Artículo original

Recepción: 24 Octubre 2021
Aprobación: 18 Agosto 2022
Publicación: 06 Enero 2023
DOI: https://doi.org/10.21704/rea.v21i2.1962
Abstract: Trace metals continue to generate environmental pollution problems because of their persistence in the environment, representing a hazard for living organisms. Although recent studies have reported trace metal environmental pollution in soils of some parts of Lima, there is still much about trace metal pollution that needs to be explored. Using feral pigeons (Columba livia) as biomonitor could facilitate rapid assessments of trace metal contamination in cities like Lima. In this study, we determined the concentrations of lead (Pb), cadmium (Cd), zinc (Zn), copper (Cu), molybdenum (Mo), selenium (Se), iron (Fe) and strontium (Sr) in the liver of 21 pigeons from three sites with industrial, urban and rural land-use characteristics. Our results showed that when compared to the rural site, the concentrations of Pb, Zn, Cu, Se, Fe and Sr were significantly higher in both the industrial and urban sites. These findings suggest the existence of a trace metal concentration gradient with higher concentrations in both the industrial and urban sites. Such gradient is consistent with the land-use characteristics of each one of the three sites, corroborating the environmental pollution problems associated with them. Overall, our study provides powerful evidence of the use of feral pigeons as biomonitor of trace metal pollution in Lima and other cities from Peru and the world. To our knowledge, this is the first trace metals assessment done in pigeons in Peru.
Keywords: trace metals, heavy metals, biomonitor, environmental pollution, feral pigeon (Columba livia), Lima.
Resumen: Los metales traza continúan generando problemas de contaminación ambiental debido a su persistencia en el ambiente, representando un peligro para los seres vivos. Estudios recientes han reportado contaminación de metales pesados en suelos de algunas partes de Lima, sin embargo, queda aún mucho por explorar. El uso de la paloma de Castilla (Columba livia) como biomonitor podría facilitar evaluaciones rápidas y de detección de contaminación por metales traza en el ambiente. En este estudio, se determinó las concentraciones de plomo (Pb), cadmio (Cd), zinc (Zn), cobre (Cu), molibdeno (Mo), selenio (Se), hierro (Fe) y estroncio (Sr) en el hígado de 21 palomas de tres localidades con características de uso industrial, urbano y rural. Nuestros resultados mostraron que las concentraciones de Pb, Zn, Cu, Se, Fe y Sr eran más elevadas en las localidades industrial y urbana que en la rural. Esto sugiere la existencia de una gradiente con concentraciones de metales traza más elevadas en las localidades industrial y urbana. Dicho gradiente es consistente con las características del uso de la tierra de cada localidad y corrobora los problemas de contaminación ambiental asociados a ellas. Nuestro estudio expone el potencial de la paloma de Castilla para actuar como biomonitor de la contaminación por metales traza en Lima y otras ciudades del Perú y del mundo. Según nuestro conocimiento, esta es la primera evaluación de metales traza hecha con palomas en Perú.
Palabras clave: metales traza, metales pesados, biomonitor, contaminación ambiental, paloma de Castilla (Columba livia), Lima.
Introduction
Environmental pollution levels have increased since the industrial revolution around the World (Capó, 2002). In Lima, the vehicle fleet continuous growth and the increase of industries have raised the levels of environmental pollution in the past decades. Air pollution problems in Lima are aggravated by the air stagnation phenomena characteristic of the region (Silva et al., 2017). Consequently, the metropolitan area of Lima-Callao (MALC) was considered as one of the most polluted cities in Latin America, based on particulate matter (PM2.5) concentrations indicators (WHO, 2016). Inside PM2.5, trace metals particles, also known as heavy metals, can be found. These are non-biodegradable elements that persist in the environment and can cause health and environmental problems at high concentrations (Reinhold, 1975). Exposure to trace metals can interfere with distinct physiological pathways in humans and animals resulting in respiratory problems and cancers, among other health problems (Bauerová et al., 2020; Sall et al., 2020). Trace metal pollution is mainly associated with vehicle fleets and industrial emissions (Wright & Welbourn, 2002). But it can also be originated due to agrochemicals, pipes corrosion, and poor waste management (Azimi et al., 2003; Hill, 2010). Over the last decades, a series of regulations have aimed to reduce trace metal pollution. However, trace metals continue to represent an environmental problem in many parts of the globe (Frantz et al., 2012).
