Comunicaciones
MODELAGEM MATEMÁTICA DO TEMPO DE VIDA DE BATERIAS DE ÍON LÍTIO POLÍMERO A PARTIR DE MODELOS HÍBRIDOS
MODELADO MATEMÁTICA DE LO TIEMPO DE VIDA DE BATERÍAS DE IÓN LITIO POLIMERO USANDO MODELOS HÍBRIDOS
MATHEMATICAL MODELING OF LITHIUM ION POLYMER BATTERIES LIFETIME USING HYBRID MODELS
MODELAGEM MATEMÁTICA DO TEMPO DE VIDA DE BATERIAS DE ÍON LÍTIO POLÍMERO A PARTIR DE MODELOS HÍBRIDOS
Interciencia, vol. 44, núm. 5, pp. 260-265, 2019
Asociación Interciencia
Recepção: 02 Março 2017
Corrected: 31 Janeiro 2018
Aprovação: 05 Fevereiro 2018
Resumo: O aperfeiçoamento de baterias utilizadas em dispositivos móveis depende de métodos que possibilitam prever o comportamento das mesmas de forma rápida, eficaz e com baixos custos. Neste trabalho é realizada a modelagem matemática de baterias de íon lítio polímero (Li-Po) com o objetivo de predizer o seu tempo de vida a partir de modelos híbridos. Estes modelos apresentam como característica principal a união das vantagens de dois ou mais modelos existentes. A validação dos modelos é realizada a partir da comparação dos resultados simulados com dados experimentais obtidos de uma plataforma de testes. A análise dos resultados mostra que os modelos híbridos apresentam resultados satisfatórios.
Palavras-chave: Baterias , Lítio , Modelo Híbrido , Tempo de Vida .
Resumen: El desarrollo de baterías utilizadas en dispositivos móviles depende de los métodos que posibilitan predecir el comportamiento de las mismas de forma rápida, eficaz y con bajos costos. En este trabajo se lleva a cabo el modelado matemático de ión litio polímero (Li-Po) con el fin de predecir la vida útil de las mismas a partir de los modelos híbridos. Estos modelos tienen la característica de reunir las ventajas de dos o más modelos existentes. La validación de los modelos se hace a través de la comparación de los resultados simulados con los datos experimentales obtenidos en una plataforma de prueba. Los resultados muestran que los modelos híbridos tienen resultados satisfactorios.
Abstract: The improvement of batteries used in mobile devices depends on methods that allow to predict their behavior quickly, efficiently and with a low cost. In this paper, the mathematical modeling of lithium ion polymer (Li-Po) batteries is carried out with the aim of predicting the lifetime of the batteries from hybrid mo-dels. These models feature the combination of the advantages of two or more existing models. The validation of the models is carried out by comparing the simulated results with experimental data obtained in a test platform. The analysis of the results shows that the hybrid models present satisfactory results.
Introdução
As baterias recarregáveis estão sendo amplamente utilizadas em dispositivos eletrônicos, veículos elétricos e sistemas de energia renovável (Seaman et al., 2014;Ma et al., 2015), devido a sua capacidade de armazenamento de energia. Essas baterias convertem energia química em energia elétrica a partir de reações eletroquímicas. De forma geral, elas são formadas por um ânodo, um cátodo e pelo eletrólito. Durante o processo de descarga, a energia química de cada célula é transformada em energia elétrica por oxirredução, ou seja, à medida que o ânodo (eletrodo negativo) fornece elétrons à carga, o cátodo (eletrodo positivo) recebe os elétrons. O eletrólito viabiliza a transferência de íons entre os eletrodos no interior da célula (Linden e Reddy, 2002). No entanto, destaca-se que estas baterias possuem energia finita e necessitam serem recarregadas a cada intervalo de tempo.
