Comunicaciones
CALIDAD DE PLANTA DE Annona muricata L. EN VIVERO CON SUSTRATOS DE ACCESO REGIONAL EN NAYARIT, MÉXICO
QUALIDADE DE PLANTA DA Annona muricata L. EM ESTUFA COM SUBSTRATOS DE ACESSO REGIONAL EM NAYARIT, MÉXICO
Annona muricata L. PLANT QUALITY IN NURSERY WITH LOCALLY ACCESIBLE SUBSTRATES IN NAYARIT, MEXICO
CALIDAD DE PLANTA DE Annona muricata L. EN VIVERO CON SUSTRATOS DE ACCESO REGIONAL EN NAYARIT, MÉXICO
Interciencia, vol. 47, núm. 5, pp. 173-180, 2022
Asociación Interciencia
Recepción: 21 Septiembre 2021
Corregido: 11 Mayo 2022
Aprobación: 13 Mayo 2022
Financiamiento
Fuente: Los autores agradecen al Consejo Nacional de Ciencia y Tecnología (CONACyT) y al proyecto apoyado por el Fondo Sectorial de Investigación en Materia Agrícola Pecuaria, Acuacultura, Agrobiotecnología y Recursos Filogenéticos Núm. 266891.
Nº de contrato: Fondo Sectorial de Investigación en Materia Agrícola Pecuaria, Acuacultura, Agrobiotecnología y Recursos Filogenéticos Núm. 266891
Beneficiario: David Amador Sierra; Gregorio Luna Esquivel ; Octavio Jhonathan Cambero Campos; Elia Cruz Crespo; Leobarda Guadalupe Ramírez Guerrero; Marcia Rodríguez Palomera
Resumen: La planta que se produce en vivero depende en parte del sustrato donde se desarrolle, ya que es donde se ancla su sistema radicular y de ahí obtiene el agua y nutrientes. El presente estudio se realizó con el objetivo de evaluar las características físicas y químicas de 12 tratamientos compuestos con fluvisol, composta de caña y pumita, solos y combinados, como sustratos de disponibilidad regional y su efecto en la calidad de planta de guanábana producida en vivero. Las variables consideradas fueron diámetro de tallo, altura de planta, índice de robustez, índice de calidad de Dickson, número de hojas y área foliar. El sustrato pumita presentó la menor conductividad eléctrica (0,04dS·m-1) y el valor más alto de pH (7,60), mientras que la composta mostró la mayor conductividad eléctrica (5,07dS·m-1) y el fluvisol presentó el menor pH (5,7). El sustrato composta/pumita 75/25 manifestó los mayores promedios de porosidad total (75,62%) y capacidad de aireación (13,97%), la composta presentó la mayor capacidad de retención de agua (65,24%) y el fluvisol presentó la mayor densidad aparente (1,21Mg·m-3) y densidad de partículas (2,24Mg·m-3). El mayor número de hojas (39,33) y área foliar (1222,46m.) se obtuvieron en el sustrato fluvisol/pumita (75/25) y en el sustrato de composta/pumita 50/50 se obtuvo el mejor índice de calidad de Dickson (2,59), mientras que en el fluvisol/composta 75/25 sobresalió la altura de planta (92,00cm).
Palabras clave: Composta de Caña, Fluvisol, Guanábana, Nayarit, Pumita.
Resumo: A planta que se produz em estufa depende, em parte, do substrato onde se desenvolve, pois é onde está ancorado o seu sistema radicular e daí obtém a água e nutrientes. O presente estudo foi realizado com o objetivo de avaliar as características físicas e químicas de 12 tratamentos utilizando fluvisol, compostagem de cana e, finalmente, pedra-pomes, sós e combinados, como substratos de disponibilidade regional e seu efeito na qualidade de planta da gravioleira produzida em estufa. As variáveis consideradas foram diâmetro do caule, altura de planta, índice de robustez, índice de qualidade de Dickson, número de folhas e área foliar. O substrato pedra-pomes apresentou a menor condutividade eléctrica (0,04dS·m-1) e o valor mais elevado de pH (7,60), enquanto a compostagem mostrou a maior condutividade eléctrica (5,07dS·m-1) e o fluvisol apresentou o menor pH (5,7). O substrato compostagem/pedra-pomes 75/25 mostrou as médias mais elevadas de porosidade total (75,62%) e capacidade de arejamento (13,97%), a compostagem apresentou a maior capacidade de retenção de água (65,24%) e o fluvisol apresentou a maior densidade aparente (1,21Mg·m-3) e densidade de partículas (2,24Mg·m-3). O maior número de folhas (39,33) e área foliar (1222,46m.) foram obtidos no substrato fluvisol/pedra-pomes (75/25), já no substrato de compostagem/pedra-pomes 50/50 foi obtido o melhor índice de qualidade de Dickson (2,59), enquanto no fluvisol/compostagem 75/25 destacou a altura de planta (92,00cm).
Abstract: The plant that is produced in a nursery depends in part on the substrate where it develops, since this is where its root system is anchored and from where it obtains water and nutrients. The present study was carried out with the objective of evaluating the physical and chemical characteristics of 12 compound treatments containing, alone and combined: fluvisol, cane compost and pumice, substrates of regional availability, as well as their effect on the quality of nursery produced soursop plants. The variables considered were stem diameter, plant height, robustness index, Dickson's quality index, number of leaves and, foliar area. The pumice substrate presented the lowest electrical conductivity (0.04dS·m-1) and the highest pH value (7.60), while the compost showed the highest electrical conductivity (5.07dS·m-1) and the fluvisol presented the lowest pH (5.7). The compost/pumice substrate 75/25 showed the highest averages of total porosity (75.62%) and aeration capacity (13.97%), the compost presented the highest water retention capacity (65.24%) and fluvisol presented the highest apparent density (121Mg·m-3) and particle density (2.24Mg·m-3). The highest number of leaves (39.33) and leaf area (1222.46m.) were obtained in the fluvisol/pumice substrate (75/25), and the 50/50 compost/pumice substrate the best Dickson quality index (2.59) was obtained, while in the fluvisol/compost 75/25 the plant height (92.00cm) was outstanding.
