Comunicaciones
Recepción: 16 Julio 2019
Aprobación: 07 Noviembre 2019
Resumen: En este trabajo se identifican las dimensiones que generan el Menor Riesgo de Exclusión Social (MRES) en el sistema de transporte de la ciudad de Cali (Masivo Integrado de Occidente; MIO) y la percepción de sus usuarios en relación con el funcionamiento. Para ello se utiliza un modelo de ecuaciones estructurales, soportado por distintas hipótesis, donde se presentan las diferentes interacciones entre las dimensiones que miden calidad en el servicio, valor percibido, satisfacción, menor riesgo de exclusión e intención de volver a comprar. Se aplicaron 929 cuestionarios a pasajeros en la ciudad de Cali; el método de muestreo empleado fue el aleatorio sistemático. Los resultados muestran como el MRES es un factor determinante para la reutilización del servicio de transporte, para la satisfacción con el mismo y para la percepción de su calidad, lo que significa que la viabilidad y la competitividad del sistema de transporte dependerá del estímulo de estas dimensiones.
Palabras clave: Cali, Calidad en el Servicio, Menor Riesgo de Exclusión Social, Políticas Públicas, Transporte.
Abstract: The dimensions that generate the Lower Risk of Social Exclusion (LRSE) in the transport system of the city of Cali, Colombia (Western Mass Transport Integrated System or Masivo Integrado de Occidente; MIO) are identified, and the perception of its users in relation to its functioning is studied. To this end, a model of structural equations is used, supported by nine hypothesis that consider the different interactions between the dimensions that measure service quality, perceived value, satisfaction, lower exclusion risk and repurchase intention. Employing a systematic random sampling method, 925 questionnaires were applied to passengers in the city of Cali. Results show how the LSRE is a determining factor for the reutilization of the transport system, for the satisfaction with it, and for the perception of its quality, which means that the viability and competitiveness of the transport system will depend upon the stimulus given to these dimensions.
Resumo: Neste trabalho se identificam as dimensões que geram o Menor Risco de Exclusão Social (MRES) no sistema de transporte da cidade de Cali (Massivo Integrado de Ocidente; MIO) e a percepção de seus usuários em relação com o funcionamento. Para isto se utiliza um modelo de equações estruturais, suportado por distintas hipóteses, onde se apresentam as diferentes interações entre as dimensões que medem qualidade no serviço, valor arrecadado, satisfação, menor risco de exclusão e intenção de voltar a comprar. Aplicaram-se 929 questionários em passageiros na cidade de Cali; o método de amostragem utilizada foi o aleatório sistemático. Os resultados mostram como o MRES é fator determinante para a reutilização do serviço de transporte, para a satisfação com este e para a percepção de sua qualidade, o qual significa que a viabilidade e a competitividade do sistema de transporte, dependerá do estímulo de estas dimensões.
Introducción
El avance de la tecnología ha incrementado el parque automotor en el mundo, crecimiento que fue a la par con la urbanización y el desarrollo irregular de áreas urbanas, tal como lo plantean Joewono y Kubota (2007) y Balaji y Srinivasan (2011). Hubo un cambio en la conducta de viaje de las comunidades locales, lo que ocasionó el incremento de los costos sociales, la congestión de tráfico (Balaji y Srinivasan, 2011; Sung y Oh, 2011) contaminación ambiental, resistencia social e interacción espacial (Sung y Oh, 2011). Los cambios en las áreas urbanas, en el estilo de vida y en el comportamiento durante los viajes también han afectado los sistemas públicos de transporte masivo con muchos orígenes y lugares de destino, lo cual ha desplazado la relación tradicional con el centro (Hickman y Hall, 2008).
