Comunicaciones
MILLENIALS QUIEREN LO MEJOR Y EXPERIMENTAN MÁS PESAR AL DECIDIR. UN ANÁLISIS DE LA MAXIMIZACIÓN SEGÚN GENERACIONES
MILLENIALS WANT THE BEST AND PRESENT MORE REGRET UPON DECIDING. AN ANALYSIS OF MAXIMIZATION BY GENERATIONS
MILLENIALS QUEREM O MELHOR E APRESENTAM MAIS ARREPENDIMENTO PARA TOMAR DECISÕES. UM ANALISE DA MAXIMIZAÇÃO CONFORME GERAÇÕES
MILLENIALS QUIEREN LO MEJOR Y EXPERIMENTAN MÁS PESAR AL DECIDIR. UN ANÁLISIS DE LA MAXIMIZACIÓN SEGÚN GENERACIONES
Interciencia, vol. 47, núm. 1/2, pp. 39-45, 2022
Asociación Interciencia
Recepción: 12 Agosto 2021
Aprobación: 26 Febrero 2022
Resumen: La maximización es objeto de numerosos estudios relativos a su conceptualización, medida y efectos emocionales. Se desconoce si el estilo maximizador se distribuye igualmente en la población de diferentes generaciones, ni con los mismos efectos emocionales. El objetivo es identificarlo en tres grupos de diferentes generaciones: Baby Boomers (BB; n= 135), Generación X (GX; n=233), y Generación Y o Millenials (GY; n=253), todos adultos trabajadores de ambos sexos que respondieron instrumentos para medir maximización, bienestar subjetivo, dificultad de decidir y pesar. La GY destaca por buscar la mejor opción y por presentar más pesar que las otras generaciones. No hay diferencias intergeneracionales en satisfacción de vida ni felicidad. La GX y la BB no se diferencian entre sí, experimentando menos dificultad para decidir y menos pesar que la GY. Se constata que a medida que se envejece aumenta la parsimonia para tomar decisiones y mejora la auto-regulación emocional.
Palabras clave: Bienestar, Generaciones, Malestar, Millenials, Toma de Decisiones.
Abstract: Maximization is the subject of numerous studies related to its conceptualization, measurement and emotional effects. It is unknown if the maximizing style is equally distributed in the population of different generations, or with the same emotional effects. The goal is to identify it in three groups of different generations: Baby Boomers (BB; n= 135), Generation X (GX; n= 233), and Generation Y or Millenials (CY; n= 253), all working adults of both sexes who answered instruments to measure maximization, well-being subjective, difficulty in deciding and regret. GY stands out for looking for the best option and for presenting more regret than the other generations. There are no intergenerational differences in life satisfaction or happiness. GX and BB do not differ from each other, experiencing less difficulty in deciding and less regret than GY. It is found that as one ages, parsimony to make decisions increases and self-regulation improves.
Resumo: A maximização é o assunto de numerosos estudos relacionados à sua conceituação, medição e efeitos emocionais. Não se sabe se o estilo maximizador é igualmente distribuído na população de diferentes gerações, ou com os mesmos efeitos emocionais. O objetivo é identificá-lo em três grupos de gerações diferentes: Baby Boomers (BB; n= 135), Geração X (GY; n= 233) e Geração Y ou Millenials (GY; n= 253), todos adultos trabalhadores de ambos os sexos que responderam a instrumentos para medir a maximização, bem-estar subjetivo, dificuldade em decidir e pesar. A geração Y se destaca por buscar a melhor opção e por apresentar mais arrependimento que as demais gerações. Não há diferenças intergeracionais na satisfação com a vida ou felicidade. As gerações X e BB não diferem entre si, experimentando menos dificuldade em decidir e menos arrependimento do que a geração Y. Os resultados são discutidos e verifica-se que à medida que se envelhece, a parcimônia para tomar decisões aumenta e a auto-regulação melhora.
Introducción
La cultura occidental y su economía de mercado globalizada promueven maximizar en las decisiones de consumo y en diferentes otros dominios: salud, finanzas, experiencias y servicios, y decisiones de vida (Kokkoris, 2019; Moyano-Díaz y Mendoza-Llanos, 2021). Para decidir maximizando, las personas utilizan una estrategia de búsqueda de alternativas como componente central (Cheek y Schwartz, 2016), y ello afecta su bienestar (Hughes y Scholer, 2017).