O tempo em que a bateria se mantém operacional é denominado ‘tempo de vida’, que é por definição o tempo decorrido durante o processo de descarga até atingir um nível mínimo de capacidade de carga, denominado nível de cutoff, no qual a bateria fica incapaz de fornecer energia elétrica aos dispositivos, sendo então considerada descarregada (Rakhmatov et al., 2002). As baterias em funcionamento estão sujeitas a operações de descarga, e alguns estudos têm revelado que as taxas de descarga apresentam a ocorrência de efeitos não linear ao longo tempo (Rakhmatov et al., 2002; Zhang et al., 2010; Kim e Qiao, 2011). Dentre eles, há o efeito de recuperação e o efeito da taxa de capacidade que influenciam significativamente na capacidade e, por conseguinte no tempo de vida da bateria.
O efeito de recuperação é definido como a reorganização dos elétrons no eletrólito durante um período de relaxação (intervalo de tempo que a corrente de descarga é reduzida significativamente, ou é nula). Neste intervalo os elétrons se reorganizam de maneira uniforme, de modo que o gradiente de concentração seja nulo na superfície do eletrólito. Outro efeito não linear importante é o efeito da taxa de capacidade (Rakhmatov et al., 2002; Zhang et al., 2010;Kim e Qiao, 2011), que depende da capacidade atual da bateria e da intensidade da corrente de descarga, ou seja, com uma alta corrente de descarga a capacidade efetiva da bateria é baixa, pois não há tempo suficiente para a reorganização dos elétrons no eletrólito (efeito de recuperação) e assim, mais carga permanece sem ser utilizada pelo dispositivo, reduzindo desta forma a capacidade e o tempo de vida da bateria. Já para correntes alternadas, a capacidade efetiva da bateria é aumentada, pois na troca de uma corrente alta para uma corrente baixa, ou até mesmo em um período sem corrente ocorre a reorganização dos elétrons no eletrólito, tornando disponível uma maior quantidade de carga na superfície do eletrodo, aumentando a capacidade efetiva da bateria.
O funcionamento de um dispositivo móvel está condicionado ao estado de carga da bateria, e por isso, torna-se fundamental predizer o seu tempo de vida e, por conseguinte, o comportamento dinâmico do sistema como um todo. Uma das formas de realizar esta predição é através da utilização de modelos matemáticos que descrevem adequadamente a carga e a descarga de energia do sistema. Destaca-se que a modelagem matemática possui grande potencial de auxiliar no projeto e fabricação de aparelhos alimentados por baterias cada vez mais modernos, com design mais atrativos e com múltiplas funcionalidades, visto que existe a necessidade por parte da indústria de fomentar o desenvolvimento de baterias mais eficientes, com maior capacidade, leves, duráveis e seguras. Para tanto, é imprescindível a realização de estudos sobre o comportamento das baterias; especificamente, acerca de métodos efetivos para a predição dos seus tempos de vida.
Nesta pesquisa é realizada a modelagem matemática do tempo de vida de baterias de íon lítio polímero (Li-Po), considerando correntes de descargas constantes e variáveis determinadas a partir de diferentes funcionalidades desempenhadas por um telefone celular do tipo smartphone, a partir de modelos híbridos. Para isto, são utilizados o modelo híbrido de Kim (Kim e Qiao, 2011), denominado neste trabalho de modelo ‘K’, e o modelo híbrido de Zhang (Zhang et al., 2010), chamado de modelo ‘Z’. Buscando a validação dos modelos, é realizada a implementação dos mesmos na ferramenta computacional MatLab/Simulink, e os resultados das simulações são comparados com os dados experimentais obtidos de uma plataforma de testes, utilizando baterias de Li-Po modelo PL 383562-2C.
Estado da Arte
Modelos matemáticos foram desenvolvidos ao longo dos anos diferentes. Em geral, estes modelos podem ser divididos em três categorias: eletroquímicos, analíticos e de circuitos elétricos (Zhang et al., 2010). Os modelos eletroquímicos consideram os processos termodinâmicos e eletroquímicos, assim como os fenômenos físicos, para modelar a descarga da bateria (da Cunha e da Silva, 2012) utilizando um conjunto de equações diferenciais não lineares. Em Doyle et al. (1993) é proposto um modelo eletroquímico composto por um conjunto de seis equações diferenciais parciais (EDPs), acopladas e não lineares. A resolução destas equações fornece a tensão e a corrente em função do tempo, as fases de potencial no eletrólito e no eletrodo, a concentração salina, a taxa de reação e a densidade da corrente no eletrólito em função do tempo e da posição na célula. No entanto, para a utilização desse modelo e configuração dos seus parâmetros empíricos (em torno de 50) é necessário um conhecimento detalhado sobre a bateria. Além disso, devido à alta complexidade e exigência de cálculos intensivos, este modelo é complexo de usar para a gestão de energia da bateria em tempo real e simulação de circuitos (Jongerden e Haverkort, 2008b; Kim e Qiao, 2011).