Las ciudades presentan mayores problemas de tráfico que causan pérdida de productividad, reducción de la cohesión social y carreteras estresantes y frustrantes. Todavía los automóviles privados son ocupados por un solo pasajero (Cebon y Samson, 2012). Estos cambios han influido en las operaciones del transporte urbano y uno de sus impactos más críticos ha sido la construcción de carreteras para el transporte público, lo cual se ha agravado por la disponibilidad de un amplio espectro para escoger los modos de viaje (Joewono y Kubota, 2007). En el siglo XX, los objetivos de planificación del transporte se basaron en la movilidad, con un enfoque en la reducción de la congestión, ahorro de tiempo y la seguridad. (Manaugh et al., 2015).
Para Hensher et al. (2015) hay una presión sobre los gobiernos para que proporcionen un mejor transporte público como alternativa sostenible al uso del automóvil. Además, los responsables de las políticas de planificación del transporte deben considerar los objetivos ambientales, económicos y de equidad social (Xia et al., 2016).
A fin de cambiar la actitud hacia del uso del automóvil privado y el comportamiento de viaje, se requiere hacer del transporte público una opción competitiva, con ventajas percibidas sobre el vehículo particular, que pueda contribuir a cambiar la actitud de las personas hacia el uso del transporte público (Grdzelishvili y Sathre, 2011).
Para Finn (2013), el transporte rápido por bus es considerado un modo de transporte masivo confiable, con presencia en varios países; Suramérica se considera la cuna de este sistema, el cual se ha extendido a China, India, Indonesia, Taiwán, Tailandia, Australia, Estados Unidos, Suráfrica y Nigeria. En Colombia, las siete principales ciudades han implementado estos sistemas, con la esperanza de mejorar la movilidad.
El monitoreo de los servicios ofrecidos es fundamental para el desarrollo de una adecuada política de transporte, lo que determina si las metas establecidas por los operadores están siendo cumplidas o no, y poder determinar las tendencias futuras del servicio de transporte (de Oña et al., 2014). Las relaciones de calidad y la satisfacción con el servicio son muy importantes para reforzar la permanencia del consumidor en el uso de los servicios; un servicio de baja calidad y la insatisfacción representan una de las razones por las cuales los consumidores cambian al proveedor (Liang et al., 2013).
Lo anterior ha motivado este trabajo, que busca identificar las dimensiones que generan el Menor Riesgo de Exclusión Social (MRES) en el sistema de transporte de la ciudad de Cali (Masivo Integrado de Occidente; MIO) y la percepción de sus usuarios en relación con su funcionamiento. El MRES es el constructo más idóneo, de acuerdo con la literatura científica, para explicar la relación con la calidad en el servicio (CS) de transporte, el valor percibido (VP), la satisfacción del consumidor (SC) y la intención de volver a comprar o usar (IVC) el sistema de transporte. Estos son elementos tradicionales del marketing (Stanley et al., 2011), los cuales permiten conocer las percepciones de los pasajeros acerca del desempeño del MIO.
Menor riesgo de exclusión en transporte
Stanley y Lucas (2008) consideran que la exclusión social facilita el entendimiento y la definición de la política social. Sin embargo, no es suficiente para comprender los aspectos necesarios para atender de mejor manera la movilidad y los requerimientos del transporte público. También es útil desde la perspectiva de una política de transporte, porque relaciona los problemas de movilidad y de requerimientos del transporte con su valoración, con los procesos y acciones claves que se entregarán a los operadores (Lucas, 2012).
Xia et al. (2016) han encontrado que la inequidad en el transporte es uno de los factores más importantes que conducen a la exclusión social. Para su medición consideraran tres categorías: a) equidad horizontal: entrega de recursos entre grupos socioeconómicos con capacidad y necesidad equivalentes, b) equidad vertical: enfoque en la distribución de recursos entre grupos socioeconómicos con diferentes capacidades y necesidades y c) equidad vertical con respecto a la necesidad y capacidad de movilidad: centrarse en la equidad de los recursos entre aquellos con necesidades específicas.
