Comunicaciones
ALTERACIÓN DE LA COMUNIDAD BENTÓNICA A CAUSA DEL VARAMIENTO DE GRANDES MAMÍFEROS MARINOS (PENÍNSULA VALDÉS, ARGENTINA)
DISRUPTION OF THE BENTHIC COMMUNITY DUE TO LARGE MARINE MAMMALS STRANDING (PENÍNSULA VALDÉS, ARGENTINA)
ALTERAÇÃO DA COMUNIDADE BENTÔNICA DEVIDO A GRANDES MAMÍFEROS MARINHOS ENCALHE (PENÍNSULA VALDÉS, ARGENTINA)
ALTERACIÓN DE LA COMUNIDAD BENTÓNICA A CAUSA DEL VARAMIENTO DE GRANDES MAMÍFEROS MARINOS (PENÍNSULA VALDÉS, ARGENTINA)
Interciencia, vol. 42, núm. 1, pp. 17-20, 2017
Asociación Interciencia
Recepción: 19/03/2014
Corregido: 01/04/2016
Aprobación: 02/04/2016
Resumen: En Playa Flechero, Península Valdés, Argentina, excepcionalmente se vararon juntas dos ballenas adultas muertas (Eubalaena australis) las cuales sufrieron desgarros de su piel y músculos aportando gran cantidad de fluidos al intermareal. Las almejas (Darina solenoides), de hábito exclusivo filtrador, comenzaron a morir. Se realizaron estudios de la comunidad bentónica en el sitio de los varamientos y en cuatro sitios adicionales, manteniendo el nivel de marea, y se estudió el contenido de lípidos en el sedimento. Se replicó el muestreo del bentos cuatro meses después para determinar si hubo asentamiento de poslarvas de almejas. Se encontraron lípidos en el sedimento y una relación inversa entre la presencia de los mismos y la abundancia de almejas. La estructura de la comunidad de invertebrados bentónicos resultó afectada donde se producen los varamientos, en particular la población de D. solenoides. Sin embargo, se produce el pronto reclutamiento de estas almejas, permitiendo la recuperación del sitio.
Palabras clave: Almejas, Darina solenoides, Ballenas Francas Australes, Eubalaena australis, Lípidos.
Abstract: In Flechero Beach, Península Valdés, Argentina were stranded together, exceptionally, two dead adults’ whales (Eubalaena australis), which suffered lacerations of their skin and muscles providing large amounts of fluids to the intertidal and, the clams (Darina solenoides), with have filter habit exclusively, began to die. Studies of the benthic community were conducted at the site of the stranding and at four additional sites, maintaining the tidal level, and the lipid content was studied in the sediment. Four month later, the benthic samples were replicated to determine whether there was settlement of clams’ post-larvae. Lipids were found in the sediment, as well as an inverse relationship between their presence and the abundance of clams. The community structure of benthic invertebrates was affected where stranding occurs, particularly of the D. solenoides population. However, the recruitment of this clam occurs soon thereafter, allowing recovery of the site.
Resumo: Em Flechero Praia, Península Valdés, Argentina, como uma exceção estavam juntos dois adultos mortos baleias (Eubalaena australis) encalhados na intertidal, que sofreu lacerações de sua pele e os músculos proporcionando muitos fluidos para a praia e os amêijoas (Darina solenoides), do hábito de filtração, começaram a morrer. Estudos da comunidade bentônica foram realizados no local do encalhe e em quatro sítios adicionais na manutenção do nível da maré, e o conteúdo de lipídios foi estudada no sedimento. Quatro meses depois, as amostras bentônicas foram respondidas para determinar se houv e liquidação de pós-larvas de moluscos. Lipídios no sedimento e uma relação inversa entre a presença do mesmo e da abundância de moluscos foram encontrados. A estrutura da comunidade de invertebrados bentônicos foi afetada onde encalhes ocorrem, em particular população D. solenoides. No entanto, o recrutamento destes moluscos breve ocorre permitindo local de recuperação.