Introducción
La guanábana (Annona muricata L.) es un cultivo importante en México, donde se puede encontrar desde Nayarit hasta Chiapas y en la vertiente del Golfo de México de Veracruz a Tabasco. Está presente en climas cálidos con temperatura media de 25-28°C, humedad relativa entre 60 y 80% (Miranda et al., 2002), con buena distribución de lluvias (1300-1500mm), suelos bien drenados y altitudes de 0-1000m (Moreno et al., 2013; Hernández et al., 2017).
México cuenta con 3.612ha establecidas de guanábana; a su vez, Nayarit tiene una superficie de 2.456ha, por lo que es el Estado con mayor producción de guanábana con 23.230t por año (SIAP, 2021).
La planta con la que se establecen los huertos en el estado de Nayarit se produce de manera tradicional en vivero con fluvisol (tierra de río) como sustrato; sin embargo, no siempre se obtiene una planta vigorosa y en buen estado sanitario, lo que es necesario para obtener altos rendimientos, fruta homogénea y de características deseables. Se ha demostrado que el uso de distintos sustratos influye de manera significativa en las variables de calidad de las plantas, siendo el desarrollo de éstas mejor cuando las propiedades de los sustratos son las adecuadas, ya que se relacionan con la disponibilidad de aire, agua y nutrientes para las raíces de las plantas (Vence, 2008). Las propiedades químicas, biológicas y físicas son las que intervienen en el desarrollo de las plantas; de ellas, las físicas son consideradas como las más importantes debido a que la estructura física no puede ser alterada una vez que el material se encuentra depositado en el contenedor (Bunt, 1961;Cabrera, 1999). Dentro de las características físicas más relevantes se encuentran la densidad real, densidad aparente, granulometría, porosidad, capacidad de retención de agua, capacidad de aireación y temperatura (Burés, 1997;Vargas-Tapia et al., 2008), mientras que en el aspecto químico se analizan con mayor frecuencia el pH, la conductividad eléctrica y la capacidad de intercambio catiónico. (Ansorena, 1994;Burés, 1997;Vargas-Tapia et al., 2008). En el tema de sustratos, uno de los grandes retos planteados a nivel mundial es encontrar un sustrato con el balance adecuado de porosidad para el aire y el agua, con énfasis en el uso de materiales regionales (Valenzuela et al., 2014).
No obstante lo anterior, son pocos los estudios realizados con respecto a la producción de planta de guanábana, y con resultados muy variantes. Algunos trabajos existentes acerca de sustratos en la producción de planta de guanábana son el de Aguilar-Luna y García Villanueva (2013), quienes obtuvieron a los 100 días después del trasplante en sustratos a base de suelos vertisol y cambisol alturas cercanas a los 16cm; de igual forma Villacrés et al. (2010) evaluaron la reproducción de A. muricata en tres sustratos distintos (tierra negra, suelo agrícola y humus de lombriz) y encontraron que el mayor porcentaje de germinación (76,7%), la mejor energía germinativa (22,5) y el mejor índice de vigor (29,1) se obtuvieron con el uso de suelo agrícola en comparación con los otros sustratos. Soplin (2015) evaluó el desarrollo de la planta de guanábana a los seis meses de edad, en sustratos compuestos de tierra negra, tierra negra con gallinaza, suelo agrícola y suelo agrícola con gallinaza, lográndose mayor altura de planta en tierra negra (50,36cm). En vista de la escasez de información al respecto, en el presente estudio se evaluaron las variables de calidad de planta de guanábana producida en vivero como respuesta al uso de 12 sustratos compuestos por fluvisol, composta de caña de azúcar y pumita, solos y combinados a diferentes concentraciones y solos.
Materiales y Métodos
El estudio se llevó a cabo en dos sitios experimentales; la fase de germinación de semilla de guanábana se realizó en el invernadero del Centro Multidisciplinario de Investigación Científica (CEMIC) de la Universidad Autónoma de Nayarit (21º29'1''N-104º53'2''O) y la etapa de desarrollo de plantas en diferentes sustratos se efectuó en el vivero de la Unidad Académica de Agricultura (UAA) de la Universidad Autónoma de Nayarit (21º25'37''N-104º53'3''O). Los análisis físico-químico de los sustratos se realizaron en el Laboratorio de Suelos de la UAA.
