Comunicaciones
Recepção: 25/09/2016
Corrected: 19/07/2018
Aprovação: 23/07/2018
Resumo: O objetivo foi avaliar o processo de tratamento de efluente Kraft em lagoas facultativas na presença de enzimas ligninolíticas lacase. Foi empregado delineamento experimental para determinar os efeitos do pH, temperatura e quantidade de enzima lacase comercial. Também foi estudado o desempenho da mesma enzima em condições ambientais, em lagoas facultativas, em escala de bancada, por 60 dias. Com base nos resultados obtidos com o delineamento fatorial, pode-se concluir que o uso de enzimas lacase, em condições otimizadas pelo desenho experimental, mostrou influência positiva na remoção de lignina, cor e área espectral, sendo mais eficiente na proporção de 50ppm, pH 4 e temperatura de 37ºC. Diferente do esperado, o efeito do uso da lacase na remoção de compostos fenólicos não foi considerado significativo pelo teste ANOVA, o que reforça a complexidade dos processos enzimáticos, envolvendo condições de pH, temperatura e características do substrato. Os resultados do experimento em fluxo contínuo mostraram que a lagoa aerada facultativa assistida com enzimas lacase, removeu 86, 52, 20 e 30% de demanda bioquímica de oxigênio (DBO), demanda química de oxigênio (DQO), cor e compostos lignínicos, respectivamente. Mas estes valores não foram estatisticamente diferentes daqueles obtidos na ausência das enzimas.
Palavras-chave: Celulose Kraft , Lacase , Tratamento Biológico.
Resumen: El objetivo fue evaluar el proceso de tratamiento de efluentes de celulosa Kraft en una laguna aireada facultativa con presencia de enzimas ligninolíticas (lacasa). El diseño experimental consistió en determinar los efectos del pH, la temperatura y la cantidad de enzima ligninolítica comercial. Además, se estudió el rendimiento de la enzima en condiciones ambientales para las lagunas facultativas a escala de laboratorio durante 60 días. Los resultados obtenidos mediante el diseño factorial muestran que el uso de enzima lacasa en condiciones optimizadas por el diseño experimental, tuvo una influencia positiva en la eliminación de lignina, color y el área espectral, siendo mas eficiente en la proporción de 50ppm, pH 4 y temperatura 37ºC. El uso de lacasa en la eliminación de compuestos fenólicos no mostró diferencias significativas a través del test ANOVA. Los resultados muestran que el tratamiento por laguna aireada facultativa con enzimas lacasa, eliminó 86, 52, 20 y 30% de DBO, DQO, color y compuestos lignínicos, respectivamente; sin embargo, estos valores no fueron estadísticamente diferentes de los obtenidos en ausencia de enzimas.
Abstract: The objective was to evaluate the Kraft effluent treatment process in facultative lagoons in the presence of ligninolytic enzymes (laccase). Furthermore, an experimental design to determine the effects of pH, temperature and amount of commercial ligninolytic enzyme was used. Moreover, the performance of the same enzyme under environmental conditions of facultative lagoons at bench scale was studied for 60 days. According to the results obtained in a factorial design it can be concluded that the use of laccase enzyme, under conditions optimized by experimental design, showed a positive influence on lignin removal, color and spectral area, the most efficient conditions being 50ppm, pH 4 and temperature 37ºC. The effect of the use of laccase in the removal of phenolic compounds was not considered significant by an ANOVA test, thus increasing the complexity of enzymatic processes, involving conditions of pH, temperature and substrate. The results of the continuous flow experiment show that the facultative aerated lagoon assisted with laccase enzymes removed 86, 52, 20 and 30% of BOD, COD, color and lignocellulosic compounds, respectively, even though these values were not statistically different from those obtained in the absence of enzymes.
Introdução
A indústria de papel e celulose é caracterizada pelo alto consumo de água em seus processos (35-50m³ de água por tonelada de madeira seca) gerando efluentes líquidos com elevado potencial de contaminação ambiental (CNI, 2013). Apesar dos avanços para minimizar os impactos ambientais, esse setor ainda enfrenta desafios para melhorar sua gestão de poluentes, considerando requisitos legais dos órgãos ambientais competentes (IPPC, 2013).
O processo Kraft é o mais empregado para a produção de polpa em todo o mundo (IPPC, 2013). Vários estudos têm indicado que esse processo gera efluente com altas concentrações de matéria orgânica, cor, compostos de desregulação endócrina e compostos fenólicos de alto peso molecular, que se lançados sem o devido tratamento, causam impacto significativo no ambiente aquático (Hewitt et al., 2008; Costigan et al., 2012).