Trace metal pollution data in the MALC is scarce and limited across the city. Most studies have focused on air quality assessments, principally lead (Pb). Overall, these studies show that the air concentrations of trace metals have been decreasing over the past decades and are below the national environmental quality standards, with exceptions for some monitoring points in Callao (Narciso et al., 2000; DIGESA, 2005, 2007, 2012, 2019; OEFA, 2016; DIRESA, 2019; INEI 2020). On the other hand, the few studies conducted in soil and water sources in the MALC have revealed trace metal pollution. Narciso et al. (2000) reported high concentrations of Pb in soil and water at different locations across the MALC. Recently, an assessment conducted by the Peruvian Environmental Assessment and Control Agency (OEFA) registered trace metal concentrations in the soil higher than the environmental quality standards in the vicinity of the minerals concentrate terminal in Callao (OEFA, 2016). Furthermore, Tello et al. (2018) discovered high concentrations of Pb in the soil from parks from residential districts in the MALC. These findings provide evidence of the persistence of trace metals in the environment and the necessity of a broader assessment that facilitates the identification of environmental problems.
Biomonitors are considered an alternative or complementary method to chemical and physical trace metal assessments (Wolterbeek et al., 2003). Biomonitors acquire contaminants by absorbing the air, soil, water and food contaminated particles (Capó, 2002). By measuring contaminants concentration inside specific tissues, biomonitors provide quantitative information about the availability of contaminants in the environment, to which living organisms are exposed (Capó, 2002). Thus, biomonitors facilitate the detection of pollution problems inside their home range (Burger & Gochfeld, 1995; Adout et al., 2007). Biomonitor selection depends on the species capacity to metabolize and accumulate the contaminants, in addition to its distribution, abundance and accessibility (Capó, 2002).
The feral pigeon (Columba livia Gmelin, 1789) is one of the most widely used biomonitors employed for trace metal pollution around the globe. This species is considered to be a convenient and reliable biomonitor due to its abundance in cities, poor mobility through the year and bioaccumulation capacity (Nam & Lee, 2006a; 2006b). In addition, their food is constantly exposed to pollutants in the environment (Adout et al., 2007). Trace metals tend to accumulate in the soft tissues of the body. In pigeons, the liver is considered as the main storage site of trace metals (Begum & Sehrin, 2013), and is one of the most employed tissues in ecotoxicology due to its capacity to accumulate trace metals (Nam & Lee, 2006a). To our knowledge, no trace metal assessments using feral pigeons have been conducted in Peru. An extensively documented biomonitor, such as the feral pigeon, can be an important tool that provides information about the availability of trace metals in the environment, helping to detect pollution problems in the MALC.
In this document, we explore the use of feral pigeons to assess trace metals in three different land-use sites from the MALC: industrial, urban and rural. Our specific objectives are: 1) measure trace metal concentrations in the liver of feral pigeons: lead (Pb), cadmium (Cd), Zinc (Zn), Copper (Cu), Selenium (Se), Molybdenum (Mo), Iron (Fe) and Strontium (Sr); and 2) identify possible differences in concentrations from the three land-use sites. We expect that the industrial and urban sites present higher trace metal concentrations than the rural sites. The discussion of our results incorporates trace metal concentrations registered in the liver of feral pigeons by other studies.
