Comunicaciones
FACTORES DE DESERCIÓN ESTUDIANTIL: UN ESTUDIO EXPLORATORIO DESDE PERÚ
FATORES DE EVASÃO ESTUDANTIL: UM ESTUDO EXPLORATÓRIO NO PERU
FACTORS OF STUDENT DESERTION: AN EXPLORATORY STUDY FROM PERU
FACTORES DE DESERCIÓN ESTUDIANTIL: UN ESTUDIO EXPLORATORIO DESDE PERÚ
Interciencia, vol. 45, núm. 12, pp. 568-573, 2020
Asociación Interciencia
Recepción: 29 Agosto 2019
Corregido: 16 Diciembre 2020
Aprobación: 30 Diciembre 2020
Resumen: El objetivo de este estudio fue identificar los factores causantes de la deserción estudiantil en la Escuela Profesional de Ingeniería de Industria Alimentaria de la Universidad Nacional de San Agustín, Arequipa, Perú, resultado de factores individuales, académicos, socioeconómicos e institucionales. Se utilizó una metodología de carácter causal basada en un modelo de análisis de regresión logística. De un total de 220 encuestados se concluye que existe una alta significancia en el sentido de pertenecer (desertores y no desertores) a un mismo universo de estudio. Entre las principales conclusiones, los factores individuales y académicos tienen una relación positiva y significativa con la deserción, al igual que el nivel de educación del padre y la madre. Sin embargo, el factor socioeconómico no influye estadística y significativamente en el proceso de deserción, al igual que el factor institucional, como lo plantean diferentes autores. Finalmente, es importante expresar que la investigación es de carácter exploratorio y que constituye una base preliminar para realizar investigaciones más concluyentes.
Palabras clave: Deserción Estudiantil, Educación Superior, Factor Académico, Factor Individual, Retención.
Resumo: O objetivo deste estudo foi identificar os fatores causantes da evasão de estudantes na Escola Profissional de Engenharia da Indústria de Alimentos da Universidade Nacional de San Agustín, Arequipa, Peru, resultado de fatores individuais, acadêmicos, socioeconômicos e institucionais. Foi utilizada una metodologia de caráter causal baseada em um modelo de análise de regressão logística. De um total de 220 entrevistados, conclui-se que existe alta significância no sentido de pertencer (evasor e não evasor) a um mesmo universo de estudo. Entre as principais conclusões, os fatores individuais e acadêmicos têm uma relação positiva e significativa com a evasão, assim como o nível de educação do pai e da mãe. No entanto, o fator socioeconômico não incide estatística e significativamente no processo de evasão, assim como o fator institucional, como colocado por diferentes autores. Finalmente, é importante expressar que a pesquisa é de caráter exploratório e que constitui uma base preliminar para realizar pesquisas mais conclusivas.
Abstract: This paper analyzes the problem of student desertion in the professional school of Food Industries Engineering, Universidad Nacional de San Agustín, Arequipa, Peru, due to individual, academic, socio-economic and institutional factors. The logistic regression model was used to identify the determinants of withdrawal. A causal methodology based on a logistic regression analysis model was used. From a total of 220 surveyed subjects, it is concluded that there is a high significance in the sense of belonging (dropouts and non-dropouts) to the same universe of study. Also, among the main conclusions, individual and academic factors have a positive and significant relationship with desertion, as well as the level of parents’ education. However, the socioeconomic factor does not influence statistically and significantly in the desertion process, as well as the institutional factor, as proposed by different authors. Finally, it is important to express that the study is exploratory and that it represents a preliminary basis for conducting more conclusive investigations.
Introducción
El fenómeno de la deserción en la educación superior dejó de ser una problemática que solo involucra a las instituciones de educación superior; involucra a la sociedad en su conjunto. Según Himmel (2002) se entiende por deserción el abandono prematuro de un programa de estudios, antes de alcanzar el título o grado. La temática de la deserción estudiantil en la actualidad constituye el principal problema que enfrentan las universidades al momento de validar su oferta educativa en el ámbito de la educación superior. En América Latina, los índices más altos de abandono en educación superior corresponden a Guatemala, Uruguay y Bolivia, con 82, 72 y 73%, respectivamente (Pineda et al., 2010). Lo anterior representa que si bien los estudios han contribuido, siendo un referencial al momento de implementar políticas o acciones que respondan al problema de la deserción o retención en los estudiantes de educación superior, no han sido suficiente para que este problema haya sido superado. Por el contrario, es un reto pendiente, sobre todo cuando se analizan los diferentes aportes teóricos donde diversos autores aún no han logrado responder a dicha situación.
