Artículo original
VARIABLES AMBIENTALES QUE DETERMINAN LA REGENERACIÓN NATURAL DE PINOS EN ECOSISTEMAS ALTERADOS POR INCENDIOS
ENVIRONMENTAL VARIABLES THAT DETERMINE THE NATURAL REGENERATION OF PINES IN ECOSYSTEMS ALTERED BY FIRES
VARIABLES AMBIENTALES QUE DETERMINAN LA REGENERACIÓN NATURAL DE PINOS EN ECOSISTEMAS ALTERADOS POR INCENDIOS
Ecología Aplicada, vol. 21, núm. 1, pp. 25-33, 2022
Universidad Nacional Agraria La Molina

Recepción: 17 Agosto 2021
Aprobación: 04 Abril 2022
Publicación: 03 Julio 2022
Financiamiento
Fuente: Instituto Nacional de Investigaciones Forestales Agrícolas y Pecuarias
Beneficiario: proyecto “Respuesta de la regeneración natural al incremento de incendios forestales en el contexto del cambio climático”
Resumen: Los factores ambientales influyen de forma positiva o negativa para el establecimiento de la regeneración natural de pinos, los cuales pueden estar ligados con los incendios forestales. Por lo tanto, el objetivo del presente estudio fue determinar las variables ambientales que influyen en el establecimiento de la regeneración natural de pinos en áreas impactadas bajo tres condiciones de severidad de incendios (sin incendio, incendio moderado e incendio extremo) en bosques de pino-encino (Pinus lumholtzii B. L. Rob. & Fernald, Pinus devoniana Lindl., Pinus oocarpa Scheide, Quercus castanea Née, Quercus magnoliifolia Née) en el Estado de Jalisco (México). Para esto se evaluaron distintos parámetros de regeneración natural: arbolado, combustibles vivos y muertos en sitios circulares de ~400 m.. Con los datos obtenidos se realizaron análisis de correlación para identificar las variables más significativas, y usarlas en los análisis de regresión escalonada para identificar las variables predictoras útiles para la definición del modelo para la estimación de la regeneración natural de pinos en áreas afectadas por el fuego. Los análisis arrojaron que el proceso de “stepwise” presenta el mejor modelo con una R. de 0.6837 y un AIC de 568.58, seleccionando las siguientes variables: el peso seco de hierbas, altura de arbustos, diámetro de copa de arbustos y de pastos, combustibles de 10 horas y exposición. Posteriormente, considerando como criterio principal el cuadrado medio del error, se hizo una comparación de los modelos que resultan de la combinación de estas variables, con lo que el mejor modelo excluye al peso seco de hierbas. Se concluye que el establecimiento de la regeneración natural de pino se asocia a ciertas variables de cobertura del suelo, sotobosque y relieve.
Palabras clave: combustibles forestales, correlación, dinámica de los ecosistemas, resiliencia, severidad de incendios forestales, sotobosque.
Abstract: Environmental factors influence positively or negatively for the establishment of natural pines regeneration, which may be linked to forest fires. Therefore, the objective of this study was to determine the environmental variables that influence the establishment of natural pines regeneration in impacted areas under three fire severity conditions (no fire, moderate fire and extreme fire) in pine - oak forests (Pinus lumholtzii BL Rob. & Fernald, Pinus devoniana Lindl., Pinus oocarpa Scheide, Quercus castanea Née, Quercus magnoliifolia Née) in the state of Jalisco (Mexico). For this purpose, different parameters of natural regeneration were evaluated: trees, live and dead fuels in circular sites of ~400 m.. Correlation analyses were performed with the data obtained to identify the most significant variables, and to use them in the stepwise regression analyses to identify predictor variables useful for the definition of the model for the estimation of natural pine regeneration in areas affected by fire. The analyzes showed that the "stepwise" process presents the best model with an R. of 0.6837 and an AIC of 568.58, selecting the following variables: dry weight of herbs, height of shrubs, crown diameter of shrubs and grasses, 10 hour fuels and exposure. Subsequently, considering the mean square of the error as the main criterion, a comparison was made of the models resulting from the combination of these variables, with the best model excluding the dry weight of herbs. It is concluded that the establishment of the natural regeneration of pine is associated with certain variables of ground cover, understory and relief.
Keywords: forest fuels, correlation, ecosystem dynamics, resilience, severity of forest fires, understory.