Quienes maximizan invierten más recursos psicológicos y tiempo en analizar diferentes alternativas de decisión, lo que trae consigo sobrecarga y un conjunto variado de emociones incluyendo pesar, depresión, infelicidad y efectos negativos sobre el bienestar subjetivo (Schwartz, 2002; Nenkov et al., 2008). A diferencia de los ‘satisfascedores’ (quienes buscan una opción meramente buena), los ‘maximizadores’ se esfuerzan por encontrar la opción óptima, experimentando mayor nivel de pesar e insatisfacción, menos felicidad, más depresión y menos optimismo que aquellos (Iyengar et al., 2006; Larsen y McKibban, 2008; Polman, 2010;Purvis et al., 2011; Turner et al., 2012; Moyano-Díaz et al., 2014).
Parte importante de los estudios en este tema han utilizado como objeto de decisión la compra de productos de consumo cotidiano, pero más recientemente Newman et al. (2018) reportaron que en ámbitos más íntimos, tales como la elección de amigos o de pareja, también se observa efectos emocionales negativos cuando se maximiza, lo que sugiere generalización de este estilo decisional a diferentes ámbitos (Kokkoris, 2019,Moyano-Díaz y Mendoza-Llanos, 2021). Se ignora, sin embargo, si ello cambia según la generación de pertenencia o edad de las personas; no obstante, sabemos que entre generaciones existen orientaciones, prioridades e intereses distintos constituyendo diferentes modelos culturales.
Una generación es un colectivo que comparte fechas de nacimiento cercanas en el tiempo y una historia o conjunto de experiencias formativas que le distinguen de las de sus predecesoras (Ogg y Bonvalet, 2006). Así, personas socializadas en las mismas circunstancias, entenderán y decidirán en función de las carencias y desarrollos de su época (Strauss y Howe, 1991). Estos grupos generacionales, con una educación e influjo cultural, político y social semejantes, actuarían de manera similar (Hernández-Barandica, 2014). Para Howe y Strauss (2000) no es solo la edad sino también la referencia a un conjunto de experiencias históricas y culturales que tienen como consecuencia valores comunes y una determinada actitud hacia sí mismos y respecto de la vida, lo que permite diferenciar a una generación de otra(s), e incluso (desde nuestro punto de vista) cuestionarse los objetivos y metas de vida en relación a sus predecesores. En ese sentido, es importante comprender y subrayar, atendiendo al componente socio-histórico propuesto por Bronfenbrenner (1987), que no es lo mismo tener 20 años hoy que hace 20 años atrás, ya que el contexto sociocultural varía. Este aspecto socio-histórico guía el enfoque generacional que utilizaremos en este estudio, y no el de la psicología del desarrollo.
El estudio de las generaciones ha crecido principalmente en la literatura referida a gestión y psicología (Twenge, 2010; Ismail y Shien, 2014;Pincheira y Arenas, 2016). Las generaciones han sido designadas como: Silente, BabyBoomers (BB), Generación X (GY) y Generación Y (GY) o Millennials (Huyler et al., 2015), siendo éstas tres últimas las más estudiadas por permanecer aún activas laboralmente. Sus principales características son:
Baby Boomers (BB; 1946-1964). Generación de nacidos en la post guerra, caracterizada como idealista, introvertida, moralista, pretenciosa y segura de sí, optimista, de relación amor/odio con la autoridad, quiere tenerlo todo y está dispuesta a dar mucho (Chirinos, 2009). Provee aún muchos de los líderes en puestos de gerencia o dirección en empresas, cuyas edades están hoy entre 60 y 65 años. La meta de esta generación es construir un nuevo mundo mejor a cualquier costa.
Generación X (GX; 1965-1980). Se le ha descrito como muy independiente, orientada a resultados, escéptica, girando alrededor del trabajo, pragmática y leal con la empresa (Chirinos, 2009). Se trata de personas independientes, nihilistas, negadores de todo principio religioso, político y social, insatisfechos con el sistema laboral, con problemas de abuso de alcohol y drogas, presentan una resistencia reactiva a la generación anterior (Chirinos, 2009), y una confusión respecto de lo que se quiere como futuro, pero son una generación de búsqueda hedonista del bienestar.