Methodology
Sample sites
The MALC is one of the thirty largest cities in the world with more than eleven million inhabitants and a heterogenous landscape. We collected feral pigeons from three sites in the MALC with different land use: industrial, urban and rural (Figure 1). The industrial locality was situated in the surroundings of the warehouses located in the intersection of Nestor Gambetta and Argentina avenues at Callao district, an area characterized by foundries, factories, the minerals concentrate terminal, and the mineral railroad. The international airport Jorge Chávez and the heavily trafficked Elmer Faucett Avenue are less than 4 Km away from the sampled site. This area has been historically associated to trace metal pollution, especially lead (Pb). Over the past decade most air quality assessments have shown lead (Pb) concentrations values below the ECA (Environmental quality standards) in locations about 2 Km to the sample site (DIGESA, 2012). However, past and recent studies around the minerals concentrate terminal have revealed high concentrations in soil for lead (Pb), iron (Fe), zinc (Zn) among other metals (Narciso, et al., 2000; Espinoza, 2012; OEFA, 2016). The urban site was located in the residential area next to Caquetá market in the densely populated district of San Martín de Porres, located at in the core are of the MALC. The site is, close (< 1 Km) to the heavily trafficked Caquetá intersection, anintersection located between the North Pan-American Highway and Caquetá Avenue, one of the most traffic jammed areas of the MALC. The closest site with air quality information is located at Lima district (3 Km) and has not reported concentrations higher than the ECA for lead (Pb) in the past decades (DIGESA, 2005, 2007). The rural site was situated in the agricultural area of the Lurín district, about 0.7 Km to the South Pan-American Highway and 1.5 Km to Lurín city center. The area is dominated by cattle farms and crop fields, which are surrounded by an urban area with a low population density. Lurín is located to the South and thus is less affected by pollutants dispersed by the predominant winds blowing towards the north, the northeast and the east (Ilizarbe-Gonzáles et al., 2020). Lurín was considered as one of the districts with the lowest concentration of lead (Pb) in the air registered in the MALC (DIGESA 2012).

Sample collection
A total of 21 adult individuals were collected (between June - January 2015, 2016 and 2018), 9 from the industrial locality, 6 from the urban and 6 from the rural. Birds were capture using mist-nets ran by biological control companies operating at the study sites. Individuals were killed by breaking their necks and livers were extracted the same day. Livers were kept cool until the laboratory analysis to avoid any possible external contamination. Each locality registered a sex ratio of 1:1. The influence of sex on the trace metal concentrations was discarded using the Wilcoxon-Mann-Whitney test, with a significance level of 0.05.
Chemical analysis
Feral pigeon livers were analysed using an inductively coupled plasma mass spectrometry (ICP-MS), following the method EPA6020 (USEPA., 2014). This technique determines trace multi-elemental and isotopic concentrations from a single sample. Prior to the analysis, samples were digested in concentrated nitric acid and later diluted with ionized water. All chemical analyses were conducted by ALS Life Sciences Division laboratory from Corplab Peru.
Statistical analysis