Para la sociedad, la deserción impacta en ámbitos complejos al involucrar aspectos tanto económicos como sociales, lo que la transforma en un estudio multidisciplinario que repercute directamente sobre el estado de desarrollo de los países, especialmente en aquellos que se encuentran en vías de desarrollo. Tales alcances no solo repercuten en el estudiante, sino también en las familias, las instituciones de educación y en el país. En este contexto, las organizaciones educacionales de nivel superior se ven obligadas a desarrollar políticas de integración, tanto en los ámbitos académicos como social desde la particularidad del alumno como en su contexto sociocultural y económico (Fernández et al., 2014). Bajo este planteamiento, la presente investigación busca identificar los factores que inciden en el incremento del fenómeno de la deserción en instituciones de educación superior. Para ello, se analizó la teoría y estudios existentes contextualizando este fenómeno en el caso peruano.
La educación superior en Perú no se encuentra alejada del fenómeno de la deserción. El nuevo escenario del país en cuanto a mejorar la forma de vida, la mayor vinculación del país gracias a la apertura de su economía y la tendencia a la globalización de los mercados, han modificado las expectativas de desarrollo en la población juvenil del país. Con un total de 142 universidades públicas y privadas (Pachari, 2016) formalmente reconocidas, sus principales tendencias se observan en materia de acceso a la educación superior, donde el crecimiento de la demanda en el pregrado universitario es significativa (Rodriguez y Montoro, 2013); es decir, la relación entre el número de egresados de la educación secundaria (demanda potencial) y el número de participantes en los procesos de selección a las instituciones de educación superior o demanda efectiva (cifras que han ido en incremento desde el 2010) es claramente menor. De acuerdo con los datos publicados por el Ministerio de Educación el año 2017 (Pachari, 2016), la deserción universitaria en el Perú alcanza el 30%, siendo motivada especialmente por la falta de una buena orientación vocacional y por razones económicas.
En el ámbito de los estudios referente a la deserción las investigaciones son pocas, centrándose especialmente en universidades privadas. Lo anterior a pesar del interés internacional que tal fenómeno significa y los índices que incrementan en causales de abandono de la educación superior. De allí se desprende la pertinencia de investigar en profundidad la deserción según el contexto de desarrollo del estudiante en sus primeros años (entorno familiar), las características de desarrollo de la ciudad donde vive, el establecimiento donde desarrolla su formación básica como secundaria (media) y las características de la institución superior seleccionada, variables que deben ser analizadas al momento de emprender acciones en respuesta a la deserción que se presente en una institución de educación superior (Habley et al, 2012).
Esta investigación se desarrolla relacionando las variables que corresponden a las características individuales, académicas, socioeconómicas e institucionales que son las que se han observado en diferentes estudios y que se desean comprobar, en este caso particular, en la Universidad Nacional de San Agustín Arequipa, Perú, universidad nacional fundada por Simón Bolivar el 11 de noviembre de 1828.
Marco Teórico
Los estudios sobre la deserción y su explicación en la educación superior son escasos y dirigidos en su mayoría a estimaciones cuantitativas del fenómeno, como lo plantea Himmel (2002), bajo la mirada sociológica y psicológica, predominando el enfoque del ‘modelo organizacional’ planteado inicialmente por Tinto (1986, 1993). Dicho análisis identifica una serie de criterios individuales, socioeconómicos, académicos e institucionales que impactan en el estudiante al momento de plantearse la opción de seguir o desertar sus estudios superiores. Otra aproximación realizada por este autor plantea la importancia que generan las políticas de apoyo financiero que una institución de educación superior proponga u ofrezca a sus estudiantes. La permanencia de continuar los estudios superiores se ve influenciada por un aspecto económico. Las causas y consecuencias de la conducta de deserción son la valoración de la utilidad, los costos y los beneficios (Cabrera et al., 1992, 1993), estableciendo la relación de beneficios sociales y económicos asociados al estudiante, los que tienen una incidencia en la percepción (positiva o negativa) para la retención del estudiante en la institución (Santelices et al., 2015).