Generación Y (GY; 1981-2000) o Millennials. Jóvenes proactivos, que valoran la flexibilidad laboral, el equilibrio trabajo-vida personal, y el desarrollo de competencias o su propio perfeccionamiento, más que la estabilidad laboral y mejores remuneraciones (Twenge y Campbell, 2012). Primera generación crecida en un mundo altamente globalizado, valora la diversidad cultural, de experiencias y ambientes. Con menos herramientas interpersonales de autoconciencia que sus predecesores, son menos productivos en ambientes multidisciplinarios, agitados y sin estructuración. Para Gilburg (2007), tienen dificultades al incorporarse a lugares de trabajo absorbentes (24/7), competitivos, ambiciosos, con mínima supervisión, y donde el aprendizaje sin asesoría ni entrenamiento estructurado es la norma (Chirinos, 2009). Tiende a ser más dependiente que la GX, lo cual crea conflicto generacional. Muchos de ellos tienen poca capacidad interna para manejar la crítica y no procesan bien el fracaso. Generación de idealistas, buscadora de la felicidad, les gusta trabajar en equipo, de pensamiento social y activo, respetuosa del otro, orientada al logro, estructurada, buscadora de la mejor oferta de dinero (Chirinos, 2009). La GY está modificando los ambientes laborales, redefiniendo el funcionamiento, y se investiga hasta dónde su caracterización es idiosincrática siguiendo la cultura local o, en cambio, resulta homogénea entre países y culturas en un mundo cada vez más interconectado, interdependiente y globalizado (Miroński y Gawlik, 2018).
En esta dirección, una comparación de características entre GY o Millenials de Chile, Polonia y Alemania revela, como aspectos comunes, el ser un colectivo de empleados globalmente ambicioso y entusiasta, dispuesto a trabajar duro si son remunerados adecuadamente. Su ambición también se refleja en su generalmente fuerte deseo de aprender nuevas cosas y recibir retroalimentación de su rendimiento (Miroński y Gawlik, 2018). Para la GY chilena las relaciones interpersonales con el jefe y compañeros de trabajo son factores determinantes de su felicidad, incluso más relevantes que las retribuciones monetarias y no monetarias (Araya Pizarro et al., 2021).
Estudios en EEUU han mostrado que las generaciones X e Y, en comparación con los BB, consideran más importantes las metas relacionadas con los valores extrínsecos (dinero, imagen, fama) y menos importantes las relacionadas con valores intrínsecos (auto-aceptación, afiliación, comunidad) (Twenge et al., 2012). Así, en los ambientes laborales la GY es percibida en conflicto con la BB, generalmente ubicada en posiciones de liderazgo. Ésta considera a la Y como egoísta o perezosa (Raines, 2002), todo lo cual puede influir en las interacciones de empleado-líder, reflejándose en inconformidad, irrespeto e inclusive desconfianza (Garza Carranza et al., 2018).
En nuestro conocimiento, no existen estudios de toma de decisiones siguiendo el enfoque de la maximización aplicado a las generaciones, existiendo algunos con enfoque tradicional de la psicología de las edades o del desarrollo. Así, por ejemplo, estudios con adultos mayores (BB en el presente estudio) acerca de la estrategia de búsqueda de información, muestran que ellos buscan menos información que los adultos jóvenes (X e Y), minimizando el uso de sus capacidades de funcionamiento ejecutivo (Mata et al., 2007). Liu et al. (2015) informaron que los adultos mayores prefieren tomar decisiones con menos alternativas u opciones, y un reciente estudio de Badham y Hamilton (2020) concluye que el conjunto de la literatura sugiere que los adultos mayores mejoran en relación con los adultos jóvenes cuando las decisiones son más simples. Los adultos mayores son adaptativos en su enfoque de la toma de decisiones, y esta capacidad puede beneficiarse del conocimiento y la experiencia acumulados.
Contrariamente a lo esperado, los adultos mayores no son más propensos que los grupos de edad más jóvenes a participar en actividades de minimización de información, o de comportamientos de búsqueda en respuesta a aumentos en la complejidad de la tarea. Del mismo modo, los adultos de todas las edades tienen estrategias de decisión comparables y adaptan sus estrategias a las exigencias de la tarea (Queen et al., 2012).
Desde una mirada más amplia de afrontamiento de la toma de decisiones según la edad, en la adultez mayor habría un afrontamiento de temas espirituales y una disminución del interés por las cosas materiales (Erikson, 2000). Los jóvenes estudiantes universitarios (Millenials) en cambio son mayoritariamente ‘maximizadores’, y experimentan significativamente más pesar por sus decisiones que sus pares ‘satisfascedores’ (Moyano-Díaz et al., 2013). Se ignora, sin embargo, si el pesar experimentado por sus decisiones se manifiesta igualmente intenso en los GX o en los BB. Estudios previos han mostrado que al interior del grupo de adolescentes quienes tienen más edad muestran mayor puntaje en vigilancia lo cual, para Luna Bernal y Laca Arocena (2014), resulta congruente con la tesis de que la competencia para tomar decisiones se desarrolla con la edad (Jacobs y Klaczynski, 2002; Vargas et al., 2007). Las emociones se van haciendo más estables a medida que se avanza en edad, ya que disminuiría la labilidad emocional por una parte, y aumentaría la experiencia de su manejo o auto-regulación, por otra (Arias, 2013).
