DESEMPENHO DE FORNECEDORES VERDES NA GESTÃO DA CADEIA DE SUPRIMENTOS
PERFORMANCE OF GREEN SUPPLIERS IN SUPPLY CHAIN MANAGEMENT
RENDIMIENTO DE PROVEEDORES VERDES EN LA GESTIÓN DE LA CADENA DE SUMINISTROS
DESEMPENHO DE FORNECEDORES VERDES NA GESTÃO DA CADEIA DE SUPRIMENTOS
Interciencia, vol. 42, núm. 12, pp. 805-811, 2017
Asociación Interciencia
Recepção: 29 Maio 2017
Corrected: 30 Outubro 2017
Aprovação: 01 Novembro 2017
Resumo: Tradicionalmente, as organizações consideram fatores como custo, qualidade e flexibilidade ao medir o desempenho de seus fornecedores. Entretanto, devido ao aumento da pressão pelo ambientalmente correto, as empresas estão introduzindo fatores ambientais para avaliar o desempenho da cadeia de suprimentos. Diante disso, a gestão da cadeia de suprimentos verde (GSCM), tem se tornado um tema de relevância para as empresas que buscam diferencial competitivo. Nesse sentido, por meio de um estudo de caso, em uma empresa de grande porte do setor de componentes para a indústria moveleira, localizada na Região Central do Rio Grande do Sul, Brasil, o objetivo deste trabalho consistiu em avaliar o nível de amadurecimento de práticas sustentáveis de fornecedores por meio de uma metodologia de tomada de decisão multicritério (MCDM). Para tal, foi utilizada a técnica MCDM denominada Technique for Order of Preference by Similarity to Ideal Solution (TOPSIS) em conjunto com a teoria dos conjuntos fuzzy (FST). Os resultados apontam que a empresa está em processo de amadurecimento quanto a utilização de práticas da GSCM. Sugerese como pesquisas futuras, a replicação e refinamento da sistemática proposta em demais empresas de segmentos industriais.
Palavras-chave: Cadeia de Suprimentos, Desempenho Ambiental, Fornecedores, GSCM, Tomada de Decisão Multicritério.
Abstract: Traditionally, organizations consider factors such as cost, quality and flexibility when measuring the performance of their suppliers. However, due to increased pressure for the environmentally correct, companies are introducing environmental factors to assess the performance of the supply chain. In view of this, the Green Supply Chain Management (GSCM) has become a subject of relevance for companies that seek a competitive differential. In this sense, through a case study in a large company of the sector of components for the furniture industry, located in the Central Region of Rio Grande do Sul, Brazil, the objective of this work was to evaluate the level of maturation of sustainable practices of suppliers through a Multicriteria Decision-Making Methodology (MCDM). For that, the MCDM Technique for Order of Preference by Similarity to Ideal Solution (TOPSIS) was used in conjunction with Fuzzy Set Theory (FST). The results indicate that the company is in the process of maturing the use of GSCM practices. It is suggested as future research, the replication and refinement of the systematic proposal in other companies of industrial segments.
Resumen: Tradicionalmente, las organizaciones consideran factores como costo, calidad y flexibilidad al medir el desempeño de sus proveedores. Sin embargo, debido al aumento de la presión por lo ambientalmente correcto, las empresas están introduciendo factores ambientales para evaluar el desempeño de la cadena de suministros. Por ello, la gestión de la cadena de suministros verdes (GSCM), se ha convertido en un tema de relevancia para las empresas que buscan un diferencial competitivo. En este sentido, a través de un estudio de caso en una empresa de gran tamaño del sector de componentes para la in- dustria del mueble, ubicada en la Región Central de Rio Grande do Sul, Brasil, el objetivo de este trabajo consistió en evaluar el nivel de maduración de prácticas sustentables de proveedores a través de una metodología de toma de decisiones multicriterio (MCDM). Para ello, se utilizó la técnica MCDM denominada Technique for Order of Preference by Similarity to Ideal Solution (TOPSIS) junto con la teoría de los conjuntos fuzzy (FST). Los resultados apuntan a que la empresa está en proceso de maduración en cuanto a la utilización de prácticas de la GSCM. Se sugiere como investigaciones futuras, la replicación y refinamiento de la sistemática propuesta en otras empresas de segmentos industriales.