Introducción
La Península Valdés, en el noreste de la Patagonia Argentina (Figura 1), es una reserva provincial natural que fue declarada Patrimonio Natural de la Humanidad por la UNESCO (1999). Debido a las características de su ambiente y biodiversidad, también se incluye dentro de los Sitios de Importancia para las Aves (IBA; siglas de Important Bird Areas), Sitio de Importancia Internacional de la Convención RAMSAR (Ramsar, 2012) y Sitio de Importancia Regional de la Red Hemisférica de Aves Playeras (Red, 2012), ya que diferentes especies de aves playeras utilizan sus intermareales (Bala et al., 2002; Musmeci et al., 2012). La supervivencia de las poblaciones de ciertas especies de aves migratorias que utilizan entre otros sitios de parada a las costas de Península Valdés, depende de encontrar alimento en cantidad y calidad suficiente a lo largo de sus rutas migratorias (Zwarts y Blomert, 1992), ya que los sitios donde realizan escalas tróficas actúan como cuellos de botella poblacionales (Myers, 1983; Piersma, 1994, 2003).
Entre las especies de invertebrados que caracterizan a las comunidades intermareales y que, además, resultan presa clave en la economía trófica de las aves playeras en Pe- nínsula Valdés, se destaca la almeja Darina solenoides (King 1831), molusco bivalvo seleccionado por diferentes especies de aves playeras que prefieren ingerir almejas de tallas entre 1 y 26mm, según la especie de playero (D’Amico y Bala, 2004; Hernández, 2007; Hernández et al., 2008). D. solenoides, en la costa argentina, se distribuye en la región Magallánica e Islas Malvinas (Linse, 1999), específicamente desde Bahía San Blas en la Provincia de Buenos Aires hacia el sur hasta el Estrecho de Magallanes (Gordillo, 1998). Habita enterrada en intermareales con sedimentos blandos, es una especie cavadora y de hábito exclusivamente filtrador. Se encuentra ampliamente distribuida en ambos golfos de Penínsu- la Valdés (Zaixso, 1996; Musmeci et al., 2013), Nuevo y San José (Figura 1).

Península Valdés, además, es sitio de reproducción de la Ballena Franca Austral (Eubalaena australis), gran mamífero marino cuyas crías pasan sus primeros tres meses de vida en las costas de los golfos Nuevo y San José (Payne, 1986; Taber y Thomas, 1982). Las Ballenas Francas Australes se encuentran en dichas aguas entre los meses de mayo y diciembre, conpicos de abundancia entre fines de septiembre y principios de octubre (Payne, 1986). El Programa de Monitoreo Sanitario de Ba- llena Franca Austral estudia varamientos de ballenas en Península Valdés desde hace algo más una década a fin de evaluar el estado de salud de la población, y se ha reportado que la mayoría (90%) de estos varamientos son cachorros menores a los cuatro meses de edad (Uhart et al., 2009)
El 19 de octubre de 2005 ocurrió un evento extraordinario donde vararon muertas dos Ballenas Francas Australes adultas (Figura 2a), exactamente en el mismo lugar del intermareal de Playa Flechero (al este del Golfo San José), cada una de ~15m (Uhart et al., 2008). Con la pleamar sendos ejemplares quedaron en el agua momento en el sufrieron desgarramientos de la piel y músculos provocando un enorme aporte de grasa y fluidos corporales en el intermareal (Figura 2b), los cuales inicialmente quedaron suspendidos en el agua. Cuando la marea comenzó a descender, observaciones in situ permitieron ver en la cercanía de las ballenas que los individuos de D. solenoides morían (Figura 2c) a causa del mencionado aporte de grasa y fluidos corporales. Las densidades de invertebrados y la composición específica difieren significativamente entre costas sedimentarias, cuyo contraste puede depender de condiciones locales (Wanink y Zwarts, 1993).

Los objetivos del presente trabajo fueron: determinar la comunidad de invertebrados bentónicos que caracteriza el nivel de la playa donde ocurrieron sendos varamientos de los grandes mamíferos marinos, determinar el contenido de lípidos en el sedimento a causa del aporte de dichos varamientos y, adicionalmente, se pretendió establecer si hubo asentamiento de poslarvas de almejas D. solenoides en la zona como medida de recuperación de su población de en el sitio.
Metodología
Sitios de muestreo
Playa Flechero (42º20.88’S - 64º02.71’O) tiene un intermareal de forma semicircular formado por sustratos de arena fina, presenta 1,5km de ancho y en bajamar la amplitud máxima del intermareal en su zona central es de 0,95km. Recibe el aporte de agua marina por la acción de las mareas de régimen semidiurno; es decir, dos bajamares y dos pleamares al día. La amplitud de mareas media en el sitio es de 5,73m y máxima de 8,53m, cuyas pleamares y bajamares medias son de 6,96m y 1,23m, respectivamente (Servicio de Hidrografía Naval, 2005, 2006). Al norte está limitada por una saliente pronunciada que se llama Punta Conos. En el intermareal de Playa Flechero termina una cuenca continental donde hay grandes extensiones de médanos. Es una playa cuya accesibilidad es restringida, debido a condicionantes geográfico-ambientales, logísticos y sociales.