Os modelos analíticos são expressões algébricas utilizadas para calcular a capacidade residual da bateria usando valores de corrente de descarga, características do ambiente de operação e propriedades físicas da bateria como parâmetros (da Cunha e da Silva, 2012). Geralmente, são simplificações de modelos eletroquímicos (Rong e Pedram, 2006). A lei de Peukert (Jongerden e Haverkort, 2008a) é um modelo analítico simples que descreve o efeito da taxa de capacidade, mas não leva em consideração o efeito de recuperação. Em Rong e Pedram (2006) foi proposto um modelo analítico para uma bateria de Li-Po, baseado em medidas de tensão, corrente e parâmetros físicos da bateria, que leva em conta os efeitos da temperatura e ciclos de vida. O modelo KiBaM (Manwell e McGowan, 1993) baseia-se nos processos cinéticos que ocorrem no interior da bateria, sendo formulado a partir da velocidade das reações químicas e dos fatores que as influenciam. Neste modelo, a capacidade total da bateria é distribuída em duas fontes, denominadas fonte de carga disponível e fonte de carga limitada. O modelo de Rakhmatov e Vrudhula (denominado na literatura de modelo RV) descreve a evolução da concentração de espécies eletroativas no eletrólito da bateria durante um processo de descarga; o modelo baseia-se em simplificações de fenômenos complexos e considera dois processos principais, as reações eletroquímicas na superfície do eletrodo e a difusão dos íons no eletrólito (Rakhmatov et al., 2002). Os modelos KiBaM e RV consideram alguns efeitos não lineares, o efeito da taxa de capacidade e o efeito de recuperação. No entanto, os modelos analíticos de modo geral, não descrevem o decaimento da tensão, que é uma característica importante na simulação de circuitos elétricos (Kim e Qiao, 2011).
Os modelos baseados em circuitos elétricos modelam a descarga da bateria através da combinação de componentes elétricos, tais como fontes de tensão, resistores e capacitores. Alguns destes modelos também podem estimar o estado de carga (SOC) e prever o tempo de vida das baterias. O modelo Battery (Tremblay et al., 2007;Tremblay e Dessaint, 2009) é capaz de modelar o comportamento de diferentes tecnologias de baterias recarregáveis, considerando uma fonte de tensão controlada em série e uma resistência interna constante. Esse modelo destaca-se por considerar o efeito não linear de recuperação e possibilita a simulação de diferentes tipos de baterias, estando implementado no pacote Simulink da ferramenta computacional Matlab. O modelo elétrico para predizer runtime e características I-V (Chen e Rincón-Mora, 2006) combina as capacidades transientes dos modelos baseados em Thevenin, as características de corrente dos modelos baseados em impedância, e a informação do tempo de vida dos modelos baseados em Runtime; ou seja, possibilita a interação das três categorias básicas em que os modelos elétricos estão divididos. No entanto, os modelos de circuito elétrico existentes não consideram os efeitos não lineares, i.e. o efeito de recuperação e o efeito da taxa de capacidade, presente no processo de descarga das baterias (Kim e Qiao, 2011).