Introdução
A gestão da cadeia de suprimentos verdes (GSCM) tem se mostrado como uma filosofia organizacional nos últimos anos, permitindo que as organizações melhorem o desempenho sustentável de suas operações e processos, além de tornálas mais competitivas e aumentar seus lucros (Sarkis, 2003; Srivastava, 2007). Todavia, a introdução de iniciativas verdes deve estar aliada com o uso de novas tecnologias nos processos de fornecimento e produção (Chen, 2001; Shen et al., 2013). Tal fato evidencia um reflexo positivo, tanto social quanto econômico das políticas sustentáveis adotadas pelas empresas.
As pesquisas desenvolvidas acerca das práticas da GSCM têm se concentrado em auxiliar os fornecedores a melhorar seu desempenho ambiental, por meio de certificações ambientais e práticas verdes (Shen et al., 2013). À medida que a preocupação ambiental aumenta, as empresas estão optando por comprar de fornecedores que ofereçam alto nível de qualidade, baixo custo, prazos curtos de entrega, além de cumprir determinados requisitos ambientais (Lee et al., 2009; Boutkhoum et al., 2016). Um sistema de avaliação e seleção de fornecedores verdes vem a somar para que uma empresa atenda os critérios da GSCM e defina o posicionamento de um fornecedor como um parceiro estratégico na cadeia de suprimentos verdes (Lee et al., 2009).
Devido a muitas barreiras, a seleção das práticas mais adequadas para implementação têm se tornado uma atividade cada vez mais complexa (Govindan et al., 2014; Jayant e Azhar, 2014), uma vez que cada empresa apresenta suas singularidades em termos de estratégias, objetivos e capacidades a serem consideradas. Ademais, a carência de informação faz com que as organizações tomem decisões sob incerteza. Diante disso, lidar com a incerteza de informações requer um procedimento sistêmico para coletar dados técnicos e analíticos, suscitandose então a seguinte questão de pesquisa: Qual o nível de amadurecimento de práticas ambientais, considerando fornecedores da cadeia de suprimentos? Nesse sentido, por meio de um estudo de caso o objetivo deste trabalho foi avaliar o nível de amadurecimento de práticas sustentáveis na perspectiva GSCM de fornecedores por meio de uma metodologia multicritério.
Neste trabalho não se tem a pretensão de fazer uma revisão sistemática completa da literatura, nem o aprofundamento de conceitos e definições acerca da GSCM, pois autores como Jabbour et al. (2013) e Pacheco et al. (2016) já os fizeram. No entanto, como sugestões de pesquisas, estudos empíricos a respeito do tema caracterizamse em um terreno fértil, pois apontam um número baixo de investigações dos fatores que são pertinentes aos fornecedores. Pacheco et al. (2016) reconhecem que elementos organizacionais são interdependentes e recomendam o uso de técnicas de tomada de decisão multicritério realimentadas para avaliação de alternativas como estratégia de gestão da cadeia de suprimentos quanto a escolha dos parceiros. Assim, a partir da sugestão do autor supracitado, há necessidade de se avançar no entendimento de como os gestores de empresas tomam decisões ante requisitos de sustentabilidade e definem seus parceiros de maneira estratégica. A lacuna teórica estendese especialmente na carência de pesquisas que apresentem modelos mais robustos com abordagens sistemáticas e multicriteriais (Zouggari e Benyoucef, 2012; Gupta e Barua, 2017).