Las semillas fueron obtenidas de nueve frutos en madurez fisiológica del genotipo reconocido a nivel local como ‘Las Varas’, ya que en México no se han generado variedades (Villarreal-Fuentes et al., 2020), provenientes de tres árboles elegidos por su buen estado sanitario y sin daños mecánicos, ubicados en una huerta comercial ubicada en el poblado Las Varas del municipio de Compostela, Nayarit (21°07'26''N-105°11'5''O). De cada árbol se tomaron tres frutos, considerando para su elección que no presentaran manchas, agujeros o insectos, y que presentaran una coloración verde claro y rudimentos estilares firmes. Las semillas se extrajeron de forma manual a los frutos en madurez de consumo el día 25/10/2018, se lavaron con agua corriente, se secaron en la sombra durante 24h y se almacenaron en un frasco de vidrio con tapa a temperatura ambiente. Previo a la siembra, el día 01/11/2018 se remojaron durante 24h en agua corriente y después, el día 2/11/2018, se impregnaron con sulfato de cobre pentahidratado (CuSO4-5H2O) para evitar el ataque de hongos. Se sembraron 300 semillas sin manchas o perforaciones y de coloración café oscuro, de manera directa en una cama germinadora dentro de un invernadero, a la cual se le agregó un sustrato mezclado de composta de caña, suelo agrícola y pumita en proporción 40:30:30. Las semillas se sembraron a 3cm de profundidad. A partir del 03/01/2019 de enero emergieron las primeras plantas y las ultimas lo hicieron el 21/01/2019, cuando se alcanzó un 94% de germinación. Las plantas permanecieron en cama germinadora hasta que se desarrollaron suficientes plantas para elegir las que tuvieran las primeras seis hojas verdaderas (no embrionarias) y un diámetro de 3,5mm, el 07/03/2019, cuando fueron trasplantadas a bolsas contenedoras de polietileno negro de 9 litros de capacidad (20×35cm, con fuelle de 10cm) con el sustrato correspondiente a cada uno de 12 tratamientos.
El experimento se desarrolló con 12 tratamientos distribuidos al azar con 12 repeticiones. La unidad experimental se consideró un contenedor con una planta. Los 12 tratamientos utilizados se listan en las Tablas I alIII. La composta de caña se obtuvo de la empresa agrícola Terrasana S.A. de C.V., la pumita se compró con la empresa CLADIMACO S.A. de C.V. y el fluvisol se colectó de una zona ribereña en el poblado Las Varas, municipio de Compostela, Nayarit, de donde tradicionalmente los viveristas lo obtienen y utilizan como sustrato.



Las propiedades físicas determinadas a los sustratos fueron porosidad total, capacidad de aireación, capacidad de retención de agua, densidad aparente y densidad de partículas, propiedades que se definieron mediante la metodología propuesta por Pire y Pereira (2003). Las propiedades químicas fueron potencial de hidrógeno (pH) y conductividad eléctrica (CE); para el registro del pH se utilizó un medidor de pH modelo LT Lutron PH-201 PHmeter digital, y para medir la conductividad eléctrica se empleó un conductímetro modelo Dist4 by HANNA HI98304 digital. Las mediciones se realizaron en una suspensión sustrato/agua destilada 1:2 en volumen, de acuerdo a la metodología utilizada por Bracho et al. (2009).
Variables
Diámetro del tallo. La medición (mm) se realizó a la altura del cuello de la raíz seis meses después del trasplante, con un vernier digital.
Altura de la planta. La longitud se tomó desde la base del tallo hasta la yema apical y es un indicador de la calidad de planta producida en vivero. La medición (cm) se realizó seis meses después del trasplante con la ayuda de un flexómetro graduado.
Índice de robustez. Se calculó un índice de la relación entre diámetro de la base del tallo expresado en mm y la altura de la planta expresado en cm como indicador de calidad de planta. Con esto se refleja la capacidad de la planta para resistir daños físicos (Birchler et al., 1998). Los valores cercanos a 6 corresponden a plantas de mayor calidad.
Índice de calidad de Dickson (ICD). Este índice, propuesto por Dickson et al. (1960), se generó basándose en mediciones morfológicas que involucraron biomasa, proporción aérea/raíz, altura y diámetro, y se calculó con la fórmula
Valores altos se relacionan con una mejor calidad de planta. Éste índice diferencía satisfactoriamente el potencial de supervivencia de plantas de diferentes tamaños y edades. Éste indicador se determinó a los seis meses después del trasplante en tres plantas por tratamiento.
Número de hojas. Se contabilizó el número total de hojas producidas a los seis meses después del trasplante.
Área foliar. Se obtuvo de multiplicar el largo y ancho (cm.) por 0,75 de las hojas producidas a los seis meses después del trasplante (Cabezas-Gutiérrez et al., 2009).
Análisis estadísticos
Todas las variables se analizaron con el estadístico R (R Core Team, 2019). Se realizó una exploración de datos para cada variable, a partir de la cual se determinó el mejor modelo a utilizar (Zuur et al., 2010). En todos los modelos se verificó que los datos se distribuyeran de forma normal y se realizó una prueba de homocedasticidad. Posterior a esto se realizó un análisis de varianza (ANDEVA) de una vía para probar si las variables de respuesta diámetro, altura, índice de robustez, índice de calidad de Dickson, número de hojas y área foliar diferían entre los 12 tratamientos. A las variables con diferencias significativas se les aplicó comparación de medias mediante la prueba de Duncan (α≤0,05).
Resultados y Discusión
Las propiedades físicas de los sustratos utilizados en este estudio variaron de acuerdo a su composición (Tabla I). El porcentaje de porosidad osciló de 46,07 (fluvisol al 100) a 75,62% (composta/pumita en relación 75/25), la capacidad de aireación de 0,53 (fluvisol al 100) a 13,97% (composta/pumita 75/25; pumita al 100). La capacidad de retención de agua de 45% (fluvisol al 100) a 65,24% (composta al 100), la densidad aparente de 0,53Mg·m-3 (composta/pumita 50/50) a 1,21Mg·m-3 (composta al 100) y la densidad de partículas de 1,39Mg·m-3 (composta/pumita 50/50) a 2,24Mg·m-3 (fluvisol al 100 %). Ansorena (1994),Pastor (2000), Martínez y Roca (2011),Valenzuela et al. (2014),Castro et al. (2019), y Barbaro y Karlanián (2020) indican que los niveles óptimos de porosidad total deben superar el 85%, la capacidad de aireación se debe mantener entre 20 y 30%, la densidad aparente menor a 0,75 y la densidad real entre 1,45 y 2,65. Los resultados obtenidos muestran que, en algunos sustratos estas particularidades físicas están cercanas a lo recomendado y en otros no alcanzan los valores sugeridos por estos autores. Sin embargo, esto permitirá identificar el mejor sustrato para la producción de planta de guanábana.
