere evaluar constantemente, si las políticas de salud para la disminución de la morbimortalidad causado por la obesidad resultan en un impacto de esta misma.
Cabe mencionar que por la naturaleza multietápica del estudio, evaluando varios estudios transversales independientes existe una limitación importante. Por no contar con una cohorte de participantes en las encuestas de la ENDES y por su diseño del muestreo por conglomerados y regiones de cada ENDES existe, si bien representativa para el país, una variación en el número de hogares entrevistados en las encuestas. En los resultados observamos como consecuencia de esta variación de hogares incluidos, una variación importante de la amplitud de los IC95%.
Concluimos que en nuestro país existe una prevalencia alta de obesidad en las MEF, la cual sigue incrementando con el tiempo. Este incremento en la prevalencia se evidencia tanto en la población general de MEF como también en la subpoblación de gestantes, haciéndose necesario fomentar políticas de salud integral enfocados a apoyar este grupo de pacientes.
REFERENCIAS BIBLIOGRÁFICAS
1. Hoppe W. Tendencias de obesidad en mujeres en edad fértil. Estudio poblacional basado en la ENDES, Perú, 2005-2015. [Tesis de Maestría]. Lima: Universidad Peruana Cayetano Heredia; 2021 [citado 17 de septiembre de 2022]; Disponible en: https://repositorio.upch.edu.pe/handle/20.500.12866/11225
2. World Health Organization. The Global Health Observatory [Internet]. WHO. [citado 4 de junio de 2018]. Disponible en: http://www.who.int/gho/mortality_burden_disease/en/
3. Global, regional, and National comparative risk assessment of 84 behavioural, environmental and occupational, and metabolic risks or clusters of risks, 1990–2016: a systematic analysis for the Global Burden of Disease Study 2016. Lancet [Internet]. [citado 4 de junio de 2018]. Disponible en: https://www.thelancet.com/journals/lancet/article/PIIS0140-6736(17)32366-8/fulltext
4. Lozano R, Gómez-Dantés H, Garrido-Latorre F, Jiménez-Corona A, Campuzano-Rincón JC, Franco-Marina F, et al. La carga de enfermedad, lesiones, factores de riesgo y desafíos para el sistema de salud en México. Salud Publica Mex. diciembre de 2013;55(6):580-94.
5. Whitelaw DC, O’Kane M, Wales JK, Barth JH. Risk factors for coronary heart disease in obese non-diabetic subjects. Int J Obes. julio de 2001; 25(7):1042.
6. Manson JE, Willett WC, Stampfer MJ, Colditz GA, Hunter DJ, Hankinson SE, et al. Body Weight and Mortality among Women. N Engl J Med. 14 de septiembre de 1995;333(11):677-85.
7. Stoll BA. Teenage obesity in relation to breast cancer risk. Int J Obes. noviembre de 1998; 22(11):1035-40.
8. McLaughlin T, Abbasi F, Kim HS, Lamendola C, Schaaf P, Reaven G. Relationship between insulin resistance, weight loss, and coronary heart disease risk in healthy, obese women. Metabolism. julio de 2001; 50(7):795-800.
9. Manrique H. Impacto de la obesidad en la salud reproductiva de la mujer adulta. Rev Per Ginecol Obstet. octubre de 2017;63(4):607-14.
10. Zain MM, Norman RJ. Impact of obesity on female fertility and fertility treatment. Womens Health (Lond). marzo de 2008;4(2):183-94.
11. Kiddy DS, Hamilton-Fairley D, Bush A, Short F, Anyaoku V, Reed MJ, et al. Improvement in endocrine and ovarian function during dietary treatment of obese women with polycystic ovary syndrome. Clin Endocrinol (Oxf). enero de 1992;36(1):105-11.
12. Aguilar-Cordero MJ, Baena García L, Sánchez-López AM. Obesidad durante el embarazo y su influencia en el sobrepeso en la edad infantil. Nutr. Hosp. 2016; 33:18-23.
13. Fitzsimons KJ, Modder J, Greer IA. Obesity in pregnancy: risks and management. Obstet Med. junio de 2009; 2(2):52-62.
14. Farías M. Obesidad materna: severo problema de salud pública en Chile. Rev Chil Obstet Ginecol. 2013; 78(6):409-12.
15. Poterico JA, Stanojevic S, Ruiz P, Bernabe-Ortiz A, Miranda JJ. The Association between Socioeconomic Status and Obesity in Peruvian Women. Obesity (Silver Spring). noviembre de 2012; 20(11):2283-9.
16. Diez-Canseco F, Saavedra-Garcia L. Programas sociales y reducción de la obesidad en el Perú: reflexiones desde la investigación. Rev Peru Med Exp Salud Publica. 23 de marzo de 2017; 34(1):105-12.
17. PERÚ Instituto Nacional de Estadística e Informática [Internet]. Encuesta Demográfica y de Salud Familiar-ENDES. [citado 17 de septiembre de 2022]. Disponible en: https://proyectos.inei.gob.pe/endes/
18. Instituto Nacional de Estadística e Informática. Encuesta Demográfica y de Salud Familiar. Diseño muestral [Internet]. Disponible en: https://proyectos.inei.gob.pe/endes/recursos/endes2008_disenomuestral.pdf
19. CDC. Centers for Disease Control and Prevention. 2022 [citado 25 de febrero de 2024]. Defining Adult Overweight and Obesity. Disponible en: https://www.cdc.gov/obesity/basics/adult-defining.html
20. Obesity in Pregnancy: ACOG Practice Bulletin, Number 230. Obstet Gynecol. 1 de junio de 2021; 137(6):e128-44.
21. Lisonkova S, Muraca GM, Potts J, Liauw J, Chan WS, Skoll A, et al. Association Between Prepregnancy Body Mass Index and Severe Maternal Morbidity. JAMA. 14 de noviembre de 2017; 318(18):1777-86.
22. The Lancet Gastroenterology Hepatology. Obesity: another ongoing pandemic. Lancet Gastroenterol Hepatol. 2021 Jun; 6(6):411. doi: 10.1016/S2468-1253(21)00143-6.
23. World Health Organization. Controlling the global obesity epidemic [Internet]. [citado 17 de septiembre de 2022]. Disponible en: https://www.who.int/activities/controlling-the-global-obesity-epidemic
24. Pineda Soto VI, del Socorro Estrada Oré EL. Comparación de tres modelos de etiquetado nutricional frontal de productos industrializados en Perú, 2019. Perspect Nut Hum. junio de 2020; 22(1):35-45.
25. Ministerio de Salud. Decreto Supremo que aprueba el Reglamento de la Ley N° 30021, Ley de Promoción de la Alimentación Saludable. Decreto Supremo N° 017-2017-SA. [Internet]. [citado 17 de septiembre de 2022]. Disponible en: http://busquedas.elperuano.pe/normaslegales/decreto-supremo-que-aprueba-el-reglamento-de-la-ley-n-30021-decreto-supremo-n-017-2017-sa-1534348-4/
26. Angelantonio ED, Bhupathiraju SN, Wormser D, Gao P, Kaptoge S, Gonzalez AB de, et al. Body-mass index and all-cause mortality: individual-participant-data meta-analysis of 239 prospective studies in four continents. Lancet. agosto de 2016; 388(10046):776-86.
27. Chu SY, Bachman DJ, Callaghan WM, Whitlock EP, Dietz PM, Berg CJ, et al. Association between obesity during pregnancy and increased use of health care. N Engl J Med. abril de 2008; 358(14):1444-53.