La importancia del estudio de estas diferencias entre las generaciones cobra mayor relevancia al considerar que existe evidencia que relaciona de manera consistente la maximización con el pesar. Esta emoción de arrepentimiento se relaciona con la dimensión estrategia de búsqueda de alternativas de la maximización (r= 0,13; p<0,01), y no con la meta (r= 0,05; p>0,05) (Vargová et al., 2020). El pesar aparece asociado particularmente a problemas de salud mental, como la depresión (r= 0,29 p<0,00) (Bruine De Bruin et al., 2015).
En el presente estudio se busca identificar diferencias en los estilos de decisión predominantes y emociones asociadas, según la generación de pertenencia de los participantes: BB, GX y GY. Más específicamente, se espera encontrar disminución de la maximización y sus efectos emocionales negativos conforme se retrocede temporalmente en las generaciones.
Método
Se trata de un estudio descriptivo y correlacional, de corte transversal, en el cual se aplicaron cinco instrumentos breves simultáneamente.
Participantes
Se utilizó una muestra de trabajadores, evitando el sesgo eventual de los estudios realizados solo con estudiantes universitarios (Barrera-Herrera y Vinet, 2017). Se eligió por conveniencia 621 trabajadores en dos ciudades intermedias del centro-sur de Chile (Ñuble y Maule), de ambos sexos: 324 mujeres (52,17%) y 297 hombres (47,83%), con una media de edad de 38,92 años (DE= 13,19) y un rango de 18 a 74 años. Los participantes son de ocupaciones diversas como comercio, organismos públicos, técnicos y profesionales de diferentes disciplinas en empresas públicas y privadas, así como jubilados. Todos aceptaron participar mediante consentimiento informado, siguiendo las normas éticas del proyecto Fondecyt N° 1170855 Folio n°2017-08-EM.
Instrumentos
En este estudio fueron utilizados los siguientes instrumentos breves para medir maximización, satisfacción de vida, felicidad, pesar y dificultad de decidir, todos validados en Chile (Moyano-Díaz y Mendoza-Llanos, 2020):
Escala de Maximización de Dalal et al. (2015): Mide la tendencia a maximizar entendida como meta (Cheek y Schwartz, 2016) y consiste en siete ítems (e.g.: ‘No importa de que se trate yo tengo los más altos estándares para mí mismo’) focalizada en la consecución de la mejor opción. Se responde en un formato de cinco puntos desde 1= fuertemente en desacuerdo a 5= fuertemente en acuerdo. A mayor puntaje más alta la meta deseada, mientras niveles más bajos reflejan una más baja meta a alcanzar. La consistencia interna en este estudio fue 0,73.
Estrategia. Se utilizó la sub-dimensión de búsqueda de alternativas del Inventario de Maximización de Turner et al. (2012) de 12 ítems (e.g. ‘Me tomo el tiempo necesario para considerar todas las alternativas antes de tomar una decisión’) en la cual se utiliza una escala de acuerdo tipo Likert de cinco puntos donde 5= fuertemente de acuerdo. La consistencia interna en este estudio fue 0,81.
Escala de Felicidad Subjetiva de Lyubomirsky y Lepper (1999): Mide felicidad mediante cuatro ítems en formato tipo Likert (e.g.: ‘En general, me considero… donde 1= una persona no muy feliz, hasta 7, una persona muy feliz’), donde la media de las respuestas refleja el nivel de felicidad personal. La consistencia interna en este estudio fue 0,69.
Escala de Satisfacción Vital de Diener et al. (1985): Mide satisfacción de vida mediante cinco ítems tipo Likert de siete puntos, que van de 1= muy en desacuerdo hasta 7= muy de acuerdo. Su puntaje va de un mínimo de cinco hasta un máximo de 35 puntos de modo que a mayor puntaje mayor satisfacción de vida. La consistencia interna en este estudio fue 0,83.
Dificultad de Decidir: Se utilizó la sub-dimensión del mismo nombre del Inventario de Maximización de Turner et al. (2012), constituida por 12 ítems (e.g. ‘Por lo general me cuesta tomar decisiones simples’), con formato de respuesta Likert de cinco puntos, donde 5= fuertemente de acuerdo. Su consistencia interna en este estudio fue 0,82.
Escala de Pesar de Schwartz et al. (2002): Mide la tendencia a experimentar pesar, y está compuesta por cinco ítems (e.g. ‘Cada vez que tomo una decisión, tengo curiosidad por saber lo que hubiera pasado si hubiera tomado una decisión diferente’) de formato Likert de siete puntos, donde 1= completamente en desacuerdo y 7= completamente de acuerdo. A mayor puntaje mayor tendencia a experimentar pesar. Su consistencia interna aquí fue 0,72.