Los ecosistemas forestales de México, en particular los bosques templados, anualmente son afectados por incendios forestales, por lo que han desarrollado mecanismos para adaptarse a estas perturbaciones (Juárez & Rodríguez, 2003). De esta forma, algunos de estos ecosistemas son dependientes del fuego (Tapias et al., 2001; Rodríguez & Fulé, 2003); es decir, requieren que se presenten estas perturbaciones para mantener su sustentabilidad (Flores & Benavides, 1995; He et al., 2019). Esta sustentabilidad puede ser evaluada a través de la regeneración natural, la misma que a su vez es influenciada, entre otros factores, por la ocurrencia del fuego. Esta relación fuego-regeneración se define a través de varios procesos ecológicos, que van desde la disponibilidad de la semilla (Tarrega et al.; 1992Sork, 1993), la competencia interespecífica (Gordon & Rice, 2000; Sosa & Rodríguez, 2003; Bond & Keeley, 2005; Rodríguez et al., 2007), la cobertura del suelo (Cerdá, 1998; Madrigal et al., 2005), hasta las condiciones topográficas y climáticas (Rodríguez et al., 2007), entre otras. Específicamente, la disponibilidad de semilla está limitada por la producción de conos (Tiscar, 2007), la variación de la densidad del arbolado (como fuente de semilla) y el alcance de dispersión de las semillas (Haire & McGarigal, 2010; Godínez et al., 2016). De esta forma, la regeneración está supeditada a ciertos micro-hábitats para su establecimiento, emergencia, supervivencia y crecimiento, como el dosel de arbustos sucesivos adyacentes o del mismo arbolado, así como el suelo desnudo (Castro et al., 2004). Para integrar lo anterior se ha tratado de modelar la influencia de factores ambientales en relación a la regeneración natural, implementando modelos estadísticos (Madrigal et al., 2005; Rodríguez et al., 2007). Sin embargo, la mayoría de estos estudios no han considerado las variaciones definidas por la presencia del fuego, donde se debe considerar, entre otras cosas, las características de los incendios forestales, las condiciones ambientales y la composición de la vegetación previa al impacto del fuego (Bartels et al., 2016). De acuerdo con lo anterior, el objetivo del presente estudio fue determinar las variables ambientales que influyen en el establecimiento de la regeneración natural de pinos en áreas impactadas bajo tres condiciones de severidad de incendios (sin incendio, incendio moderado e incendio extremo) en bosques de pino-encino (Pinus lumholtzii B. L. Rob. & Fernald, Pinus devoniana Lindl., Pinus oocarpa Scheide, Quercus castanea Née, Quercus magnoliifolia Née) en el Estado de Jalisco (México).
y métodos
Área de estudio
Se tomaron datos en tres regiones forestales del Estado de Jalisco en México (Figura 1): a) Bosque La Primavera, ubicado en los municipios de Zapopan, Tala y Tlajomulco de Zúñiga (103°28’ - 103°42’ oeste, 20°37’- 20°45’ norte) (CONANP, 2000); b) Sierra de Tapalpa, se encuentra al suroeste del Estado, (103°37´ - 103°54´ oeste, 19º47´ -20°06´ norte) y; c) Área de Protección de Flora y Fauna Sierra de Quila se encuentra entre los municipios de Tecolotlán, Tenamaxtlán y San Martín Hidalgo (104°09’-103°57 Oeste, 20°22’-20°14’Norte) (SEMADET, 2016). Las regiones se seleccionaron de acuerdo a su historial de ocurrencia de incendios, tipo de vegetación y accesibilidad de vías de comunicación. En cada una de estas regiones se tiene el antecedente de la ocurrencia de incendios forestales de diferente severidad que ocurrieron en los primeros meses del año 2018, Por lo cual la evaluación de las variables ambientales se realizó después de la primera temporada de lluvias de ese mismo año.

Estrategia de muestreo
Se evaluaron tres tipos de áreas: 1) sin incendio, como testigo, en donde no ha ocurrido ningún incendio forestal o que han pasado más de 5 años del último incendio; y dos con diferentes condiciones de severidad de incendios: 2) con incendio moderado, donde el arbolado presentó un escorchado (altura de la marca del fuego en el fuste) por debajo de la mitad de la altura total del árbol y donde la copa pudo estar afectada parcialmente; y 3) con incendio extremo, donde el fuego provocó un escorchado mayor que la mitad de la altura total del árbol y la copa se afectó parcial o totalmente. Se ubicaron sitios de muestreo en cada una de estas condiciones, tratando que las áreas forestales donde se encontraban fueran lo más homogéneas en relación a: la altura del arbolado, diámetro, densidad, estructura y mezcla de especies. Dentro de cada una de estas condiciones de severidad se ubicaron tres sitios circulares de aproximadamente 400 m. (Figura 2). De acuerdo a esto, por cada región forestal se muestrearon nueve sitios, resultando en un total de 27 sitios (Figura 2) para las tres regiones forestales.

En cada sitio de muestreo se evaluaron los siguientes parámetros:
Arbolado. en el área de ~400 m., se registraron todos los árboles adultos (DAP [1.3 m] > 7.5 cm), a los cuales se les tomaron las variables mencionadas en la Tabla 1 grupo A (Flores et al., 2018).
Combustibles forestales. Para la evaluación de los combustibles vivos, se consideró un círculo concéntrico de aproximadamente 100 m., dividido en tres tercios (Figura 2), donde se registraron para arbustos, pastos y hierbas las variables mencionadas en la Tabla 1 en el grupo CV. Los combustibles muertos fueron evaluados mediante la metodología de las intersecciones planares (Brown et al., 1982) a lo largo de tres transectos de 10 m (Figura 3), donde se registraron las variables que se muestran en la Tabla 1, grupo CM_1. Al final de cada transecto en un cuadro de 60 x 60 cm se colectaron las capas de hojarasca y fermentación, registrando las variables de la Tabla 1, grupo CM_2 (Flores et al., 2018).