No Brasil, o tratamento mais difundido para este efluente são os sistemas biológicos, em especial as lagoas aeradas facultativas, pelo bom rendimento e facilidade de operação. Este tipo de tratamento é eficiente na remoção da matéria orgânica biodegradável (removendo facilmente mais de 90% da demanda bioquímica de oxigênio), entretanto alguns contaminantes do efluente Kraft, como os compostos lignínicos e seus derivados, persistem devido à sua recalcitrância, atribuindo cor e toxicidade ao efluente mesmo após o tratamento (Xavier et al., 2011).
As opções de tratamento para a redução de cor, toxicidade e compostos recalcitrantes presentes no efluente, vão desde processos físico-químicos, adsorção, oxidação avançada, precipitação e filtração por membrana, mas esses métodos são caros e a sua inclusão em plantas antigas, esbarra em limitações econômicas que muitas vezes inviabilizam sua aplicação (Orrego et al., 2010; Kamali e Khodaparast, 2015).
No esforço para encontrar tecnologias de recursos menos extensivos, processos de transformação catalisada por enzimas tem sido cada vez mais exploradas ao longo dos anos (Bom e Ferrara, 2008; Strong e Claus, 2011). A associação de processos enzimáticos com sistemas de lagoas aeradas facultativas (LAF) é uma alternativa que não implica em grandes mudanças nas plantas mais antigas de tratamento biológico, e o custo do tratamento enzimático, em geral, depende apenas do custo da enzima (Ibrahim et al., 2001).
Desde a década de 1980, a partir da aplicacão de fungos Basidiomycetes (causadores de podridão branca) como alternativa na descoloração de efluentes e degradação de compostos xenobióticos (Klibanov e Morris, 1981), diversos estudos relatam o uso de enzimas ligninolíticas em forma solúvel no tratamento de efluentes papel e celulose (Galliker et al., 2010; Mohapatra et al., 2010; Husain e Qayyum, 2013).
Um grupo de enzimas que recebem atenção especial no setor de papel e celulose é o das lacases, com aplicações tanto na tecnologia de branqueamento, devido ao seu papel na degradação da lignina (Borges et al., 2010), como no tratamento de efluentes, pelo seu potencial de destoxificação de poluentes fenólicos (Kumaran et al., 1997; Kunamneni et al., 2007; Madhavi e Lele, 2009; Janusz et al., 2013, Zeng et al., 2013; Pacheco e Soares, 2014; Kües, 2015).
A lacase pertence ao grande grupo das polifenoloxidase, enzimas com íons de cobre que catalisam a oxidação de compostos mono, di e polifenóis, aminofenóis, metoxifenóis e aminas aromáticas. A reação de oxidação catalisada por estas enzimas ocorre com a extração de um elétron de um substrato fenólico gerando um radical fenoxila. Estes atuam em reações não catalíticas como acoplamento de radicais, que podem ser despolimerizados ou serem levados à repolimerização (Hatakka, 1994).
Embora tenham sido publicados muitos trabalhos envolvendo a aplicação de lacase na biodegradação de compostos fenólicos individuais, em sistemas batelada, são poucos os estudos que descrevem a aplicação destas enzimas na bioconversão de compostos lignínicos em sistemas de fluxo contínuo, usando uma matriz de efluente, no sentido de aproximar esta técnica para aplicações em escala real (Skoronski et al., 2014; Kües, 2015).
Dentro deste contexto, o objetivo foi avaliar o processo de tratamento de efluente Kraft em LAF na presença de enzimas ligninolíticas (lacase). Foi empregado delineamento experimental para determinar os efeitos do pH, temperatura e quantidade de enzima ligninolítica comercial. Também foi estudado o desempenho desta em condições ambientais, em lagoas facultativas, em escala de bancada, por 60 dias, com carga orgânica volumétrica (COV) de 0,2kg DQO m-3/dia, sendo esta a COV média utilizada no tratamento realizado pela indústria que forneceu o efluente.
Metodologia
O efluente industrial utilizado neste estudo foi obtido de uma indústria de papel e celulose localizada na região metropolitana de Curitiba - PR, Brasil. A indústria produz celulose Kraft não branqueada e possui sistema de tratamento biológico composto de lagoa de decantação, lagoa aerada facultativa e lagoa de maturação. O efluente foi coletado na entrada do sistema de lagoas de estabilização, transportado em galões de 10 litros, e preservado a 4ºC, na ausência de luz (ABNT, 1987).
As características do efluente foram determinadas por meio de análises dos parâmetros de demanda química de oxigênio (DQO), demanda bioquímica de oxigênio (DBO5, 20), compostos fenólicos totais (CFT), compostos lignínicos (CL), área espectral (AE) e cor, em amostras filtradas com filtro de nitrocelulose com porosidade de 45µm. Também foi feita leitura de pH (pHmetro CienlaB mPA-210) e turbidez após sedimentação de 30s (Turbidímetro Policontrol - AP2000), e ainda sólidos suspensos totais (SST) e sólidos suspensos voláteis (SSV). O parâmetro da área espectral foi obtido mediante dados de varredura da absorbância de 200 à 800nm, lidos em espectrofotômetro UV-vis (Cary-win50), e posteriormente aplicados no software Origin para cálculo da integral da curva obtida. Todas as análises foram realizadas em triplicata. (APHA, 2005; Çeçen, 2003; Salvador et al., 2012).