Kruskal–Wallis tests were performed to identify if statistically significant differences exist in the concentration of each trace metal between the three sites. This is a non-parametric test that allows for unequal sample sizes across sampled sites. To identify which sites differed significantly from each other, we conducted a Post-hoc analysis using Dunn's procedure (Dunn, 1964) with a Bonferroni correction for multiple comparisons (Pohlert, 2014). We further conducted a principal component analysis (PCA) to explore trace metals distribution patterns among the three sites. Prior to PCA execution, we conducted a Z-scores transformation. All statistical analyses were conducted using R v3.4.1 software (R Development Core Team, 2017).
Results and discussion
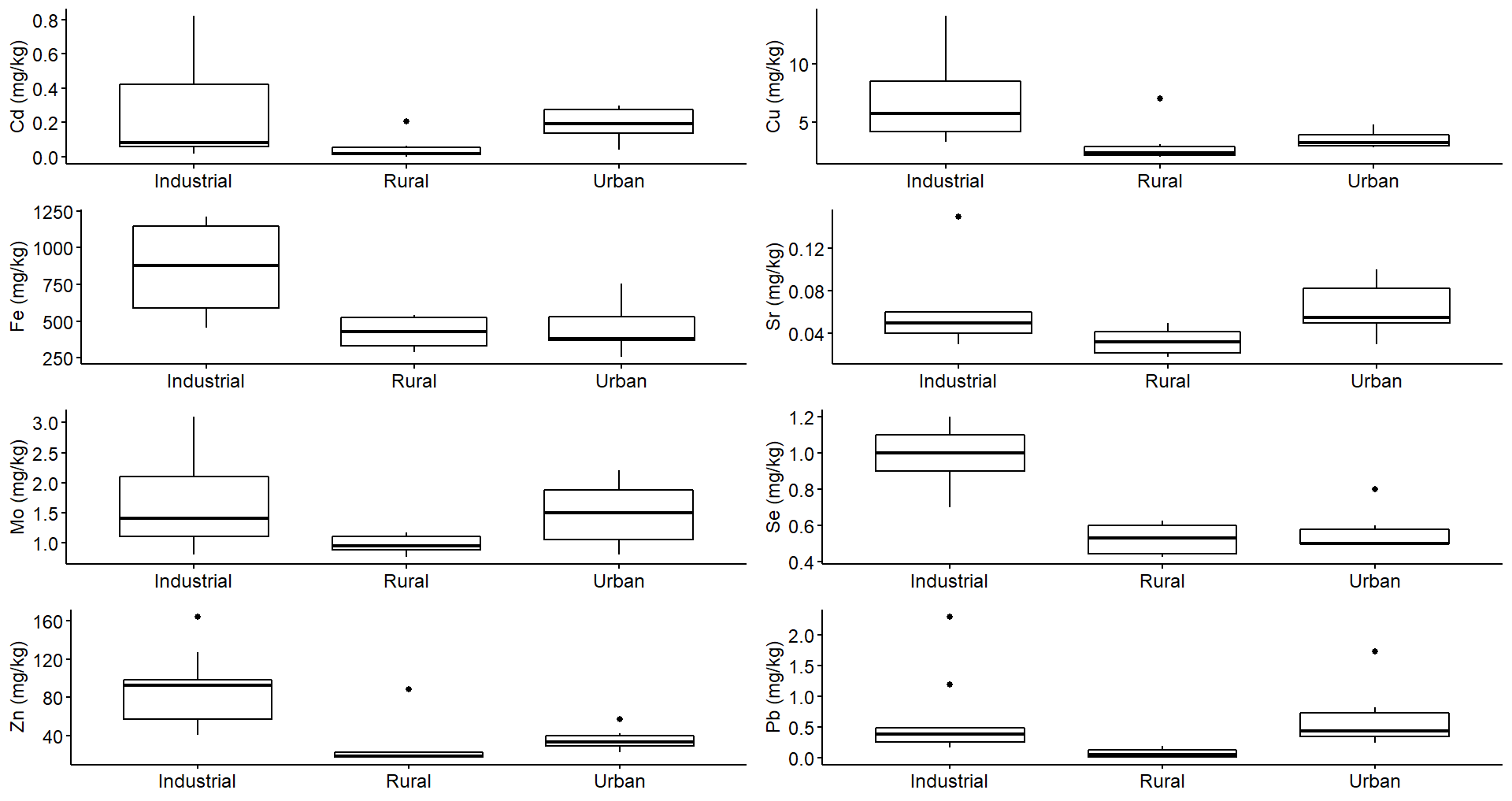
According to our prediction, the industrial and urban sites presented higher mean concentration values than the rural site (Table 1, Figure 2). The industrial site registered the highest mean concentration for Cd, Zn, Cu, Mo, Se, and Fe, while the urban site registered the highest mean concentration for Pb and Sr. We registered significant differences between sites in Pb, Zn, Cu, Se, Fe and Sr. The rural site presented significant differences with the other two sites in Pb, with the industrial site in Zn, Cu, Se, Fe, and with the urban site in Sr (Table 1).
In the PCA analysis (Figure 3), the first two components explained 71.69% of the variation with eigenvalues of 4.15 and 1.59, respectively. The first component showed positive values for all trace metals, while the second component showed positive values for Cd, Fe, Pb, and Se. PCA biplots revealed that Zn, Cu, Se, and Fe concentrations, which were higher in the industrial site, were mainly associated with the first component (PC1); while Cd, Pb, Mo, and Sr concentrations were more correlated to the second component (PC2) and presented higher concentrations in the industrial and rural sites than the urban. PCA biplot distribution patterns revealed that individuals from the industrial site were grouped to the right of the first component. These were strongly associated with all trace metals in contrast to the individuals from the rural site, which were grouped at the opposite site and presented lower concentrations. Individuals from the urban site were grouped at the centre of the biplot, indicating similarities with the other two groups.
Most trace metals in this study are considered as oligo-elements (naturally present in the body), with the exception of the toxic elements Pb and Cd. All of them are subject to bioaccumulation at both low and high concentrations in the environment (Burger & Gochfeld, 1995). Our results revealed differences in trace metal liver concentrations between sites, showing that pigeons from the industrial and urban sites accumulated higher quantities of trace metals. The higher accumulation of metals indicates that these sites presented a higher availability of metals in the environment than the rural site. These differences suggest the existence of a trace metal pollution gradient along with the three sites. Such gradient is consistent with the bigger amount of pollution sources present at the industrial and urban sampled sites. Moreover, the lower concentrations registered in the rural site would correspond to the absence or smaller amount of pollution sources that characterize the rural site. Thus, the industrial and urban sites contrast to the rural site suggests that trace metals pollution sources could be causing environmental problems in the former two.