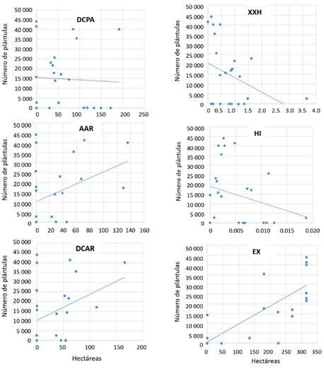
DCPA = Diámetro de copa de pastos (cm); XXH = Combustibles de 1 hora (tn ha-1); AAR = Altura de arbustos (cm); HI = Peso seco de hierbas (tn ha-1); DCAR = Diámetro de copa de arbustos (cm); y EX = Exposición (Grados)
Regeneración. Dentro de tres círculos de ~5 m. se contabilizó la regeneración del arbolado que fuera menor a 30 cm de altura (Flores et al., 2018).
Manejo devariables
Derivado del muestreo en campo se obtuvieron 42 variables ambientales (Tabla 1). Algunas de estas variables resultaron de la medición directa en campo, mientras que otras, como el peso seco, se definieron mediante el procesamiento de las muestras en laboratorio, calculando finalmente las toneladas por hectárea por cada sitio y condición de impacto por fuego. Por otra parte, para los cálculos de las toneladas por hectárea de los combustibles de 1, 10, 100 y 1 000 horas (firmes y podridos), hojarasca y fermentación, se utilizó el Sistema de Cálculo de Combustibles Forestales (SICCO) en su versión del 2011 (Chávez et al., 2011). Para las variables restantes se calcularon promedios de cada una de ellas, igualmente por sitio y condición de impacto por fuego. En cuanto a la regeneración, se determinaron los individuos por hectárea para cada sitio y condición de impacto por incendio.
Análisis de datos
Para realizar los análisis de correlación de la regeneración natural con las variables ambientales, primeramente, se realizó una matriz de correlación de Pearson. Derivado de esto, se identificaron aquellas variables que tuvieron una mayor significancia, con las cuales se realizó un análisis de regresión escalonada para la definición de un modelo multivariado para estimar la regeneración natural.
Para estimar los individuos de regeneración por hectárea (RCH), se aplicaron tres procesos correspondientes al método de regresión escalonada: hacia adelante (forward), hacia atrás (backward) y ambos (stepwise), tomando como criterio de ajuste el “criterio de información de Akaike” (AIC). Finalmente, se hizo un análisis de los modelos, tomando como criterio de selección el cuadrado medio del error (CME), el valor de R2, R2 ajustada y AIC.
| Grupo | Variable |
| Peso seco de arbustos | |
| Peso seco de hierbas | |
| Peso seco de pastos | |
| Porcentaje de cobertura de arbustos | |
| Porcentaje de cobertura de hierbas | |
| CV | Porcentaje de cobertura de pastos |
| Altura de arbustos | |
| Altura de hierbas | |
| Altura de pastos | |
| Diámetro de copa de arbustos | |
| Diámetro de copa de hierbas | |
| Diámetro de copa de pastos | |
| Combustibles 1 hora | |
| Combustibles 10 horas | |
| CM_1 | Combustibles 100 horas |
| Combustibles 1 000 horas firmes | |
| Combustibles 1 000 horas podridos | |
| Peso seco de hojarasca | |
| Peso seco de fermentación | |
| Porcentaje de cobertura de hojarasca | |
| CM_2 | Porcentaje de cobertura de fermentación |
| Porcentaje de cobertura de fermentación | |
| Porcentaje de cobertura de suelo mineral | |
| Profundidad de fermentación | |
| Profundidad de hojarasca | |
| Altitud | |
| R | Exposición |
| Pendiente | |
| Densidad de arbolado | |
| Altura de escorchado | |
| Altura de quemado de copa | |
| Altura del arbolado | |
| Diámetro a la altura del pecho | |
| Diámetro de copa de arbolado | |
| A | Altura de fuste limpio |
| Grosor de corteza | |
| Profundidad de quemado | |
| Numero de caras de resinación | |
| Altura de caras de resinación | |
| Porcentaje de copa quemada | |
| Porcentaje de daño en arbolado | |
| Arbolado con conos |
CV = Combustibles vivos; CM = Combustibles muertos; R = Relieve; A = Arbolado
Resultados y discusión
Las variables independientes que resultaron con coeficientes de correlación más altos están relacionadas con la cobertura del suelo, dosel del sotobosque y arbolado (Tabla 2). Sin embargo, la mayoría de los valores de correlación fueron menores a 0.5, por lo que para realizar la regresión escalonada se seleccionaron las 19 variables con valores más altos. Como resultado de este análisis, las variables de mejor ajuste se redujeron a las presentadas en la Tabla 3, donde el proceso “stepwise” resultó con la mayor correlación y el menor AIC, considerando todas las variables, a excepción de: altura de caras de resinación y peso seco de fermentación. Sin embargo, se observó que la variable de diámetro de copa de pastos no fue significativa (p = 0.129 55), lo cual implica que el modelo no está completamente ajustado; mientras que el peso seco de hierbas mostró una mayor significancia (p = 0.000 66), lo cual sugiere que puede tener un impacto positivo en la regeneración de los pinos.