En las últimas décadas se han desarrollado diversos modelos conceptuales que buscan responder al fenómeno de la deserción en la educación universitaria. A partir de dichos aportes es posible identificar cinco enfoques que explican la deserción bajo las perspectivas psicológicas, sociológicas, económicas, de organización y de interacción.
El enfoque de interacción se encuentra representado por el modelo de Tinto (1975, 1986, 1987,1997), autor con aportes mayores en el campo de la investigación referido a la deserción y retención universitaria. El análisis planteado en sus inicios por Tinto (1975) corresponde a la continuación del modelo de Spady (1970). Este último entrega un protagonismo relevante a las instituciones de educación superior en su rol de generadoras de resultados (capital humano) para la sociedad. Tinto también incorpora en su análisis la teoría de intercambio de Nye (1979), en la cual se plantea que los seres humanos eluden cualquier conducta que implique o represente algún costo para ellos; en cambio, buscan recompensas en las relaciones, interacciones y estados emocionales. Lo anterior lleva a la construcción de la integración social y académica, que se podrá expresar en metas y niveles de compromiso institucional. Es así que los beneficios entregados por la universidad son percibidos como mayores que los costos incurridos por los estudiantes, quienes por tanto permanecerán en la institución. Contrariamente, si el estudiante percibe un beneficio mayor por concepto de otra actividad externa a la que puede ofrecer una institución, el estudiante tenderá a desertar. Dicho modelo por tanto afirma que un estudiante, durante su proceso de permanencia en una institución de educación superior, se ve enfrentado a la presencia de diversas variables que contribuyen a reforzar su compromiso inicial y adaptación para con la institución seleccionada. Se entiende entonces que al ingresar a estudiar el alumno trae consigo una serie de características que influyen sobre la experiencia universitaria o postsecundaria. El modelo también hace referencia a las características iniciales de ingreso a la universidad que trae un estudiante, tales como los antecedentes familiares, nivel socioeconómico y cultural de la familia, los valores, atributos personales y, finalmente, la experiencia universitaria previa. En resumen, mientras más se refuerce el compromiso del estudiante con la posibilidad de obtener un título o concluir sus estudios universitarios y complementarios a ello, los aportes que la institución puede generar en el estudiante en el rendimiento académico y la integración social, menos probable será que el estudiante abandone sus estudios.
En esta misma corriente Bean (1980,1983, 1985) complementa el modelo de Tinto (1982) incorporando el modelo de la productividad de las organizaciones laborales. En éste las variables del ambiente organizacional se ven reemplazadas por las variables del entorno de la educación superior, identificando cuatro tipos de variables: académicas, psicológicas, ambientales y sociales (sociabilización). En trabajo posterior Bean y Vesper (1990) justifican la importancia de los factores no cognitivos (actitudes, aspiraciones, motivaciones, intereses), ambientales y organizacionales, los que tendrían una trascendencia en la deserción de los estudiantes. Otros enfoques igualmente relevantes son los de Pascarella (1985) y Pascarella y Terenzini (1991), quienes reconsideran los análisis anteriores de Tinto y Bean, proponiendo cinco grupos de características relevantes para la comprensión de la deserción: personales, estructura de la institución, entorno institucional, interacciones y esfuerzo.
Según el estudio publicado por el Centro Interuniversitario de Desarrollo (CINDA, 2016), Perú a pesar de su crecimiento en cuanto a matricula presenta un escenario desregulado y desordenado, alcanzando una cobertura en educación superior de un 40,6%, predominando el acceso a instituciones de educación superior privadas por sobre las públicas.