Procedimiento y análisis
Se dividió la muestra en tres grupos generacionales de acuerdo a la edad cumplida a 2017, momento en el que fue aplicada la encuesta, del modo siguiente: BB, personas de 51 a 74 años de edad (n= 135), GX, personas de 35 a 50 años (n= 233) y GY, de 18 a 34 años (n= 253). Se buscó identificar diferencias eventuales en la toma de decisiones y sus consecuencias emocionales.
Se efectuó análisis de correlación de Pearson para el total de la muestra y desagregado por generación, y de comparación de medias (ANOVA), calculando tamaños de efecto, y análisis post hoc (HSD de Tukey), para verificar eventuales diferencias específicas entre los grupos-generaciones, usando el software JASP (JASP Team, 2020) versión 0.14.1.
Resultados
Las correlaciones para el total de la muestra se presentan en la Tabla I. Se puede observar que la meta correlaciona positivamente con dificultad de decisión y pesar, mientras que la búsqueda de alternativas correlaciona negativamente con satisfacción con la vida y positivamente con dificultad de decisión y pesar, y con mayor intensidad que con la meta. Se observa que el pesar presenta una correlación positiva de gran magnitud con dificultad de decisión, y negativa con satisfacción vital y con felicidad.

Sin embargo, un análisis desagregado por generaciones muestra que estas tendencias generales de resultados para el total de la muestra desaparecen al desagregar por generaciones. En la Tabla II, las correlaciones indican que las dimensiones de la maximización (meta y estrategia) no correlacionan con las variables de bienestar (satisfacción con la vida y felicidad). Respecto de la dificultad de decisión y meta, la tendencia de correlaciones disminuye hasta desaparecer conforme disminuye la edad, sin embargo, la estrategia de búsqueda de alternativas se mantiene en su intensidad. Respecto del pesar, en los BB se asocia con meta, y para los X e Y se asocia con estrategia.

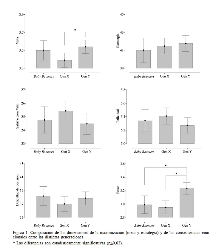
Respecto de la toma de decisiones (Figura 1), al practicar una comparación en la sub-dimensión meta, los grupos generacionales se diferencian entre sí (F(2, 618)= 3,74; p=0,02; eta.= 0,01) con diferencias estadísticamente significativas entre las generaciones más jóvenes, teniendo la Y puntajes mayores que la X (t= -2,67; p=0,02; d= -0,25), y no entre BB y GY (t= -0,54; p=0,85) ni BB y GX (t= 1,71; d= 0,20). No hubo diferencias entre las tres generaciones en la variable estrategia de búsqueda de alternativas (F(2, 618)= 0,47; p= 062).
Respecto de las consecuencias emocionales asociadas a la toma de decisiones (Figura 1), no se encontró diferencias para satisfacción con la vida (F(2, 618)= 1,53; p=0,22); felicidad (F(2, 618)= 1,34; p=0,26) ni dificultad de decisión (F(2, 618)= 1,07; p=0,34). Sin embargo, sí hay diferencias en pesar (F(2, 618)= 9,22; p<0,001; eta.= 0,03) al comparar las tres generaciones.

* Las diferencias son estadísticamente significativas (p≤0,02).
Discusión
Ha sido verificado que la toma de decisiones efectivamente varía inter-generacionalmente, observándose que la GY o Millenials presenta una orientación a metas de maximización más intensa o marcada que la generación que le precede, diferenciándose en lo que consideran una mejor opción respecto de la GX, pero no en la estrategia de búsqueda de alternativas para decidir. Esta diferencia se podría explicar principalmente por un proceso de diferenciación entre las generaciones más que por las características idiosincráticas de las mismas, puesto que aunque la GY es la más globalizada y, por tanto, podría argumentarse que sus decisiones utilizarían criterios que involucran metas mayores a la de la GX. Tal vez, la GY está más orientada a la maximización (sin complejos) que las precedentes y, a la vez, enfrenta desafíos globales implicando metas ambiciosas como lo es, por ejemplo, la búsqueda de la sostenibilidad del mundo en el que viven.
