Received: February , 02, 2017
Accepted: September , 29, 2017
Abstract: Surface transportation in Mexico City contributes to pollutant gas emissions, favoring the occurrence of respiratory diseases in the inhabitants while also causing the increase of greenhouse gases in the atmosphere. This study evaluates the use of a bus fleet powered by fuel cells, for sustainable development of public transport in the city. Three types of buses in four main routes of public transport in Mexico City are compared to determine their characteristics of required power and energy, fuel consumption and pollutant emissions. Simulations are performed using driving cycles, technical specifications of buses based on real data collected by bus operators, technical specifications and technical reports of the city’s government. Results show that the Insurgentes and Eje Central routes have the highest fuel consumption and thus emit a higher concentration of toxic gases, compared to the other routes. It is also concluded that there are numerous operational, environmental and economic benefits of fuel cell electric buses (FCEB) over traditional diesel or diesel hybrid buses. The most important benefit would be the reduction of fuel consumption and, hence, gas emissions by 37 % over the bus with diesel engine and 30 % compared to diesel hybrid bus. If hydrogen cell buses were implemented, Insurgentes and Tepalcates routes would have a hydrogen consumption of 14.4kg /100km, while Tláhuac and Eje Central one of 9kg/100km. Finally, the main difficulties for implementing the FCEB are analyzed.
Keywords: Bus Driving Cycles, Buses, PEM Fuel Cell, Polluting Gases, Public Transport.
Resumen: El transporte vehicular terrestre en la Ciudad de México contribuye a que las emisiones de gases contaminantes favorezcan la aparición de enfermedades respiratorias en los habitantes, al tiempo que provoca el aumento de gases de efecto invernadero en la atmósfera. Este estudio evalúa el uso de una flota de autobuses impulsado por celdas de combustible, para el desarrollo sostenible del transporte público en la Ciudad de México. Se comparan tres tipos de autobuses en cuatro rutas principales, para determinar sus características de potencia, energía, consumo de combustible y emisiones contaminantes. Las simulaciones son realizadas mediante ciclos de conducción, especificaciones técnicas de los autobuses (basados en datos reales recogidos por los operadores), especificaciones técnicas e informes técnicos del gobierno de la ciudad. Los resultados muestran que las rutas Insurgentes y Eje Central tienen el mayor consumo de combustible y por lo tanto emiten la mayor concentración de gases tóxicos, comparadas con las otras rutas. También se concluyó que existen beneficios operacionales, ambientales y económicos de los autobuses eléctricos con celdas de combustible (FCEB) en comparación con autobuses híbridos diésel o diésel tradicionales. El beneficio más importante sería la reducción del consumo de combustible, y las emisiones, en un 37% en el autobús con motor diésel y un 30% en el híbrido diésel. Si se implementaran autobuses de celdas de hidrógeno, las rutas de Insurgentes y Tepalcates tendrían un consumo de hidrógeno de 14,4kg/100km, mientras que Tláhuac y Eje Central de 9kg/100km. Finalmente, se analizan las principales dificultades para la implementación del FCEB.
Resumo: O transporte veicular terrestre na Cidade do México contribui nas emissões de gases contaminantes que favorecem o aparecimento de enfermidades respiratórias nos habitantes, ao mesmo tempo que provocam o aumento de gases de efeito estufa na atmosfera. Este estudo avalia a utilização de uma frota de ônibus impulsionados por células de combustível, para o desenvolvimento sustentável do transporte público na Cidade do México. São comparados três tipos de ônibus em quatro rotas principais, para determinar suas características de potência, energia, consumo de combustível e emissões contaminantes. As simulações são realizadas mediante ciclos de condução, especificações técnicas dos ônibus (baseados em dados reais coletados pelos operadores), especificações técnicas e informes técnicos do governo da cidade. Os resultados mostram que as rotas “Insurgentes” e “Eje Central” têm o maior consumo de combustível e por tanto emitem a maior concentração de gases tóxicos, comparadas com as outras rotas. Também se concluiu que existem benefícios operacionais, ambientais e econômicos dos ônibus eléctricos com células de combustível (FCEB) em comparação com ônibus híbridos diesel ou diesel tradicionais. O benefício mais importante poderia ser a redução do consumo de combustível e as emissões, em 37% no ônibus com motor diesel e 30% no híbrido diesel. Se fosse implementada a utilização de ônibus com células de hidrogênio, as rotas “Insurgentes” e “Tepalcates” poderão ter consumo de hidrogênio de 14,4kg/100km, enquanto que “Tláhuac” e “Eje Central”, de 9kg/100km. Finalmente, são analisadas as principais dificuldades para a implementação do FCEB.