Delineamento experimental
O delineamento experimental utilizado foi o fatorial 2³, com ponto central, resultando em nove condições experimentais, realizadas em triplicata. As variáveis independentes foram: pH, temperatura e quantidade de enzima. Os níveis máximos e mínimos utilizados para cada variável são mostrados na Tabela I.

A enzima utilizada foi a lacase (fornecida pela empresa Novozymes Latin America Ltda), com atividade de 39 ±2 U/µl, comprovada pelo método de oxidação do 2,2-azinobis-3-etilbenzotiazole-6-sulfonato (ABTS) proposto por Hou et al. (2004). Sendo uma unidade enzimática (U) a quantidade de enzima livre ou imobilizada necessária para oxidar 1mM da ABTS por minuto. Os níveis de dosagem utilizados no desenho experimental foram de 0,5 até 1ppm, de acordo com as recomendação do fabricante.
O experimento foi realizado em batelada, sob condições de temperatura controlada em incubadora (modelo BOD SL200/ 034) e oxigenação >5mg O2/l por meio de compressor de ar (modelo Boyu - U 3800). A COV utilizada foi de 0,2kg DQO m-3/dia (carga média empregada na indústria de origem do efluente), usando um volume de 250ml, em Erlenmeyers de 500ml, com um tempo de detenção hidráulica (TDH) de três dias, para um efluente de 595 ±2,5mg DQO/l. Foi adicionado no efluente da indústria uma solução contendo NH4Cl e K2HPO4, afim de se obter a proporção de 100:5:1, para a DBO:N:P, indicada para tratamento biológico de efluente Kraft (Diez et al., 2002). Para a inoculação, utilizou-se biomassa proveniente do fundo da LAF da indústria para uma concentração de 0,002g SSV/l, em cada experimento.
Os parâmetros de resposta utilizados foram remoções de DQO, cor, compostos lignínicos (CL), compostos fenólicos totais (CFTs), área espectral (AE) e turbidez, analisados seguindo a mesma metodologia usada na caracterização das amostras da indústria. A análise estatística dos resultados com o teste de Kolmogorov-Smirnov serviu para avaliar a normalidade da distribuição dos dados. As diferenças foram testadas através da análise de variância ANOVA. A associação linear das variáveis foi avaliada pelo teste de correlação de Pearson. Valores de p<0,05 foram considerados estatisticamente significativos. Todos os dados foram analisados utilizando o programa Statistica 10.0 (Stat soft Inc. USA).
Experimento com lagoas aeradas facultativas (LAF) em fluxo contínuo
Foram usadas dois lagoas em escala de bancada, ambas em material acrílico transparente e com volume útil de 1 litro (Figura 1). A alimentação deu-se por meio de bombas peristálticas (Milan - Mod. BP 600) e a aeração por compressores de ar. Durante todo o experimento manteve-se a oxigenação >5mg O2/l. Assim como no experimento fatorial, foi adicionado no efluente da indústria uma solução contendo NH4Cl e K2HPO4, afim de se obter a proporção de 100:5:1, para a DBO:N:P (Diez et al., 2002). O pH do efluente foi corrigido para 7,0; neutralizando-o antes da entrada nas LAFs. Em relação à carga orgânica volumétrica (COV), esta foi mantida variando o tempo de detenção hidráulica (TDH), levando em conta a COV prevista (0,2kg DQO m-³/dia) e a concentração de matéria orgânica do efluente. Utilizou-se biomassa proveniente do fundo da LAF da indústria para inoculação das lagoas (controle e com enzimas), para uma concentração de 2g SSV/l em cada uma delas. Durante o funcionamento do sistema aplicou-se, diariamente, 50ppm de solução concentrada de enzimas lacase em uma das lagoas. Considerando a vazão diária de entrada de efluente igual a 250ml, a LAF com enzimas trabalhou com ~1,75 U de lacase enquanto a outra lagoa foi usada como sistema de controle. Os valores de oxigênio dissolvido, temperatura e pH foram medidos diariamente para auxilia no controle do processo.

Para calcular a eficiência das lagoas, foram realizadas análises duas vezes por semana de DQO, DBO5,20, cor, compostos lignínicos (CL), compostos fenólicos totais (CFT), área espectral (AE) e turbidez, seguindo a mesma metodologia de caracterização do efluente. Também foram realizadas análises de sólidos suspensos totais (SST), sólidos suspensos voláteis (SSV) e sólidos sedimentáveis (SSed), para quantificação da biomassa produzida durante o funcionamento das LAFs, e obtenção do índice volumétrico de lodo (IVL).