En lo que respecta a la capacidad de retención de agua se registró 65,24% en composta al 100% de su composición y el 61,66% en la mezcla de composta con pumita en proporción 75/25. Es posible que los materiales composta y pumita sean sustratos que al mezclarse se confieran propiedades bondadosas para la producción de plantas de guanábana, debido a que la en una proporción 75/25 mostró, como se menciona en líneas anteriores, mayor porosidad, mejor capacidad de aireación y una aceptable o buena capacidad de retención de agua, información que se corroborará al discutir las variables de desarrollo de una planta de calidad.
En la Tabla I se observa que en cuanto a la densidad aparente de los sustratos al 100% de su composición, fluvisol es el doble de pesado que pumita y composta; y también se muestra que este material al combinarse con pumita y composta, el peso del sustrato disminuye, reducción que es más notoria al mezclarse con composta que con pumita, existiendo en promedio una diferencia entre estos de 0,16Mg·m-3.
En cuanto a la densidad aparente de la composta/pumita 50/50 y 75/25 se obtuvieron los valores más bajos (0,53 y 0,54Mg·m-3), lo que indica que se tuvieron pesos bajos en los contenedores para la producción de planta. La densidad de partículas se registró alta en los sustratos que contienen fluvisol y, conforme la proporción de este sustrato se mezcló tanto con composta como con pumita, la densidad aparente disminuyó, más con la combinación de este material con pumita, mientras que los menores valores se registraron cuando la pumita se agregó en las proporciones de 50 y 75.
Para el caso de las propiedades químicas evaluadas (Tabla II), la composta de caña y la mezcla fluvisol/composta 25/75 presentaron los mayores valores de CE, lo cual indica que la composta de caña tiene valores superiores a los considerados como excesivos para la mayoría de las especies cultivadas según Martínez y Roca (2011), quienes recomiendan valores menores a 3,5dS·m-1, aunque señalan que concentraciones superiores no han afectado el desarrollo y funcionamiento en raíces de tomate. Alcudia-Aguilar et al. (2017) encontraron que Annona muricata no se ve afectada en la producción de biomasa cuando se induce aumento en la CE mediante la aplicación de sal a diferentes concentraciones (0, 10, 20, 40 y 80mmol·l-1 de NaCl) en el sustrato. Bazihizia et al. (2012) reportan que distintas plantas halófitas y no halófitas reaccionan de manera diferente a distintas salinidades, las cuales se miden indirectamente a través de la conductividad eléctrica, pudiendo mostrar de tres hasta diez veces más peso seco en plantas expuestas a baja salinidad (0-10mM NaCl) en comparación a las que se exponen a condiciones de media y alta salinidad (50-800mM NaCl). Los sustratos orgánicos suelen tener CE alta debido a la elevada concentración de sales solubles en la solución del sustrato. La concentración de sales medida indirectamente a través de éste parámetro pueda ser corregida con facilidad y rapidez al modificar la concentración salina de la solución nutritiva o bien por medio de riego abundante (Cabrera, 1999).
Calvo-Polanco et al. (2014) encontraron que plantas de Acorus sp. producidas en hidroponía con aplicación de diferentes soluciones salinas (25, 50 y 100mmol·l-1) a pH de 7,0 y 8,5 presentaban más mortandad en el pH 8,5 en comparación con pH 7,0. Valores altos de CE han sido reportados en sustratos como los publicados por Inostroza et al. (2007), quienes encontraron valores de 2,85 y 3,21dS·m-1 en diatomita y diatomita+pumita, respectivamente. Puerta et al. (2012) encontraron valores de 4,4 y 5,01dS·m-1 en turba de río+fibra de coco y lombricompost+fibra de coco, respectivamente, y un valor muy elevado en cachaza de caña+fibra de coco, en el que se alcanzó 18,2dS·m-1. Quintero et al. (2012) reportan en escoria de carbón la más alta CE (2,5mS·m-1) en comparación con los valores más bajos obtenidos para fibra de coco y cascarilla de arroz. Por su parte Acevedo y Pire (2007) encontraron que a mayor porcentaje de lombricomposta (5, 10, 15, 20 y 25%) en una mezcla base de fibra de coco, cascarilla de arroz y arena (1:1:1) la conductividad aumenta desde 1,08 hasta 1,52dS·m-1.
En cuanto a los valores de pH presentados por los sustratos (Tabla II) el más alto se presentó en la pumita con 7,6 que es moderadamente alcalino. El fluvisol presentó el menor valor de pH con 5,7; sin embargo, se encuentra en el rango deseable para producir planta que corresponde al 5,5-6,5. Por su parte, Puerta et al. (2012) reportaron en cachaza de caña el valor más alto de pH, que corresponde a 7,2 mientras que el valor más bajo lo encontraron en una mezcla comercial (Promix.) con 5,6. Acevedo y Pire (2008) encontraron que al adicionar lombricomposta a un sustrato a base de fibra de coco, cascarilla de arroz y arena (1:1:1) el pH no se ve afectado con valores moderadamente alcalinos entre 7,3 y 7,9 con tendencia a la neutralidad (7,3-7,0) al final del ciclo de producción. Quintero et al. (2012) reportaron que la cascarilla de arroz presenta en promedio un pH de 6,4, mientras que la escoria de carbón tiene 5,5 y la fibra de coco 5,8. En los casos de vermicomposta y estiércol solarizado, Galindo et al. (2014) reportan valores de pH 7,58 y 7,86 respectivamente. Bracho et al. (2009) encontraron, de acuerdo con el presente trabajo, el valor más bajo de pH en turba de río con 5,45 mientras el valor más alto lo encontraron en cascarilla de arroz 6,87 y en turba comercial 6,83.