Introduction
Mexico City is one of the most populated cities in the world (8.8 million people; INEGI, 2015), road transport being one of the factors contributing to air pollution in the city. In the last 22 years, vehicular traffic and traffic congestion have increased continuously, resulting in a decrease in flow velocity. Currently, in the Mexico City Metropolitan Area (MCMA) more than 5 million vehicles have been registered; 75% of them are of particular use and generally carry only 1 or 2 people (SEDEMA, 2012). Residents of the MCMA made almost 22 million trips daily, 29% of all daily trips (~6.3 million) made by private cars and 60.6 % by low capacity public transport concessionaries (minibus, VW transporter, suburban bus and taxi). Only 8% is carried out in integrated mass transit (Metro, Metrobus, Light Rail and Trolleybus) and 2.4% mobilize themselves by bicycle and motorcycle (ONU Hábitat, 2015).
According to a study made by the Clean Air Institute, a vehicle traveling at 10mph (16km/h, almost the average speed of cars in Mexico City), pollutes 233% more than another circulating at 30mph (CAI, 2007). The integrated public transport system with prepaid card includes the Metrobus, with six lines, carrying ~1 million passengers per day (Metrobus, 2016) and the Mexibús, which began operating in October 2010, with three routes. Also, investments have been made in the development of a bikeroad network of ~132.5km, but it is still necessary to provide greater security to this means of transport (ONU Hábitat, 2015). Despite advances in modern transportation systems, it should be emphasized that public investments to improve mobility have been mainly addressed to develop infrastructures for private motorized transport, have encouraged its use and further aggravated the situation of traffic congestion. The public transport concessionaires with low passenger capacity vehicles represent only 8% of the vehicle fleet of the MCMA, with just over 407,000 units, and almost two thirds of all trips are made by this mode of transportation.
However, some innovative transportation means have been implemented that have improved the public transport in Mexico City. The Metrobus is a rapid transit bus system with six lines, a total length of 125km and 208 stations. It has 548 units of which 41 are bi-articulated, 452 articulated and 55 buses of 11m in length. Mostly are conventional - diesel. Line 1 (Route Insurgentes) was the first to be built and inaugurated. It has a length of 30km and transports 480,000 passengers/ day. The Line 2, built in the center of Mexico City, with east-west direction, has a length of 17.1km and 36 stations, and carries ~180,000 passengers/day. Thanks to the implementation of lines 1 and 2, in 2005 the average speed of private cars increased from 12 to 17km/h, which meant a reduction of 80Mton CO2/year (IMCO, 2012).
In general, Mexican cities suffer from serious problems of environmental pollution and the transport sector is one of the main causes, contributing with 20.4% of their greenhouse gas emissions. Of this percentage, 16.2% comes from the automotive sector, mostly due to individual transport trips (SEMARNAT, 2013). Emissions generated in the MCMA by vehicles contribute up to 60% of the total pollution by suspended thick particles (PM-10). If the vehicle fleet of the Mexican cities continues to grow at the current high rates, their air quality will deteriorate dramatically.
The aim of this paper is to perform a comparative study of three types of buses related with four main routes of public transport in Mexico City, to determine parameters such as the power and energy required, the fuel consumption and the associated pollutant (CO, NOx and HC) emissions. This comparative study helps evaluate the use of a fleet of fuel cells based electric buses (FCEB) for a sustainable development of public transport in the city.
The following section defines the four routes that were studied: Insurgentes, Tepalcates, Tláhuac and Eje Central, and their corresponding driving cycles are shown. The technical specifications of the buses considered in the comparative study, such as conventional buses (with current diesel engine), hybrids and hydrogen fuel cells are then considered. Thereafter, the detailed results for the Insurgentes route and the total results for the four routes are presented and, the amount of hydrogen that would be needed for a FCEB to cover a tour in each route is determined. The measures to be taken in order to implementa fleet of FCEB are indicated and, some conclusions and possible future work are presented.