Resultados e Discussão
A Tabela II mostra os valores obtidos para os parâmetros de caracterização das amostras do efluente industrial usado no experimento. O resultado mostrado é a média de três coletas, acompanhado do desvio padrão associado. Como pode ser visto na tabela, o efluente usado no estudo é predominantemente alcalino, (vestígio da polpação com sulfeto e hidróxido) e também apresenta uma relação DBO/DQO >0,25, o que viabiliza o tratamento biológico, entretanto possui altos níveis de compostos lignínicos e fenólicos, além da cor. De acordo com Whiteley e Lee (2006), processos biológicos convencionais apresentam baixa eficiência quando aplicados para a remediação de compostos fenólicos em concentrações acima de 100mg·l-1, devido a elevada toxicidade conferida por esses compostos; por esse motivo há necessidade de testar alternativas. Durante os experimento, utilizou-se do efluente com suas características naturais, com o intuito de simular uma situação real de tratamento desse efluente no ambiente industrial.

A Tabela III mostra as respostas obtidas para cada uma das nove condições experimentais do planejamento fatorial. O resultado mostrado é a média das triplicatas do experimento e das análises, acompanhada do desvio padrão associado. Como pode ser visto nessa tabela, o maior valor de remoção da DQO e compostos fenólicos totais, foi obtido no Exp. 8, com 37ºC, pH 4 e sem adição de enzima. Os compostos lignínicos (CL) e a área espectral também sofreram remoção significativa nessa condição, entretanto a melhor remoção dos CL se deu no Exp. 3, com 15ºC, pH 4 e aplicação de 100ppm de enzima. Já a cor, foi o único parâmetro que sofreu a melhor remoção durante o experimento 4 (15ºC, pH 4 e sem enzima) em contrapartida, nesta mesma condição houve um aumento de mais de 100% na turbidez do efluente. Para melhor compreensão dos resultados aplicou-se uma análise estatística para avaliar a correlação das variáveis e indicar um modelo de projeção para condições intermediárias às estudadas.

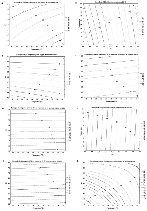
A Figura 2 mostra os gráficos de contorno desenhados pelo modelo estatístico que melhor se ajustou ao conjunto de dados obtidos do planejamento experimental. No gráfico de contornos pode se observar os valores de remoção obtidos da correlação de dois fatores simultaneamente, fixando o terceiro no ponto médio.
Como mostra a Figura 2a, de acordo com o modelo sugerido os valores de remoção da DQO aumentam à medida que temperatura aumenta e o pH diminui. Nesta figura, encontra-se o melhor valor de remoção obtido com a aplicação de 50ppm de lacase, em temperatura de 37ºC e pH 4, atingindo ~68% de remoção. Apesar do efeito das enzimas não ser significativo, o modelo sugere que a aplicação de enzima em quantidade superior a 50ppm proporciona menores remoções de DQO (Figura 2b), o que se deve ao fato da enzima ser uma molécula orgânica que, ao mesmo tempo que facilita oxidação do efluente, também aumenta inicialmente a sua DQO (Villela, 2006).
Quanto ao parâmetro de cor (Figura 2c), o modelo mostra que melhor valor de remoção de cor que pode ser obtido com uso da enzima é ~64%, com aplicação de 50ppm de lacase, pH 4 e temperatura menor que 21ºC, Isso corrobora com estudos realizados por Garcia (2006), e Pacheco e Soares (2014), ao trabalharem com lacase, ambos constataram que a atividade dessa enzima é maior em pH entre 4 e 5.
Grötzner (2014), ao estudar o tratamento físico químico de efluente de CTMP de indústria papeleira, também constatou que este efluente mostra alteração na cor com a redução do pH, chegando a uma remoção de mais de 30% da cor, apenas corrigindo o pH de 6 para 4. Isto porque, em condições mais ácidas, os íons OH- deixam de dominar a reação da mistura, dessa forma a oxidação dos poluentes é facilitada devido à presença de radicais livres ativos, em condições pH maiores, os íons OH- atuam fazendo uma espécie de varredura dos radicais livres e inibindo algumas reações (Garg et al., 2010).
De acordo com o modelo, os valores de remoção dos CFTs aumentam à medida que temperatura aumenta e o pH diminui. O melhor valor obtido pelo modelo foi com a aplicação de 50ppm de lacase, em temperatura de 37ºC e pH 4, atingindo 72% de redução (Figura 2d). Durante o estudo se observou que a aplicação de enzima em quantidade superior a 50ppm proporciona menores remoções de CFTs, assim como acontece com o parâmetro de DQO.