Recentemente, com o intuito de desenvolver um modelo que contempla ambos, os efeitos não lineares e as características de tensão e corrente que ocorrem em um processo de descarga, foram desenvolvidos os modelos híbridos. Em Kim e Qiao (2011) foi realizada a união do modelo analítico KiBaM com o modelo elétrico para predizer runtime e características I-V, resultando em um modelo misto capaz de capturar as características elétricas e o comportamento não linear da bateria. Este modelo é eficaz para a modelagem de baterias de chumbo ácido, NiCa, MiMH e Li-Íon. Em Zhang et al. (2010) foi proposta a união do modelo analítico RV com o modelo elétrico para predizer runtime e características I-V. Este modelo misto foi validado para correntes de descargas constantes e variáveis com o auxílio de dados experimentais obtidos com o instrumento de teste Arbin BT2000, utilizando uma bateria modelo HE18650. A seguir esses modelos híbridos são apresentados.
Modelagem Matemática
Nesta seção são descritas as equações dos modelos híbridos utilizados nesta pesquisa para a predição do tempo de vida de baterias de Li-Po, que alimentam dispositivos móveis. Estes modelos são formados a partir da união de dois modelos existentes, um analítico e outro elétrico, buscando aperfeiçoar os mesmos em relação a descargas reais. Inicialmente são apresentadas as equações do modelo K, que é composto pela união do modelo KiBaM com o modelo elétrico para predizer runtime e características I-V. Em um segundo momento são apresentadas as equações do modelo Z, que é composto pela união do modelo RV com o modelo elétrico para predizer runtime e características I-V.
Modelo híbrido de Kim
O modelo K, desenvolvido em Kim e Qiao (2011), é formado a partir da conexão do modelo KiBaM com o modelo para predizer runtime e características I-V. Para esta união é realizada a substituição dos componentes responsáveis pelo e o tempo de vida da bateria, no modelo elétrico, por equações baseadas no modelo KiBaM, conforme Figura 1a. Esta alteração possibilita incorporar ao modelo elétrico o efeito de recuperação e o efeito da taxa de capacidade, presentes no modelo analítico.

O modelo K considera um período total de t0 < t < tr, em que no período de t0 < t< td (com td < tr) a bateria é descarregada com uma corrente constante i = I >0, e então repousa no restante do período, ou seja, td < t < tr, com i = 0. O estado de carga da bateria (i.e., SOC) é descrito por
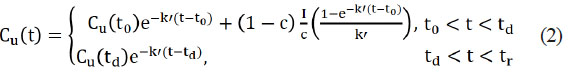
(1)onde Ca(t): capacidade disponível da bateria, Cn: capacidade nominal da bateria, Ci: capacidade inicial da bateria, l(t): carga total consumida pelo sistema, SOCi é o estado de carga inicial e Cu(t): capacidade indisponível no tempo t descrita pela carga indisponível proveniente do modelo KiBaM:
(2)onde Cu(t0): capacidade indisponível da bateria no início da descarga, c é uma fração da capacidade total (C) da bateria, Cu(td): capacidade indisponível da bateria no final do tempo de descarga, t0 é o tempo inicial, td é o tempo final da descarga, tr é o tempo que resta para terminar o período, k' é uma constante relacionada com a taxa de difusão de energia entre as fontes, e I: corrente de descarga.
A tensão do modelo é proveniente do modelo elétrico e é representada por
(3)onde V(t): tensão, Voc[SOC(t)]: tensão de circuito aberto, Rs[SOC(t)]: resistência em série e Vt(t): tensão transiente. Os elementos da equação (3) são determinados pelas equações
(4)
(5)
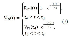
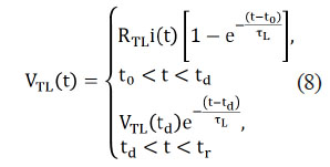
(6)onde VTS(t): tensão transiente de curta duração dada pela equação (7) e VTL(t): tensão transiente de longa duração dada pela Eq. 8.
(7)onde RTS: resistência transiente de curta duração, VTS(td): tensão transiente de curta duração no tempo final de descarga, tS=RTSCTS e CTS: capacitância transiente de curta duração.
(8)onde RTL: resistência transiente de longa duração, VTL(td): tensão transiente de longa duração no tempo final de descarga, tL=RTLCTL e CTL: capacitância transiente de longa duração.
