Comunicaciones
COMUNIDADES ARBÓREAS EM TERRA FIRME NA REGIÃO AMAZÔNICA DO GUAPORÉ
TREE COMMUNITIES ON TERRA FIRME IN THE GUAPORÉ AMAZON REGION
COMUNIDADES ARBÓREAS EN TIERRA FIRME EN LA REGIÓN AMAZÓNICA DE GUAPORÉ
COMUNIDADES ARBÓREAS EM TERRA FIRME NA REGIÃO AMAZÔNICA DO GUAPORÉ
Interciencia, vol. 43, núm. 12, pp. 841-845, 2018
Asociación Interciencia
Recepção: 29/07/2017
Corrected: 05/11/2018
Aprovação: 07/11/2018
Resumo: O processo de ocupação humana produziu fragmentação e grandes alterações na paisagem florestal da região amazônica contígua à bacia do Rio Guaporé. Este estudo tem como perguntas: 1) existe diferença florística e estrutural entre um remanescente e um contínuo florestal de mesma fitofisionomia em terra firme na Amazônia? 2) quais são essas diferenças? O estudo foi realizado em duas áreas de floresta ombrófila aberta mantidas como reserva legal em duas propriedades particulares (RM e MV). Foram estabelecidas parcelas de 20×50m, em que o critério de inclusão adotado para a amostragem dos espécimes foi DAP ≥10cm. As duas áreas apresentaram diferença de ~45% em relação a composição florística não se diferindo em relação à diversidade, independente do peso atribuído as espécies raras, sendo que para o MV (contínuo) foi registrado maior riqueza e número de espécies exclusivas. Os maiores valores de diversidade beta foram registrados para parcelas do MV, ou seja, no contínuo florestal há uma maior heterogeneidade na composição. Em resposta às perguntas deste estudo os dados indicam que a principal alteração entre o remanescente e o contínuo é a mudança na composição de espécies predominantes em cada local ocasionada pelos fatores ambientais e histórico de cada área.
Palavras-chave: Amazonía , Diversidade , Floresta Ombrófila , Florística , Fragmentação.
Abstract: The process of human occupation has caused fragmentation and considerable changes in forest landscape in the Amazon region contiguous to Rio Guaporé basin. This study focusses on the following questions: 1) Is there floristic and structure difference between a fragmented and a contiguous forest of same phytophysiognomy in the Amazonian terra firme forest? 2) What are these differences? This study was carried out in two areas of open moist forest in two different private protected areas (RM and MV). Parcels of 20×50m were established and all the species having stems with DBH ≥10cm were determined. The two areas areas showed differences of ~45% in floristic composition and did not differ in diversity, independent of the weight attributed to rare species, where MV (contiguous) registered larger richness and number of exclusive species. The highest beta diversity values were found in parcels at MV (continuous); that is, in the contiguous forest there is a larger heterogeneity in composition. In response to the questions of this study, the results indicate that the main alteration between the fragmented and the contiguous forest is the change in the predominant species composition in each local, caused by environmental factors and history of land use in each area.
Resumen: El proceso de ocupación humana produjo fragmentación y grandes alteraciones en el paisaje forestal de la región amazónica contigua a la cuenca del Rio Guaporé. Este estudio plantea las siguientes preguntas: 1) ¿existe diferencia florística y estructural entre un remanente y un continuo forestal de la misma fitofisionomía en tierra firme de la Amazonia? 2) ¿cuáles son esas diferencias? El estudio fue realizado en dos áreas de bosque ombrófilo abierto que permanecen como reserva legal en dos propiedades particulares (RM y MV). Se establecieron parcelas de 20×50m, en las que el criterio de inclusión adoptado para el muestreo de los especímenes fue DAP ≥10cm. Las dos áreas presentaron diferencia de ~45% en relación a la composición florística no siendo diferente en relación a la diversidad, independiente del peso asignado a las especies raras, siendo que para MV (continuo) fue registrado una mayor riqueza y número de especies exclusivas. Los mayores valores de diversidad beta fueron registrados para parcelas de MV, o sea, en el continuo forestal hay una mayor heterogeneidad en la composición. En respuesta a las preguntas de este estudio, los datos indican que la principal alteración entre el remanente y el continuo es el cambio en la composición de especies predominantes en cada local ocasionada por los factores ambientales e históricos de cada área.