Na Figura 2e também se observa que há um aumento na remoção dos CL à medida que o pH diminui e a quantidade de enzima aumenta. O ponto ótimo de remoção foi obtido a 25ºC, com aplicação de 50ppm de lacase e pH 4 (Figura 2e-f), atingindo mais 60% de remoção, sendo este o parâmetro em que melhor se verificou a ação da enzima lacase empregada nesse trabalho.
De acordo com Hatakka (1994), a lacase pode atuar tanto despolimerizando quanto polimerizando a lignina. Estudos conduzidos por esse autor mostram que a primeira etapa de degradação da lignina catalisada por enzimas é uma reação oxidativa com perda de um elétron de um grupo fenólico de lignina para produzir fenoxirradicais, os quais podem reagir através de mecanismos não enzimáticos. Concorrentemente, devido à atividade polimerizante da enzima, os produtos de baixa massa molar (MM) podem formar compostos maiores. Essas ações contrastantes sugerem que a biodegradação da lignina por lacases, envolve condições de pH e temperatura do substrato, além da presença de compostos não enzimáticos, que interagem para estabelecer um equilíbrio entre polimerização e despolimerização enzimática da lignina (Villela, 2006).
De acordo com o modelo obtido, os valores de diminuição da área espectral (AE) aumentam à medida que o pH diminui e a temperatura aumenta. O melhor valor de remoção obtido pelo modelo foi com a aplicação de 50ppm de lacase, a 37ºC e pH 4 (Figura 2g), atingindo valores >64%. Este efeito na AE se mostra como resposta à atividade da enzima na biotransformação dos CFTs e CLs observados nestas mesmas condições de pH, temperatura e quantidade de enzima, chegando a remoção de 64% para CLs e 72% para CFTs (Figura 2d-g).
Quanto ao parâmetro de turbidez, segundo o modelo se observou que os valores de remoção deste parâmetro aumentam à medida que o pH e a temperatura aumentam. O ponto ótimo de remoção foi obtido em temperatura de 37ºC, com aplicação de 50ppm de lacase e pH 8 (Figura 2h), atingindo mais 96% de remoção. Esta remoção acontece porque o meio alcalino favorece a formação de hidróxidos, e os compostos hidrolisados, ao interagir com as partículas do meio, formam precipitados, caracterizando o mecanismo de varredura (Di Bernardo e Dantas, 2005).

(a e b), cor (c), compostos fenólicos totais (d), compostos lignínicos (e e f), área espectral (g) e turbidez (h).
Vale ressaltar que, apesar dos valores de remoção de alguns dos parâmetros estudados serem melhores em condições de pH ácido, deve-se levar em conta que, na intenção de integrar os processos enzimáticos com tratamento biológico composto por LAFs, a acidificação é incompatível com estes sistemas. Assim, na segunda fase do experimento foi estudada a eficiência de uma LAF com aplicação diária de 50ppm de enzimas lacase, comparado a um sistema controle, sem adição de enzimas.
As lagoas operaram em fluxo contínuo, temperatura ambiente, e pH 7. Nessas condições, em acordo com o observado pelo Exp. 9 do desenho experimental realizado (Tabela III), se esperava remoções de DQO, CFT, CL, AE e turbidez da ordem de 39, 18, 19, 18 e 80%, respectivamente. Na Figura 3 são apresentados os parâmentros de controle das duas LAFs, controle e com enzima lacase. Como se pode observar na figura, a temperatura varia de 15 a 26ºC, o pH ficou ~7 e a COV se manteve em 0,2kg DQO m-³/dia. A média das medições de oxigênio dissolvido (OD) foi de 6,33 ±0,40mg O2/l, entretanto, os valores de OD mostrados representam os valores mais altos, medidos próximo ao difusor de ar dentro das lagoas, sendo que a quantidade de O2 diminuía nas extremidades mais distantes do ponto de aplicação, propiciando o surgimento de zonas de sedimentação nessas regiões, onde obteve-se medições de até 0,04mg O2/l.

(a e c) e com aplicação de lacase (b e d).
A Figura 4, apresenta os valores de eficiência das LAFs, controle e com aplicação de enzimas lacase. A variação obtida nos resultados, se deve a dificuldade em manter a COV totalmente estável, frente a um efluente real, com variabilidade na concentração inicial de DQO e na relação DBO/DQO. Como pode ser visto na figura, os valores obtidos na lagoa com aplicação de enzima foram muito próximos dos valores obtidos com o controle, não apresentando diferença significativa no teste ANOVA, para nenhum dos parâmetros analisados. Isso mostra que no sistema de fluxo contínuo em condições ambientais, a enzima ligninolítica lacase não teve contribuição significativa para a redução nos parâmetros analisados.