| Variable | Clave | R2 |
| Altura de caras de resinación | ACR | 0.561 |
| Numero de caras de resinación | NCR | 0.546 |
| Peso seco de hierbas | HI | 0.463 |
| Exposición | EX | 0.444 |
| Diámetro de copa de arbustos | DCAR | 0.331 |
| Altura de arbustos | AAR | 0.279 |
| Profundidad de quemado | PQ | 0.261 |
| Densidad de arbolado | DA | 0.238 |
| Altura de escorchado | AE | 0.201 |
| Pendiente | PE | -0.212 |
| Profundidad de fermentación | PFE | -0.231 |
| Combustibles 10 horas | XXH | -0.233 |
| Grosor de corteza | GC | -0.254 |
| Peso seco de pastos | PA | -0.26 |
| Peso seco de fermentación | FE | -0.284 |
| Profundidad de hojarasca | PHO | -0.295 |
| Diámetro de copa de pastos | DCPA | -0.312 |
| Peso seco de hojarasca | HO | -0.328 |
| Altura de pastos | APA | -0.361 |
Además, no se observó una tendencia bien definida en cuanto a las variables seleccionadas y la estimación de la regeneración natural de los pinos (Figura 3), ya que la mayor parte de los datos se ubican en forma dispersa. Sin embargo, destaca la definición de la tendencia de la exposición de manera positiva, y la de los combustibles de 1 hora, aunque en sentido negativo. Por el contrario, la variable peso seco de hierbas presentó la mayor dispersión de datos.
Con estas seis variables seleccionadas en el proceso “stepwise”, se evaluaron varias combinaciones, de tal forma que definiera el modelo lineal de mejor ajuste. Los resultados se presentan en la Tabla 4, donde se indica que, de acuerdo al menor valor del CME, el mejor modelo es el que considera todas las variables menos el peso seco de hierbas (HI). Aunque este modelo no resultó en el mayor valor de R., su selección coincide con un AIC bajo. De acuerdo con esto, el modelo lineal que mejor se ajustó a la estimación de la regeneración natural del arbolado de pinos fue el expresado en la Fórmula 1.
[Fórmula 1]Donde:
RCH = Regeneración de pinos (número de individuos);
EX = Exposición (grados);
AAR = Altura de arbustos (cm);
DCAR = Diámetro de copa de arbustos (cm);
DCPA = Diámetro de copa de pastos (cm); y
XXH = Combustibles de 10 hora (tn·ha-1).
| PROCESO | VARIABLE | Coeficiente | R2 | AIC | (p) |
| Forward | Intercepto | 11 073.94 | 0.6141 | 591.66 | |
| Altura de caras de resinación | 66 524.99 | 0.25864 | |||
| Peso seco de hierbas | 5 254 962.5 | 0.00179 | |||
| Peso seco de fermentación | -154.33 | 0.05195 | |||
| Combustibles 10 horas | -21 132.83 | 0.08306 | |||
| Diámetro de copa de arbustos | 599 | 0.09974 | |||
| Backward | Intercepto | 9 461.3 | 0.6625 | 589.92 | |
| Peso seco de hierbas | 4 337 960.8 | 0.00453 | |||
| Altura de arbustos | -1379 | 0.05521 | |||
| Diámetro de copa de arbustos | 3 145.1 | 0.01401 | |||
| Diámetro de copa de pastos | -429 | 0.15806 | |||
| Combustibles 10 horas | -22 293 | 0.07119 | |||
| Numero de caras de resinación | 592 56.3 | 0.1732 | |||
| Stepwise | Intercepto | 2 078.51 | 0.6837 | 588.1 | |
| Peso seco de hierbas | 5 031 649.36 | 0.00066 | |||
| Altura de arbustos | -1 318.76 | 0.05039 | |||
| Diámetro de copa de arbustos | 2 922.5 | 0.01571 | |||
| Diámetro de copa de pastos | -429 | 0.12955 | |||
| Combustibles 10 horas | -27 747.25 | 0.01104 | |||
| Exposición | 107.28 | 0.07421 |
AIC = Criterio de Información de Akaike
Al respecto, se esperaba que, por su baja significancia (p = 0.129 55), la variable diámetro de copa de pastos no fuera considerada en el modelo final. Sin embargo, su correlación con la regeneración es negativa, lo que implica que esta variable propicia cierto nivel de competencia para la regeneración (Oliver & Larson, 1996; Godínez et al., 2016). No obstante, la abundancia de pastos también refleja la disponibilidad de recursos, como nutrientes en el suelo, indicando mejores condiciones de sitio, por lo que también se esperaría mayor regeneración (Madrigal et al., 2005). Por otro lado, a pesar de que se presente la regeneración, la mayor mortalidad