Variables evaluadas
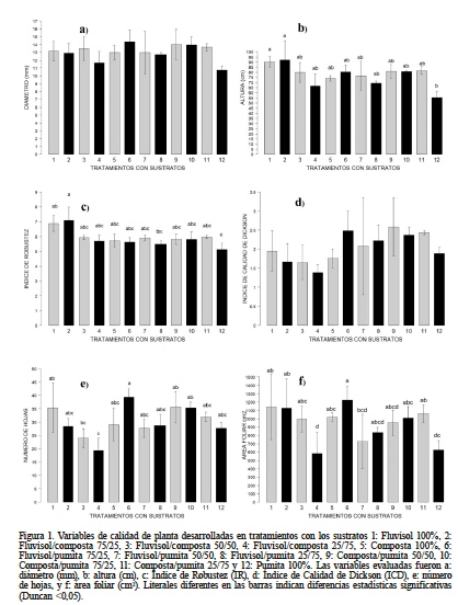
Diámetro. El diámetro ha sido considerado como el mejor predictor de supervivencia de planta en campo, así como de incremento en volumen y crecimiento en altura. Además, ofrece información acerca de la sección transversal de transporte y almacenamiento de agua, de la resistencia mecánica y de la capacidad para resistir temperaturas extremas en el suelo (Hasse, 2007; Landis, 2010). En el presente trabajo no se encontraron diferencias estadísticas significativas (F11, 143= 1,573; P=0,17) para la variable diámetro (Tabla III). Los valores más bajos se obtuvieron en el tratamiento de pumita (10,77mm) y los valores más altos con 14,33mm en la tierra de rio/pumita (75/25) y en composta/pumita (50/50) con 14,00mm, los cuales resultan superiores a los mencionados por Rueda-Sánchez et al. (2013), quienes encontraron planta de Swuietenia humilis de cuatro y medio meses con 5,5cm de diámetro y planta de Tabebuiarosea de cuatro meses con 5cm de diámetro. En el presente trabajo se obtuvieron valores mínimos de 10,77mm en pumita, contrario a los datos reportados por Orozco et al. (2010), quienes encontraron un diámetro de 5mm para planta de cuatro meses de edad de la especie S. humilis en vivero. Por otra parte, Villalón-Mendoza et al. (2016) reportaron planta de seis meses de edad de Quercus canby con diámetros de 58mm en planta con 60cm de altura y con diámetro de 56mm en planta con 30cm de altura, en contraste con la planta de guanábana del presente trabajo, donde el tratamiento con pumita tuvo el valor más bajo con 10,77mm de diámetro.

Altura. La variable altura presentó diferencias estadísticas significativas (F11, 143= 3,778; P=0,003). El fluvisol en forma pura y cuando se mezcló con composta de caña en relación 50/50 es donde se obtuvieron los valores más altos (90,17 y 92cm), en contraste con la planta de cobano (S. humilis) de cuatro meses de edad con una altura de 18cm que reportan Orozco et al. (2010). Los valores más bajos obtenidos en el presente estudio corresponden al tratamiento de pumita, con 55,33cm; sin embargo, difieren de los reportados por Aguilar-Luna y García Villanueva (2013) quienes a los cien días después del trasplante, obtuvieron valores cercanos a los 16cm vertisol y cambisol, esto debido principalmente a la diferencia de edad de la planta al momento de la medición. Soplin (2015) evaluó planta de guanábana a los seis meses de edad en tratamientos con tierra negra, tierra negra con gallinaza, suelo agrícola y suelo agrícola con gallinaza como sustrato, los mayores valores fueron de 50,36cm de altura en la tierra negra, mientras en el presente estudio los valores menores fueron de 55,33cm en el tratamiento con pumita. Por su parte, Rueda-Sánchez et al. (2013) consideran de alta calidad a las plantas de latifoliadas que tengan 15cm de altura y reportan planta de T. rosea de cuatro meses de edad con 20,2cm de altura y planta de S. humilis de cuatro y medio meses de edad con 18,1cm de altura. Aunque es una variable fácil de medir, no es un valor que pueda relacionarse con la supervivencia en campo de la planta, solo muestra una aproximación ligera al área fotosintetizante y transpirante, sin embargo, no se puede deducir de ella la arquitectura de la planta (Birchler et al., 1998).