Para Stanley y Lucas (2008), los sistemas informales de transporte canalizan las necesidades insatisfechas de transporte de la población en riesgo de exclusión social. Figueroa (2005) considera que la categoría de servicios informales no es buen denominador para ilustrar este tipo de servicios y de vehículos, y se debe entender como servicios que pueden ser legales o ilegales y que operaran en áreas consolidadas y centrales de la ciudad. Su verdadero carácter es el de ser vehículos poco adaptados para el transporte público, de baja capacidad, operados regularmente por sus propios dueños y con un régimen menos estricto o inexistente de responsabilidad y con menor vigilancia pública.
Los ciudadanos de bajos ingresos no utilizan el transporte público por el alto costo del pasaje, por su edad o por estar en la condición de movilidad reducida (SEU, 2002). Mientras la población de mayores recursos hace uso del automóvil privado, en los sectores de menores ingresos la demanda se divide entre aquéllos que tienen una mejor accesibilidad a los medios formales de transporte público y aquéllos que solo disponen de medios informales, degradados e inseguros (Figueroa, 2005).
Stanley et al. (2011) encontraron que un MRES en transporte se asocia con individuos que presentan: a) contacto cotidiano con su familia nuclear, al menos una vez por mes, b) contacto frecuente con la extendida, c) confianza general- mente en todas las personas, d) altos ingresos y e) alto porcentaje de viajes. Este aspecto ha sido poco estudiado; sin embargo, se encontró en la literatura que el MRES explica mejor la relación con la calidad del servicio de transporte, desde la perspectiva de los usuarios del MIO (Stanley et al., 2011). Para Lodovici y Torchio (2015), el transporte público desempeña un papel crucial para agravar o mitigar la exclusión social de los grupos vulnerables y desfavorecidos, por el efecto que tiene sobre su acceso a los servicios básicos, el empleo y las relaciones sociales.
Hipótesis de la Investigación
Este trabajo tiene el propósito de identificar las dimensiones que generan el MRES en el sistema de transporte (MIO) de la ciudad de Cali y determinar la percepción de los usuarios en relación con el funcionamiento del sistema. Para ello se formulan hipótesis a partir de planteamientos que pueden explicar la relación del MRES con otras relaciones tradicionales del marketing, tales como calidad del servicio, valor percibido, satisfacción e intención de volver a comprar o usar. A partir de diversas teorías se determinan los vínculos que se encuentran en estas relaciones, lo que representa lo novedoso de la investigación. El desarrollo de estos conceptos tiene validez en este trabajo, a pesar de haber sido evaluados en otros estudios anteriores, ya que hasta la fecha no habían sido relacionados con el MRES. La revisión de la literatura permitió el planteamiento las siguientes hipótesis:
H1: existe una relación directa y positiva entre la CS y el VP.
H2: existe una relación directa y positiva entre la CS y MRES.
H3: existe una relación directa y positiva entre la CS y la IVC.
H4: existe una relación directa y positiva entre CS y la SC.
H5: existe una relación directa y positiva entre SC y la IVC.
H6: existe una relación directa y positiva entre VP y la SC.
H7: existe una relación directa y positiva entre VP e IVC.
H8: existe una relación directa y positiva entre MRES y la SC.
H9: existe una relación directa y positiva entre MRES e IVC.
De acuerdo con las consideraciones teóricas y la revisión de varios modelos, se determinó que el modelo que mejor explica cuales son las dimensiones que afectan el acceso a los Sistemas Integrados de Transporte Masivo (SITM) y muestra las relaciones planteadas, se presenta en la Figura 1.

Marco Metodológico
Las dimensiones para evaluar la calidad del servicio, el valor percibido, el riesgo de exclusión social, la satisfacción del consumidor y la intención de volver a usar el SITM se obtuvieron a través del análisis de la literatura disponible. Dichos estudios fueron seleccionados de revistas que figuran en las bases de datos Ebsco, ISI, Science Direct, Jstor; entre otras. Este trabajo identifica las dimensiones que conforman el menor riesgo de exclusión en transporte y se evalúa la condición en que se encuentran los usuarios del MIO en Cali, en relación con el riesgo de exclusión del sistema.