de ésta se puede producir cuando hay un aumento considerable en la altura y cobertura de herbáceas (Madrigal et al., 2005; Rodríguez et al., 2007). Por el contrario, el diámetro de copa de arbustos (DCAR) (p = 0.015 71) y altura de arbustos (AAR) (p = 0.050 396) influyen significativamente en la regeneración, ya que mejoran la supervivencia de las plántulas por la interacción de facilitación (enfocada a especies nodrizas), debido a que les proporcionan nutrientes, protección y humedad (Castro et al., 2004; Rodríguez et al., 2007; Tiscar, 2007; Ortiz & Rodríguez, 2008; Ramírez & Rodríguez, 2009; Godínez et al., 2016). Sin embargo, al aumentar la cobertura de arbustos, puede haber una disminución de la regeneración para ciertas especies de pino (Rodríguez et al., 2007; Godínez et al., 2016). Por su parte, los combustibles muertos de 10 horas muestran significancia (p = 0.011 042) para la regeneración, como se manifiesta en el modelo; las cargas bajas de estos combustibles sugieren un incremento en la regeneración, esto puede ocurrir como efecto de los incendios forestales, lo que beneficia a que la semilla se implante en el suelo y se desarrolle (Flores & Moreno, 2005). Por el contrario, la carga excesiva de combustibles dificulta el que la plántula de pino, aunque germine, no alcance el suelo y muera (Serrada, 2003; Flores & Moreno, 2005). La influencia entre la regeneración de pinos y la cobertura de suelo también se ha asociado no solo con los combustibles leñosos, como en este estudio, si no con la capa de hojarasca, en donde entre mayor espesor de hojas menor regeneración de pinos, apoyando la conclusión de que el fuego favorece la regeneración natural (Díaz-Hernández et al., 2021). Por otra parte, la exposición resultó como otra variable significativa (p = 0.074 212) para determinar la densidad de regeneración, donde la exposición norte es la orientación que presenta las mayores densidades de regeneración natural (Godínez et al., 2016). Esto se puede deber a que las exposiciones norte son relativamente más húmedas que las exposiciones sur (en el hemisferio norte), lo cual favorece el establecimiento y desarrollo de la regeneración; sin embargo, se debe considerar que la exposición también determina las horas de sol recibidas, por lo que se esperaría que, al ser una especie intolerante a la sombra, la regeneración de pino se viera más favorecida por la mayor incidencia de luz en las exposiciones sur (Juárez & Rodríguez, 2003).
| CME | R2 | R2 Aj | AIC | EX | HI | AAR | DCAR | DCPA | XXH |
| 80045279 | 0.75 | 0.68 | 511.96 | X | X | X | X | X | |
| 80966985 | 0.76 | 0.68 | 512.86 | X | X | X | X | X | X |
| 82159202 | 0.70 | 0.67 | 510.28 | X | X | ||||
| 82173856 | 0.73 | 0.67 | 511.89 | X | X | X | X | ||
| 83558350 | 0.74 | 0.67 | 512.99 | X | X | X | X | X | |
| 85344802 | 0.71 | 0.66 | 512.03 | X | X | X | |||
| 85661089 | 0.70 | 0.66 | 512.12 | X | X | X | |||
| 86215454 | 0.70 | 0.66 | 512.27 | X | X | X | |||
| 86255092 | 0.70 | 0.66 | 512.28 | X | X | X | |||
| 87501330 | 0.71 | 0.65 | 513.39 | X | X | X | X |
DCPA = Diámetro de copa de pastos (cm); XXH = Combustibles de 1 hora (tn·ha-1); AAR = Altura de arbustos (cm); HI = Peso seco de hierbas (tn·ha-1); DCAR = Diámetro de copa de arbustos (cm); y EX = Exposición (grados)
Algunas de las variables obtenidas en el modelo del presente trabajo resultaron en el modelo implementado por Madrigal et al. (2005), como es la fisiografía, que comprende la exposición y la competencia interespecífica, que se puede entender como las variables de hierbas, pastos y arbustos en este trabajo. En otro estudio similar, resultaron las coberturas de herbáceas, de restos de corta y de musgo como las variables que influyen para predecir el éxito de la regeneración (Rodríguez et al., 2007), lo que coincide con las variables de peso seco de hierbas y combustibles de 10 horas seleccionadas en nuestro modelo.