The industrial site presents characteristics that could be linked to a higher bioaccumulation of metals in pigeons. The minerals concentrate terminal located in the area storages all minerals analysed in this study and has been identified as a source of trace metal pollution in the past decades (Narciso et al., 2000. Espinoza 2012, OEFA, 2016). The site also has a long story of industrial activities, such as foundries and factories which emissions are associated with trace metal environmental pollution (Wright & Welbourn, 2002; Alloway, 2013). These pollution sources could have contributed to increase the concentration of trace metals in the environment, particularly for Zn, Se and Fe, which concentrations were higher than the urban and industrial sites, where industrial activities are absent or have a minimum presence of them. The industrial site also presented concentrations of Pb and Sr higher than the rural site but similar to the urban site, suggesting possible pollution sources in the latter. In the case of Cu, even though no significant differences were found, the industrial site presented a higher concentration than the other two sites.
The main pollution sources at the urban site are the vehicle fleet and the inadequate waste management (Azimi et al., 2003; Alloway, 2013; Pulles et al., 2012). The vehicle fleet produce emissions of Cd, Cu, Pb, Se, Zn, among other trace metals that persist in the environment over the years (Frantz et al., 2012). The proximity of the urban site to historically trafficked avenues could have contributed to the bioaccumulation of trace metals, particularly for Pb, which concentration in the urban site was similar to the industrial site. In addition, trace metals could have arrived by wind to the study sites (Ilizarbe-Gonzáles et al., 2020); however, this issue has been mainly reported in the North side of the MALC.
Our results fall in the concentration range reported by other studies for Pb, Cd, and Zn (Table 2). The concentrations of Pb (0.073 ± 0.075 mg/Kg) and Cd (0.054 ± 0.078 mg/Kg) registered in the rural site stand out as they are among the lowest concentrations registered in the liver of feral pigeons. Pb and Cd concentrations lower than 0.1 mg/Kg have been reported in rural areas of Rabat and Mohammedia (Morocco), with no environmental pollution problems (Elabidi et al., 2010; Kouddane et al., 2016). Hence, Pb and Cd concentrations registered in the rural site could be considered as representative values for environments without trace metal pollution in the MALC.
The lack and scarcity of studies for Cu, Mo, Fe, Se, and Sr concentrations in the liver of feral pigeons complicate the interpretation of our results concerning scenarios with or without trace metal pollution (Table 2). However, the differences found between the three sites for these metals along the pollution problems reported by OEFA (2016) suggest that the industrial site suffers from environmental pollution problems. We recommend assessing other rural localities in the MALC to comprehend how far the industrial site concentrations are from scenarios without trace metal pollution.
Our results evidence the capacity for biomonitors to detect environmental pollution problems by identifying gradients of trace metals availability in the environment. This information can be essential for acknowledging the exposure of living organisms, humans included, to pollution sources. By contrast, physical and chemical assessments conducted in the MALC have shown different results depending on the proximity to the pollution source (DIGESA, 2007; OEFA, 2016). These results may also differ depending if trace metals were assessed in air, soil or water (Narciso et al., 2000; Espinoza, 2012). Thus, our research expresses the potential of feral pigeons to act as biomonitors that facilitate the identification of trace metal pollution in the environment.
Our study presented limitations regarding the small size and heterogeneity of the samples, which can affect their representativeness (i.e. pigeons coming from other areas). In addition, we did not count with recent data about the trace metal pollution in the study sites that could facilitate the interpretation of our results. However, despite these limitations our results showed concordance with the values registered in by other studies and with the pollution across the study sites. Further research should consider increasing the sample size and monitor the site fidelity of pigeons. Incorporating sampling sites with updated environmental data and samples from a captive population could improve the results and their interpretation, specially for trace metals with little information.




Conclusion
The assessment of trace metals (Pb, Cd, Zn, Cu, Mo, Se, Fe, and Sr) in the liver of feral pigeons conducted by this study suggests the existence of a trace metals concentration gradient among the sampled sites. In this gradient, the industrial and urban localities present a higher availability of trace metals in the environment than in the rural site. Our results are consistent with the land-use characteristics of each site and support the environmental pollution problems reported by some studies conducted in the MALC. Therefore, we propose using feral pigeons (Columba livia) as biomonitors for trace metals assessments in the MALC and suggest replicating this study in other parts of Peru and the world.