Driving Cycles for Buses in Mexico City
In Mexico City the ‘ejes viales’ (EVs) are a system composed of main avenues which connect the urban area of the metropolis in the north-south and east-west directions. EVs are used for motor vehicle traffic of all types and sizes, with traffic signal and road equipment optimized for smoother movement. At the time, the EVs revolutionized the scheme of urban mobility of the Federal District (Mexico City), by facilitating access to all the city by any means of transport, private or public. Today, due to its unfinished state and the increasing vehicular load, most EVs operate above their capacity. Importantly, EVs in the City of Mexico do not obey international regulatory criteria.
Main bus routes in Mexico City
In the present work four main routes of the Mexico City are studied:
Route Insurgentes (Metrobus line 1), length 30km, 46 stations, 1hr 41min travel time and maximum capacity of 160 passengers
Route Tepalcates (Metrobus line 2), length 17.1km, 36 stations, 1hr 17min travel time and maximum capacity of 160 passengers
Route Central EV Lazaro Cardenas, length 36.6km, 39 stations, 1hr 12min travel time and maximum capacity of 90 passengers
Route Tlahuac (RTP system), length 13.8km, 12 stations, 58min travel time and maximum capacity of 90 passengers
It should be noted that he Central EV Line A route has a total length of 36.6km round trip with 49 stops in the southbound direction 39 stops northbound, all different (STE-CDMX, 2015).
Driving cycles
A driving cycle is a data series representing the speed of a vehicle according to time. Driving cycles are proposed by different countries and organizations in order to evaluate the performance of an existing vehicle under certain given conditions. Basically, they are used to determine dynamic performance, fuel consumption and pollutant emissions (Ericcson, 2001). The evaluation platform NREL ADVISOR (ADvanced VehIcle SimulatOR) has a set of models, data and text files in script for use with Matlab and Simulink, developed by the Department of Energy of the USA. It was designed for performance analysis of and fuel economy in conventional, electric and hybrid vehicles. ADVISOR also provides a backbone for the detailed simulation and analysis of user-defined vehicle components (Brooker, 2013) and is used in this work as the evaluation tool.
Driving Cycles for the chosen routes in Mexico City
The driving profiles for the four routes described above were determined. The necessary parameters were established by on site acquisition and compilation of real data provided by route operators, technical specifications and technical reports of the government of Mexico City (Metrobus, 2012). The following parameters were considered: speed, time, distance, number of passengers, degrees of elevation, and altitude. The profiles obtained from this detailed information allowed to determine the driving cycle for each route. These driving cycles were run in the ADVISOR program. Although for simulation purposes only a 20% of the total driving cycles were employed, they permitted to obtain variables such as average accelerations and decelerations, as shown in Table I. Regarding Table I it should be mentioned that more than 50 % of the duration of the journey a bus remains idle, waiting for passengers to board and descend at each station. Samples of the driving profiles obtained from the four routes considered are shown in Figure 1. Additionally to the speed profile, the figure shows the equivalent mass of passengers in the bus on each route. The number of people going up and down at each station is not the same and, therefore, the total vehicle mass between each station differs. It can be observed that the most regular routes are Eje Central and Tacubaya (Tepalcates). The routes with more weight variations are the Insurgentes and Tláhuac routes. A bus at its maximum passenger capacity tends to consume more fuel compared to the same bus with few passengers; for this reason, emphasis is placed on these weight profiles that directly affect power, fuel consumption and emissions. The four routes considered are exclusively used for buses, so the driving cycles are usually repetitive in speed, time and distance between stations.


Characteristics of the Buses
Bus powered by an internal combustion engine
The following technical specifications correspond to actual data of conventional diesel engine buses used in public transport in Mexico City (Benz, 2005; Scania, 2008). The hybrid bus, provided with a diesel internal combustion engine and an electric motor, is also used in public transport in Mexico City (7700 Volvo Hybrid; Volvo, 2010). The technical specifications of the buses are summarized in Table II.