Introdução
A Bacia do Rio Guaporé é uma região rica em biodiversidade, constituindo uma área de ecótono entre as regiões biogeográficas da Amazônia e o Pantanal, se ligando pelas montantes dos Rios Paraguai e Guaporé (Silva et al., 2015). Possui cobertura vegetal bastante heterogênea com destaque das formações: floresta estacional semidecidual, floresta ombrófila densa, floresta ombrófila aberta e cerrado (Radam Brasil, 1979). Nesta mesma região é estimado 118 espécies arbóreas para as fitofisionomias de cerrado e floresta (Silva et al., 2015). O diagnóstico socioeconômico e ecológico do Estado revela 113 e 114 espécies arbóreas de no mínimo 15 e 30cm de perímetro a altura do peito (Gomes e Santos, 2000).
Na região foi diagnosticada intensa ocupação, sendo as áreas de mata nativa quase completamente devastadas, sobretudo as matas ciliares. As áreas mais conservadas se encontram na porção leste do município de Vila Bela da Santíssima Trindade, no sopé da Serra Ricardo Franco na Fronteira com a Bolívia (SEPLAN-MT, 1999).
O processo de ocupação humana produziu na região de abrangência do Rio Guaporé grandes alterações na paisagem, convertendo as formações florestais em áreas de agricultura e pastagem. Vila Bela da Santíssima Trindade está entre os cinco municípios com as maiores extensões de desmatamento até o ano de 2014 (PRODES, 2014). A atual legislação federal estabelece a conservação de 24 espécies arbóreas para a Amazônia (IN Nº 6, 23 de setembro de 2008) enquanto as demais sofrem com o processo do desmatamento, originando paisagens com poucos espécimes isolados do fragmento e susceptíveis às pressões do ambiente, uma situação frequente na região Guaporé.
Dentre os muitos estudos em florestas, são poucos os inventários de espécies arbóreas na região sul do Bioma Floresta Amazônica no estado de Mato Grosso, onde se encontra o Arco do desmatamento e rápida expansão da fronteira agrícola em especial para as florestas de terra firme estabelecidas na região amazônica do Guaporé.
A alteração na paisagem, o vazio de coleta e a escassez de estudos na Bacia do Guaporé irão impulsionar uma erosão genética acarretando perda de informação sobre a diversidade local no limite sul da Amazônia. Estudos de composição e estrutura da vegetação reúnem conhecimentos que subsidiam decisões e delimitações de áreas prioritárias para a conservação (Felfili et al., 2001). O conhecimento sobre a distribuição das espécies é fundamental para a conservação da diversidade e ações básicas para a preservação e manejo sustentável das florestas (Ferrier, 2002). E estes estudos de composição e estrutura para uma região pouco explorada botanicamente são importantes, pois poderão subsidiar futuramente análises da dinâmica destas comunidades e estratégias de recuperação destas áreas.
A seguir serão caracterizadas a composição florística, a estrutura e os padrões de diversidade em duas comunidades de floresta de terra firme na Bacia do Rio Guaporé, estabelecidas em um remanescente e um contínuo florestal. Uma vez que a perturbação desencadeia uma série de impactos sobre a composição e diversidade de florestas tropicais (Baker et al., 2016), este estudo tem como perguntas: 1) existe diferença florística e estrutural entre um remanescente e um contínuo florestal de mesma fitofisionomia em terra firme na região amazônica do Guaporé? 2) quais são essas diferenças?
Material e Métodos
O estudo foi realizado em duas áreas de floresta ombrófila aberta mantidas como reserva legal em duas propriedades particulares (Fazenda Rio do Meio e Fazenda Monte Verde), no município de Vila Bela da Santíssima Trindade na Bacia do Rio Guaporé, na fronteira do Brasil com a Bolívia (Figura 1).

Na Fazenda Rio do Meio (RM) se encontra a floresta na encosta da Serra Ricardo Franco (14º15’44,95’’S - 60º22’08,80’’O), com elevação entre 217 e 259m, ocupando 1070,73ha. Esta área é um polígono circundado por pastagens cultivadas e dois dos três maiores lados tangenciam a Serra Ricardo Franco. Na Fazenda Monte Verde está localizado o contínuo florestal (14º05’36,62’’S - 60º26’04,52 ’’O), denominado Floresta do Monte Verde (MV) localizado na menor distância no interflúvio do Rio Guaporé e do Rio Verde em terra firme no limite territorial Brasil-Bolívia. Distante ~5km do Parque Nacional Noel Kempff Mercado da Bolívia, esta floresta possui 311ha, com variação de 199 a 365m de altitude; está conectada com uma encosta da Serra Ricardo Franco caracterizando uma transição entre o cerrado e a floresta. Trata-se de uma floresta com histórico de pouca ação antrópica registrada nas últimas três décadas. As áreas estão a ~15km distantes entre si, inseridas em uma matriz de áreas cultivadas e manchas disjuntas de vegetação nativa.