Literature cited
Adout A., Hawlena D., Maman R., Paz-Tal O. & Karpas Z. 2007. Determination of trace elements in pigeon and raven feathers by ICPMS. International Journal of Mass Spectrometry, 267(1-3): 109-116. https://doi.org/10.1016/j.ijms.2007.02.022.
Alloway B.J. 2013. Sources of heavy metals and metalloids in soils. In: Alloway B.J. (Ed.) Heavy Metals in Soils. 11-50. Environmental Pollution book series (EPOL), volume 22. Springer, Dordrecht. https://doi.org/10.1007/978-94-007-4470-7.
Azimi S., Ludwig A., Thévenot D.R. & Colin J.-L. 2003. Trace metal determination in total atmospheric deposition in rural and urban areas. Science of The Total Environment, 308(1-3): 247-256. https://doi.org/10.1016/S0048-9697(02)00678-2.
Begum A. & Sehrin S. 2013. Levels of heavy metals in different tissues of pigeon (Columba livia) of Bangladesh for safety assessment for human consumption. Bangladesh Pharmaceutical Journal, 16(1): 81–87. https://doi.org/10.3329/bpj.v16i1.14499.
Bauerová P., Krajzingrová T., Těšický M., Velová H., Hraníček J., Musil S., Svobodová J., Albrecht T. & Vinkler M. 2020. Longitudinally monitored lifetime changes in blood heavy metal concentrations and their health effects in urban birds. Science of the Total Environment, 723: 138002. https://doi.org/10.1016/j.scitotenv.2020.138002.
Burger J. & Gochfeld M. 1995. Biomonitoring of heavy metals in the Pacific Basin using avian feathers. Environmental Toxicology and Chemistry, 14(7): 1233-1239. https://doi.org/10.1002/etc.5620140716.
Capó M. 2002. Principios de Ecotoxicología. Diagnóstico, Tratamiento, Gestión del Medio Ambiente. McGraw-Hill/Interamericana de España.
Cui J., Wu B., Halbrook R.S. & Zang S. 2013. Age-dependent accumulation of heavy metals in liver, kidney and lung tissues of homing pigeons in Beijing, China. Ecotoxicology, 22: 1490-1497. https://doi.org/10.1007/s10646-013-1135-0.
Delgado G.R.A., Fortoul G.T.I. & Rosiles M.R. 1994. Concentraciones de plomo, cadmio y cromo y su relación con algunas modificaciones morfológicas en tejidos de palomas Columba livia de la ciudad de México e Ixtlahuaca, Estado de México. Veterinaria México, 25(2): 109-115. https://www.medigraphic.com/cgi-bin/new/resumen.cgi?IDARTICULO=23430.
DIGESA. 2005. Programa Nacional de Vigilancia Sanitaria de Calidad del Aire. Análisis de resultados de los promedios anuales por año: 2000-2005. DIGESA (Dirección General de Salud Ambiental). Perú. Accessed on 20 June 2020 from: http://www.digesa.minsa.gob.pe/DEPA/aire_lc/pb-2005.asp.
DIGESA. 2007. Programa Nacional de Vigilancia Sanitaria de Calidad del Aire. Análisis de resultados de los promedios anuales por año: 2007. DIGESA (Dirección General de Salud Ambiental). Perú. Accessed on 20 June 2021 from: http://www.digesa.minsa.gob.pe/DEPA/pral2/lima.asp.
DIGESA. 2012. II Estudio de saturación Lima Metropolitana y Callao año 2011. Ministerio de Salud \ DIGESA (Dirección General de Salud Ambiental). Perú. http://www.digesa.minsa.gob.pe/depa/informes_tecnicos/Estudio%20de%20Saturacion%202012.pdf.
DIRESA. 2019. Análisis de Situación de Salud Región Callao (ASIS 2019). DIRESA (Dirección Regional de Salud) Callao, Perú. https://www.diresacallao.gob.pe/wdiresa/documentos/boletin/epidemiologia/asis/FILE0004882021.pdf.
DIGESA. 2019. Programa Nacional de Vigilancia Sanitaria de Calidad del Aire. Análisis de resultados de los promedios mensuales de metales del año 2019 Lima – Callao. DIGESA (Dirección General de Salud Ambiental). Perú. Accessed on 20 June 2021 from: http://www.digesa.minsa.gob.pe/DEPA/pral2/lima_metales.asp.