El estudio hace uso de la información suministrada por 929 usuarios del MIO de la ciudad de Cali, Colombia, con edades entre 13 y 80 años, a partir de una muestra representativa con un nivel de confianza del 95% y un error del 3,4%. El tamaño de la muestra quedó determinado en 831 usuarios, lo cual se ajustó. Los informantes fueron escogidos en 30 estaciones del sistema, por donde transita el 80% de los pasajeros. El método de muestreo empleado fue el aleatorio sistemático, en el cual, por cada cinco usuarios, se escogió uno. La recolección de la información y el procesamiento de información se llevó a cabo entre el 5 de agosto de 2014 y el 3 de septiembre del 2015.
Una vez diseñado el primer cuestionario, este fue discutido y validado por la Dirección de Operaciones del SITM en la ciudad. Además, antes de la iniciación del trabajo de campo, se realizó un pre-test. Los resultados obtenidos fueron de utilidad para ajustar y adecuar la redacción de las preguntas a la terminología local, así como también, para modificar y eliminar algunas de éstas. El tamaño escogido para la prueba fue de 50 y se ajustó, por la no respuesta, a 60, correspondiendo a dos usuarios por cada una de las 30 estaciones seleccionadas, hasta llegar a un total de 60 aplicaciones.
La depuración de los ítems fue realizada a través del cálculo del coeficiente alfa de Cronbach, Los resultados de la prueba fueron buenos, debido a que únicamente se realizaron ajustes menores en la redacción de algunas cuestiones y se excluyeron aquellos ítems cuya correlación era muy baja. El cuestionario pasó de 59 ítems a 56, en su versión definitiva.
El cuestionario diseñado para este estudio consta de tres secciones, la A se denomina ‘información general del usuario’ y está integrada por variables sociodemográficas que permiten tener un perfil de los usuarios del MIO; consta de ocho puntos, a saber: sexo, edad, estrato, ocupación, educación, motivos para viajes, número de viajes por semana y auto reconocimiento racial. Las dos secciones siguientes evalúan los aspectos relacionados con cada una de las partes que conforman el modelo de la Figura 1, con la presentación de las afirmaciones seleccionadas a partir del análisis de la literatura.
Se utiliza un modelo de ecuaciones estructurales, donde se presentan las diferentes interacciones entre las dimensiones que miden calidad en el servicio, valor percibido, satisfacción, riesgo de exclusión e intención de volver a comprar (Figura 1).
Una vez terminado el proceso de recepción de los cuestionarios, se procedió a la digitalización de los datos, mediante la creación de una base de datos en el programa Excel y procesador de palabra Word, para su uso posterior en los programas estadísticos SPSS y el paquete informático LISREL 8.8 (técnica de ecuaciones estructurales).
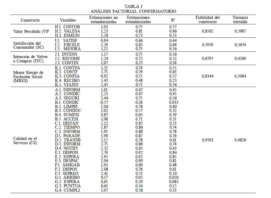
La agrupación de variables que conforma cada indicador se propuso con base en argumentos de tipo teórico; sin embargo, antes de continuar con el análisis, se corroboró esta conformación por medio de un análisis factorial confirmatorio (Tabla I). Se pueden observar las estimaciones estandarizadas y no estandarizadas para los constructos valor percibido, satisfacción, intención de volver a comprar; en ellos, se aprecia que no se presenta ninguno de los problemas más comunes, como las estimaciones erróneas o no admisibles, parámetros no identificados o falta de convergencia del algoritmo de estimación. Dichas medidas, para el constructo ‘Inglobal’, fueron calculadas con los coeficientes estandarizados, y se obtuvieron los siguientes resultados:

De acuerdo con los datos de la Tabla I, se puede afirmar que cuatro de los cinco constructos son fiables, ya que superan el valor de referencia de 0,70 sugerido por Hair (2001) y por Ancona (2002). Solo uno (IVC) se encuentra ligeramente por debajo del valor de referencia; se encontró una fiabilidad de constructo de 0,6797 y una varianza extraída de 0,4269. Por lo anterior, se puede afirmar que es un constructo de moderada fiabilidad. Todos los constructos obtuvieron valores próximos, o superiores al valor de referencia.