O clima da região é tropical chuvoso, com precipitação anual em torno de 822mm e temperatura entre 26 e 27ºC (INMET, 2014). No RM o solo é caracterizado como Latossolo, enquanto no MV são dos tipos Argissolo, Neossolo Quartzarênico, Latossolo e Gleiossolo (Pierangeli et al., 2009).
Em cada área as unidades amostrais foram estabelecidas utilizando-se a amostragem sistemática em que a primeira unidade amostral foi alocada de forma aleatória e a partir, foram alocadas as demais com um espaçamento regular de 250m (Felfili et al., 2013). Foram estabelecidas 18 parcelas de 20×50m, sendo nove parcelas em cada área. O critério de inclusão adotado para a amostragem dos espécimes foi DAP ≥10 cm (DAP= diâmetro à altura do peito, onde a altura é de 1,30m do solo).
As coletas, o tratamento e herborização do material botânico seguiram as recomendações do IBGE (2012). O sistema de classificação adotado foi o APG IV (2016). A identificação dos espécimes foi feita in loco, a partir da consulta ao acervo de herbários, literatura especializada e por especialistas quando necessário. Para redação da nomenclatura botânica foi consultado a Lista de Espécies da Flora do Brasil (http://floradobrasil.jbrj.gov.br) e The Plant List (http://www.theplantlist.org), acessados em 2015 e 2016. O material botânico testemunha foi depositado no acervo do HPAN, UNEMAT, Cáceres, MT.
Para a avaliação da estrutura fitossociológica da vegetação arbórea, os parâmetros adotados (Magurran, 1988) foram: densidade relativa (DR), frequência relativa (FR), dominância relativa (DoR) e o índice de valor de importância (IVI).
A diversidade de espécies arbóreas foi comparada entre as áreas utilizando os perfis de diversidade obtidos pela série de Rényi (Tóthmérész, 1995). Para analisar a diversidade beta foi utilizado o índice de Whittaker (1960), em que para cada área foi calculada a diversidade beta entre todos os pares de parcelas, calculando a média e desvio padrão para todas as parcelas.
Para a comparação da composição florística entre as áreas foi realizada uma análise de gradiente utilizando a análise de componentes principais (PCA) com o uso de uma matriz de abundância constituída do número de espécies por parcela.
Os parâmetros fitossociológicos (DR, FR, DoR e IVI) foram calculados com o uso do software Fitopac 2 (Shepherd, 2010). Os perfis de diversidade, o índice de diversidade beta e a DCA foram calculados com o uso o software R (R Development Core Team, 2009).
Resultados
Foram amostradas 123 espécies arbóreas circunscritas em 97 gêneros e 48 famílias botânicas. Para RM obteve-se 81 espécies em 35 famílias enquanto que em MV foram registradas 87 espécies e 41 famílias. As duas áreas compartilham 45 espécies correspondente a 36,5% das espécies amostradas, sendo 36 espécies exclusivas do RM e 42 do MV. No RM as famílias mais especiosas foram Fabaceae (12 espécies), Lauraceae e Moraceae (6 cada), Apocynaceae, Areca-ceae, Elaeocarpaceae e Rubiaceae (4 cada). Para o MV foram Fabaceae (17 espécies), Moraceae e Vochysiaceae (5 cada), Annonaceae, Apocynaceae, Arecaceae e Rubiaceae (4 cada). Das famílias mais especiosas, Fabaceae, Moraceae, Rubiaceae, Apocynaceae e Arecaceae são comuns para as duas áreas.
As espécies que apresentaram o maior número de espécimes no RM foram Amaioua guianensis, Helicostylis elegans, Capirona decorticans, Schizolobium parahyba, Attalea maripa, Cheiloclinium cognatum e Physocalymma scaberrimum. No MV as mais representativas foram Protium heptaphyllum, Xylopia amazonica, Himatanthus bracteatus, Attalea maripa e H. articulatus. Das cinco espécies mais abundantes citadas acima, A. maripa ocorreu em ambos os remanescentes.