Neste contexto, os métodos de tomada de decisão multicritério (MCDM) combinados com a teoria dos conjuntos fuzzy ( FST) podem propiciar uma avaliação sistemática de práticas sustentáveis na gestão da cadeia de suprimentos. Alguns autores têm abordado essa temática, como: Chen et al. (2006), Awasthi et al. (2010), Govindan e Cheng (2011), Zouggari e Benyoucef (2012), Lima Junior et al. (2014), Mavi et al. (2016) e Gupta e Barua (2017). Awasthi et al. (2010) apresentaram uma abordagem multicritério para avaliar o desempenho ambiendimento do monitoramento ambiental, acerca de diversos âmbitos (Khalili e Duecker, 2013). Conforme os autores, um SGA engloba, principalmente, fatores como a criação de uma equipe responsável pelo sistema, a definição de metas, coleta e análise de dados, busca de solução para problemas encontrados, implementação, revisão e, se preciso, modificação.
Nas últimas décadas, pressões governamentais e sociais sobre as indústrias de componentes fornecedoras do segmento moveleiro, têm contribuído para que as organizações deste setor melhorem o desempenho ambiental da cadeia de suprimentos e reduzam os im pactos ambientais (Susanty et al., 2016). Papadopoulos et al. (2014) ressaltam que considerar estratégias verdes como um diferenciador no mercado devem estar relacionadas com o comportamento dos consumidores e da imagem social. Os Nas últimas décadas, pressões governamentais e sociais sobre as indústrias de componentes fornecedoras do segmento moveleiro, têm contribuído para que as organizações deste setor melhorem o desempenho ambiental da cadeia de suprimentos e reduzam os impactos ambientais (Susanty et al., 2016). Papadopoulos et al. (2014) ressaltam que considerar estratégias verdes como um diferenciador no mercado devem estar relacionadas com o comportamento dos consumidores e da imagem social. Os gestores dessas empresas devem começar a pensar em práticas verdes em todas as etapas de produção, reduzindo seus impactos ambientais e aumentando sua eficiência ecológica.
Metodologia
Por meio de um estudo de caso, foram considerados critérios baseados nas práticas da GSCM em uma indústria moveleira para avaliação do nível de amadurecimento quanto à adoção de práticas sustentáveis e seleção da melhor alternativa de fornecedor. A empresa, objeto deste estudo, é classificada como de grande porte e situase na Região Central do Rio Grande do Sul, Brasil. A mesma é responsável pelo fornecimento de componentes para as indústrias moveleiras de todo o país. A pesquisa caracterizase como exploratória e descritiva e fundamentouse nas etapas de estudos de caso típicos propostas por Eisenhardt (1989), Yin (2005) e Miguel (2012), que sugerem um protocolo de pesquisa para garantir maior coerência dos dados. A Figura 1 representa o esquema adotado com parte dos procedimentos metodológicos da pesquisa. Na figura é apresentada uma síntese das quatro etapas, que compreende: a seleção de critérios de avaliação, ajustes do questionário para aplicação, execução e validação do método Fuzzy TOPSIS e a realização de uma análise de sensibilidade para determinar a influência dos pesos dos critérios no processo de tomada de decisão.
Conjuntos e números fuzzy
A Teoria dos Conjuntos Fuzzy (FST), proposta por Zadeh (1965), tem sido usada para modelagem de sistemas com grupos de elementos cujos limites apresentam incerteza, sendo determinados por meio de características subjetivas ou atributos imprecisos. A FST é caracterizada por uma função de associação μã(x) que representa cada elemento através de um número real no intervalo [0,1].
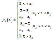
Um número fuzzy triangular pode ser representado na forma ã = (a1, a2, a3), sendo que a2 evidencia um valor crispformal para o conjunto fuzzy, a1 é o límite inferior e a3 é o limite superior. A Eq. 1 apresenta a definição de números triangulares fuzzy (Zakeri, 2015), onde a função de associação μã(x) é dada por
(1)onde a1, a2 e a3:números reais e a1<a2<a3. O valor de x em a2 apresenta um grau máximo de μã(x), como por exemplo, μã(x)=1. O valor de x em a1 apresenta o grau mínimo de μã(x) como por exemplo, μã(x)=0. As constantes a1 e a3 representam o limite inferior e superior, respectivamente. Essas constantes refletem os atributos de avaliação, em que quanto menor for o intervalo [a1, a3], maior será a precisão dos dados de avaliação (Liang, 1999).