Desde la perspectiva del proceso de toma de decisiones y su asociación con emociones, los resultados encontrados son interesantes por dos razones; primero, refuerzan la literatura reciente indicando que no es lo que se quiere o busca como meta lo que causa consecuencias emocionales negativas, sino la estrategia utilizada para alcanzarla (Luan y Li, 2017; Moyano-Díaz y Mendoza-Llanos, 2020; Vargová et al, 2020) y, segundo, porque evidencian una tendencia diferenciadora existente entre las generaciones, lo que sin duda aporta a la comprensión de las características y funcionamiento de las mismas. Estas diferencias podrían asociarse a una toma de decisiones más lenta en GY, tal vez por su necesidad de búsqueda de información más amplia para decidir, lo que se puede por dos características complementarias al momento de decidir: la cantidad de información y la experiencia en la toma de decisiones. Así, los grupos de mayor edad (BB) buscan menos información que los adultos jóvenes (Mata et al., 2007) y utilizan menos información al decidir (Streufert et al., 1990). Esto puede estar relacionado con la mayor experiencia y competencia para la toma de decisiones desarrollada con la edad de las generaciones anteriores (Jacobs y Klaczynski, 2002; Vargas et al., 2007), lo que favorece aquellas situaciones en que las decisiones son simples (Badham y Hamilton, 2020), lo que finalmente se torna más adaptativo (Mata et al., 2007).
Respecto de las consecuencias emocionales asociadas a la toma de decisiones es posible destacar dos elementos a nuestro juicio interesantes: las asociaciones generales entre las dimensiones de la maximización y los efectos emocionales, y la tendencia que se presenta al desagregar por grupos generacionales. El primer grupo de resultados indica que la maximización no se relaciona con la felicidad, pero la satisfacción con la vida sí se relaciona, negativamente, con la búsqueda de alternativas, siendo esta última inter-generacionalmente asociada de manera consistente con dificultad de decisión y pesar. Esto puede indicar que no es la meta perseguida en la toma de decisiones lo determinante de las emociones post-decisión, sino la estrategia de búsqueda de alternativas en tanto determinante de consecuencias emocionales negativas. Habría tres razones para explicarlo: 1) En términos generales, la evidencia indica que habría una jerarquía común de dominios de decisión para las personas (Kokkoris, 2019; Moyano-Díaz y Mendoza-Llanos, 2021), donde probablemente optar por los primeros generaría más felicidad. 2) En el contexto cultural chileno la felicidad es un estado que incorpora elementos asociados al logro, lo cual está estrechamente asociado a metas, pero también está constituida por un estado de equilibrio mental y un componente externo asociado a la familia (Moyano-Díaz et al., 2018) o afiliación (Moyano-Díaz et al., 2021), que son dependientes de las relaciones con el medio ambiente social, no dependientes o controlables por cada quien individualmente. 3) Las consecuencias de las decisiones propias que implican a otros son muy difíciles sino imposibles de anticipar (Simon, 1955), pero aquellas continúan siendo evaluadas, pudiendo provocar malestar y pesar (Moyano-Díaz y Mendoza-Llanos, 2020).
Finalmente, los resultados generales indican que solo el pesar presenta diferencias entre las generaciones, siendo mayor en la GY. Desde una perspectiva de salud mental, lo emergente en lo laboral en esta época son justamente las enfermedades mentales y ello parece afectar más entonces a esta generación en particular, enfrentada a una mayor necesidad de equilibrar trabajo y vida personal (Twenge y Campbell, 2012) que generaciones anteriores, dificultado por las características de una sociedad competitiva, promotora de la maximización y del exitismo. Este mayor pesar en la GY podría verse aumentado por la menor experiencia de vida al momento de decidir, así como a la dificultad de anticipar las consecuencias de sus propias decisiones (Moyano-Díaz y Mendoza-Llanos, 2020). Dada la evidencia de la relación entre pesar y problemas de salud mental (Bruine De Bruin et al., 2015) y los resultados aquí encontrados, parece imperioso ocuparse de los problemas de salud mental de las generaciones más jóvenes que de otras. Adicionalmente, aquellos aumentan por coyunturas como la actual pandemia por COVID-19 (Acuña-Hormazábal et al., 2021) y sus consecuencias inmediatas, y para los años siguientes a la superación sanitaria de ésta.
MILLENIALS QUIEREN LO MEJOR Y EXPERIMENTAN MÁS PESAR AL DECIDIR. UN ANÁLISIS DE LA MAXIMIZACIÓN SEGÚN GENERACIONES
Acuña-Hormazabal Á, Mendoza-Llanos R, Pons-Peregort O (2021) Burnout, engagement y la percepción sobre prácticas de gestión en pandemia por COVID-19 que tienen trabajadores del centro sur de Chile. Estudios Gerenciales 37(158): 104-112. https://doi.org/10. 18046/j.estger.2021.158.4364
Araya-Pizarro S, Rojas L, Varas C (2021) ¿Qué hace feliz a los millennials en el trabajo? Evidencias desde el sector del entretenimiento en el norte de Chile. Academia & Negocios 7. https://ssrn.com/abstract= 3778106
Arias C (2013) Reflexiones finales acerca de la experiencia emocional en distintas etapas del ciclo vital. Kairós Gerontologia 16(4): 205-215.