As dez espécies de maior importância no RM representaram 23,30% do IVI total da comunidade. As famílias com maior número de espécimes foram Rubiaceae (67), Fabaceae (46), Moraceae (42), Arecaceae (29) e Vochysiaceae (19). Neste remanescente foram amostradas 25 espécies representadas por um único espécime. No MV as espécies mais importantes somam 24,84% do total de IVI. As famílias com mais espécimes foram Apocynaceae (35), Fabaceae (33), Arecaceae (28), Annonaceae (25) e Burseraceae (23). Com um único espécime foram registradas 36 espécies. Os valores de número de indivíduos, densidade, área basal e média de diâmetro foram maiores no RM. Para o MV exclusivamente a média de altura se destacou com maior valor (Tabela I).

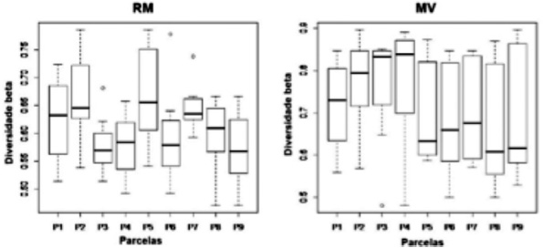
Os perfis de diversidade obtidos pela série de Rényi indicaram que embora o remanescente MV tenha apresentado maior riqueza a diversidade não diferiu entre as áreas (Figura 2). A diversidade beta nas parcelas em RM variou entre 0,49 e 0,89 e em MV entre 0,51 e 1. Destaca-se o grupo de parcelas do MV (P2, P3, P7 e P8) em que a diversidade beta atingiu os maiores valores, indicando diferença de pelo menos 50% da composição florística com relação às outras parcelas.

Intervalos de confiança a 95% de significância.

Na Figura 4 estão representados os resultados da ordenação em que o eixo 1 (variação explicada= 23%) e o eixo 2 (variação explicada= 14,5%) revelam uma separação entre a as parcelas das áreas com algumas unidades amostrais apresentando uma composição florística similar entre si. As parcelas do RM se apresentam mais próximas na ordenação revelando menor heterogeneidade na composição.

Discussão
As duas áreas apresentam diferença de ~45% em relação a composição florística, constatado principalmente pelo elenco de espécies exclusivas de cada área e pela quantidade de espécies compartilhadas entre ambas. São os fatores ambientais os responsáveis pela mudança na composição em áreas de mesma fitofisionomia. Em uma escala local as variáveis edáficas e topográficas são consideradas elementos importantes na determinação da variação florística na Amazônia (Silva et al., 2010). Conforme a descrição das áreas em RM ocorre Latossolo enquanto no MV encontra-se Latossolo, Neossolo, Argissolo e Gleissolo ocasionando diferentes micro habitats dentro do contínuo florestal. Segundo Higgins (2011) e Quesada et al. (2012) a mudança da composição de espécies arbóreas na Floresta Amazônica pode ser explicada pela variação do solo e relevo. Outro fator que contribui para a diferença de composição entre as áreas é a conectividade presente em MV, que promove maior grau de ligação entre populações de outras áreas contíguas (Laurance e Vasconcelos, 2009). Neste contexto a serra Ricardo Franco funciona como um corredor ecológico conectando a área MV com diferentes ambientes, permitindo a dispersão de sementes e o fluxo gênico entre espécies da flora local.
Estudos têm revelado a baixa riqueza de florestas tropicais fragmentadas se comparadas com florestas não impactadas, sendo a fragmentação um processo que altera drasticamente os principais processos ecológicos da floresta (Laurance et al., 2010; Baker et al., 2016). Os resultados do presente estudo referentes a riqueza também demonstram este efeito de perda de riqueza em áreas fragmentadas, embora a diferença numérica de riqueza não tenha se apresentado tão discrepante. A ocorrência de um número similar de espécies arbóreas possivelmente se deve a elevada dominância de algumas espécies presentes no contínuo florestal, evidenciada pela diferença na composição florística entre as áreas, que consequentemente afetou a riqueza em uma área pouco perturbada (Hernandez et al., 2012). Ao passo que a abundância de espécies pioneiras também pode ter elevado a riqueza na área fragmentada.