Bus powered by a fuel cell generator
Currently, FCEBs are not used in the public transport network in Mexico City, but in this work we propose to analyze the use of such buses for the development of an efficient and nonpolluting transportation for the city. To define a suitable FCEB for the selected routes of Mexico City, technical specifications of previous work were used, such as the technical report presented by the National Renewable Energy Laboratory (NREL) in the USA (Eudy et al., 2014) and the study of Berger (2015) for Europe. Based on these studies, two configurations of buses powered by hydrogen fuel cells are conceived. The proposal is shown in Table III. The power management control strategy used by default is one of the ‘thermostat’ type, in which the fuel cell is ON when the SOC (state of charge) of the storage element (ultra-capacitors) reaches the low set point (cs_lo_soc) and turns OFF when the SOC reaches the high threshold (cs_hi_soc) (Brooker, 2013). The basic purpose of a strategy of energy management is to improve the fuel economy, keep the state of charge of the battery at high levels for a long period of operation and improve the durability of the fuel cell system while maintaining good traction efficiency (Feroldi et al., 2009). Due to the driving cycles that were obtained and to facilitate the energy study of buses, the ‘thermostat’ energy strategy was adopted. As this is the first study with FCEB in Mexico City, it is convenient to begin with the elemental strategy. The calculation of the nominal battery power was made by bus weight and driving cycle; energy was calculated to move the bus per unit time, taking into account energy losses. The number of supercapacitors was determined by simulation, until they completed the driving cycle.
Design 1 was implemented for the routes Central Axis and Tláhuac, while Design 2 was conceived for the Insurgentes and Tepalcates routes.

Comparative Analysis of the Types of Buses and Driving Cycles
To perform a comparative analysis, two main elements are needed: the driving cycle and the vehicle configuration, both already explained above. The results presented have been obtained with the ADVISOR platform, analyzing the operation of the five different vehicles in the four routes considered. The type of bus used on each route was as follows: a) Route Insurgentes and Route Tepalcates: Scania K360 (Conventional Diesel), Volvo 7700 (Hybrid Diesel), Bus FC 2 (Design 2, FCEB); and b) Route Tlahuac and Route Eje Central: Mercedes Benz Bus Torino (Conventional Diesel), Volvo 7700 (Hybrid Diesel), Bus FC 1 (Design 1, FCEB)
Detailed bus specifications are shown in Tables II and III. In the following paragraphs, the results of the detailed behavior for a route (Route Insurgentes) and three types of buses (conventional-diesel, hybrid-diesel and hybrid-fuel cell) are presented. The results of fuel consumption and emissions for all buses going through the complete routes are presented thereafter.
Results of buses on the route Insurgentes
The ADVISOR program delivers in detail the energetic results of each bus element (energy input, energy out, lost energy and efficiency). From this information, the scheme of energy flow for the hydrogen fuel cell bus was obtained (Figure 2). This scheme represents only 17% of the complete route (Route Insurgentes). The figure shows the flows of energy of a hybrid bus powered with hydrogen fuel cell. It can be seen that the fuel cell unit alone has an efficiency of 57%. Therefore, it is much more efficient compared with the conventional engine and hybrid-diesel (~34% and 40% respectively) for this specific driving cycle. The energy needed to move the bus under the conditions corresponding to the driving cycle is 32159kJ, of which 8142kJ are recovered by the regenerative energy system (~25%). It can also be appreciated that 8117kJ are lost as heat in the braking system. The latter is due to the ‘thermostat’ strategy employed for energy management. Probably other power management strategies could likely achieve better energy recovery of the braking energy (Feroldi et al., 2009). The configurations for the energy storage system proposed the use of super-capacitors. It can be seen that 8142kJ (regenerative braking system) and 9609kJ (fuel cell) enter the storage system while 13377kJ leave it. The greatest energy loss is caused by friction between the road and the tires, reaching 12727kJ.