Otro factor que puede influir para la estimación de la regeneración natural es la disponibilidad de las semillas, la cual depende en gran parte de las condiciones climáticas, ya que la mayor producción de conos se da cada tres a cinco años “años semilleros” (Mendoza et al., 2014); de igual manera, estas condiciones climáticas como la temperatura y la lluvia (Castro et al., 2004), influyen en la germinación (Bartels et al., 2016), además de las condiciones edáficas y topográficas (Rodríguez et al., 2007). Más aun, cada especie tiene su propia tasa de germinación (Reyes & Casal, 2000), como la regeneración de Pinus nigra, que no está limitada por la disponibilidad de las semillas sino por factores abióticos, como la variación espacial del régimen lumínico y las características físicas y químicas del suelo (Tiscar, 2007). Debido a esto, es importante realizar la evaluación de las variables que influyen para el establecimiento de la regeneración natural para cada especie de pino. Más aún, ya que la regeneración se conforma de varias etapas, como la formación, dispersión de las semillas, su supervivencia y crecimiento (Tiscar, 2007), se deben evaluar las variables que influyen en cada una de ellas, ya que, en cada etapa hay numerosos factores influyentes y puede haber variabilidad en las áreas de estudio e interrelación entre ellos, lo que hace complicado generalizar los resultados (Alejano, 2003).
Así mismo, es importante considerar el factor tiempo, ya que las condiciones de la recuperación de la vegetación son diferentes, dependiendo del tiempo que ha transcurrido después del incendio. Bartels et al. (2016) propone un modelo para indicar la recuperación del bosque de Canadá tras diversas perturbaciones, entre ellas incendios forestales, que incluye el área basal, la cubierta del dosel y la altura de los árboles, con el tiempo transcurrido desde la perturbación como una variable explicativa. Por otra parte, otros factores como la severidad del incendio, elevación, pendiente, orientación, la influencia de la radiación solar, humedad, clima posterior al incendio o la clase de cobertura vegetal, son frecuentemente utilizados en las estimaciones de regeneración (Viana et al., 2017).
Finalmente, en futuros estudios se recomienda realizar evaluaciones del establecimiento de la regeneración natural considerando otros factores ambientales como son: la disponibilidad de las semillas, condiciones climáticas y edáficas, así como la tasa de germinación de cada especie. Además, se deben considerar factores que intervienen en cada etapa de desarrollo (formación, supervivencia y crecimiento) de la regeneración natural, ya que en cada una de ellas intervienen factores específicos (frecuencia y severidad de incendios, nivel de resiliencia, condiciones climáticas, etc.), por lo que los resultados no deben generalizarse.
En futuros trabajos se sugiere incluir propiedades físicas del suelo, depredadores de las semillas, estado de los árboles semilleros, banco de semillas del suelo y vigor tamaño y especie de regeneración natural.
Los resultados obtenidos muestran que diversas variables que caracterizan los incendios, en el Estado de Jalisco, influyen en el establecimiento de la regeneración natural, como son, las variables de altura y diámetro de copa de arbustos, peso seco de hierbas, diámetro de copa de pastos, combustibles de 10 horas y exposición.
El diámetro de copa y altura de arbustos mejoran la supervivencia de las plántulas debido a que fungen como especies nodrizas para la regeneración, ya que les proporcionan nutrientes, protección, humedad, entre otros beneficios.
Los combustibles de 10 horas en cargas menores favorecen el establecimiento y desarrollo de la regeneración, ya que crean un microambiente favorable.
La variable de exposición influye significativamente en la regeneración natural; por lo que, dependiendo de la orientación de los sitios, puede influir negativa o positivamente en la regeneración. Por ejemplo, la exposición norte resultó ser una variable positiva y significativa.
Aunque la variable de diámetro de copa de pastos resultó en una baja significativa, fue incluida en el modelo final, ya que la consideración de esta variable resulta en una estimación más ajustada.
Aunque el peso seco de hierbas resultó en una alta significancia en el proceso “stepwise”, no fue incluida en el modelo final, lo cual sugiere que la presencia de esta variable indica cierto nivel de competencia con la regeneración de pino, ya que el aumento en altura y cobertura de estas herbáceas puede provocar la mortalidad de las plántulas.
Agradecimientos
Al CONACYT por el financiamiento otorgado a Ana Graciela Flores Rodríguez dentro del marco de la realización de la maestría BIMARENA en la Universidad de Guadalajara. Al Instituto Nacional de Investigaciones Forestales Agrícolas y Pecuarias por financiar el proyecto “Respuesta de la regeneración natural al incremento de incendios forestales en el contexto del cambio climático” del cual se deriva esta investigación.
Referencias
Alejano M.R. 2003. La regeneración de pinares mediterráneos naturales con especial referencia a Pinus nigra ssp. salzmannii. Cuadernos de la Sociedad Española de Ciencias Forestales, (15: Actas de la III reunión sobre la regeneración natural y IV reunión sobre ordenación de montes): 77-87. https://doi.org/10.31167/csef.v0i15.9320.
Bartels S.F., Chen H.Y.H., Wulder M.A. & White J.C. 2016. Trends in post-disturbance recovery rates of Canada’s forests following wildfire and harvest. Forest Ecology and Management, 361: 194–207. DOI: 10.1016/j.foreco.2015.11.015.