Os parâmetros que modelam a tensão transiente dependem do SOC e são dados por
(9)Modelo híbrido de Zhang
O modelo Z baseia-se no modelo proposto em Zhang et al. (2010), sendo formado a partir da conexão do modelo RV com o modelo elétrico para predizer runtime e características I-V. Para realizar a união dos modelos substituiu-se os componentes responsáveis pelo SOC e o tempo de vida da bateria do modelo elétrico por equações baseadas no modelo RV, conforme pode ser observado na Figura 1b. Esta alteração possibilita a substituição de um capacitor constante, agregando ao modelo as características não lineares da bateria, tais como, o efeito de recuperação e o efeito da taxa de capacidade, presentes no modelo analítico.
No modelo Z o SOC é descrito pela Eq. 1, na qual Cu(t) é obtida a partir do modelo RV e dada por
(10)A tensão do modelo é descrita pela Eq. 3, em conjunto com as Eqs. 4, 5, 6, 7, 8 e 9, sendo proveniente do modelo para predizer runtime e características I-V.
Simulações e análises
Nesta seção são apresentados os resultados das simulações e as discussões. Para isso, em um primeiro momento, é realizada a coleta de dados experimentais obtidos de uma plataforma de testes desenvolvida pelo Grupo de Automação Industrial e Controle (GAIC), Universidade Regional do Noroeste do Estado do Rio Grande do Sul (UNIJUÍ). Estes testes foram realizados com oito baterias novas do tipo Li-Po, modelo PL383562-2C, com capacidade nominal de 800mAh e nível de cutoff de 2,7V, considerando perfis de descargas constantes e varáveis. O conjunto de dados obtidos para perfis de descargas constantes variam de 50mA a 800mA com intervalos de 25mA, e estão descritos na Tabela I. Estes dados durante a execução da pesquisa são divididos em dois conjuntos, o primeiro inicia em 50mA até 800mA com intervalos de 50mA, sendo utilizado para a estimação dos parâmetros dos modelos; o segundo conjunto inicia em 75mA até 775mA, com intervalos de 50mA sendo usado para a validação dos modelos.

A utilização de perfis de descarga variáveis possibilita descrever as principais funcionalidades executadas em um telefone celular do tipo smartphone, tais como, chamada, envio de sms, acesso à Internet, jogos, música, câmera, visualização de imagens e outras, tornando o processo de descarga mais próximo da realidade. Para obtenção dos dados para perfis de descarga variáveis, inicialmente, é realizada a verificação da corrente utilizada de acordo com algumas tarefas executadas em um smartphone. Com base nestes valores são formados os perfis de descarga variáveis apresentados na Tabela II.

Após a obtenção dos dados experimentais, primeiramente é realizada a estimação dos parâmetros dos modelos híbridos. Ressalta-se que os modelos K e Z são compostos de uma parte elétrica e de uma parte analítica, estando estas partes interligadas. No entanto, cada uma delas está fragmentada em equações que modelam propriedades distintas das baterias. Com isso, existem parâmetros independentes em cada uma das partes, que são estimados separadamente. A estimação dos parâmetros da parte analítica dos modelos híbridos é descrita a seguir. Os parâmetros referentes à parte elétrica dos modelos são obtidos de Kim e Qiao (2011). Por fim, é realizada a validação dos modelos a partir da comparação dos dados experimentais com os resultados das simulações dos modelos.
Estimação dos parâmetros dos modelos
O modelo K possui dois parâmetros empíricos provenientes do modelo KiBaM, que são c e k0. A estimação do parâmetro c depende da condição inicial na fonte de carga disponível y1(0) e do valor da capacidade total máxima disponível y0, pois c = y1(0)/y0. Para determinar y1(0) e y0 é gerado um gráfico, conforme Figura 2, a partir dos dados experimentais. O valor de y0 é definido ao observar o valor da capacidade disponibilizada ao sistema para correntes de descarga muito pequenas, devido a possibilidade de toda a carga da fonte limitada fluir para a fonte de carga disponível, e consequentemente, toda a capacidade armazenada nas duas fontes são fornecidas ao sistema. Portanto, o valor de y0 é o maior valor obtido para a capacidade, ou seja 2821,1As.