O método Fuzzy TOPSIS
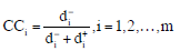
O Fuzzy TOPSIS é uma extensão da técnica TOPSIS usada para resolver problemas de tomada de decisão multicritério, foi originalmente proposta por Hwang e Yoon (1981), incluindo avaliações difusas de critérios e alternativas (Awasthi et al., 2010; Shen et al., 2013). Nesta abordagem, usada amplamente em problemas de tomada de decisão, a solução ótima deve ter a menor distancia da solução ideal positiva (FPIS+) e a maior distância da solução ideal negativa (FNIS–), representadas pelas Eqs. 2 e 3, chegando a um coeficiente de proximidade (CCi), expressado pela Eq. 4 (Tyagi, 2015). A modelagem completa está presente nos estudos de Awasthi et al. (2010), Shen et al. (2013), Jabbour et al. (2013) e Mangla et al. (2015).

(2)
(3)
(4)onde
valores da matriz normalizada para a FPIS+ e a FNIS–. As variáveis A+ e A– correspondem as soluções ideais positivas e negativas, respectivamente. A variável Di representa as distâncias entre as duas soluções frente aos critérios definidos. Dado que, um número fuzzy triangular é representado por três números reais, onde a distância entre cada alternativa é calculada pelos vértices (a1, a2, a3).
As alternativas são classificadas de acordo com o CCi em ordem decrescente. A melhor alternativa será a que estiver mais próxima da FPIS+ e mais distante da FNIS–. Na sequência, aplicou-se o método da entropia, o qual é uma técnica objetiva que busca definir os pesos dos critérios de avaliação. Pomerol e Romero (2000) e Dong e Wan (2016), alegam que tal metodologia pode aumentar consideravelmente a agilidade e a flexibilidade do processo de tomada de decisão, considerando que quanto maior a variabilidade de valores de cada critério, maior deverá ser sua importância. O cálculo dos pesos é realizado por meio dos valores compreendidos em uma matriz de decisão normalizada !
onde
representa os valores usados para mensurar a importância de cada critério frente as alternativas definidas.
Critérios de seleção
Mediante a distribuição de um questionário entre dois especialistas de uma fábrica de componentes para a indústria moveleira, sendo um gerente industrial (DM1) e o outro um gerente ambiental (DM2), foram atribuídas pontuações para cada critério, a fim de determinar sua importância, desempenho e classificar os fornecedores de maneira independente, conforme a Tabela I.
Foram selecionados sete critérios, determinados com base na literatura específica de gestão de operações. As variáveis linguísticas foram transformadas de acordo com os pesos fuzzy, em um contexto havendo três possíveis fornecedores (A1, A2, A3), conforme apresentado na Tabla II.
Cabe destacar, que C1 e C2 são critérios de custo (quanto menor o valor, mais ideal é o fornecedor), no mesmo sentido que os outros são critérios de benefício (quanto maior o valor, mais ideal é o fornecedor).


Resultados e Discussão
Por meio dos critérios apresentados, avaliou-se três potenciais fornecedores para uma empresa fabricante de componentes para a indústria moveleira. A importância de cada um dos fornecedores em rela-ção a cada um dos critérios de avaliação, conforme a ponderação dos DM’s, é apresentado na Tabela III.
Conforme a Tabela III, evidencia-se que o critério Eco-design(C3) e o critério SGA (C5) apresentou maior importância na visão dos DM’s, quanto a avaliação dos fornecedores. As ações da empresa convergem com as definições de Scur e Barbosa (2017); conforme os autores, há preocupação nos critérios que tangem ao consumo de recursos naturais, uso de materiais reciclados, componentes reciclados na produção, geração de resíduos sólidos, ef luentes líquidos e emissões atmosféricas. Ante as barreiras para implementação de uma gestão voltada à utilização de recursos verdes, as ações descritas anteriormente apontam um amadurecimento da cadeia de suprimentos verdes (Jabbour et al., 2013; Scur e Barbosa, 2017). Dentro do critério C5 evidenciou-se a presença das certificações das normas da família ISO 14000, a qual orienta para o desenvolvimento de práticas ambientais. Pacheco et al. (2016), remete que, a conformidade de normas ambientais somada a ações de divulgação de produtos ambientalmente amigáveis resultam no reconhecimento do cliente. Em seguida, os pesos fuzzy, referente ao desempenho de cada critério, frente as alternativas definidas, foram calculados. Os valores obtidos estão expostos na Tabela IV.