Barrera-Herrera A, Vinet E (2017) Adultez Emergente y características culturales de la etapa en universitarios chilenos. Terapia Psicológica 35(1) 47–56.
Bronfenbrenner U (1987) La Ecología del Desarrollo Humano. Primera Edición castellana. Impreso en España. Barcelona: Paidós.
Bruine De Bruin W, Dombrovski A, Parker A, Szanto K (2015) Late-life depression, suicidal ideation, and attempted suicide: The role of individual differences in maximizing, regret, and negative decision outcomes. J. Behav. Decis. Making 29: 363-371.
Badham S, Hamilton CA (2020) Influences of complexity on decision making in young and older adults. Eur. J. Psychol. 16: 280-299.
Cheek N, Schwartz B (2016) On the meaning and measurement of maximization. Judgm. Decis. Making 11: 126-146.
Chirinos N (2009) Características generacionales y los valores. Su impacto en lo laboral. Observatorio Laboral 2(4): 133-153.
Dalal D, Diab D, Zhu X, Hwang T (2015) Understanding the construct of maximizing tendency: A theoretical and empirical evaluation. J. Behav. Decis. Making 28: 437-450.
Diener E, Emmons R, Larsen R, Griffin S (1985) The Satisfaction with Life Scale. J. Personal. Assess. 49: 71-75. https://doi.org/10.1207/ s15327752jpa4901_13
Erikson E (2000) El Ciclo Vital Completado. Paidós. Barcelona, España. 136 pp.
Garza Carranza M, Guzmán E, Gallardo M (2018) El autoliderazgo y la inteligencia emocional: un estudio de la generación de los millenials. Ciencia y Sociedad 43(2): 51-65.
Hernández Barandica L (2014) La Generación Y (Nativos Tecnológicos) y su Encaje en las Organizaciones: Aproximación Teórico-Práctica. Tesis. Universidad de Comillas. España.
Howe R, Strauss W (2000) Millennials Rising: The Next Great Generation. Vintage. Nueva York, EEUU. 432 pp.
Hughes J, Scholer A (2017) When wanting the best goes right or wrong: Distinguishing between adaptive and maladaptive maximization. Personal. Soc. Psych. Bull. 43: 570-583.
Huyler D, Pierre Y, Ding W, Norelus A (2015) Millennials in the workplace: Positioning companies for future success. Florida International University. http://digitalcommons.fiu.edu/cgi/viewcontent.cgi?article=1424& context=sferc
Ismail M, Shien Lu H (2014) Cultural values and career goals of the Millennial Generation: An integrated conceptual framework. J. Int. Manag. Stud. 9: 38-49.
Iyengar S, Wells R, Schwartz B (2006) Doing better but feeling worse: Looking for the best job undermines job satisfaction. Psychol. Sci. 17: 143-150.
Jacobs JE, Klaczynski PA (2002) The development of judgment and decision making during childhood and adolescence. Curr. Direct. Psychol. Sci. 11(4):145-149.
JASP Team (2020) JASP (Version 0.14.1) [Computer software].
Kokkoris M (2019) Maximizing without borders: Evidence that maximizing transcends decision domains. Front. Psychol. 9(Jan.): 1-6. https://doi.org/10.3389/fpsyg.2018.02664
Larsen J, McKibban A (2008) Is happiness having what you want, wanting what you have, or both? Psychol. Sci. 19: 371-377. https://doi.org/10.1111/ j.1467-9280.2008.02095.x
Liu P, Wood S, Hanoch Y (2015) Choice and aging: Less is more. En Hess TM, Strough J, Löckenhoff CE (Eds.) Aging and Decision Making: Empirical and Applied Perspectives. Academic Press. Salt Lake City, UT, EEUU. pp. 309-327.
Luna Bernal A, Laca Arocena, F (2014) Patrones de toma de decisiones y autoconfianza en adolescentes bachilleres. Rev. Psicol. 32: 39-65.
Lyubomirsky S, Lepper H (1999) A measure of subjective happiness: preliminary reliability and construct validation. Soc. Indicat. Res. 46: 137-155.
Mata R, Schooler L, Rieskamp J (2007) The aging decision maker: Cognitive aging and the adaptive selection of decision strategies. Psychol. Aging 22: 796-810.