Para a determinação de y1(0) é realizado um ajuste de curvas buscando verificar qual é a tendência da curva dos dados, considerando correntes de descarga muito altas, uma vez que, neste caso, não ocorre a passagem de carga da fonte limitada para a fonte disponível (efeito de recuperação), sendo utilizada somente a carga da fonte y1. Com isso, y1(0) = 2520As. Consequentemente, o parâmetro c possui um valor estimado de 0,8933.
O parâmetro k' está relacionado com a taxa de vazão da corrente a partir da fonte de carga limitada para a fonte de carga disponível, sendo determinado a partir da Eq. 2 e dos dados experimentais. Nesta equação, c e Cu(t) são conhecidos, Cu(0)=0, os valores de I e t são obtidos a partir de uma corrente e um tempo de vida, ambos experimentais. A partir destas substituições são geradas diferentes equações transcendentais, na qual k' representa a raiz destas equações, que são solucionadas a partir da aplicação do método numérico de Newton-Raphson (Roque, 2000). Com isso, determina-se que k'= 0,0005.
O modelo Z possui, na parte analítica, o parâmetro β que está relacionado aos efeitos não lineares presentes no processo de descarga. Para determiná-lo, substitui-se os dados experimentais na Eq. 10. Esta substituição também resulta em uma equação transcendental na qual é solucionada a partir da aplicação do método de Newton-Raphson (Roque, 2000). Com isso, determina-se que β= 0,1.
Resultados e Discussões
Ao comparar os resultados simulados com os resultados experimentais obtém-se a diferença entre o tempo de vida previsto pelo modelo e o tempo de vida disponível em uma descarga real. Para isso, os modelos são implementados e simulados na ferramenta computacional MatLab/Simulink.
A validação do modelo K para perfis de descarga constantes obteve um erro médio igual a 2,41%, conforme a Tabela III, em que o maior erro (4,79%) encontra-se na corrente de 75mA, e o menor erro (0,67%) na corrente de 425mA. Para o modelo Z, o erro médio a partir de perfis constantes é de 1,12%, conforme Tabela III, obtendo erros de 4,58% para a corrente de 75mA e 0,05% para a corrente de 775mA.

A simulação dos modelos para perfis de descarga, baseia-se em diversas operações realizadas em um dispositivo móvel. Na Tabela IV é realizada a validação dos modelos K e Z a partir da comparação dos tempos de vida experimentais médios (TVem) com os tempos de vida obtidos nas simulações (TVck). A análise dos resultados obtidos a partir da comparação dos dados experimentais com o modelo K mostra que, para correntes de descargas variáveis, o maior erro (4,56%) está relacionado ao perfil 2 (P2), e o menor erro (1,50%) relacionado ao perfil 8 (P8). Desta análise pode-se concluir que o modelo K apresenta desempenho satisfatório quando aplicado para correntes variáveis, tendo um erro médio de 2,87%. A validação do modelo Z, de modo geral, apresenta valores de erros menores do que os erros provenientes do modelo K. O maior erro (5,02%) está relacionado ao perfil 2 (P2), e o menor (0,20%) está relacionado ao perfil 7 (P7). O erro médio foi de 2,09%.

Nas Figuras 3a, b, c e d são comparadas algumas curvas de decaimento da tensão, obtidas através das simulações computacionais dos modelos K e Z com os dados experimentais para diferentes perfis de descarga, constantes e variáveis. Na Figuras 3a e b, foram aplicadas correntes de descargas constantes de 275 e 525mA, respectivamente, e os erros encontrados foram de 3,28 e 1,79% para o modelo K e de 2,48 e 0,06% para o modelo Z. A Figuras 3c e d apresenta o decaimento da tensão para os perfis variáveis P2 e P3, respectivamente, em que o modelo K obteve um erro de 4,56% e 3,43% e o modelo Z resultou em erros de 5,02% e 3,02%.

Conclusões
Neste artigo é apresentada a aplicação de modelos híbridos na predição do tempo de vida de baterias de Li-Po. Os modelos utilizados são formados a partir da união de um modelo elétrico com modelos analíticos, permitindo capturar as características elétricas da bateria e os efeitos não lineares que ocorrem em um processo de descarga.