do peso ! wi () , para cada critério de avaliação (i) converteu-se os valores do julgamento dos DM’s para dados crisp. Por meio do método da entropia os valores resultantes foram transformados para números fuzzy, regulando tais valores em conjunto com os DM’s, conforme Tabela V.

O critério C3, referente ao Eco-design, novamente se apresentou como sendo um dos mais importantes. Este critério avalia com antecedência a quantidade de material e energia que será consumida e se os produtos criados são pensados para reutilização e reciclagem, entre outros pontos que abrangem de fato uma parte importante da cadeia de suprimentos verdes (Scur e Barbosa, 2017).
Na etapa seguinte, a matriz de decisão fuzzy das alternativas foi normalizada e ponderada, conforme apresentado na Tabela VI. Tanto C1 como C2 são critérios de custos, sendo que o restante são critérios de benefícios.

Em seguida, foram obtidas a FPIS+ e a FNIS–, calculadas pelas Eqs. 2 e 3. Os resultados são apresentados nas duas últimas colunas da Tabela VI. Entendese que a solução ótima deve estar mais próxima da solução ideal positiva e mais distante da solução ideal negativa (Büyüközkan e Çifçi, 2012). As relações de distâncias entre os fornecedores são apresentadas na Tabela VII, representando a distância entre dois números fuzzy para o caso de números fuzzy triangulares.

Da mesma forma, são derivados os intervalos para o restante dos critérios para os três fornecedores. Finalmente, combinando a diferença entre as distâncias, obtém-se o CCi através da Eq. 4. Os resultados são apresentados na Tabela VIII.

Comparando os valores de CCi, das três alternativas, e colocando em ordem decrescente, o ranking dos fornecedores é A1 >A2 >A3. Notase que o fornecedor A1 tem o maior desempenho global, o que significa que é a alternativa que mais se aproxima da FPIS+ e mais se distancia da FNIS–. Conforme a mensuração dos dados em relação aos pesos auferidos pelos DM’s, o fornecedor A1 é o que apresenta maior conformidade com os quesitos ambientais, conforme à Tabela IL, especialmente nos quesitos C5, C6 e C7. Nesta pesquisa, notase que a adição de critérios sustentáveis no desenvolvimento de modelos de gestão e estratégias empresariais vêm amadurecendo (Rocha et al., 2015). No entanto, incentivos que levem as empresas a empregarem políticas de responsabilidade ambiental, investimento de recursos financeiros e capital humano, como prioridade dentro do seu quadro organizacional, ainda é incipiente.
Diante disso, a seleção de fornecedores é uma etapa estratégica indispensável para o desenvolvimento de uma rede de fornecimento sustentável. Uma avaliação de potenciais fornecedores verdes necessita que esses envolvam os princípios do Triple Bottom Line (planeta, pessoas e lucro), que considera operações de negócios, bem como os impactos ambientais e as responsabilidades sociais dos fornecedores (Bai e Sarkis, 2010; Sarkis e Dhavale, 2015). Sendo assim, a parceria entre fabricantes e fornecedores, na busca de soluções ambientais é uma prática que ainda precisa ser estimulada (Scur e Barbosa, 2017). A adoção de uma gestão orientada para a sustentabilidade, que absorva os fatores ambientais, econômicos e sociais, como parte da linha estratégica de uma organização, e que estão interligados com à atividade produtiva, representa um desafio para as empresas que buscam obter vantagem competitiva.