No RM, 31% das espécies inventariadas são raras e no MV são 41%. Esses valores são próximos ao que é registrado floresta ombrófila aberta segundo Salomão et al. (2007). Estudos realizados na Amazônia em Mato Grosso revelam uma grande riqueza de espécies raras e uma flora mista (Ivanauskas et al., 2004; Marimon et al., 2006; Kunz et al., 2008; Zappi et al., 2011; Kunz et al., 2014). Para o MV foi encontrado maior número de espécies localmente raras com espécies comuns com as florestas ombrófilas, florestas estacionais e de Cerrado, evidenciando que este contínuo florestal está inserido em uma área do bioma Floresta Amazônica sob forte influência de transições com as vegetações de cerrado e floresta estacional semidecidual.
As duas áreas apresentaram valores de densidade e área basal abaixo do esperado para florestas na Amazônia, com os maiores valores registrados para o RM. É esperado a redução de biomassa em florestas fragmentadas em relação à contínuos florestais na Amazônia (Laurance et al., 2010; Hernadez et al., 2012). No entanto a área basal no RM é caracterizada pela predominância de populações de espécies arbóreas de grande porte. Embora as duas áreas apresentem baixos valores de área basal, exclusivamente no RM foi documentado atividade de extração seletiva de madeira à ~20 anos.
As áreas não se diferem em relação à diversidade independente do peso atribuído as espécies raras, sendo que para o MV foi registrado maior riqueza e número de espécies exclusivas. Analisando os perfis de diversidade foi possível constatar que as curvas se sobrepõem. Isto mostra que as duas comunidades não são distintas em termos de diversidade (Tóthmérész, 1995). A diversidade obtida para o RM pode ser explicada pela consequência da fragmentação, e do rápido recrutamento de espécies generalistas de rápido crescimento e ocorrência horizontal regular na comunidade, que no longo prazo pode aumentar a diversidade local (Marra et al., 2014).
Os maiores valores de diversidade beta foram registrados para parcelas de MV, ou seja, neste contínuo florestal há uma maior heterogeneidade na composição florística se comparado com RM. A estrutura e composição de uma determinada fitofisionomia pode assumir valores diferentes de acordo com os fatores ambientais do local (Kunz et al., 2008). Os resultados obtidos para o MV evidenciaram diferença em parte da composição florística associada com diferença ambiental destacando-se a presença de Neossolo litólico.
Os dados obtidos neste estudo são condizentes com Tuomisto et al. (2003) ao afirmar que na Amazônia existe um alto grau de diferenciação florística dentro e entre regiões revelando uma alta diversidade beta. As formações vegetais na Amazônia não recobrem as áreas uniformemente podendo ocorrer manchas de outros tipos de paisagens (Pires, 1973; Sombroek, 2000; Hoor et al., 2010; Laurance et al., 2010). No presente estudo temos a presença de manchas disjuntas de Cerrado como enclaves no bioma Amazônico.
O resultado obtido pela ordenação indica que as duas áreas apresentam uma composição florística distinta, separando a maioria das parcelas em dois grupos correspondentes às duas áreas, com semelhança entre poucas parcelas, e que as parcelas do MV apresentam maior diferenciação entre si. Em resposta às perguntas deste estudo os dados indicam que a principal alteração entre o remanescente e o contínuo é a mudança na composição de espécies predominantes em cada local ocasionada pelos fatores ambientais e histórico de cada área.
Agradecimentos
Os autores agradecem ao Conselho Nacional de Desenvol-vimento Científico e Tecnológico (CNPq) e a Fundação de Amparo à Pesquisa de Mato Grosso (FAPEMAT) pelo financiamento do Projeto: Conhecimento, uso sustentável e bioprospecção da biodiversidade na Amazônia Legal (BIONORTE); à Coordenação de Aperfeiçoamento de Pessoal de Nível Superior (CAPES) pela concessão da bolsa de mestrado; aos proprietários das fazendas Rio do Meio e Monte Verde pela autorização dos estudos e apoio logístico, fundamental para a realização deste estudo; a Júlio Lombardi, Arnildo Pott e Flávio Macedo Alves; e à curadoria do Herbário do Pantanal “Vali Joana Pott” - HPAN, UNEMAT, Cáceres, MT, pelo espaço e orientações na organização e incorporação do material testemunha.
REFERÊNCIAS
APG VI (2016) An update of the Angiosperm Phylogeny Group classification for the orders and families of flowering plants: APG III. Bot. J. Linn. Soc. 161: 105-121.