Vázquez y Cabrera (2004), en su investigación referente a los determinantes del éxito que inciden en dar término al bachillerato en la Universidad de Puerto Rico, estudio que involucró seis años, concluyeron que el ingreso económico tiene un efecto significativo sobre la probabilidad del éxito o permanencia estudiantil; así mismo se identificó que ni el género (característica individual) ni la generación universitaria son estadísticamente significativos en la deserción. Castaño et al. (2006), en su análisis referente a los factores asociados a la deserción estudiantil en la educación superior, hacen un seguimiento de los estudiantes desde el inicio de sus estudios hasta que se presenta el evento de la deserción y lo relacionan con un conjunto completo de factores que teóricamente pueden influir en el tiempo de permanencia de un estudiante en la institución. Lopera (2008) estudió los determinantes de la deserción en la Facultad de Economía Universidad del Rosario, en Colombia, donde considera los factores individuales, académicos y socioeconómicos sobre el riesgo de desertar; de los resultados se concluye que los estudiantes con mayor riesgo de deserción corresponderían a los estudiantes de sexo masculino, aquellos que presentan mayor vinculación con el mercado laboral y aquellos estudiantes provenientes de otras regiones.
En la bibliografía referenciada se puede apreciar las diferentes evoluciones que ha presentado el estudio de la deserción, donde en su mayoría destacan la importancia de comprender el contexto de desarrollo de quienes participan en el mercado de la educación superior. La presente investigación se desarrolla utilizando como base el enfoque de interacción planteado por Tinto (1982), debido a las características de la institución en estudio y el tipo de estudiante como su entorno. La Tabla I resume las características determinantes de la deserción estudiantil.

Método
La metodología de análisis de la deserción seguida en este estudio es de naturaleza causal, como lo son los factores de deserción de los alumnos en Perú. En la Escuela de Ingeniería de Industrias Alimentarias de la Universidad Nacional de San Agustín Arequipa, Perú, se tomó una encuesta a 110 alumnos que habían desertado y a otros 110 que se encuentraban cursando la carrera, con edades entre 21 y 25 años, un 48% de ellos con un nivel socioeconómico bajo y un 37% de sexo femenino. El 35% de los que desertaron lo hicieron a partir del segundo año de estudios. El estudio se llevó a cabo a lo largo de un período de cinco años consecutivos. La forma de tomar la muestra fue utilizando el muestreo aleatorio simple. Se definió una probabilidad de ocurrencia de 0,5 con el propósito de obtener el máximo de varianza en la determinación de la muestra.
El estudio es de tipo cuantitativo; se realizó un análisis empírico de los datos a través de técnicas estadísticas, de análisis factorial y regresión logística, debido a que se quiso determinar las causas de la deserción de los estudios universitarios y qué variables influyen en esta decisión. El modelo considerado fue el modelo de interacción propuesto por Tinto (1982), el cual plantea la deserción con relación a las características individuales e institucionales que se presentan.
Determinación del tamaño muestral
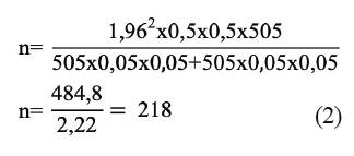
Para el cálculo del tamaño de la muestra se empleó la fórmula estadística para poblaciones finitas y de proporciones (Pachari, 2016):
(1)donde n: tamaño de la muestra; Z: nivel de confiabilidad 95%= 1,96; P: probabilidad de ocurrencia 0,5; Q: probabilidad de no ocurrencia 1-0,5= 0,5; N: población= 505; e: error de muestreo 0,05 (5%).
(2)Variables y factor asociado
En la Tabla II se presenta la información correspondiente a las variables analizadas con sus respectivas dimensiones. La verificación del modelo se realizó a través de un análisis factorial comprobatorio de variables. Seguidamente se aplicó un análisis de componentes principales para disminuir el número de variables y construir los factores determinantes.

Modelo matemático
La variable dependiente es dicotómica; es decir, toma dos valores (1 o 0), mientras las variables independientes y de control son métricas y no métricas, para lo cual la técnica estadística que se considera más apropiada es la regresión logística:
(3)donde f es la función logística.
(4)y, por consiguiente, se tiene que
(5)donde la expresión P(y=1) indica que la probabilidad de ocurrencia de deserción estudiantil y viene determinada por una combinación de variables.