Para ratificar as respostas encontradas no desenvolvimento do método, realizouse uma análise de sensibilidade, na qual foram analisadas 12 combinações dos 7 critérios. Cada combinação é declarada como uma condição, e por meio do método da entropia os pesos atribuídos pelos DM’s foram transformados em números fuzzy triangulares. Notase que, nos cinco primeiros experimentos, os pesos dos critérios são iguais a (3,0; 5,0; 7,0), (5,0; 7,0; 9,0), (7,0; 9,0; 9,0), (1,0; 1,0; 3,0) e (7.0; 7,0; 9,0). No restante dos experimentos, variouse o peso para cada um dos critérios, definindo do mais alto (7,0; 0,9; 0,9) até o mais baixo (1,0; 1,0; 3,0). Os resultados da análise de sensibilidade são apresentados na Figura 2.

Pode ser observado que em 12 dos experimentos realizados, o fornecedor A1 tem a maior pontuação em 10 simulações. No restante dos experimentos, o fornecedor A2 obteve maior pontuação em relação à A1. Portanto, o processo de tomada de decisão é relativamente insensível aos pesos de critérios, com A1 sobressaindo as alternativas A2 e A3, apresentando clara preferência dos DM’s (83,33%). Alguns estudos apresentam evidências do efeito positivo da adoção de práticas ambientais na gestão da cadeia de suprimento verdes e no desempenho operacional (Lee et al., 2012; Jabbour et al., 2013). A nível gerencial, esta pesquisa evidenciou o início do amadurecimento na gestão de operações das partes envolvidas; no entanto, há maior necessidade do apoio gerencial, especialmente nas dificuldades em levantar novos capitais ou atrair novos investidores (Rehman e Shrivastava, 2011). A pesquisa, também confirma o estudo de Pacheco et al. (2016), em nível de manufatura as melhores práticas estão relacionadas ao uso, reuso, reciclagem de matérias primas, produtos, embalagens e recursos.
Conclusão
A gestão da cadeia de suprimentos verdes ainda é considerada um tema novo no Brasil; no entanto, os gestores estão percebendo sua importância em virtude de pressões governamentais e do aumento de consumidores com exigência por produtos ambientalmente amigáveis. A adoção de iniciativas verdes pode gerar vantagens competitivas para as empresas. Contudo, os fornecedores precisam de treinamento para adequar seus processos à concepção dos produtos e para serem proativos quanto à adoção de práticas de gestão ambiental.
Esta pesquisa propôs como objetivo avaliar o nível de amadurecimento de práticas sustentáveis de fornecedores por meio de uma metodologia multicritério. Assim, a partir da lacuna identificada que sugere o uso de métodos de tomada de decisão multicritérios, foram avaliados pelo método fuzzy TOPSIS três alternativas de fornecedores, tendo como base cinco critérios ambientais e contribuindo, desta forma, para auxiliar no processo de entendimento dos gestores quanto a tomada de decisão ante requisitos de sustentabilidade.
No entanto, este estudo apresenta duas limitações principais, a primeira refere-se a um número limitado de empresas e, a segunda, quando atribuídos valores linguísticos por meio escalas, as interpretações podem carregar alguma subjetividade. Para fortalecer a robustez da pesquisa, sugerese o refinamento, aprofundamento acerca das variáveis e a replicação do modelo em outros segmentos industriais. Além disso, para tornar mais preciso os resultados de julgamentos subjetivos sugerese, para trabalhos futuros, o uso de outras técnicas, como a teoria do sistema cinza, e os resultados comparados à luz da teoria dos conjuntos fuzzy.
REFERÊNCIAS
Awasthi A, Chauhan SS, Goyal SK (2010) A fuzzy multicriteria approach for evaluating environmental performance of suppliers. Int. J. Prod. Econ. 126: 370-378.
Bai C, Sarkis J (2010) Integrating sustainability into supplier selection with grey system and rough set methodologies. Int. J. Prod. Econ. 124: 252-264.
Boutkhoum O, Hanine M, Boukhriss H, Agouti T, Tikniouine (2016) A. Multi-criteria decision support framework for sustainable implementation of effective green supply chain management practices. Springer Plus. 5: 1-24
Büyüközkan G, Çifçi G (2012) A novel hybrid MCDM approach based on fuzzy DEMATEL, fuzzy ANP and fuzzy TOPSIS to evaluate green suppliers. Expert Syst. Applic. 39: 3000-3011.