Baker TR, Vela Díaz DM, Chama Moscoso V, Navarro G, Monteagudo A, Pinto R, Cangani K, Fyllas NM, Gonzalez GL, Laurance WF, Lewis SL, Lloyd J, ter Steege H, Terborg JW, Phillips O (2016) Consistent, small effects of treefall disturbances on the composition and diversity of four Amazonian forests. J. Ecol. 104: 497-506.
Felfili JM, Nogueira PE, da Silva Júnior MC, Marimon BS, Delitti WBC (2001) Composição florística e fitossociologia do Cerrado sentido restrito no município de Água Boa-MT. Acta Bot. Bras. 16: 103-112.
Felfili JM, Roitman I, Medeiros MM, Sanchez M (2013) Procedimentos e métodos de amostragem de vegetação. Em Felfili MJ, Eisenlohr PV, Melo MMRF, Andrade LA, Neto JAMN (Eds.) Fitossociologia no Brasil: Métodos e Estudos de Casos. Universidade Federal de Viçosa. Brasil. pp. 86-121.
Ferrier S (2002) Mapping spatial pattern in biodiversity for regional conservation planning: where to from here? Systemat. Biol. 51: 331-363.
IBGE (2012) Manual Técnico da Vegetação Brasileira. Manuais Técnicos em Geociências. Vol. 1, 2ª ed. Fundação Instituto Brasileiro de Geografia e Estatística. Rio de Janeiro, Brasil. 274 pp.
Gomes M, Santos M (2000) Zoneamento Sócioeconômico Ecológico: Diagnóstico Sócioeconômico Ecológico do Estado de Mato Grosso e Assistência Técnica na Formulação da 2ª Aproximação. Governo do Estado do Mato Grosso/Seplan/Bird. Cuiabá, Brasil.
Hernández L, Delgado L, Meier W, Durán C (2012) Empobrecimiento de bosques fragmentados en el norte de la Gran Sabana, Venezuela. Interciencia 37: 891-898.
Higgins MA, Ruokolainen K, Tuomisto H, Llerena N, Cardenas G, Phillips OL, Vásquez R, Räsänen M (2011) Geological control of floristic composition in Amazonian forests. J. Biogeogr. 39: 2136-2149.
Hill MO, Gauch HG (1980) Detrended Correspondence Analysis, an improved ordination technique. Vegetation 42: 47-58.
Hoorn C, Wesselingh FP, ter Steege H, Bermudez MA, Mora A, Sevink H, Sanmartín I, Sanchez-Meseguer A, Anderson CL, Figueiredo JP, Jaramillo C, Riff D, Negri FR, Hooghiemstra H, Lundberg J, Stadler T, Särkinen T, Antonelli A (2010) Amazonia through time: Andean uplift, climate change, landscape evolution, and biodiversity. Science 330: 927-931.
INMET (2014) Instituto Nacional de Meteorologia. http://www.inmet.gov.br. (Cons. 22/10/2015).
Ivanauskas NM, Monteiro R, Rodrigues RR (2004) Composição florística de trechos florestais na borda sul-amazônica. Acta Amaz. 34: 399-413.
Kunz SH, Ivanauskas NM, Martins SV, Silva E, Stefanello D (2008) Aspectos florísticos e fitossociológicos de um trecho de Floresta Estacional Perenifólia na Fazenda Trairão, Bacia do rio das Pacas, Querência MT. Acta Amaz. 38: 245-254.
Kunz SH, Moreau J, Spadeto C, Martins SV, Stefanello D, Ivanauskas NM (2014) Estrutura da Comunidade Arbórea de Trecho de Floresta Estacional Sempre-Verde e Similaridade Florística na Região Nordeste do Mato Grosso, Brasil. Flor. Amb. 21: 429-440.
Laurance WF, Vasconcelos HL (2009) Conseqüências ecológicas da fragmentação florestal na Amazônia. Oecol. Austr. 3: 434-451.
Laurance SG, Laurance WF, Andrade A, Fearnside PM, Harms KE, Vicentini A, Luizão RCC (2010) Influence of soils and topography on Amazonian tree diversity: a landscape-scale study. J. Veget. Sci. 21: 96-106.
Magurran AE (1988) Ecological Diversity and its Measurement. Princeton University Press. Princeton, NJ, EUA. 179 pp.