Experimental test
In order to validate the energy analysis of the fuel cell bus (Route Insurgentes), experimental tests were conducted to determine the real power profile supplied by a fuel cell. The hybrid generation systems HGS used in this work is a versatile hybrid test station specially developed for control design and experimental evaluation in the Fuel Cell Laboratory at the Institut de Robòtica i Informàtica Industrial (CSIC-UPC) at Barcelona, Spain. The fuel cell generation module (FCGM) is based on a Nexa fuel cell generation system from Ballard Power Systems (Vancouver, Canada). This stack is capable of delivering up to 1.2kW with unregulated output voltage to a programmable dc load bank. The maximum rated power is obtained when the output current reaches 46A at a nominal output voltage of 26V. The open-circuit voltage under regular conditions is ~48V. To prevent that the switched current of the converter affect the fuel cell operation, a low-pass filter with cutoff frequency of 500Hz is set between the Nexa and the dc/dc power converter (Morè et al., 2015). The power profile of the hydrogen fuel cell obtained in the ADVISOR program was implemented in the programmable load bank at a scale of 210:1. Figure 3 shows the comparison between the real power profile and the theoretical profile (vector JC). Vector JC is the profile of the power obtained in the ADVISOR simulation, where real bus parameters were used. To make a comparison between the two profiles (theoretical and real), the simulation power profile (ADVISOR program) was scaled at a smaller scale of 210:1, because the experimental test bench delivers a maximum power of 1.2kw (real profile). The accurate matching between the demanded power to the FC and the power supplied shows that the proposed size for the fuel cell is adequate to achieve the driving cycle characteristics.

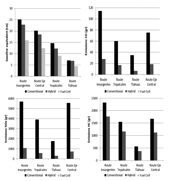
Results of fuel consumption and pollutant emissions for a complete route
Figure 4 shows the results of the fuel consumption (upper left) and CO, NOx and HC emissions. Note that the conventional diesel bus is the largest fuel consumer and, in consequence, the biggest polluter, followed by the diesel hybrid bus and the hybrid fuel cell, respectively. The hybrid fuel cell bus (FCEB) saves, on average, ~40% of fuel compared with conventional diesel bus and ~28% when compared with the hybrid diesel. The routes Insurgentes and Central EV have the highest fuel consumption and therefore emit the highest concentration of toxic gases to the atmosphere, compared to the other routes. If a comparison is done between the Insurgentes (30km) and the Central EV (36.6km) routes, it can be seen that the Insurgentes route emits more emissions of CO, NOx and HC, despite it being shorter. This is because buses on the Insurgentes Route have a capacity of 160 passengers, while the passenger capacity of the Central EV is only 90. As the variation in passenger weight on each route directly influences the required engine power and fuel consumption, this implies that buses on the Insurgentes Route require a bigger diesel engine that consumes more fuel on each journey. A comparison of the emissions generated by conventional buses and hybrid diesel buses shows that the latter significantly reduce NOx and CO emissions (~80% and 70% respectively).

Amount of Hydrogen Needed to Complete the Route
The routes that consume more hydrogen are Insurgentes and Tepalcates, with 14.4kg/ 100km, while routes Tlahuac and Central EV consume only 9kg/100 km. This increase in consumption is, again, due to the fact that Insurgentes and Tepalcates routes use buses with a capacity of 160 people while routes Central EV and Tláhuac use buses with a capacity of 90 people and that the power of the fuel cells is 210 and 175kW, respectively. The total hydrogen consumption in kg was also obtained for each route (only for a single journey): Route Insurgentes 4.33kg, Route Tepalcates 2.47kg, Route Tlahuac 1.242kg, and Route Eje Central 3.4kg. These consumptions result from the following conditions: bus capacity, route length, average speed, acceleration, rated power of the fuel cell, driving cycle, etc. Thanh et al. (2014) indicate that the fuel consumption for the fleet of fuel cell hybrid buses in London, UK, has averaged about 9kg/100km. In British Columbia, Canada, during a show of fuel cell buses, the fuel efficiency was, on average, 15kg/100km, while the later hybrid deployments of fuel cell buses in Europe have improved from 22 to 10kg/ 100km. A recent study of the Automotive and Energy Security Laboratory in Beijing, China, evaluates the performance and consumption of a hybrid fuel cell bus and concludes that the bus hydrogen consumption is 13.29km/kg (Dawei et al., 2015). It is reasonable to think that applying improved power management strategies of the stored energy and of the power demand will result in more efficient fuel cells buses.
Required volume of hydrogen storage tanks
In the literature we find that the tanks that store hydrogen in fuel cell powered buses have usually a capacity of 5kg (hydrogen gas) each, at a pressure of 5000 psi. In demonstration projects it is usual to include an average of 8 cylinders storing 40kg of hydrogen (Eudy et al., 2014). If eight hydrogen tanks, with a total capacity of 40kg, were installed in the fuel cell buses circulating through the route Insurgentes, they could make 10 journeys, while a bus on the Tlahuac route could perform about 32 routes. The net volume occupied by the eight hydrogen tanks with 40kg capacity, at 350bar, is 1.4m3. This hydrogen would enable a bus in the Insurgentes route conditions to travel ~276km.