(6)Tomando logaritmos en la expresión anterior se obtiene una expresión lineal para el modelo:
(7)El modelo a estimar en este trabajo puede expresarse como:
(8)donde y: deserción de la universidad, P(y-1): probabilidad de ocurrencia de deserción estudiantil, B.: constante, X.: características individuales, X.: características académicas, X.: características socio económicas, X.: características institucionales, y e: error.
Resultados
Del total de 220 encuestados para un periodo de tiempo de cohorte de cinco años hay un conjunto de alumnos desertores y de no desertores (variable dependiente) en ese lapso y un conjunto de variables independientes que se asocian entre sí. Con el propósito de comprobar la afirmación anterior se llevó a cabo la prueba KMO (Kaiser-Meyer-Olkim), que relaciona los coeficientes de correlación parcial entre las variables observadas y que, en conjunto con la prueba de esfericidad de Barlett, evalúa la aplicabilidad del análisis factorial. Los resultados que se presentan en la Tabla III demuestran que el modelo es significativo, rechazando la hipótesis nula de variables iniciales no correlacionadas.

Con la técnica estadística del análisis factorial se redujeron 18 variables directas a solo cuatro factores (Tabla II): individual, académico, socioeconómico e institucional, cada uno de ellos agrupando a las variables pertinentes. De los resultados de las pruebas realizadas del análisis factorial comprobatorio se establece que:
- En los cuatro factores analizados (Tabla III) la prueba KMO agregada resultó ser >0,5 lo que indica que es aceptable para realizar el análisis factorial y aplica para el caso de los estudiantes y su deserción o permanencia. Por su parte, la baja significación obtenida en la prueba de esfericidad de Bartlett para los cuatro factores indica que se rechaza la hipótesis nula de variables iniciales no correlacionadas, por lo que es adecuado pasar a las siguientes etapas del análisis efectuado.
- La regresión logística permite determinar si el modelo ayuda a explicar el evento; es decir, si los factores explican y predicen la deserción estudiantil. Para este fin se lleva a cabo el paso 1 de la prueba ómnibus de coeficientes del modelo, siendo altamente significativo el valor del chi-cuadrado obtenido en la prueba, de 79,76.
- Con el propósito de identificar cuáles factores son significativos (p valor <0,05) para explicar y predecir la deserción se realizaron las pruebas estadísticas correspondientes, entregando los resultados que se presentan en la Tabla IV. Los factores individuales y académicos explican y predicen la deserción estudiantil, teniendo ambos factores una relación positiva y significativa en el modelo. Por su parte, los factores socioeconómicos e institucionales no inciden en la deserción estudiantil al no ser estadísticamente significativos.

- En la Tabla V se aprecia que, globalmente, en el modelo se ha clasificado correctamente un 76,4% de los casos. Un valor mínimo de 75% indica que hay una buena representación del modelo y en el caso de estudiantes que no suspenden sus estudios el pronosticado alcanza un valor del 83,6%.

Discusión
Las variables independientes incluidas en el factor individual, tales como género, estado civil, nivel de educación del padre y nivel de educación de la madre son significativamente relevantes e inciden en la permanencia del estudiante. Lo anterior se relaciona en parte con lo planteado por Tinto (1975, 1986,1987,1997), donde los antecedentes familiares, nivel socioeconómico y cultural de la familia inciden directamente en la deserción estudiantil. Resultados similares en los estudios de Bean (1980, 1983,1985) y Lopera (2008) indican que variables académicas, individuales y socioeconómicas influyen en la deserción. Cabrera (2004) sostiene que el factor género mantiene una relación positiva en la deserción; si bien la relación no es significativa, en el mismo estudio indica que la deserción universitaria se encuentra estrechamente relacionada con el nivel de educación del padre y de la madre, guardando una relación positiva y además estadísticamente significativa con la deserción. Todo lo anterior coincide con los resultados aquí encontrados, pues las variables de nivel de educación del padre y de la madre en esta investigación tienen una relación positiva y estadísticamente significativa con respecto a la deserción. En cuanto a la variable género, la relación es negativa. Según el modelo de regresión logística binaria, el factor individual sí influye estadística y significativamente (<0,05) en la deserción, con un nivel de significancia de 0,024.