Bond W.J. & Keeley J.E. 2005. Fire as a global ‘herbivore’: the ecology and evolution of flammable ecosystems. Trends in Ecology & Evolution, 20(7): 387–394. DOI: 10.1016/j.tree.2005.04.025
Brown J.K., Oberheu R.D. & Johnston C.M. 1982. Handbook for inventorying surface fuels and biomass in the interior west. General Technical Report INT-129. United States \ Department of Agriculture \ Forest Service \ Intermountain Forest and Range \ Experiment Station. https://www.fs.fed.us/rm/pubs_int/int_gtr129.pdf.
Castro J., Zamora R., Hódar J.A. & Gómez J.M. 2004. Seedling establishment of a boreal tree species (Pinus sylvestris) at its southernmost distribution limit: consequences of being in a marginal Mediterranean habitat. Journal of Ecology, 92(2): 266-277. https://www.jstor.org/stable/3599591.
Cerdá A. 1998. Changes in overland flow and infiltration after a rangeland fire in a Mediterranean scrubland. Hydrological Processes, 12(7): 1031-1042. DOI: 10.1002/(SICI)1099‑1085(19980615)12:7<1031::AID-HYP636>3.0.CO;2-V.
Chávez Á.A., Flores J.G. & Xelhuantzi J. 2011. Sistema de Cálculo de combustibles forestales (SICCO). Folleto Técnico Núm. 4. Instituto Nacional de Investigaciones Forestales, Agrícolas y Pecuarias \ Campo Experimental Centro Altos de Jalisco. México.
CONANP. 2000. Programa de manejo del área de protección de flora y fauna La Primavera. CONANP. México. https://simec.conanp.gob.mx/pdf_libro_pm/35_libro_pm.pdf.
Díaz-Hernández D., Rodríguez-Laguna R., Rodríguez-Trejo D.A., Acevedo-Sandoval A. & Maycotte-Morales C.C. 2021. Pinus montezumae regeneration dynamics after a forest fire and a prescribed burn . Botanical Sciences, 99(1): 58-66. DOI: 10.17129/botsci.2634.
Flores J.G. & Benavides J. de D. 1995. Efecto de las quemas prescritas sobre algunas características del suelo en un rodal de pino. Revista Mexicana de Ciencias Forestales, 20(77): 113-128. http://cienciasforestales.inifap.gob.mx/index.php/forestales/article/view/1025.
Flores J.G. & Moreno D.A., 2005. Modelaje espacial de la influencia de combustibles forestales sobre la regeneración natural de un bosque perturbado. Agrociencia, 39(3): 339-349. https://agrociencia-colpos.mx/index.php/agrociencia/article/view/398/398.
Flores J.G., Ruiz E., Flores A.G., Lomelí M.E. & García J.M. 2018. Metodología para toma de datos de regeneración natural en áreas impactadas por incendios forestales. Folleto Técnico. Núm. 3. SAGARPA\INIFAP\CIRPAC \ Campo Experimental Centro-Altos de Jalisco, México. https://vun.inifap.gob.mx/VUN_MEDIA/BibliotecaWeb/_media/_folletotecnico/4184_4896_Metodolog%c3%ada_para_toma_de_datos_de_regeneraci%c3%b3n_natural_en_%c3%a1reas_afectadas_por_incendios_forestales.pdf. https://www.researchgate.net/publication/333968127_METODOLOGIA_PARA_TOMA_DE_DATOS_DE_REGENERACION_NATURAL_EN_AREAS_AFECTADAS_POR_INCENDIOS_FORESTALES.
Godínez S.M., Rodríguez F.A., López N.P. & Camposeco J. 2016. Evaluación de la regeneración natural de tres especies de coníferas en áreas de distribución natural en el altiplano occidental de Guatemala. Ciencia, Tecnología y Salud, 3(1): 5-16. DOI: 10.36829/63CTS.v3i1.119.
Gordon D.R. & Rice K.J. 2000. Competitive suppression of Quercus douglasii (Fagaceae) seedling emergence and growth. American Journal of Botany, 87(7): 986-994. DOI: 10.2307/2656998
Haire S.L. & McGarigal K. 2010. Effects of landscape patterns of fire severity on regenerating ponderosa pine forests (Pinus ponderosa) in New Mexico and Arizona, USA. Landscape Ecology, 25: 1055–1069. DOI: 10.1007/s10980-010-9480-3.
He T., Lamont B.B. & Pausas J.G. 2019. Fire as a key driver of Earth’s biodiversity. Biological Reviews, 94(6): 1983-2010. DOI: 10.1111/brv.12544.
Juárez-Martínez A. & Rodríguez-Trejo D.A. 2003. Efecto de los incendios forestales en la regeneración de Pinus oocarpa var. ochoterenae. Revista Chapingo; Serie Ciencias Forestales y del Ambiente, 9(2): 125-130. https://www.redalyc.org/pdf/629/62913142003.pdf.