Miroński J, Gawlik M (2018) Job expectations of millennials in Poland, Germany and Chile. Gospodarka Narodow 4(296): 125-153.
Moyano-Díaz E, Mendoza-Llanos R (2020) New approaches to maximization: evidence of correlations with malaise and well-being in the Chilean adult population. CES Psicol. 13: 18-31. https://doi.org/http://dx.doi.org/10.21615/ cesp.13.1.2
Moyano-Díaz E, Mendoza-Llanos R (2021) Yes! Maximizers maximize almost everything. The decision-making style is consistent in different decision domains. Front. Psychol.https://doi.org/10.3389/fpsyg.2021.663064
Moyano-Díaz E, Cornejo F, Carreño M, Muñoz A (2013) Bienestar subjetivo en maximizadores y satisfascedores. Terap. Psicol. 13: 373-380.
Moyano-Díaz E, Martínez-Molina A, Ponce F (2014) The price of gaining: maximization in decision-making regret and life satisfaction. Judgm. Decis. Making 9: 500-509.
Moyano E, Dinamarca D, Mendoza-Llanos R, Palomo-Vélez G (2018) Escala de Felicidad para Adultos (EFPA). Terap. Psicol. 36: 37-49.
Moyano-Diaz E, Mendoza-Llanos R, Paez-Rovira D (2021) Psychological well-being and their relationship with different referents and sources of happiness in Chile. Rev. Psicol. PUCP 39: 161-182. https://doi.org/10.18800/psico.202101.007
Nenkov G, Morrin M, Ward A, Schwartz B, Hulland J (2008) A short form of the maximization scale: Factor structure, reliability and validity studies. Judgm. Decis. Making 3: 371-388.
Newman D, Schug J, Yuki M, Yamada J, Nezlek J (2018) The negative consequences of maximizing in friendship selection. J. Personal. Soc. Psychol. 114: 804-824.
Ogg J, Bonvalet C (2006) The Baby-Boomer Generation and the Birth Cohort of 1945-1954: A European Perspective. http://youngfoundation.org
Pincheira A, Arenas T (2016) Caracterización de los profesionales de la ‘generación millennials’ de Arica y Parinacota, Chile, desde una mirada del capital intelectual. Interciencia 41: 812-818.
Polman E (2010) Why are maximizers less happy than satisficers? Because they maximize positive and negative outcomes. J. Behav. Decis. Making 23: 179-190.
Purvis A, Ryan T, Iyer R (2011) Exploring the role of personality in the relation- ship between maximization and well-being. Personal Indiv. Diff. 50: 370-375.
Queen T, Hess T, Ennis G, Dowd K, Grühn D (2012) Information search and decision making: Effects of age and complexity on strategy use. Psychol. Aging 27: 817-824.
Raines C (2002) Connecting Generations: The Sourcebook for a New Workplace. Crisp Learning. California, EEUU. 208 pp.
Schwartz B, Ward A, Monterosso J, Lyubomirsky S, White K, Lehman D (2002) Maximizing versus satisficing. J. Personal. Soc. Psychol. 83: 1178-1197.
Simon H (1955) A behavioral model of rational choice. Quart. J. Econ. 59: 99-118. http://dx.doi.org/10.2307/1884852
Streufert S, Pogash R, Piasecki M, Post G (1990) Age and management team performance. Psychol. Aging 5: 551-559.
Strauss W, Howe N (1991) Generations: The History of the Future of the United States, 1584-2069. Morrow. Nueva York, EEUU. 538 pp.
Turner B, Rim H, Betz N, Nygren T (2012) The Maximization Inventory. Judgm. Decis. Making 7: 48-60.
Twenge J (2010) A review of the empirical evidence on generational differences in work attitudes. J. Bus. Psychol. 25: 201-210.
Twenge J, Campbell W (2012) Who are the Millennials? En: Managing the New Workforce. International Perspectives on the Millennial Generation. Elgar. Cheltenham, RU. pp. 1-19
Twenge J, Campbell W, Freeman E (2012) Generational differences in young adults' life goals, concern for others, and civic orientation, 1966-2009. J. Personal. Soc. Psychol. 102: 1045-1062. https://doi.org/10.1037/a0027408
Vargas T, Henao J, González C (2007) Toma de decisiones sexuales y reproductivas en la adolescencia. Acta Colomb. Psicol. 10: 49-63.
Vargová L, Zibrínova L, Baník G (2020) The way of making choices: Maximizing and satisficing and its relationship to well-being, personality, and self-rumination. Judgm. Decis. Making 15: 798-806.
Notas de autor
rmendoza@ubiobio.cl