Um fator que pode ter prejudicado seu desempenho foi o pH acima do ideal, mostrado pelo delineamento experimental. Pacheco e Soares (2014) fizeram um estudo com enzimas lacases imobilizadas em quitosana, para o tratamento de efluente de celulose Kraft, e observaram que a estabilidade da enzima aumenta após imobilização, conseguindo manter sua atividade durante mais tempo em condições de pH mais alcalino.
Mesmo assim, a remoção de DQO, cor e CL foi melhor que a obtida na condição do ponto médio, do desenho experimental (Tabela III, Exp. 9) onde obteve-se remoção de ~39% da DQO, 19% dos CL e aumento da cor em 2%. Em contrapartida, no experimento com as lagoas houve aumento dos CFCs.
Os valores de remoção de cor e CF também se aproximaram dos valores obtidos por Xavier et al. (2011), que ao trabalhar com COV de 0,2kg DQO m-³/dia em lagoas aeradas facultativas, obteve ~20 e 30%, de remoção dos respectivos parâmetros. Em relação à produção de CFTs, trata-se de um comportamento típico de sistemas biológicos bastante aerados, resultante da fragmentação de CF de alta MM gerando compostos de menor MM que ainda continham o grupamento OH em ligações aromáticas (Vellela, 2006; Xavier et al., 2011).
Os valores de remoção de DBO e DQO obtidos das lagoas controle e com enzima foram 87 e 51, e 86 e 52%, respectivamente. Corroborando com os valores apresentados por Xavier et al. (2011), que obteve entre 50 e 60% de remoção de DQO, e mais de 85% de remoção de DBO trabalhando com a mesma carga orgânica.
Por conta da presença de microorganismos nas lagoas, inoculadas com lodo proveniente da indústria, também foi analisado o desenvolvimento desta biomassa. A Tabela IV mostra os valores de sólidos suspensos totais (SST) e sólidos suspensos voláteis (SSV) presentes nas lagoas na etapa inicial do sistema (mediante inoculação com lodo) e ao final de 60 dias, quando também foram medidos os sólidos sedimentáveis (SS) e calculado o índice volumétrico do lodo (IVL) para a lagoa controle e com enzima lacase.
Como pode ser visto na Tabela IV, os valores médios dos sólidos das lagoas, mostram que na lagoa controle houve um aumento de 19,27 ±12,74% e 60,51 ±7,7% na proporção de SST e SSV, respectivamente. Já na lagoa com enzima lacase, houve um aumento de 24,62 ±13,38% e 47,13 ±6,3% nos SST e SSV, respectivamente. No início do experimento (dia 0) as lagoas foram inoculadas com um lodo antigo, com alto grau de mineralização (SSV/SST= 0,48) e, ao final de dois meses em operação (dia 60), constatou-se um aumento da fração orgânica do lodo, evidenciado pela relação de SSV/SST que chegou a 0,65 para a lagoa controle e 0,56 para a lagoa com enzima. Estes resultados da relação SSV/SST mostram uma biomassa ativa e em crescimento, o que justifica o bom desempenho do sistema na eficiência de remoção da DBO e DQO (Metcalf e Eddy, 2003).

Considerando o desvio padrão das medidas, pode-se dizer que não houve diferença significativa quanto a dinâmica de formação de biomassa nas lagoas controle e com enzima, o que indica que a enzima adicionada não fica retida na biomassa, sendo biodegradada durante o processo. Quanto ao IVL, foram obtidos valores de 75,40 ±3,97 para a LAF controle e 86,58 ±5,62 para LAF com enzima lacase, ambas com IVL <120m·g-¹, característico de lodo com boa sedimentabilidade (Metcalf e Eddy, 2003), o que proporcionou uma remoção média de ~80% da turbidez durante o tratamento (Figura 4).
Conclusão
Com base nos resultados obtidos com o delineamento fatorial, pode-se concluir que a enzima lacase, na forma como foi utilizada neste estudo, mostrou resultados satisfatórios de remoção de compostos lignínicos, cor e área espectral, em condições controladas pelo desenho experimental, sendo mais eficiente em pH 4 e temperatura de 37ºC. Como não foi observado remoção significativa de compostos fenólicos, os resultados obtidos foram atípicos, se comparados com resultados de outros autores, o que reforça a complexidade dos processos enzimáticos, envolvendo condições de pH, temperatura e características do substrato.
Apesar do potencial de aplicação das enzimas lacase no tratamento de efluente de papel e celulose Kraft ser tão evidenciado na literatura, este estudo mostrou que a integração com tratamento biológico em lagoas aeradas facultativas apresentou resultados de eficiência muito próximos aos valores obtidos somente considerando o sistema biológico facultativo, inviabilizando o uso da enzima nessas condições. Ainda há muito a se pesquisar para se chegar à otimização dos processos de biotransformação destes efluentes para aumentar a mineralização dos compostos recalcitrantes que eles apresentam após o tratamento biológico convencional, confirmado também aqui pela baixa remoção de cor e compostos lignínicos.