Dunn O.J. 1964. Multiple comparison using rank sums. Technometrics, 6(3): 241-252. http://dx.doi.org/10.1080/00401706.1964.10490181.
Elabidi A., Fekhaoui M., Ghouli A., Piervittori R. & Yahyaoui A. 2010. Use of pigeons as bioindicators of air pollution from heavy metals at Rabat-Salé (Morocco). Avocetta, 34: 29-34. http://hdl.handle.net/2318/119386.
Espinoza J. 2012. Dispersión de metales pesados al entorno de los exdepositos de concentrados "Selva Central" y" Atalaya", propiedad de PERUBAR SA. Revista del Instituto de Investigación de la Facultad de Minas, Metalurgia y Ciencias Geográficas, 15(30): 99-110. https://revistasinvestigacion.unmsm.edu.pe/index.php/iigeo/article/view/3755.
Frantz A., Pottier M.-A., Karimi B., Corbel H., Aubry E., Haussy C., Gasparini J. & Castrec-Rouelle M. 2012. Contrasting levels of heavy metals in the feathers of urban pigeons from close habitats suggest limited movements at a restricted scale. Environmental Pollution, 168: 23-28. https://doi.org/10.1016/j.envpol.2012.04.003.
Hill M.K. 2010. Understanding environmental pollution. Third edition. Cambridge University Press. https://assets.cambridge.org/97805217/36695/frontmatter/9780521736695_frontmatter.pdf.
Hutton M. & Goodman G.T. 1980. Metal contamination of feral pigeons Columba livia from the London area: Part I – Tissue accumulation of lead, cadmium and zinc. Environmental. Pollution Series A, Ecological and Biological, 22(3): 207-217. https://doi.org/10.1016/0143-1471(80)90015-X.
Ilizarbe-Gonzáles G.M., Rojas-Quincho J.P., Cabello-Torres R.J., Ugarte-Alvan C.A., Reynoso-Quispe P. & Valdiviezo-Gonzales L.G. 2020. Chemical characteristics and identification of PM10 sources in two districts of Lima, Peru. DYNA, 87(215): 57-65. https://doi.org/10.15446/dyna.v87n215.83688.
INEI. 2020. Perú: Anuario de Estadísticas Ambientales. INEI (Instituto Nacional de Estadística e Informática). Perú. https://www.inei.gob.pe/media/MenuRecursivo/publicaciones_digitales/Est/Lib1760/libro.pdf.
Johnson M.S., Pluck H., Hutton M. & Moore G. 1982. Accumulation and renal effects of lead in urban populations of feral pigeons, Columba livia. Archives of environmental contamination and toxicology, 11(6): 761-767. https://doi.org/10.1007/BF01059165.
Kim J.S., Han S.H., Lee D.P. & Gu T.H. 2001. Heavy metal contamination of feral pigeons Columba livia by habitat in Seoul. The Korean Journal of Ecology, 24(5): 303-307. http://koreascience.or.kr/article/JAKO200111921336964.page.
Kouddane N., Mouhir L., Fekhaoui M., Elabidi A. & Benaakame R. 2016. Monitoring air pollution at Mohammedia (Morocco): Pb, Cd and Zn in the blood of pigeons (Columba livia). Ecotoxicology, 25(4): 720-726. DOI: 10.1007/s10646-016-1631-0.
Nam D.-H. & Lee D.-P. 2006a. Monitoring for Pb and Cd pollution using feral pigeons in rural, urban, and industrial environments of Korea. Science of The Total Environment, 357(1-3): 288-295. https://doi.org/10.1016/j.scitotenv.2005.08.017.
Nam D.-H. & Lee D.-P. 2006b. Reproductive effects of heavy metal accumulation on breeding feral pigeons (Columba livia). Science of The Total Environment, 366(2-3): 682-687. https://doi.org/10.1016/j.scitotenv.2006.02.004.
Narciso J., Gaztañaga C., Espinoza R., Sánchez C., Moscoso S., Quequejana J. & Hernández M. 2000. Estudio para determinar las fuentes de exposición de plomo en la Provincia Constitucional del Callao, Perú. DIGESA (Dirección General de Salud Ambiental / MINSA / Perú) & USAID. https://pdf.usaid.gov/pdf_docs/Pnack563.pdf.