Measures to Facilitate the Introduction of Fuel Cell Buses in Mexico City
Before applying a proposal of FCEB in Mexico City, several conditions should be taken into account. At least: i) reasonable service life of fuel cell systems, with a large enough MTBF (mean time between failure); ii) reasonable costs of the FCEB and the hydrogen filling stations; iii) easy access to efficient hydrogen filling stations, at the end of each route, with the appropriate capacity of hydrogen storage and reasonable refueling time; and iv) clear and simple procedures to monitor, inspect and repair problems associated with fuel cells, energy storage systems and accessories.
Access to hydrogen fuel is still one of the biggest obstacles to the adoption of any fuel cell vehicle. Several demonstration projects have been delayed due to problems related to fuel access. There is a need to develop large stations that can handle large bus f leets (Chandler and Eudy, 2012). Another problem for the introduction of FCEB in Mexico City is the price of fuel per mile, so as to be competitive with conventional buses. These challenges are being addressed in demonstration projects worldwide (FCH JU, 2012).
Conclusions
This paper presents a comparative study of the performance, in Mexico City, of three different types of public transport buses (conventional diesel, hybrid diesel and hybrid fuel cell hydrogen) on four main city routes (Insurgentes, Tepalcates, Tláhuac and Central EV). The study allowed the determination, in each case, of parameters such as required power and energy flows, fuel consumption and pollutant (NOx, CO and HC) emissions. To this end, simulations with the ADVISOR platform were performed using actual driving profiles and from models of real buses used in the public transport network of the city (conventional and hybrid diesel). The routes Insurgentes and Central EV have the highest fuel consumption and thus emit a higher concentration of toxic gases into the atmosphere, as compa red to the other routes. If a comparison of emissions generated by the conventional and the diesel hybrid bus is made, it is observed that with the use of the hybrid diesel bus there is a significantly reduction of NOx and CO emissions (~80 and 70% respectively).
The necessary power size of the fuel cell to propel the buses was also evaluated and it can be concluded that there are numerous operational, energetic, environmental and economic benefits of electric fuel cell buses compared with traditional diesel or hybrid diesel bus (Chandler and Eudy, 2012). The Insurgentes and Tepalcates routes have a hydrogen consumption of 14.4kg/100km, while routes Tlahuac and Central EV consume 9 kg/100km. If eight tanks with a capacity of 40kg of hydrogen (350bar and net volume of 1.4m3 ) are installed on buses, a bus circulating through the Insurgentes route would perform about 10 times its route (~276km), while the bus on Tlahuac would travel the route 32 times (~440 km). Hence, performance data found in this study are comparable to those obtained in demonstration projects in North America and Europe, which are improving substantially over time. This paper also evaluates the use of a bus fleet based on fuel cells for the sustainable development of public transport in Mexico City. The main barriers for its implementation, in comparison with the conventional diesel bus, are the lack of infrastructure for refueling hydrogen, the monetary capital for the cost of the bus and the price of fuel per mile. These challenges are being addressed in demonstration projects worldwide (Chandler and Eudy, 2012; FCH JU, 2012;Eudy et al., 2014;Thanh et al., 2014;Berger, 2015).
Acknowledgements
Juan Carlos Paredes thanks CONACYT, Mexico, for the scholarship awarded and the Research Team of the Laboratory of Automotive Engineering Systems, UC-ESIMEIPN, Mexico. This work has been partially funded by the project DPI2015-69286-C3-2-R (MINECO/FEDER). All the experimental tests were performed at the Fuel Cell Laboratory of the Institut de Robòtica i Informàtica Industrial (CSIC-UPC, Barcelona)
REFERENCES
Benz M (2005) Ficha Tecnica Mercedes Torino. www.zapata.com.mx/52lficha.pdf.
Berger R (2015) FCEB - Potential for Sustainable Public Transport in Europe. www.fch.europa.eu/sites/default/files/150909_ FINAL_Bus_Study_Report_OUT_0.PDF
Brooker K (2013) ADVISOR Documentation. Department of Energy. Washinton DC, USA.