A validação dos modelos híbridos é realizada a partir da implementação e simulação dos mesmos na ferramenta computacional MatLab/Simulink, e posterior comparação com um conjunto de dados experimentais obtidos a partir da plataforma de testes, utilizando baterias de Li-Po modelo PL 383562-2C. Os resultados mostram que o modelo K obteve um erro médio igual a 2,41% para correntes de descargas constantes e 2,87% para correntes variáveis. O modelo Z obteve um erro médio de 1,12% para correntes constantes e 2,09% para correntes variáveis.
Com isso, conclui-se que os modelos híbridos conseguem prever de forma satisfatória o tempo de vida de baterias. Destaca-se que estes modelos apresentam como vantagem descrever as características elétricas como tensão, bem como as vantagens de modelos analíticos como capacidade indisponível, ambas presentes no processo de descarga das baterias.
MODELAGEM MATEMÁTICA DO TEMPO DE VIDA DE BATERIAS DE ÍON LÍTIO POLÍMERO A PARTIR DE MODELOS HÍBRIDOS
Chen M, Rincón-Mora G (2006) Accurate electrical battery model capable of predicting runtime and I-V performance. IEEE Trans. Energy Conv. 21: 504-511.
da Cunha AB, da Silva Jr DC (2012) Behavioral model of alkaline batteries for wireless sensor networks. IEEE Lat. Am. Trans. 10: 1295-1304.
Doyle M, Fuller TF, Newman J (1993) Modeling of galvanostatic charge and discharge of the lithium/ polymer/ insertion cell. J. Electrochem. Soc. 140: 1526-1533.
Jongerden MR, Haverkort BRHM (2008a) Battery Modeling. CTIT Technical Report Series TR-CTIT-08-01. Design and Analysis of Communication Systems (DACS). Enschede, Holanda. 18 pp.
Jongerden MR, Haverkort BRHM (2008b) Which battery model to use? IET Software 3: 445-457.
Kim T, Qiao W (2011) A hybrid battery model capable of capturing dynamic circuit characteristics an nonlinear capacity effects. IEEE Trans Energy Conv. 26: 1172-1180.
Linden D, Reddy TB (2002) Handbook of Batteries. 3a ed. McGraw-Hill. Nova York, EUA. 1200 pp.
Ma Z, Jiang J, Shi W, Zhang W, Mi CC (2015) Investigation of path dependence in commercial lithiumion cells for pure electric bus applications: Aging mechanism identification. Power Sources 274(15): 29-40.
Manwell JF, McGowan JG (1993) Lead acid battery storage model for hybrid energy systems. Solar Energy 50(5): 399-405.
Rakhmatov D, Vrudhula S, Wallach DA (2002) Battery lifetime prediction for energy-aware computing. Proc. 2002 Int. Symp. Low Power Electronics and Design. pp. 154-159.
Rong P, Pedram M (2006) An analytical model for predicting the remaining battery capacity of lithium ion batteries. IEEE Trans Very Large Scale Integr. (VLSI) Syst. 14(5): 441-451.
Roque WL (2000). Introdução ao Cálculo Numérico - Um Texto Integrado com DERIVE. Atlas. Porto Alegre, Brasil. 256 pp.
Seaman A, Dao T, McPhee J (2014) A survey of mathematics-based equivalent-circuit and electrochemical battery models for hybrid and electric vehicle simulation. Power Sources 256: 410-423.
Tremblay O, Dessaint L (2009) Experimental validation of a battery dynamic model for EV applications. World Electr. Vehicle J. 3: 289-298.
Tremblay O, Dessaint LA, Dekkiche AI (2007) A generic battery model for the dynamic simulation of hybrid electric vehicles. IEEE Vehicle Power and Propulsion Conference. (09/12). Arlington, VA, EUA. pp. 284-289.
Zhang J, Ci S, Sharif H, Alahmad M (2010) An enhanced circuit-based model for single-cell battery. Applied Power Electronics Conference and Exposition. pp. 672-675.
Autor notes
luh.fransozi@hotmail.com