OEFA. 2016. Informe N° 262-2016-OEFA/DE-SDCA: Informe de monitoreo ambiental de calidad del aire y suelo realizado del 24 al 29 de mayo de 201 6, en el distrito y Provincia Constitucional del Callao. OEFA (Organismo de Evaluación y Fiscalización Ambiental). Perú. http://visorsig.oefa.gob.pe/datos_DE/PM0203/PM020302/03/IF/IF_262-2016-OEFA-DE-SDCA.pdf.
Pohlert T. 2014. The Pairwise Multiple Comparison of Mean Ranks Package (PMCMR). R package. https://cran.r-project.org/package=PMCMR.
Pulles T., van der Gon H.D., Appelman W. & Verheul M. 2012. Emission factors for heavy metals from diesel and petrol used in European vehicles. Atmospheric Environment, 61: 641-651. https://doi.org/10.1016/j.atmosenv.2012.07.022.
R Development Core Team. 2017. R: A language and environment for statistical computing. R Foundation for Statistical Computing, Vienna, Austria. https://www.r-project.org/.
Reinhold J.G. 1975. Trace elements—a selective survey. Clinical chemistry, 21(4): 476-500. https://doi.org/10.1093/clinchem/21.4.476.
Sall M.L., Diaw A.K.D., Gningue-Sall D., Efremova Aaron S. & Aaron J.J. 2020. Toxic heavy metals: impact on the environment and human health, and treatment with conducting organic polymers, a review. Environmental Science and Pollution Research, 27(24): 29927-29942. http://dx.doi.org/10.1007/s11356-020-09354-3.
Silva J., Rojas J., Norabuena M., Molina C., Toro R.A. & Leiva-Guzmán M.A. 2017. Particulate matter levels in a South American megacity: the metropolitan area of Lima-Callao, Peru. Environmental Monitoring and Assessment, 189(12): Article number 635. https://doi.org/10.1007/s10661-017-6327-2.
Schilderman P.A., Hoogewerff J.A., van Schooten F.J., Maas L.M., Moonen E.J., van Os B.J., van Wijnen J.H. & Kleinjans J.C., 1997. Possible relevance of pigeons as an indicator species for monitoring air pollution. Environmental health perspectives, 105(3): 322-330. https://doi.org/10.1289/ehp.97105322.
Tello L., Jave J. & Guerrero J. 2018. Análisis de cuantificación de plomo en suelos de parques recreacionales de la ciudad de Lima - Perú. Ecología Aplicada, 17(1): 1-12. https://doi.org/10.21704/rea.v17i1.1168.
Torres J., Foronda P., Eira C., Miquel J. & Feliu C. 2010. Trace element concentrations in Raillietina micracantha in comparison to its definitive host, the feral pigeon Columba livia in Santa Cruz de Tenerife (Canary Archipelago, Spain). Archives of Environmental Contamination and Toxicology, 58: 176-182. https://doi.org/10.1007/s00244-009-9352-5.
USEPA. (United States Environmental Protection Agency). 2014. EPA Method 6020B (SW-846): Inductively Coupled Plasma-Mass Spectrometry. Revision 2. Washington, DC. https://www.epa.gov/esam/epa-method-6020b-sw-846-inductively-coupled-plasma-mass-spectrometry.
Wolterbeek H.T., Garty J., Reis M.A.& Freitas M.C. 2003. Biomonitors in use: lichens and metal air pollution (Chapter 11). In: Markert B.A., Breure A.M. & Zechmeister H.G. (eds.). Bioindicators and biomonitors (Volume 6). 377-380. Trace Metals and other Contaminants in the Environment Serie, Volume 6. Elsevier. https://doi.org/10.1016/S0927-5215(03)80141-8.
WHO (World Health Organization). WHO Global Urban. Ambient Air Pollution Database. 2016. Accessed on 10 December 2017 from: http://www.who.int/phe/health_topics/outdoorair/databases/cities/en/.
Wright D.A. & Welbourn P. 2002. Metals and other inorganic chemicals. In: Wright D.A. & Welbourn P. Environmental Toxicology. 249-348. Cambridge University Press, Cambridge. https://doi.org/10.1017/CBO9780511805998.008.
Notas de autor
dguevara@corbidi.org