Especificación del modelo causal y su identificación
En el modelo teórico, se establecen relaciones de causalidad entre una serie de variables observadas y latentes. Relaciones causales hipotéticas que exigen su contrastación empírica para su aceptación o rechazo en los niveles de probabilidad fijados por el investigador.
El modelado de ecuación estructural incluye dos submodelos o componentes: a) el modelo estructural (o de variables latentes) y b) el modelo de medición.
Contraste de Hipótesis
Los hallazgos (Tabla II) dan soporte a las hipótesis H1, H2, H6, H8 y H9. Se probó que la calidad percibida tiene un efecto directo y positivo sobre el valor percibido y menor riesgo de exclusión. El valor percibido tiene un efecto directo y positivo sobre la satisfacción del cliente. El menor riesgo de exclusión tiene un efecto directo y positivo sobre la satisfacción del consumidor y la intención de volver a comprar. El conocimiento de los efectos positivos de la calidad percibida sobre el MRES y de este en la satisfacción y en la intención de volver a comprar, representa un aporte novedoso y fundamental para los planificadores y los oferentes del sistema de transporte masivo de la ciudad de Cali.

La bondad de ajuste global del modelo (Tabla III) está reflejada en los valores de los distintos indicadores según los planteamientos de Hair et al. (2001). En relación con χ2(498)= 3949,40; p= 0,000; el valor de χ2 es elevado respecto a los grados de libertad porque, al ser significativo (p≤0,05) supone que el ajuste del modelo empírico al teórico no es bueno. Esto se debe a que la hipótesis nula expresa que el modelo ajusta los datos perfectamente, mientras que la hipótesis alternativa informa un mal ajuste de los datos.

Con respecto al RMSEA, cuanto más pequeño es su valor, mejor es el ajuste del modelo. Un RMSEA= 0,0 corresponde a un modelo que ajusta perfectamente. Los valores recomendados para un buen ajuste oscilan entre 0,00 y 0,05, inclusive. Un RMSEA entre 0,05 y 0,08 expresa un error razonable de aproximación del modelo. Cuando RMSEA es ≥0,1 significa que el modelo es totalmente no aconsejable.
El índice de bondad de ajuste (GFI) es una medida del ajuste global del modelo. Su valor oscila entre 0,0 y 1,0. Un GFI= 0,0 indica un mal ajuste del modelo, mientras que un GFI= 1 expresa un ajuste perfecto. En el modelo calculado, se obtuvo un valor aceptable del GFI= 0,78.
Otra de las medidas de bondad de ajuste es el RMSR, que se basa directamente en los residuos. Si estos se aproximan a 0, el valor de RMSR será 0, lo que significa que el ajuste es perfecto. En general, cuanto más bajo sea su valor, mejor el ajuste. Al igual que sucedió con el GFI, el estadístico de bondad de ajuste, RMSR obtuvo un valor aceptable (RMSR= 0,056).
Adicionalmente, se consideró el índice AGFI, que es un índice de bondad de ajuste muy similar al GFI. Su rango de valores va de 0,0 (inexistencia de ajuste) a 1,0 (ajuste perfecto). Para el modelo calculado, se obtuvo un AGFI= 0,73 que se puede considerar como aceptable.
Con respecto a la fiabilidad de las medidas, el coeficiente de correlación múltiple cuadrado R2 es usualmente utilizado como una medida directa de fiabilidad. De acuerdo con este coeficiente, un indicador se considera fiable, cuando su correspondiente valor se aproxima a 1. Se consideran aceptables valores superiores a 0,5. Un valor de R2= 0,0 indica inexistencia de fiabilidad.