Índice de robustez. Cuando se dice que una planta tiene una parte aérea grande se hace referencia a que tiene un tallo grueso y abundante follaje, pero una planta alta no siempre es robusta, por lo que se utiliza de manera más eficaz el diámetro para predecir la supervivencia de la planta en campo, y la altura es un indicador del crecimiento en plantaciones, por lo que es mejor determinar el IR como una relación de altura/diámetro, de tal manera que se prefieren plantas con un valor de 6 en plantas de hoja ancha, antes que plantas ahiladas (>6) que puedan sufrir daños por viento o animales o achaparradas (<4) que su desarrollo inicial sea muy lento y tengan desventaja ante la competencia por luz con las especies no deseadas (Villar, 2003;Hasse, 2007). En el presente trabajo se presentaron diferencias estadísticas significativas en la variable índice de robustez (F11, 143= 16,42; P=0,0002). El fluvisol y fluvisol/composta 75/25 presentaron valores (6,88 y 7,09 respectivamente) que indican planta con ahilamiento, mientras la pumita y el fluvisol/pumita 25/75 presentaron planta con valores de planta achaparrada (5,13 y 5,47 respectivamente). Los demás tratamientos mostraron promedios cercanos a 6, lo que que es un índice de robustez adecuado. Al respecto, Orozco et al. (2010) reportan valores de 5,1, 3,8 y 3,7 para Tabebuia donell-smithii de tres meses, Caesalpineaplatyloba de tres meses y S. humilis de cuatro meses, respectivamente, mientras que en el presente estudio 5,1 fue el valor más bajo. Rueda-Sánchez et al. (2013) reportan plantas de T. rosea de cuatro meses de edad con 4.1 de índice de robustez y plantas de S. humilis con cautro y medio meses de edad con 3,3 de índice de robustez, lo cual indica que produjeron planta achaparrada, mientras en el presente trabajo la tendencia de valores es hacia el 6, es decir; planta de buena calidad. Por su parte Villalón-Mendoza et al. (2016) encontraron planta de Q. canby de seis meses de edad con índices de robustez de 1,05 en planta seleccionada de 60cm de altura, mientras que en planta de 30cm con la misma edad, el índice registrado fue de 0,53. En el presente estudio la planta de guanábana de seis meses tuvo como mínimo 5,13 en el tratamiento de pumita al 100%. Tomando como base que el tratamiento testigo fluvisol tiene valor de ìndice de robustez cercano al ahilamiento (6,88) y la pumita produjo planta achaparrada (5,13) se deduce que los tratamientos que produjeron planta con valores cercanos a 6 son mejores para esta variable.
Índice de calidad de Dickson (ICD). Éste índice relaciona el peso, la altura y el diámetro de la planta y es considerado uno de los mejores parámetros morfológicos que expresa la calidad de la planta (Dickson et al., 1960;Birchler et al., 1998). En el presente estudio la variable ICD no presentó diferencias estadísticas significativas (F11, 143= 1,500; P=0,19), en los diferentes sustratos se produjeron planta con valores entre 1,38 en fluvisol con composta (25/75) como el valor más bajo y 2,59 en composta con pumita (50/50) como el valor más alto, siendo que el valor aceptado como de calidad alta corresponde a un valor de 0,5 para latifoliadas (Rueda-Sánchez et al., 2013). En su caso, Villalón-Mendoza et al. (2016) reportan planta de Q. canby de seis meses de edad con ICD de 5,28, en contraste a los valores del presente estudio donde no se superó el 2,59 de ICD. Por su parte Rueda-Sánchez et al. (2013) reportaron la calidad de planta forestal producida en viveros del estado de Nayarit donde muestran valores entre 0,2 y 0,4 en el ICD para especies latifoliadas de entre dos y cuatro meses de edad, mientras que para plantas de siete meses de edad de Pinus douglasiana y P. devoniana reportan valores de 0,2 y 0,5 respectivamente, con lo que la planta evaluada en el presente estudio se considera con buenos valores de ICD. Si se compara el valor de ICD del tratamiento fluvisol (1,95) como testigo, por ser el utilizado de manera tradicional en los viveros de Nayarit, tenemos que los tratamientos con valores superiores a este ofrecen una mejor calidad en dicha variable.
Número de Hojas. El buen desarrollo de hojas es atribuido principalmente a las características fisicoquímicas del sustrato, lo cual contribuye al ajuste osmótico y a la regulación hídrica de las células y a la consecuente expansión laminar (Taiz y Zeiger, 2006). La variable número de hojas presentó diferencias estadísticas significativas (F11, 143= 1; P= 0,001). El valor más alto se presentó en el tratamiento fluvisol/pumita (75/25) con 39,33 hojas, mientras que el tratamiento de fluvisol/composta de caña (25/75) fue el que presento el valor más bajo con 19,33 hojas en promedio. De manera similar, Aguilar-Luna y García-Villanueva (2013) reportan que el número de hojas de guanábana desarrollada en distintos sustratos es influenciado por las características fisicoquímicas del medio de crecimiento; cuando usaron suelos vertisol y cambisol obtuvieron un promedio de 11 hojas por planta de cien días de edad, mientras que en el presente trabajo el mínimo de hojas fue de 19,33 por planta cuando se usó como sustrato fluvisol/composta en proporción 25/75 y hasta 39,33 en el sustrato formado con fluvisol y pumita en proporción 75/25. Por su parte, Soplin (2015) registró el mayor promedio de 53 hojas/planta de guanábana en tierra negra usada como sustrato, y un promedio más bajo de 39 hojas en suelo agrícola con gallinaza, que en comparación con los valores obtenidos en el presente trabajo resultan similares, además de que de igual manera la variable se vio influida por el tratamiento con sustratos diversos.