Chen C (2001) A quality-based model for green product development. Manag. Sci. 47: 250-263.
Chen CT, Lin CT, Huang SF (2006) A fuzzy approach for supplier evaluation and selection in supply chain management. Int. J. Prod. Econ. 102: 289-301.
Dong J, Wan S (2016) A new method for multi-attribute group decision making with triangular intuitionistic fuzzy numbers. Kybernetes 45: 158-180.
Eisenhardt KM (1989) Building theories from case study research. Acad. Manag. Rev 14: 532-550.
El Hour S, Aouane M, Chaouch A (2016) Perception of industrial enterprise about the management of environmental impacts towards to standards ISO 14001: 2015: The case of the industrial companies of Casablanca-Settat Region, Morocco. Environ. Sci. Ind. J. 12(11).
Govindan K, Cheng TCE (2011) Environmental supply chain management. Resourc. Conserv. Recycl. 55: 557-558.
Govindan K, Kaliyan M, Kannan D, Haq AN (2014) Barriers analysis for green supply chain management implementation in Indian industries using analytic hierarchy process. Int. J. Prod. Econ. 147: 555-568.
Gupta H, Barua MK (2017) Supplier selection among SMEs on the basis of their green innovation ability using BWM and fuzzy TOPSIS. J. Clean. Prod. 152: 242-258.
Hisjam M, Sutopo W, Devi RA, Widodo KHA (2015) manufacturer-buyer relationship model in export oriented furniture industry with sustainability considerations. In: Electric Vehicular Technology and Industrial, Mechanical, Electrical and Chemical Engineering 2015 Joint International Conference. IEEE 2015: 298-303.
Hwang CL, Yoon K (1981) Methods for multiple attribute decision making. Em Multiple Attribute Decision Making. Springer. Berlin, Alemanha. pp. 58-191.
Jabbour ABLDS, Arantes AF, Jabbour CJC (2013) Gestão ambiental em cadeias de suprimentos: perspectivas atuais e futuras de pesquisa. Interciencia 38: 104-111.
Jabbour ABL, De Souza Azevedo F, Arantes AF, Jabbour CJC (2013) Greening the supply chain: Some evidence from companies located in Brazil. Gest. Prod. 20: 953-962.
Jayant A, Azhar M (2014) Analysis of the barriers for implementing green supply chain management (GSCM) practices: an interpretive structural modeling (ISM) approach. Proc. Eng. 97: 2157-2166.
Kannan G, Pokharel S, Kumar PS (2009) A hybrid approach using ISM and fuzzy TOPSIS for the selection of reverse logistics provider. Resourc. Conserv. Recycl. 54: 28-36.
Khalili NR, Duecker S (2013) Application of multicriteria decision analysis in design of sustainable environmental management system framework. J. Clean. Prod. 47: 188-198.
Kuo RJ, Wang YC, Tien FC (2010) Integration of artificial neural network and MADA methods for green supplier selection. J. Clean. Prod. 18: 1161-1170.
Lee AHI, Kang Y, Hsu HCF, Hung HC (2009) A green supplier selection model for high-tech industr y. Expert Syst. Applic. 36: 917-927.
Lee SM, Kim ST, Choi D (2012) Green supply chain management and organizational performance. Indust. Manag. Data Syst. 112: 1148-1180.
Liang GS (1999) Fuzzy MCDM based on ideal and anti-ideal concepts. Eur. J. Operat. Res. 112: 682-691.
Lima Junior FR, Carpinet ti CR (2015) A comparison between TOPSIS and Fuzzy-TOPSIS methods to support multicriteria decision making for supplier select ion. Gest. Prod. 22: 17-34.
Mangla SK, Kumar P, Barua MK (2015) Prioritizing the responses to manage risks in green supply chain: An Indian plastic manufacturer perspective. Sustain. Prod. Consum. 1: 67-86.
Mavi RK, Goh M, Mavi, NK (2016) Supplier Selection with Shannon Entropy and Fuzzy TOPSIS in the Context of Supply Chain Risk Management. Procedia-Soc. Behav. Sci. 235: 216-225.