Resultados y Análisis
De acuerdo con lo anterior, se comprobó que la calidad percibida presenta un efecto positivo en el valor percibido y en el menor riesgo de exclusión social en transporte. A su vez, el valor percibido afecta positivamente a la satisfacción del usuario. Así mismo, el menor riesgo de exclusión en transporte afecta directamente la satisfacción del usuario y su intención de volver a comprar.
En cuanto a las variables que conforman la calidad del servicio, los usuarios están ‘de acuerdo’ con las distancias, con las paradas, la información que proporcionan, las condiciones y la seguridad de estaciones del sistema integrado de transporte. También lo están con las condiciones a bordo de los vehículos, tales como la limpieza, la conducta de conducción y el suministro de información. Pero ‘no están de acuerdo’ con los tiempos de espera, la información en los puntos de trasbordo, la impuntualidad y la falta de buses del MIO.
En relación con la satisfacción, están ‘muy insatisfechos’ con el servicio y no creen que se hayan superado sus expectativas, ni en la excelencia del servicio prestado. Los usuarios del sistema de transporte en su evaluación manifestaron estar ‘de acuerdo’ con recomendarlo, reutilizarlo y continuar con el uso del servicio.
Dentro del grupo de variables que conforman el menor ‘riesgo de exclusión’, los usuarios del sistema afirman tener contacto frecuente con su familia y la realización de muchos viajes en la semana, mientras que demuestran tener desconfianza en las personas al interior de los vehículos del sistema integrado de la ciudad y muy bajos ingresos, situación que ubica a los usuarios del sistema de transporte en riesgo de exclusión de este.
La identificación de los riesgos de exclusión social en transporte de los usuarios del sistema de transporte masivo de la ciudad de Cali es fundamental para que las autoridades pertinentes desarrollen los correctivos y las mejoras que posibiliten la reducción de estos. De no hacerlo la fuga de los usuarios del sistema seguirá en aumento, lo que implicaría consecuencias negativas para el futuro del MIO.
De otro lado, la percepción de los menores riesgos de exclusión permite una mejor comprensión de los motivos de la deserción de los pasajeros del transporte masivo de Cali y abre la puerta para el establecimiento de planes y políticas que posibiliten la reducción del flujo de salida de pasajeros del sistema formal, mediante uso de herramientas como la gestión del riesgo aplicada al sector transporte.
Discusión y Conclusiones
Se demostró que los usuarios del sistema están identificados con las distancias entre estaciones, sus condiciones, su seguridad y la de los paraderos; también con las condiciones al interior de los vehículos en cuanto a la limpieza, la conducta de conducción del motorista y la entrega de la información. Además, con la ubicación de los paraderos, trasbordos y la información sobre rutas. Esto es congruente con las investigaciones de Tyrino-poulos y Constantinos (2008) y Grdzelishvili y Sarthe (2011). Por otra parte, están en desacuerdo con el soporte administrativo, la falta de buses del MIO y el largo tiempo que transcurre esperando la llegada de estos.
Se comprobó que la calidad percibida de los usuarios tiene una influencia positiva sobre su valor percibido, lo que es acorde con los trabajos de Lin et al. (2008),Lai y Chen (2011),Vera y Trujillo (2013) y Özer et al. (2013). Sin embargo, no se encontró influencia de la calidad percibida en la continuidad de uso del sistema de transporte, ni en la satisfacción que esta le pueda proporcionar como pasajero. Esto va en contravía con los trabajos de Joewono y Kubota (2007),Kim y Lee (2010), Lai y Chen (2011) y Tseng (2012).
Así mismo, se confirmó que el valor percibido del MIO sí ejerce un impacto positivo sobre su satisfacción, lo que obliga a los operadores a aumentar la percepción de valor si desean mantener a los usuarios. No se encontró relación del valor del sistema con la intención de reutilización del servicio por parte de los usuarios, lo que es contrario a los hallazgos de Lin et al. (2008) y Im et al. (2015).