Marimon BS, Lima EDS, Duarte TG, Chieregatto LC, Ratter JA (2006) Observations on the vegetation of Northeastern Mato Grosso, Brazil. IV. an analysis of the Cerrado-Amazonian forest ecotone. Edinb. J. Bot. 63: 323-341.
Marra DM, Chambers JQ, Higuchi N, Trumbore SE, Ribeiro GH, dos Santos J, Negrón-Juárez RI, Reu B, Wirth C (2014) Large-scale wind disturbances promote tree diversity in a central Amazon forest. Plos one 9, e103711.
Pierangeli MAP, Eguchi E, Ruppin RF, Costa RBF, Vieira DF (2009) Teores de As, Pb, Cd e Hg e fertilidade de solos da região do Vale do Alto Guaporé, sudoeste do Estado de Mato Grosso. Acta Amaz. 39: 61-70.
Pires JM (1973) Tipos de vegetacao da Amazonia. Public. Avuls. Mus. Goeldi Sesquicent. 20: 179-202.
PRODES (2014) Monitoramento da floresta Amazônica Brasileira por satélite. Instituto Nacional de Pesquisas Espaciais Projeto Prodes. http://www.obt.inpe.br/prodes/index.php (Cons. 12/12/2015).
Quesada CA, Phillips OL, Schwarz M, Czimczik CI, Baker TR, Patino S, Lloyd J (2012) Basinwide variations in Amazon forest structure and function are mediated by both soils and climate. Biogeosciences 9: 2203-2246.
R Development Core Team (2009) R: language and environment for statistical computing. R Foundation for Statistical computing, Vienna, Austria. http://www.R-project.org (Cons. 15/07/2017).
Radam Brasil (1979) Levantamento de Recursos Naturais, Folha Guaporé (SD-20). Departamento Nacional de Produção Mineral. Rio de Janeiro, Brasil. 364 pp.
Salomão RDP, Vieira ICG, Suemitsu C, Rosa NDA, Almeida SSD, Amaral DDD, Menezes MPM (2007) As florestas de Belo Monte na grande curva do rio Xingu, Amazônia Oriental. Bol. Mus. Par. Emílio Goeldi 2: 57-153.
SEPLAN-MT (1999) Diagnóstico e Zoneamento Sócio Econômico Ecológico. Secretaria de Estado e Planejamento e Coordenação Geral, Cuiabá, MT, Brasil.
Shepherd GJ (2010) FITOPAC 2: manual do usuário. UNICAMP. Campinas, Brasil. 91 pp.
Silva JSB, Montoya ÁJD, López DC, Hurtado FHM (2010) Variación florística de especies arbóreas a escala local en un bosque de tierra firme en la Amazonia colombiana. Acta Amaz. 40: 179-188.
Silva CJ, Sousa KNS, Ikeda-Castrillon SK, Lopes CRAS, da Silva Nunes JR, Carniello MA, Mariotti PR, Lazaro WL, Morini A, Zago BW, Façanha CL, Albernaz-Silveira R, Loureiro E, Viana IG, Oliveira RF, Cruz WJA, Arruda JC, Sander NL, Junior DSF, Pinto VR, de Lima AC, Jongman RHG (2015) Biodiversity and its drivers and pressures of change in the wetlands of the Upper Paraguay-Guaporé Ecotone, Mato Grosso (Brazil). Land Use Policy 47: 163-178.
Sombroek W (2000) Amazon landforms and soils in relation to biological diversity. Acta Amaz. 30: 81-100.
Tóthmérész B (1995) Comparison of different methods for diversity ordering. J Veget. Sci. 6: 283-290.
Tuomisto H, Ruokolainen K, Aguilar M, Sarmiento A (2003) Floristic patterns along a 43‐km long transect in an Amazonian rain forest. J. Ecol. 91: 743-756.
Whittaker RH (1960) Vegetation of the Siskiyou mountains, Oregon and California. Ecol. Monogr. 30: 279-338.
Zappi DC, Sasaki D, Milliken WIVAJ, Henicka GS, Biggs N, Frisby S (2011) Plantas vasculares da região do Parque Estadual Cristalino, norte de Mato Grosso, Brasil. Acta Amaz. 41: 29-38.
Autor notes
Ligação alternative
https://www.interciencia.net/wp-content/uploads/2018/12/841-DA-CRUZ-43_12.pdf (pdf)