Área Foliar. El área foliar está directamente relacionada con la calidad de la planta, ya que aporta información acerca del área fotosintética que se cubre con las hojas y se asocia a gran cantidad de procesos fisiológicos como transpiración, fotosíntesis, la intercepción de luz, entre otros (Cabezas-Gutiérrez et al., 2009). Los resultados del presente estudio mostraron diferencias estadísticas significativas en la variable área foliar (F11, 143= 2,669; P=0,021). Se observó una relación directa con la variable número de hojas. En el tratamiento fluvisol/pumita (75/25) tuvo un valor de 39,33 hojas, siendo el valor mayor, mientras que el área foliar de este tratamiento también es el valor más alto con 1222,46 cm., de igual manera que el valor más bajo se encontró en el tratamiento fluvisol+composta de caña (25/75) con 19,33 hojas por planta y éste tratamiento también obtuvo el valor más bajo de área foliar con 582,13cm2. En comparación, Villalón-Mendoza et al. (2016) reportaron planta de Q. canby de seis meses de edad con área foliar de 209,28cm2 en planta de 60cm de altura y 146,28cm. en planta de 30cm de altura, valores que resultan bajos en comparación con los obtenido en el presente trabajo, donde se presentaron hasta 1222,46cm. de área foliar en el tratamiento fluvisol/pumita (75/25).
Conclusión
Los parámetros morfológicos de la planta de guanábana producida en vivero son influenciados por las características fisicoquímicas de los sustratos utilizados. En el fluvisol con pumita (75/25) se desarrolló la mejor calidad de planta ya que se obtuvieron los mayores valores de diámetro (14,33mm), número de hojas (39,33), y área foliar (1222,46cm.). Además, se obtuvo una de las mejores alturas de planta (80,33cm) sin llegar a presentar porte ahilado o achaparrado como lo indica el valor obtenido de índice de robustez cercano a 6 (5,62) y el segundo mayor índice de calidad de Dickson (2,49), superado solamente por la planta producida en la mezcla de composta/pumita 50/50 (2,59).
Agradecimientos
Los autores agradecen al Consejo Nacional de Ciencia y Tecnología (CONACyT) y al proyecto apoyado por el Fondo Sectorial de Investigación en Materia Agrícola Pecuaria, Acuacultura, Agrobiotecnología y Recursos Filogenéticos Núm. 266891.
Referencias
Acevedo IC, Pire R (2007) Caracterización de sustratos agrícolas enmendados con lombricompost. Rev. Unellez Cienc. Tecnol. 25: 1-9.
Aguilar-Luna JME, García-Villanueva E (2013) Crecimiento postgerminativo y concentración nutrimental en hojas de Annona muricata L. cultivadas en suelos calcimórficos. Rev. Bras. Cs. Agr. 8: 62-70.
Ansorena MJ (1994) Sustratos. Propiedades y Caracterización. Mundi-Prensa. Madrid, España. 171 pp.
Alcudia-Aguilar A, Van der Wal H, Suárez-Sánchez J, Álvarez-Solís D, Tovilla-Herández C (2017) Salinidad, composición botánica y crecimiento de especies frutales en huertos familiares de Tabasco, México. Ecosist. Recurs. Agropec. 4(10):1-12.
Barbaro LA, Karlanián MA (2020) Efecto de las propiedades físicas del sustrato sobre el desarrollo de plantas de plantines florales en maceta. Cienc. Suelo 38: 1-11.
Bazihizina N, Barrett-Lennard EG, Colmer TD (2012) Plant growth and physiology under heterogeneous salinity. Plant Soil 354: 1-19.
Birchler T, Rose RW, Royo A, Pardos M (1998) La planta ideal: Revisión del concepto, parámetros definitorios e implementación práctica. Invest. Agric. Sist. Recurs. For. 7: 109-121.
Bracho J, Pierre F, Quiroz A (2009) Caracterización de componentes de sustratos locales para la producción de plántulas de hortalizas en el estado Lara, Venezuela. Bioagro 21: 117-124.
Bunt A C (1961) Some physical properties of pot-plants composts and their effect on growth plant. Plant Soil 15: 13-24.
Burés S (1997) Sustratos. Agrotécnicas. Madrid, España. 342pp.
Cabezas-Gutiérrez M, Peña F, Duarte HW, Colorado JF, Silva RL (2009) Un modelo para la estimación del área foliar en tres especies forestales en forma no destructiva. Rev. U.D.C.A. Actual. Divulg. Cient. 12: 121-130.
Cabrera RI (1999) Propiedades, uso y manejo de sustratos de cultivo para la producción de plantas en maceta. Rev. Chapingo Ser. Horticult. 5: 5-11.
Calvo-Polanco M, Esquiza MA, Señorans J, Zwiazek JJ (2014) Responses of rat root (Acorus americanus Raf.) plants to salinity and pH conditions. J. Environ. Qual. 43. 578-586.
Castro GSL, Aldrete A, López UJ, Ordaz CVM (2019) Caracterización física y química de sustratos con base en corteza y aserrín de pino. Madera y Bosques 25(2): 1-10.
Dickson A, Leaf AL, Hosner JF (1960) Quality appraisal of white spruce and white pine seedling in stock nurseries. The Forestry Chronicle. March. pp. 10-13.
Galindo PFV, Fortis HM, Preciado RP, Trejo VR, Segura CMA, Orozco VJA (2014) Caracterización físico-química de sustratos orgánicos para producción de pepino (Cucumis sativus L.) bajo sistema protegido. Rev. Mex. Cs. Agríc. 5: 1219-1232.
Hasse DL (2007) Morphological and physiological evaluations of seedling quality. Proc. RMRS-P-50. USDA Forest Service. pp. 3-8.
Hernández FLM, Nolasco GEJ, Cruz G (2017) Selección y Caracterización de Guanábana y Recomendaciones para su Manejo Agronómico. Folleto Técnico No. 34. INIFAP-Campo Experimental Santiago Ixcuintla, Nayarit. México. 57 pp.