En el mismo sitio de los varamientos de las dos Ballenas Francas Australes (C1: 42º20. 813’S-64º02.761’O), el 05/11/ 2005 se realizó un muestreo de la comunidad de invertebrados bentónicos. A partir de dicho sitio se realizaron dos muestreos adicionales hacia el norte (C4: 42º20.804’S-64º02.771’O a 30m de C1, y C5: 42º20.785’S-64º02.780’O a 60m de C1) y en dos sitios hacia el sur (C2: 42º20.824’S-64º02.757’O a 30m de C1 y C3: 42º20.839’S-64º 02.756’O a 60m de C1), siempre respetando el mismo nivel de altura de marea de la playa (6m) establecidos según el plano de reducción de las Tablas de Mareas del Servicio de Hidrografía Naval (2005, 2006), de forma que sea factible comparar la comunidad de invertebrados bentónicos registrada en los muestreos”.
En cada sitio de muestreo se recolectaron seis réplicas mediante la utilización de un corer de 20cm de diámetro interno y 35cm de profundidad, para extraer panes de sustrato con los organismos infaunales incluidos. Luego de lavar cada muestra in situ con un cedazo metálico de 0,50mm de abertura de malla, los organismos se conservaron a -20ºC hasta su posterior análisis. En laboratorio, cada muestra fue lavada sobre dos tamices superpuestos (1,00mm y 0,50mm de abertura de malla) y se identificaron, midieron y cuantificaron los organismos presentes. Los individuos se midieron utilizando calibre o lupa con una precisión de 0,10 y 0,05mm respectivamente. Para la identificación de las especies se utilizaron claves disponibles en la bibliografía (Castellanos, 1967; Boschi et al., 1992) y material de referencia. Las densidades se expresaron en individuos/m2.
Paralelamente a las muestras biológicas, se tomaron muestras de sedimentos a fin de determinar la cantidad de lípidos totales presentes en el mismo. Para ello se utilizó un corer de 3cm de diámetro y 15cm de profundidad. El contenido de lípidos fue determinado por el Servicio de Química del Centro Nacional Patagónico, Puerto Madryn. Los análisis se efectuaron mediante el método Soxhlet, el cual consiste en la extracción de los lípidos totales por medio de un solvente orgánico (éter etílico) de acuerdo con la metodología descrita en Pearson (1976).
En marzo del siguiente año (2006), utilizando la misma metodología se realizaron muestreos de la comunidad de invertebrados bentónicos de forma de cuantificar la potencial recuperación de la población de almejas en cuatro de los sitios, excepto C2, que fue descartado por problemas metodológicos. Seguimientos temporales de la comunidad de invertebrados bentónicos de Playa Fracasso, un intermareal cercano a Playa Flechero, ubicado en el extremo sureste del mismo golfo a 10km de la playa bajo estudio, indican que el verano es época de asentamiento y/o reclutamiento de poslarvas de D. solenoides (Luis Bala, comunicación personal). Por ello, el muestreo de la comunidad de invertebrados bentónicos de Playa Flechero, a fin de estudiar la recuperación del sitio, fue realizado en marzo.
Resultados y Discusión
Los invertebrados bentónicos presentes estuvieron caracterizados por moluscos bivalvos D. solenoides y dentro de los crustáceos del grupo pecarida los isópodos Exosphaeroma sp. (Tabla I). Además, en bajas densidades se encontraron anfípodos de especies indeterminadas, y poliquetos Glycera americana.

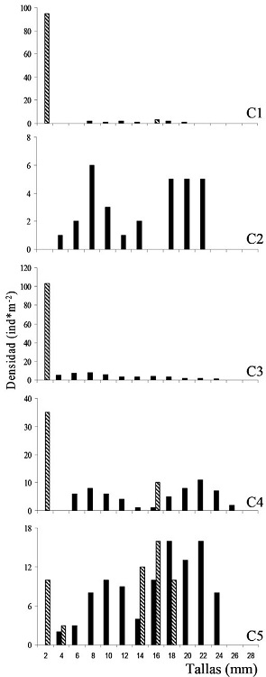
Todas las almejas D. solenoides registradas en el sitio C1, donde ocurrieron los varamientos de ambos cetáceos, se encontraban muertas al momento de la recolección de la muestra. Como se mencionó en la introducción, estas almejas son de hábito exclusivamente filtrador. A consecuencia de que el desgarramiento de las ballenas se produjo con el cambio de marea, por lo cual las almejas del sitio estaban cubiertas por agua y filtrando, fue que se las se las encontró muertas llenas de grasa y/o fluidos provenientes de las ballenas varadas. Las valvas de las almejas encontradas fueron también utilizadas para reconstruir la estructura de tallas de las almejas presentes previo a los varamientos (Figura 3).