O sistema de lagoa aerada facultativa na presença de enzimas lacase removeu 86, 52, 20 e 30% de DBO, DQO, cor e compostos lignínicos, respectivamente. Mas estes valores não foram estatisticamente diferentes daqueles obtidos na ausência das enzimas.
O aprimoramento de técnicas para isolamento e produção de extratos enzimáticos a partir de espécies de fungos que apresentem naturalmente alto desempenho na produção de enzimas ligninolíticas, para posterior aplicação deste consórcio biológico no tratamento em lagoas, é uma nova possibilidade a ser estudada.
REFERÊNCIAS
ABNT (1987) NBR 9898. Preservação E Técnicas De Amostragem De Efluentes Líquidos E Corpos Receptores. Associação Brasileira de Normas Técnicas. Rio de Janeiro, Brasil.
APHA (2005) Standard Methods for the Examination of Water and Wastewater. 21a ed. American Public Health Association Washington, DC, EUA.
Bom EPS, Ferrara MA (2008) Enzimas em Biotecnologia: Produ-ção, Aplicações e Mercado. Interciência. Rio de Janeiro, Brasil. 506 pp.
Borges MT, Silva CM, Colodette JL, Alves LB, Rodrigues GR, Laana LC, Tesser F (2010) Effect of eucalyptus kraft pulp enzyme bleaching on effluent quality and bio-treatability, Pulp & Paper Canada. Paper presented at the PAPTAC Annual Meeting in Montreal, 187: 2-3.
Çeçen F (2003) The use of UV-VIS measurements in the determination of biological treatability of pulp bleaching effluents. Proc. 7th International Water Association Symp. on Forest Industry Wastewaters. 01-04/06/2003, Seattle, WA, EUA. pp. 135-142.
CNI (2013) Água, Indústria e Sustentabilidade. Gerência Executiva de Meio Ambiente e Sustentabilidade. Confederação Nacional da Indústria. Brasília, Brasil. 232 pp.
Chamorro SP, Jarpa M, Hernandez V, Becerra J e Vidal G (2010) Monitoring endocrine activity in kraft mill effluents treated by an Aerobic moving bed bioreactor system. Water Sci. Technol. 62: 157-161.
Costigan SL, Werner J, Oullet JD, Hill LG, Law RD (2012) Expression profiling and gene ontology analysis in fathead minnow (Pimephales promelas) liver following exposure to pulp and paper mill effluents. Aquat. Toxicol. 123: 44-55.
Di Bernardo L, Dantas ADB (2005). Métodos e Técnicas de Tratamento de Água. Rima, 1: 2: 792.
Diez MC, Castillo G, Aguilar L, Vidal G, Mora ML (2002). Operational factors and nutrient effects on activated sludge treatment of Pinus radiata Kraft mill wastewater. Bioresource Technol. 83: 131-138.
Galliker P, Hommes G, Schlosser D, Corvini PFX, Shahgaldian P (2010) Laccase-modified silicanano particles efficiently catalyze the transformation of phenolic compounds. J. Coll. Interf. Sci. 349: 98-105.
Garcia TA (2006) Purificação e Caracterização das Lacases Pycnoporus sangneus. Tese. Universidade de Brasília. Brasil. 110 pp.
Garg A, Mishra IM e Chand S. (2010) Effectiveness of coagulation e acid precipitation processes for the pre-treatment of diluted black liquor. J. Hazard. Mat. 1: 158-164.
Grötzner MB (2014) Tratamentos de Efluente de Processo de Polpa Quimiotermomecânica CTMP. Tese. Universidade Tecnológica Federal do Paraná. Brasil. 82 pp.
Hatakka A (1994) Lignin-modifying enzymes from selected white-rot fungi: production and role in lignin degradation. FEMS Microbiol. Rev. 13: 125-135.
Hewitt LM, Kovacs TG, Dubé MG, McLatchy DL, Martel PH, McMaster ME, Paice MG, Parrott JL, Van Den Heuvel MR, Van Der Kraak GJ (2008) Altered reproduction in fish exposed to pulp and paper mill effluents: Roles of individual compounds and mill operating conditions. Environ. Toxicol. Chem. 27: 682-697.
Hou HM, Zhou JT, Wang J, Du C, Yan B (2004) Enhancement of laccase production by Pleurotus ostreatus and its use for the decolorization of anthraquinone dye. Proc. Biochem. 39: 1415-1419.
Husain Q, Qayyum S (2013) Biological and enzymatic treatment of bisphenol and other endocrine disrupting compounds. Crit. Rev. Biotechnol. 33: 260-292.