En cuanto al factor académico, que incluye variables tales como el colegio de procedencia, si el estudiante suspendió al menos un semestre y los cursos reprobados, todas presentan una relación positiva en el fenómeno de deserción. Es posible comprender dicho escenario por los aportes planteados por Cabrera (2004), Cabrera et al. (1992, 1993), quienes indican que las variables colegio de procedencia y el haber suspendido los estudios tienen una relación positiva significativa en el proceso de deserción, al tiempo que la variable colegio de procedencia tiene una relación positiva pero no estadísticamente significativa con respecto a la deserción. En este sentido, los resultados aquí obtenidos coinciden con lo propuesto por Cabrera (2004), ya que las variables colegio de procedencia, el haber suspendido los estudios y los cursos desaprobados presentan una relación positiva y significativa en el proceso de deserción. Según el modelo de regresión logística binaria, el factor académico influye estadística y significativamente en el proceso de deserción con un nivel altamente significativo.
Respecto al factor socioeconómico, este incluye variables tales como financiamiento de estudios, trabajo en el semestre, horario de trabajo y situación laboral de los padres, todas las cuales guardan una relación positiva en el proceso de deserción. Además, incluye variables como ingreso familiar satisfactorio y ambiente familiar, presentando estas últimas una relación negativa en el proceso de deserción. Lo anterior no se vincula a los aportes presentados por Cabrera (2004), quien indica que el factor socioeconómico tiene una relación positiva y estadísticamente significativa en el proceso de deserción. Según el modelo de regresión logística binaria, el factor socio económico no influye estadística y significativamente en el proceso de deserción pues posee un nivel de significancia (0,372) por encima de 0,05.
Para el factor institucional, que incluye variables tales como clima político de la universidad, relaciones con los profesores, relaciones con los compañeros y seguridad y orden en la institución, todas guardan una relación positiva con respecto a la deserción, de acuerdo con lo planteado por Spady (1970),Bean (1980) y Tinto (1989). Sin embargo, según el modelo de regresión logística binaria, el factor institucional no influye estadística y significativamente en el proceso de deserción pues posee un nivel de significancia >0,05.
Conclusión
Como se planteó al inicio, la deserción en las instituciones de educación superior corresponde a una problemática multidisciplinaria. Lo anterior pudo ser corroborado en la presente investigación, donde los índices son incrementados no únicamente por un factor determinado sino más bien corresponde a una combinación de varias variables, las que bajo diferentes contextos pueden verse representadas en mayor o menor grado en una institución de educación superior, repercutiendo en sus índices de deserción y de retención. Por lo tanto, resulta determinante el trabajo que la institución de educación superior logre desarrollar como propuesta de servicio educacional en aquellas variables que son controlables y posibles de ser fortalecidas en beneficio de la percepción que el estudiante pueda generar acerca de la institución.
A partir del análisis de los datos recopilados se concluye que los factores que más impactan en la deserción de los estudiantes son los individuales y académicos.
FACTORES DE DESERCIÓN ESTUDIANTIL: UN ESTUDIO EXPLORATORIO DESDE PERÚ
Bean J (1980) Student attrition, intensions and confidence. Res. Higher Educ. 17: 291-320.
Bean J (1983) The application of model of turnover in work organizations to the student attrition process. Rev. Higher Educ. 6: 129-148.
Bean J (1985) Interaction effects based on class level in an explanatory model of college student dropout syndrome. Am. Educ. Res. J. 22: 35-64.
Bean JP, Vesper N (1990) Qualitative approaches to grounding theory in data: Using LISREL to develop a local model and theory of student attrition. Annual Meeting of the American Educational Research Association. April 16-20. Boston, MA, EEUU.
Cabrera A, Nora A, Castañeda M (1992) The role of finances in the persistence process: A structural model. Res. Higher Educ. 33: 303-336.
Cabrera A, Nora A, Castañeda M (1993) College Persistence: Structural Equations Modelling Test of Integrated Model of Student Retention. J. Higher Educ. 64: 123-320.
Cabrera PJ (2004) Pobreza y exclusión desde la perspectiva de género. En ISBN: 84-8468-128-9: pp. 11-74.