Se verificó que el MRES es un factor determinante para la intención de volver a usar el servicio de transporte, para la satisfacción con el mismo y para la percepción de su calidad. El conocimiento de estas relaciones es importante si se quiere retener a los usuarios actuales y atraer a los potenciales usurarios, lo cual está en la misma dirección de los hallazgos de SEU (2002), Stanley y Lucas (2008),Lodovici y Torchio (2015). Ello significa que la viabilidad y la competitividad del MIO dependerá del estímulo de las dimensiones de menor riesgo, como son: contacto con la familia nuclear, contacto con la familia extendida, confianza en las personas, altos ingresos y alto porcentaje de viajes (Stanley et al., 2011). Estos hallazgos son significativos y es importante determinar su efecto en el MRES cuando son altos o bajos, en relación con los usuarios del sistema de transporte. Estos resultados son consecuentes con las posturas de Figueroa (2005) y Stanley et al. (2011).
Adicionalmente, se encontró que los usuarios están muy insatisfechos con el servicio de transporte que actualmente ofrece la ciudad, que no supera sus expectativas. Este hallazgo puede traer consecuencias como las planteadas por Liang et al. (2013), quienes afirman que un bajo nivel de calidad en el servicio e insatisfacción representan una de las razones por las cuales los consumidores abandonan o no acceden al servicio.
A partir de la revisión teórica presentada, el contraste empírico de las hipótesis y las conclusiones permiten presentar varias implicaciones de interés para transportadores, operadores, legisladores, gobernantes, calidad en el servicio y la gestión del marketing.
La Secretaria de Transporte y Metrocali (operador del MIO) deben continuar sus esfuerzos para establecer mecanismos tendientes a satisfacer, a plenitud, las necesidades de movilidad de los habitantes de la ciudad. Es necesario mejorar la calidad y competitividad del servicio actual con el fin de desestimular el uso del transporte informal y el vehículo particular.
El gobierno local debe estimular los factores que permiten aumentar el MRES en transporte y reducir los que posibilitan el riesgo de exclusión. Para ello, es importante fortalecer contacto con la familia nuclear, contacto con la familia extendida, confianza en las personas, altos ingresos y alto porcentaje de viajes, en los usuarios del MIO. Explorar estrategias que tengan en cuenta los elementos anteriores; de esta manera se estaría mejorando la intención de volver a comprar, la satisfacción del consumidor y la calidad en el servicio de transporte.
Es fundamental mejorar el funcionamiento del MIO en lo relacionado con tiempos de espera, información en los puntos de trasbordo, falta de buses, programación de despachos de los vehículos y la puntualidad si se desea lograr un alto valor percibido y ejercer un impacto positivo sobre la satisfacción. De esta manera, disminuirían las protestas y los bloqueos al sistema de transporte debidos al deficiente servicio que presta.
REFERENCIAS
Ancona MA (2002) Análisis Multivariable. Teoría y Práctica en la Investigación Social. Síntesis. Madrid, España. 200 pp.
Balaji PG, Srinivasan D (2011) Type-2 fuzzy logic based urban traffic management. Eng. Applic. AI 24: 12-22.
Cebon P, Samson D (2012) Using real time information for transport effectiveness in cities. City Cult. Soc. 2: 201-210.
de Oña R, Eboli L, Mazzulla G (2014) Monitoring changes in transit service quality over time. Procedia - Soc. Behav. Sci. 111: 974- 983.
Figueroa O (2005) Transporte urbano y globalización. Políticas y efectos en América Latina. EURE 31(94): 41-53.
Finn B (2013) Organizational structures and functions in Bus Rapid Transit, and opportunities for private sector participation. Res. Transp. Econ. 39: 143-149.