Inostroza A, Mazuela P, Urrestarazu M (2007) Caracterización y evaluación agronómica de dos sustratos locales en un cultivo de tomate para deshidratar en el valle de Azapa, Arica, Chile. Actas Horticult. 47: 127-131.
Landis TD (2010) The target plant concept: a history and brief overview. Proc. RMRS-P-65. USDA Forest Service. pp. 61-66.
Martínez PF, Roca D (2011) Sustratos para el cultivo sin suelo. Materiales, propiedades y manejo. En Flórez RVJ (Ed.) Sustratos, Manejo del Clima, Automatización y Control en Sistemas de Cultivo sin Suelo. Universidad Nacional. Bogotá, Colombia. pp. 37-77.
Miranda LD, Barragán QE, Barreto OD, María CA (2002) Manejo Integrado del Cultivo de la Guanábana. Manual Técnico. Innovaciones Tecnológicas. CORPOICA. Bogotá, Colombia. 189 pp.
Moreno BNE, Miranda D, Martínez MFE (2013) Germinación de semillas de anón (Annona squamosa L.) sometidas a estratificación. Rev. Colomb. Cs. Hort. 7: 20-30.
Orozco GG, Muñoz FHJ, Rueda SA, Sigala RJA, Prieto RJA, García MJJ (2010) Diagnóstico de la calidad de planta en los viveros forestales de Colima. Rev. Mex. Cs. Forest. 1(2): 134-141.
Pastor SJN (2000) Utilización de sustratos en viveros. Terra 17: 231-235.
Pire R, Pereira A (2003) Propiedades físicas de componentes de sustratos de uso común en la horticultura del estado Lara, Venezuela. Propuesta metodológica. Bioagro 15: 55-63.
Puerta ACE, Russián LT, Ruíz SCA (2012) Producción de plántulas de pimentón en sustratos orgánicos a base de mezclas con fibra de coco. Rev. Cient. UDO Agríc. 12: 298-306.
Quintero MF, Guzmán JM, Valenzuela JM (2012) Evaluación de sustratos alternativos para el cultivo de miniclavel (Dianthus caryophyllus L). Rev. Colomb. Cs. Hort. 6: 76-87.
R Core Team (2019) A Language and Environment for Statistical Computing. R Foundation for Statistical Computing. Vienna, Austria. 942 pp.
Rueda-Sánchez A, Benavides-Solorio JD, Sáens-Reyes JD, Muñóz FHJ, Prieto RJA, Orozco GG (2013) Calidad de planta producida en los viveros forestales de Nayarit. Rev. Mex Cs. Forest. 5(14): 59-73.
SIAP (2021) Cierre de la Producción Agrícola 2019. Cultivo: Guanábana. Servicio de Información Agroalimentaria y Pesquera. México. http://nube.siap.gob.mx/cierre_agricola/ (Cons. 19/09/2021).
Soplin TH (2015) Propagación Botánica de Annona muricata L. “Guanábana” Bajo Cuatro Sustratos en Iquitos, Perú. Tesis. Universidad Nacional de la Amazonia Peruana. 95 pp.
Taiz L, Zeiger E (2006) Fisiología Vegetal. Collecció Ciencies Experimentals. Universitat Jaume I. España. 1338 pp.
Valenzuela OR, Gallardo CS, Carponi M S, Aranguren M, Tabares H, Barrera MC (2014) Manejo de las propiedades físicas en sustratos regionales para el cultivo de plantas en contenedores. Cienc. Docenc. Tecnol. 4(4): 1-19.
Vargas-Tapia P, Castellanos-Ramos JZ, Muñóz-Ramos JJ, Sánchez-García P, Tijerina-Chávez L, López-Romero RM, Martínez-Sánchez C, Ojodeagua-Arredondo JL (2008) Efecto del tamaño de partícula sobre algunas propiedades físicas del tezontle de Guanajuato, México. Agric. Técn. Méx. 34: 323-331.
Vence LB (2008) Disponibilidad de agua-aire en sustratos para plantas. Suelo 26(2): 105-114.
Villacrés VJY, Gratelly SPA, Aspajo VF, Guerra TAA, Bardales PC, Vásquez PW, Dávila PD (2010) Propagación botánica de Spondias mombin ubos, Croton lechleri sangre de grado y Annona muricata guanábana en diversos sustratos, San Juan Bautista, Loreto, Perú. Conoc. Amaz. 1: 109-118.
Villalón-Mendoza H, Ramos-Reyes JC, Vega-López JA, Marino B, Muños-Palomino MA, Garza-Ocañas F (2016) Indicadores de calidad de la planta de Quercus canby Trel. (encino) en vivero forestal. Rev. Latinoam. Recurs. Nat. 12: 46-52.
Villar SP (2003) Importancia de la calidad de planta en los proyectos de revegetación. En Rey-Benayas JM, Espigares PT, Ibarra JMN (Eds.) Restauración de Ecosistemas Mediterráneos. Universidad de Alcalá / Asociación Española de Ecología Terrestre. España. pp. 65-86.
Villarreal-Fuentes JM, Alia-Tejacal I, Hernández-Salvador MA, Hernández-Ortíz E, Marroquín-Agreda FJ, Nuñez-Colín CA y Campos-Rojas E (2020) Caracterización in situ de guanábana (Annona muricata L) en el Soconusco, Chiapas, México. Rev. Chapingo Ser. Horticult. 26: 189-205.
Zuur AF, Ieno EN, Elphick CS (2010) A protocol for data exploration to avoid common statistical problems. Meth. Ecol. Evol. 1: 3-14.
Notas de autor
gollole@hotmail.com