Se encontraron elevados valores de lípidos (Tabla I) en el sedimento, indicando la influencia de los varamientos de los grandes cetáceos, y se encontró una relación inversa entre la presencia de lípidos en sedimento y la abundancia de almejas (Figura 4).

No hay publicaciones que aborden las corrientes marinas locales en Playa Flechero, las que posiblemente estén influenciando los resultados del presente trabajo, ya que podrían afectar la distribución de lípidos en el sedimento. El patrón observado en la cantidad de lípidos indica mayores valores en el sedimento del sitio de los varamientos y hacia el sur de los mismos. Los modelos que se han utilizado en la descripción de las corrientes del golfo San José no tienen resolución a una escala local tan pequeña. Moreira et al. (2009) indican que en playa Bengoa, localidad cercana a la playa muestreada en este trabajo, pero al norte de Punta Conos, habría un flujo medio hacia el este-sureste, o sea que se podría especular que en Playa Flechero el flujo sería hacía el sur, formando un giro horario.
En las muestras correspondientes al mes de marzo las cohortes de almejas registradas previamente en noviembre desaparecieron (Figura 3), pero se registraron reclutamientos de almejas (individuos <2mm) en todas las muestras. En los histogramas se aprecia que en las muestras de marzo de C1 y C3 (C2 no fue muestreado en marzo) hubo mayores reclutamientos que en las muestras del norte
Teniendo en cuenta las tallas de las almejas que las diferentes aves playeras ingieren, en el sitio muestreado desapareció el intervalo de tallas que dichas aves aprovechan en el área de Península Valdés (126mm; D’Amico y Bala, 2004; Hernández, 2007; Hernández et al., 2008). Sin embargo, el espectro de influencia es local, por lo que el resto del intermareal pudo ser utilizado por diferentes especies de aves playeras (Musmeci et al., 2012; Luis Bala, comunicación personal) en la temporada migratoria subsiguiente a los varamientos, esto es entre los meses de febrero y mayo de 2006 (Bala et al., 2002).
Finalmente, se concluye que en las cercanías del lugar donde se producen los varamientos se ve afectada la estructura de la comunidad de invertebrados que vive en el sustrato; sin embargo, ello no impide el pronto reclutamiento de los mismos permitiendo la recuperación del sitio.
Agradecimientos
La autora agradece al Programa de Monitoreo Sanitario de Ballena Franca Austral, a Gonzalo Lana del Servicio de Química del Centro Nacional Patagónico (Consejo Nacional de Investigaciones Científicas y Técnicas) quien realizó la determinación de lípidos, y a Javier Grange por la colaboración en el muestreo.
REFERENCIAS
Bala LO, D’Amico VL, Stoyanoff P (2002) Migrating shorebirds at Peninsula Valdes, Argentina: Report for the year 2000. Wader Study Group Bulletin 98: 6-9
Boschi EE, Fischbach CE, Iorio MI (1992) Catálogo Ilustrado de los Crustáceos Estomatopodos y Decápodos Marinos de Argentina. Frente Marítimo 10: 7-94.
Castellanos ZA (1967) Catálogo de los Moluscos Marinos Bonaerenses. Anales de la Comisión de Investigaciones Científicas de la Provincia de Buenos Aires 8: 9-365.
D’Amico VL, Bala LO (2004) Prey selection and feeding behaviour of Two-banded Plover (Charadrius falklandicus) in Península Valdés, Patagonia, Argentina. Waterbirds 27: 264-269.
Gordillo S (1998) Distribución biogeográfica de los moluscos holocenos del litoral Argentino-Uruguayo. Ameghiniana 35: 163-180.
Hernández MA (2007) Ecología Trófica del Playero Rojizo (Calidris canutus rufa), Playero de Rabadilla Blanca (Calidris fuscicollis) y Playero Blanco (Calidris alba) en Península Valdés. Tesis. Universidad Nacional del Comahue. Argentina. 111 pp.