Grdzelishvili I, Sathre R (2011) Understanding the urban travel attitudes and behavior of Tbilisi residents. Transp. Policy 18: 38-45.
Hair JF, Anderson RE, Tatham RL, Black WC (2001) Análisis Multivariante. Trad. Prentice E, Cano D. 5ª ed. Prentice Hall. Madrid, España. 814 pp.
Hensher D, Ho CH, Mulley C (2015) Identifying preferences for public transport investments under a constrained budget. Transp. Res. A 72: 27-46.
Hickman R, Hall P (2008) Moving the city east: Explorations into contextual public transport-orientated development. Plann. Pract. Res. 23: 323-339.
Im S, Bhat S, Lee Y (2015) Consumer perceptions of product creativity, coolness, value and attitude. J. Bus. Res. 68: 166-172.
Joewono TB, Kubota H (2007) User satisfaction with paratransit in competition with motorization in Indonesia: anticipation of future implications.Transportation 34: 337-354.
Kim YK, Lee HR (2010) Customer satisfaction using low cost carriers. Tourism Manag. 30: 1-9.
Lai W, Chen Ch (2011) Behavioral intentions of public transit Passengers — The roles of service quality, perceived value, satisfaction and involvement. Transp. Policy 18: 318-325.
Liang D, Ma Z, Qi L (2013) Service quality and customer switching behavior in China's mobile phone service sector. J. Bus. Res. 66: 1161-1167.
Lin J, Lee T, Jen W (2008) Assessing asymmetric response effect of behavioral intention to service quality in an integrated psychological decision-making process model of intercity bus passengers: a case of Taiwan. Transportation 35: 129-144.
Lodovici M, Torchio N (2015) Transportes y Turismo. Dirección General de Políticas Interiores de la Unión. Departamento Temático B: Políticas Estructurales y de Cohesión. Parlamento Europeo, Unión Europea.
Lucas K (2012) Transport and social exclusion: ¿Where are we now? Transp. Policy 20: 105-113.
Nelson JD, Phonphitakchai T (2012) An evaluation of the user characteristics of an open access DRT service. Res. Transp. Econ. 34: 54-65.
Manaugh K, Badami M, El-Geneidy A (2015) Integrating social equity in to urban transportation planning: Acritical evaluation of equity objectives and measures in transportation plans in North America. Transp. Policy 37: 167-176.
Özer A, Argan MT, Argan M (2013) The effect of mobile service quality dimensions on customer satisfaction. Procedia - Soc. Behav. Sci. 99: 428-438.
SEU (2002) Interim Findings. Social Exclusion Unit. Londres, RU.
Stanley J, Lucas K (2008) Social exclusion: ¿What can public transport offer? Res. Transp. Econ. 22: 36-40.
Stanley JK, Hensher DA, Stanley JR, Vella-Brodrick D (2011) Mobility, social exclusion and well-being: Exploring the links. Transp. Res. A 45: 789-801.
Sung H, Oh J (2011) Transit-oriented development in a high-density city: Identifying its association with transit ridership in Seoul, Korea. Cities 28: 70-82.
Sweeney JC, Soutar G (2001) Customer Perceived Value: The development of a multiple item scale. J. Retail. 77: 203-220.
Tseng S (2012) Correlations between external knowledge and the knowledge chain as impacting service quality. J. Retail. Cons. Serv. 19: 429-437.
Tyrinopoulos Y, Constantinos A (2008) Public transit user satisfaction: Variability and policy implications. Transp. Policy 15: 260-272.
Vera J, Trujillo A (2013) Service quality dimensions and superior customer perceived value in retail banks: An empirical study on Mexican consumers. J. Retail. Cons. Serv. 20: 579-586.
Xia J, Nesbitt J, Daley R, Najnin A, Litman T, Tiwari P (2016) A multidimensional view of transport-related social exclusion: A comparative study of Greater Perth and Sydney. Transp. Res. A 94: 205-221.
Notas de autor
henry.mosquera@correounivalle.edu.co