Ibrahim MS, Ali HI, Taylor KE, Biswas N, Bewtra JK (2001) Enzyme-catalyzed removal of phenol from refinery wastewater: feasibility studies. J. Water Environ. Res. 73: 165-172.
IPPC (2013) Best Available Techniques (BAT) Reference Document for the Production of Pulp, Paper and Board. Integrated Pollution Prevention and Control. JRC Institute for Prospective Technological Studies, Sustainable Production and Consumption. European Commission. Bruxelas, Bélgica.
Janusz G, Kucharzyk KH, Pawlika A, Staszczaka M, Paszczynski AJ (2013) Fungal laccase, manganese peroxidase and lignin peroxidase: Gene expression and regulation. Enz. Microb. Technol. 52: 1-12.
Kamali M, Khodaparast Z (2015) Review on recent developments on pulp and paper mill wastewater treatment. Ecotoxicol. Environ. Saf. 114: 326-342.
Klibanov AM, Morris ED (1981) Horseradish peroxidases for the removal of carcinogenic aromatic amines from water. Enz. Microb. Technol. 3: 119-122.
Kües U (2015) Fungal enzymes for environmental management. Curr. Opin. Biotechnol. 33: 268-278.
Kumaran S, Sastry CA, Vikineswary S (1997) Laccase, cellulose and xylanase activities during growth of Pleurotus sajor-caju on sago “hampas”. World J. Microbiol. Biotechnol. 13: 43-49.
Kunamneni A, Ballesteros A, Plou FJ, Alcalde M (2007) Fungal laccase - a versatile enzyme for biotechnological applications. Em Communicating Current Research and Educational Topics and Trends in Applied Microbiology. Badajoz, Spain. pp. 233-245.
Lagos C, Urrutia R, Decap J, Martínez M, Vidal G (2009) Eichhornia crassipes used as tertiary color removal treatment for Kraft mill effluent. Desalination 246: 45-54
Madhavi V, Lele SS (2009) Laccase: Properties and applications. Bioresources. 4: 1694-1717.
Metcalf e Eddy (2003) Wastewater Engineering Treatment, Disposal and Reuse. Metcalf e Eddy, Inc. Vol. 4. 1815 pp.
Mohapatra DP, Brar SK, Tyagi RD, Surampalli RY (2010) Degradation of endocrine disrupting bisphenol A during pre-treatment and biotransformation of wastewaters ludge. Chem. Eng. J. 163: 273-283.
Orrego R, Guchardi J, Krause R, Holdway D (2010) Estrogenic and antiestrogenic effects of wood extractives present in pulp and paper mill effluents on rainbow trout. Aquat. Toxicol. 99: 160-167.
Pacheco SMV, Soares CHL (2014) Imobilização e caracterização de lacase e seu uso na biodegradação de efluentes de indústrias papeleiras. Quím. Nova. 37: 209-214.
Salvador T, Marcolinon LH, Peralta-Zamora P (2012) Degradaçao de corantes têxteis e remediaçao de resíduos de tingimento por processos fenton, foto-fenton e eletro-fenton. Quim. Nova. 35: 932-938.
Skoronski E, Fernandes M, Furigo Júnior A, Soares CHL, Juarez JJ (2014) Imobilização de lacase de Aspergillus sp em quitosana e sua aplicação na bioconversão de fenóis em reatores de leito fixo. Quim. Nova. 37: 215-220.
Strong PJ, Claus H (2011) Laccase: A review of its pastand its future in bioremediation, Crit. Rev. Environ. Sci. Technol. 41: 373-434.
Villamar CA, Jarpa M, Decap J, Vidal G (2009) Aerobic moving bed bioreactor performance: a comparative study of removal efficiencies of kraft mill effluents from Pinus radiata and Eucalyptus globulus as raw material. Water Sci. Technol. 59: 507-514.
Villela SM (2006) Imobilização de Lacase e seu Usso na Biotransformação de Efluentes de Indústrias Papeleiras. Tese. Universidade Federal de Santa Catarina. Brasil. 131 pp.
Whiteley CG, Lee DJ (2006) Enzyme technology and biological remediation. Enz. Microb. Technol. 38: 291-316.
Xavier CR, Oñate E, Mondaca MA, Campos JL, Vidal (2011) Gladys Genotoxic effects of kraft pulp mill effluents treated by biological aerobic systems. Interciencia 36: 412-416.
Zeng GM, Zhao MH, Huang DL, Lai C, Huang GC, Wei Z, Xu P, Li NJ, Zang C, Li FL, Cheng M (2013) Purification and biochemical characterization of two extracellular peroxidases from Phanerochaete chrysosporium responsible for lignin biodegradation. Int. Biodeterior. Biodegrad. 85: 166-172.
Autor notes
Ligação alternative
https://www.interciencia.net/wp-content/uploads/2018/08/590-6035-MACHADO-43_08.pdf (pdf)