Hernández MA, Bala LO, Musmeci LR (2008) Dieta de tres especies de aves playeras migratorias en Península Valdés, Patagonia Argentina. Ornitol. Neotrop. 19 (Suppl.): 605-611.
Linse K (1999) Mollusca of the Magellan region. A checklist of the species and their distribution. Sci. Mar. 63: 399-407.
Moreira D, Simionato CG, Dragani WC, Nuñez MN (2009) Tidal and residual currents observations at San Matías and San José Gulfs, Northern Patagonia, Argentina. J. Coast. Res. 25: 957-968.
Musmeci LR, Hernández MA, Bala LO, Scolaro JA (2012) Península Valdes, Patagonia: A system of beaches used by Red Knots (Calidris canutus rufa) working as a functional unit. Emu 112: 357-362.
Musmeci LR, Hernández MA, Scolaro JA, Bala LO (2013) Almejas en golfos norpatagónicos, Argentina: Disponibilidad trófica para aves playeras migratorias Rev. Biol. Mar. Oceanogr. 48: 219-225.
Myers JP (1983) Conservation of migrating shorebirds: staging areas, geographic bottlenecks, and regional movements. Am. Birds 37: 23-25.
Payne R (1986) Long term behavioral studies of the southern right whale (Eubalaena australis). Reports of the International Whaling Commission (Special Issue 10): 161-167.
Pearson D (1976) The Chemical Analysis of Food. Churchill Livingstone. Nueva York, EEUU. 575 pp.
Piersma T (1994) Close to the Edge: Energetic Bottlenecks and the Evolution of Migratory Pathways in Knots. Tesis. UItgeverij Het Open Boek. Texel, Holanda. 366 pp.
Piersma T (2003) “Coastal” versus “inland” shorebird species: interlinked fundamental dichotomies between their lifeand demographic histories? Wader Study Group Bull, 100: 5-9.
Servicio de Hidrografía Naval (2005) Tabla de Marea H-610 Puertos de la República Argentina y algunos Puertos de Brasil, Uruguay y Chile. Armada Argentina. 625 pp.
Servicio de Hidrografía Naval (2006) Tabla de Marea H-610 Puertos de la República Argentina y algunos Puertos de Brasil, Uruguay y Chile. Armada Argentina. 643 pp.
Ramsar (2012) Ramsar Sites Information System Humedales de la Península Valdés. https://rsis.ramsar.org/ris/2070 (Cons. 09/01/2016).
Red (2012) Red Hemisférica de Aves Playeras. Western Hemisphere Shorebird Reserve Network. www.whsrn.org/site-profile/peninsula-valdes (Cons. 09/01/2016).
Taber S, Thomas P (1982) Calf development and mother-calf spatial relationships in southern right whales. Anim. Behav. 30: 1072-1083.
Uhart M, Rowntree VJ, Mohamed N, Pozzi L, La Sala L, Andrejuk J, Musmeci L, Franco M, Sironi M, Sala JE, McAloose D, Moore M, Tohuey K, McLellan WA, Rowles T (2008) Strandings of southern right whales (Eubalaena australis) at Peninsula Valdés, Argentina from 2003-2007. SC/60/ BRG15. International Whaling Commission Scientific Committee, Chile. Disponible en la oficina de Comisión Ballenera Internacional. 9 pp.
Uhart M, Rowntree VJ, Sironi M, Chirife A, Mohamed N, Pozzi L, Franco M, McAloose D (2009) Continuing southern right whale mortality events at Península Valdés, Argentina. SC/61/BRG18. International Whaling Commission Scientific Committee. Portugal. Disponible en la oficina de Comisión Ballenera Internacional. 10 pp
UNESCO (1999) World Heritage Commite List. http://whc.unesco.org/en/list/937. (Cons. 09/01/2016).
Wanink JH, Zwarts L (1993) Enviromental effects on the growth rate of intertidals invertebrates and some implications for foraging waders Netherl. J. Sea Res. 31: 407-418.
Zaixso HE (1996) Distribución y abundancia de bivalvos de fondos blandos submareales del golfo San José y sur del golfo San Matías (Chubut, Argentina) Medio Amb. 13: 97-113.
Zwarts L, Blomert AM (1992) Why knot Calidris canutus take medium sized Macoma balthica when six prey species are available? Mar. Ecol. Progr. Ser. 83: 113-128.
Notas de autor