Mazzi A, Toniolo S, Mason M, Aguiari F, Scipioni A (2016) What are the benefits and difficulties in adopting an environmental management system? The opinion of Italian organizations. J. Clean. Prod. 139: 873-885.
Miguel CPA (2012) Metodologia de Pesquisa em Engenharia de Produção e Gestão de Operações. 2ª ed. Elsevier. Rio de Janeiro, Brasil. 260 pp.
Pacheco DAdeJ, Rocha E, Júnior JAVA, Jung CF, Da Luz DF, Pergher I (2016) Práticas de sustentabilidade em cadeias de suprimentos. Interciencia 41: 506-511.
Papadopoulos I, Karagouni G, Trigkas M, Beltsiou Z (2014). Mainstreaming green product strategies: Why and how furniture companies integrate environmental sustainability? Euro-Med J. Bus. 9: 293-317.
Pomerol JC, Barba-Romero S (2000) Multicriterion Decision in Management: Principles and Practice. Science & Business Media. Vol. 25, 1. ed. Springer. Nova York, EUA. 389 pp.
Rehman MAA, Shrivastava RL (2011) An innovative approach to evaluate green supply chain management (GSCM) drivers by using interpretive structural modeling (ISM). Int. J. Innov. Technol. Manag. 8: 315-336.
Rocha, AC, Gomes, CM, Kneipp, JM (2015) Gestão sustentável na cadeia de suprimentos e desempenho inovador em processos: Um estudo na indústria do alumínio. Rev. Admin. Contab. Econ. 14: 537-568.
Rostamzadeh R, Govindan K, Esmaeili A, Sabaghi M (2015) Application of fuzzy VIKOR for evaluation of green supply chain management practices. Ecol. Indic. 49: 188-203.
Sarkis J (2003) A strategic decision framework for green supply chain management. J. Clean. Prod. 11: 397-409.
Sarkis, J, Dhavale DG (2015) Su-pplier selection for sustainable operations: A triple-bottomline approach using a Bayesian framework. Int. J. Prod. Econ. 166: 177-191.
Scur G, Barbosa ME (2017) Green supply chain management practices: Multiple case studies in the Brazilian home appliance industry. J. Clean. Prod. 141: 1293-1302.
Shen L, Olfat L, Govindan K, Khodaverdi R, Diabat A (2013) A fuzzy multi criteria approach for evaluating green supplier’s performance in green supply chain with linguistic preferences. Resourc. Conserv. Recycl. 74: 170-179.
Srivastava SK (2007) Green supply-chain management: A state-of-the-art literature review. Int. J. Manag. Rev. 9: 53-80.
Susanty A, Sari DP, Budiawan W, Kurniawan H (2016) improving green supply chain management in furniture industry through internet based geographical information system for connecting the producer of wood waste with buyer. Procedia Comput. Sci. 83: 734-741.
Tseng ML, Chiu AS (2013) Evalua-ting firm’s green supply chain management in linguistic preferences. J. Clean. Prod. 40: 22-31.
Tyagi M, Kumar P, Kumar D (2015) Parametric selection of alternatives to improve performance of green supply chain management system. Procedia-Soc. Behav. Sci. 189: 449-457.
Wang X, Chan HK (2013) A hierarchical fuzzy TOPSIS approach to assess improvement areas when implementing green supply chain initiatives. Int. J. Prod. Res. 51: 3117-3130.
Yin RK (2005) Estudos de Caso: Planejamento e Métodos. 3ª ed. Bookman. Porto Alegre, Brasil. 205 pp. Zadeh LA (1965) Fuzzy sets. Inform. Contr. 8: 3338-3353.
Zakeri S, Keramati MA (2015) Systematic combination of fuzzy and grey numbers for supplier selection problem. Grey Syst. Theory Applic. 5: 313-343.
Zouggari A, Benyoucef L (2012) Si-mulation based fuzzy TOPSIS approach for group multi-criteria supplier selection problem. Eng. Applic. Artif. Intel. 25: 507-519.
Autor notes