CAI (2007) Revisión Critica de Informaciòn sobre el Proyecto de Restricción Vehicular Sabatina. Prepared for Secretaría del Medio Ambiente del Distrito Federal, Mexico. Clean Air Institute. Washinton DC, USA. 124 pp.
Chandler K, Eudy L (2012) Zero Emission Bay Area, Fuel Cell Bus Demonstration: Second Results Report. NREL/TP-5600- 55367. National Renewable Energy Laboratory. Golden, CO, USA. 38 pp.
Dawei G, Zhenhua J, Junzhi Z, Jianqiu L, Minggao O (2016) Development and performance analysis of a hybrid fuel cell/ battery bus with an axle integrated electric motor drive system. Int. J. Hydrogen Energy 41: 1161-1169.
Ericcson E (2001) Independent driving pattern factors and their influence on fuel use and exhaust emission factors. Transp. Res. D: Transp. Environ. 6: 325-345.
Eudy L, Post M, Gikakis C (2014) Fuel Cell Buses in U.S. Transit Fleets: Current Status 2014. N R E L / T P - 5 4 0 0 - 6 2 6 8 3. Technical Report. National Renewable Energy Laboratory. Golden, CO, USA. 36 pp
FCH JU (2012) Urban Buses: Alternative Powertrain for Europe. Fuel Cells and Hydrogen Joint Undertaking: Europa. www.fch.europa.eu/sites/default/files/20121029%20Urban%20buses,%20alternative%20powertrains%20for%20Europe%20-%20Final%20report_0_0.pdf
Feroldi D, Serra M, Riera J (2009) Energy management strategies based on efficiency map for fuel cell hibrid vehicles. J. Power Sources 190: 387-401.
IMCO (2012) Movilidad Competitiva en la Zona Metropolitana de la Ciudad de Mèxico: Diagnostico y Soluciones Factibles. Instituto Mexicano para la Competitividad. México. www.imco.org.mx
INEGI (2015). Principales resultados de la Encuestas Intercensal 2015 de los Estados Unidos Mexicanos. INEGI: México. www.inegi.org.mx/
Metrobus (2012) Reporte de Reducción de Emisiones “México Insurgentes Avenue Bus Rapid Transit Pilot Projet”. www.metrobus.cdmx.gob.mx/transparencia/documentos/art15/X/X01_eporte%2020112012.pdf
Metrobus (2016). Fichas técnicas del Sistema de Corredores de Transporte Público de Pasajeros del D.F. www.metrobus.cdmx.gob.mx/fichas.html#uno
Morè JJ, Puleston PF, Kunusch C, Fantova MA (2015) Development and implementation of a supervisor strategy and sliding model control setup for fuelcell-based hybryd generation systems. IEEE Trans. Energy Convers. 30: 218-225.
ONU Hábitat (2015) Reporte Nacional de Movilidad Urbana en México 2014-2015. www.onuhabitat.org/Reporte%20Nacional%20de%20Movilidad%20Urbana%20en%20Mexico%202014-2015%20-%20Final.pdf
Scania (2008) Especificaciones Tecnicas Chasis Serie k. www.scania.es/busescoaches/intercitycoach/chassis/k-series/specifications.aspx
SEDEMA (2012) Inventario de Emisiones de la Zona Metropolitana del Valle de México 2010. Gases de Efecto Invernadero y Carbono Negro. Secretaría de Medio Ambiente: México. www.sedema.df.gob.mx/inventario_emisiones/
SEMARNAT (2013) Inventario Nacional de Emisiones de Gases de Efecto Invernadero 1990- 2010. Secretaría de Medio Ambiente y Recursos Naturales: México. www.inecc.gob.mx/descargas/cclimatico/inf_inegei_ public_2010.pdf
STE-CDMX (2015) Información de la Ruta Eje Central Línea A. Sistema del Transporte Eléctrico de la Ciudad de México. www.ste.cdmx.gob.mx
Thanh H, Ahluwalia R, Eudy L, Singer G, Boris J (2014) Review status of hydrogen fuel cell electric buses worldwide. J. Power Sources 269: 975-993.
Volvo (2010) Especificaciones Tecnicas Volvo 7700 Hibrido. www.volvobuses.com