Castaño E, Gallón S, Gómez K, Vásquez J (2006) Análisis de los factores asociados a la deserción y graduación estudiantil universitaria. Lect. Econ. 65: 9-36.
CINDA (2016) Educación Superior en Iberoamérica. Informe 2016. Brunner JJ, Miranda DA (Eds.). Centro Interuniversitario de Desarrollo, RIL. Santiago, Chile. 278 pp.
Fernández-Hileman M, Corengia A, Durand J (2014) Deserción y retención universitaria: una discusión bibliográfica. Pensando Psicol. 10(17): 85-96. http://dx.doi.org/10.16925/pe.v10i17.787
Habley WR, Bloom JL, Robbins S (2012) Increasing Persistence: Research-Based Strategies for College Student Success. Wiley, Nueva York, EEUU. 512 pp.
Himmel E (2002) Modelos de análisis de la deserción estudiantil en la educación superior. Calidad Educ. 17: 91-108.
Lopera OC (2008) Determinantes de la deserción universitaria en la facultad de economía de la Universidad del Rosario. Borradores Invest. 95: 40 pp.
Mori MP (2012) Deserción universitaria en estudiantes de una universidad privada de Iquitos. Universidad Peruana del Oriente. RIDU 6(1). 24 pp.
Nye FI (1979) Choice, exchange, and the family. En Burr WR, Hill R, Nye I, Reiss IL (Eds.) Contemporary Theories about the Family. General Theories/ Theoretical Considerations. Free Press. Nueva York, EEUU. pp. 1-41.
Pachari Vera E (2016) Factores de deserción estudiantil en la Escuela Profesional de Ingeniería de Industrias Alimentarias de la Universidad Nacional de San Agustín. Tesis. Universidad de Tarapacá. Chile. 69 pp.
Pascarella E (1985) College environmental influences on learning and development: A critical review and synthesis. En Smart JC (Ed) Higher Education: Handbook of Theory and Research. Vol. 1. Agathon. Nueva York, EEUU. pp. 1-61.
Pascarella E, Terenzini P (1991) How College Affects Students: Findings and Insights from Twenty Years of Research. Jossey Bass. San Francisco, CA, EEUU. 917 pp.
Pineda-Baéz C, Pedraza-Ortiz A, Baquero M, Dussán F, Ramírez M (2010) La Voz del Estudiante: El éxito de Programas de Retención Universitaria. UNESCO-IESALC, Universidad de La Sabana. Bogotá, Colombia. 159 pp.
Rodríguez J, Montoro L (2013) La Educación Superior en el Perú: Situación Actual y Perspectivas. Pontificia Universidad Católica del Perú. 50 pp.
Santelices M, Catalán X, Kruger D, Horn C (2015) Determinants of persistence and the role of financial aid: lessons from Chile. High. Educ. 71: 323-342
Spady W (1970) Dropouts from higher education: An interdisciplinary review and synthesis. Interchange 9: 109-121.
Tinto V (1975) Dropout from Higher Education: A theoretical synthesis of recent research. Rev. Educ. Res. 45: 89-125.
Tinto V (1982) Limits of theory and practice of student attrition. J. Higher Educ. 53: 687-700.
Tinto V (1986) Theories of student departure revisited. En Smart D (Ed.) Higher Education Handbook of Theory and Research. Vol. 2 Agathon. Nueva York, EEUU. pp. 359-384.
Tinto V (1987) Leaving College. University of Chicago Press. Chicago, IL, EEUU. 312 pp.
Tinto V (1989) Definir la deserción: una cuestión de perspectiva. Rev. Educ. Sup. 18(71): 1-9. http://publicaciones.anuies .mx/pdfs/revista/ Revista71_S1A3ES.pdf.
Tinto V (1993) Reflexiones sobre el abandono de los estudios superiores. Perf. Educ. 62: 56-63.
Tinto V (1997) Classrooms as comunnities: Exploring the educational character of student experience. J. Higher Educ. 68: 599-623.
Vázquez F, Cabrera J (2004) Algunos Determinantes del Éxito en Completar el Bachillerato: Estudio Longitudinal de Seis Años. Universidad de Puerto Rico. Cayey, Puerto Rico. 18 pp.
Notas de autor
maflores@uta.cl