Madrigal J., Hernando C., Martínez E., Guijarro M. & Díez C. 2005. Regeneración pos-incendio de Pinus pinaster Ait. En la Sierra Guaderrama (Sistema central, España): modelos descriptivos de los factores influyentes en la densidad inicial y la supervivencia. Investigación Agraria: Sistemas y Recursos Forestales, 14(1): 36-51. https://recyt.fecyt.es/index.php/IA/article/view/2265/1672.
Mendoza M.A., Fajvan M.A., Chacón J.M., Velázquez A. & Quiñonez A. . 2014. Criterios y recomendaciones para el manejo silvícola de los bosques de pinos ponderosa. CONAFOR. México. http://www.conafor.gob.mx:8080/documentos/docs/50/6576Criterios%20y%20recomendaciones%20para%20el%20manejo%20pinos%20ponderosa.pdf. https://www.fs.fed.us/nrs/pubs/jrnl/2014/nrs_2014_mendoza-briseno_ESP_001.pdf.
Oliver C.D. & Larson B.C. 1996. Forest stand dynamics. John Wiley and sons, Inc., eds. New York / USA. https://elischolar.library.yale.edu/fes_pubs/1/.
Ortiz-Rodríguez J.N. & Rodríguez-Trejo D.A. 2008. Incremento en biomasa y supervivencia de una plantación de Pinus hartwegii Lindl. en áreas quemadas. Revista Chapingo, Serie Ciencias Forestales y del Ambiente, 14(2): 89-95. https://www.redalyc.org/pdf/629/62914203.pdf.
Ramírez-Contreras A. & Rodríguez-Trejo D.A. 2009. Plantas nodrizas en la reforestación con Pinus hartwegii Lindl. Revista Chapingo, Serie Ciencias Forestales y del Ambiente, 15(1): 43-48. https://www.redalyc.org/pdf/629/62916073010.pdf.
Reyes O. & Casal M. 2000. Comportamiento reproductivo tras fuego de especies forestales de Galicia. Cuadernos de la SECF, (9: Actas del I Reunión Grupo de Incendios Forestales - Taller sobre Empleo de Quemas Prescritas): 109-114. DOI: 10.31167/csef.v0i9.9188.
Rodríguez-García E., Juez L., Guerra B. & Bravo F. 2007. Análisis de la regeneración natural de Pinus pinaster Ait. en los arenales de Almazán-Bayubas (Soria, España). Investigación Agraria: Sistemas y Recursos Forestales, 16(1): 25-38. https://recyt.fecyt.es/index.php/IA/article/view/2222/1630.
Rodríguez-Trejo D.A. & Fulé P.Z. 2003. Fire ecology of Mexican pines and a fire management proposal. International Journal of Wildland Fire, 12(1): 23-37. DOI: 10.1071/WF02040.
SEMADET. 2016. Programa de Manejo del Fuego Área de Protección de Flora Fauna Sierra de Quila. SEMADET. México.
Serrada R. 2003. Regeneración natural: Situaciones, concepto, factores y evaluación. Cuadernos Sociedad Española de Ciencias Forestales, (15: Actas de la III reunión sobre la regeneración natural y IV reunión sobre ordenación de montes): 11-15. DOI: 10.31167/csef.v0i15.9313.
Sork V.L. 1993. Evolutionary ecology of mast-seeding in temperate and tropical oaks (Quercus ssp.). In: Fleming T.H. & Estrada A. (eds). Frugivory and Seed Dispersal: Ecological and Evolutionary Aspects; Vegetatio, vol.107-108: 133-147. Kluwer Academic Publishers. https://www.jstor.org/stable/20046304.
Sosa P., G. & Rodríguez T., D. A. 2003. Efecto de la calidad de planta en la supervivencia y crecimiento de Pinus patula en un área quemada. Revista Chapingo, Serie Ciencias Forestales y del Ambiente, 9(1): 35-43. https://www.redalyc.org/pdf/629/62990104.pdf.
Tapias R., Gil L., Fuentes-Utrilla P. & Pardos J.A. 2001. Canopy seed banks in Mediterranean pines of southeastern Spain. A comparison between Pinus halepensis Mill.,P. pinaster Ait., P. nigra Arn. and P. pinea L. Journal of Ecology, 89(4): 629–638. DOI: 10.1046/j.1365-2745.2001.00575.x.
Tarrega R., Calvo L. & Trabaud L. 1992. Effect of high temperatures on seed germination of two woody Leguminosae. Vegetatio, 102(2): 139–147. https://www.jstor.org/stable/20046209.
Tiscar P.A. 2007. Dinámica de regeneración de Pinus nigra subsp. salzmannii al sur de su área de distribución: Etapas, procesos y factores implicados. Investigación Agraria: Sistemas y Recursos Forestales, 16(2): 124-135. https://recyt.fecyt.es/index.php/IA/article/download/2212/1621.
Viana-Soto A., Aguado I. & Martínez S. 2017. Assessment of Post-Fire Vegetation Recovery Using Fire Severity and Geographical Data in the Mediterranean Region (Spain). Environments, 4(4): 1-17. DOI: 10.3390/environments4040090
Notas de autor
ana1386@hotmail.com