Aplicación de Modelos Matemáticos en Curvas de Ruptura de contaminantes del Biogás
Mathematical Models Applied to Biogas contaminants Breakthrough Curves
Aplicação de modelos matemáticos em Curvas de ruptura de poluentes Biogás
Aplicación de Modelos Matemáticos en Curvas de Ruptura de contaminantes del Biogás
Revista ION, vol. 29, núm. 1, 2016
Universidad Industrial de Santander
Recepción: 22 Noviembre 2015
Aprobación: 08 Enero 2016
Resumen: En este proyecto se purificó el biogás empleando columnas de adsorción independientes empacadas con carbón activado, limadura de hierro, caolín y carbonato de calcio. Los experimentos se realizaron en columnas de polipropileno de 2cm de diámetro y 9cm de longitud. Las curvas de ruptura se construyeron con un flujo de biogás promedio diario de 2,2L. Se tomaron muestras durante 28 días como máximo, a las cuales se cuantificaron la composición del biogás mediante cromatografía de gases y un analizador de gases en línea. Las curvas se ajustaron a tres modelos matemáticos. En el caso del Carbón activado se obtuvo un coefi ciente de correlación de 0,9987 y 0,9991 para el Sulfuro de Hidrógeno (H2S) y el Amoniaco (NH3), respectivamente. En el caso de la limadura de hierro se obtuvo un coeficiente de correlación de 0,9945 y 0,9975 para el H2S y NH3, respectivamente. Empleando caolín se obtuvo un coeficiente de correlación de 0,9994 y 0,9885 para el H2S y NH3, respectivamente. Con Carbonato de Calcio se obtuvo un coeficiente de correlación de 0,9988 y 0,9985 para el H2S y NH3, respectivamente. El porcentaje de remoción del H2S y del NH3 del carbón activado fue del 72,6%, la limadura de hierro fue del 74,1%, el caolín fue del 32,7% y del carbonato de calcio del 65,4%.
Palabras clave: Modelos matemáticos, curvas de ruptura, purificación de biogás, sulfuro de hidrógeno, amoniaco, adsorción.
Abstract: In this project biogas was purifi ed using separate packed bed adsorption columns using activated carbon, iron filings, kaolin and calcium carbonate. Experiments were performed in 2cm diameter and 9cm length polypropylene columns. The breakthrough curves were constructed with an average biogas flow of 2.2L per day. Samples were taken for almost 28 days, which biogas composition were quantifi ed using gas chromatography and online gas analyser. The curves were fi tted to three mathematical models. Using activated carbon a correlation coeffi cient of 0.9987 and 0.9991 for hydrogen sulfi de (H2S) and ammonia (NH3), respectively, were obtained. In the case of iron filings a correlation coeffi cient of 0.9945 and 0.9975 for H2S and NH3, respectively, were obtained. Using kaolin a correlation coeffi cient of 0.9994 and 0.9885 for H2S and NH3, respectively, were obtained. Finally, using calcium carbonate with a correlation coeffi cient of 0.9988 and 0.9985 for H2S and NH3, respectively, were obtained. Removal percentage of H2S and NH3 using activated carbon was 72.6%, iron filings was 74.1%, kaolin was 32.7% and calcium carbonate was 65.4%.
Keywords: Mathematical models, breakthrough curves, biogas purification, Hydrogen sulfide, ammonia, adsorption.
Resumo: Nesta pesquisa foi purificado o biogás utilizando colunas de adsorção independentes empacotadas com carvão ativado, limalha de ferro e caulim. Os ensaios foram realizados em colunas de polipropileno de 2cm de diâmetro e 9cm de comprimento. As curvas de ruptura foram construídas com fluxo médio diário de 2,2L. As amostras foram retiradas durante 28 dias, as quais foram quantificadas a composição de biogás através de cromatografia de gás e um analisador de gás on-line. As curvas foram ajustadas a três modelos matemáticos. Os resultados mostraram para carvão ativado um coeficiente de correlação de 0,9987 e 0,9991 de sulfeto de hidrogênio (H2S) e amônia (NH3), respetivamente. No caso de limalha de ferro um coeficiente de correlação de 0,9945 e 0,9975 de H2S e NH3, respectivamente. Para o caulim um coeficiente de correlação de 0,9994 e 0,9885 de H2S e NH3, respectivamente. Para o carbonato de cálcio um coeficiente de correlação de 0,9988 e 0,9985 de H2S e NH3, respectivamente. A percentagem de remoção de carvão ativado foi de 72,6%, limalha de ferro foi de 74,1%, caulim foi de 32,7%, e carbonato de cálcio foi de 65,4%. Todas as curvas foram ajustadas para o mesmo modelo. Palabras-chave: Modelos matemáticos, curvas de ruptura, purificação de biogás, sulfeto de hidrogênio, amônia, adsorção. Introducción
Palavras-chave: Modelos matemáticos, curvas de ruptura, purificação de biogás, sulfeto de hidrogênio, amônia, adsorção.
Introducción
El biogás es un gas combustible que se genera en medios naturales como pantanos, rellenos sanitarios, estómagos de rumiantes o de manera artificial en dispositivos específicos llamados digestores anaerobios; los microorganismos consumen el componente orgánico degradable obteniéndose biogás y un producto biológicamente estable [1]. Es un combustible de mediano contenido energético (22-30MJ/kg) [2], donde la calidad y cantidad de biogás producido dependerá de la composición y la naturaleza del residuo utilizado, de la configuración del reactor y la posibilidad de separar las etapas de la digestión [3]. Aunque la composición del biogás varía de acuerdo a la biomasa utilizada, su composición aproximada está entre 40 y 70% de metano (CH4), 20 y 60% de dióxido de carbono (CO2), 0 y 10% de sulfuro de hidrógeno (H2S), 0 y 1% de hidrógeno (H2) [4], 0 y 5% de amoniaco (NH3) y menos del 1% de otros gases [5].
Las emisiones de biogás pueden causar daños al medio ambiente por la presencia del H2S gaseoso, que es perjudicial para seres humanos y animales. A bajas concentraciones, este gas tiene un olor desagradable, como al de huevo podrido, y a altas concentraciones puede ser potencialmente mortal [6]. Por su parte el NH3 presente en el biogás puede ser venenoso si se inhala en grandes cantidades (concentraciones por encima de 50-100ppm), e irritación en los ojos, garganta y nariz en niveles de concentración menores [7]. Por otro lado, el biogás puede ser utilizado para generar energía eléctrica, donde estos contaminantes causan corrosión en las partes metálicas del interior de las máquinas, haciendo necesaria la purificación del biogás a niveles inferiores de los 50ppm de H2S [8].
Desde hace algunos lustros se ha venido estudiando la implementación de diversas alternativas para retirar los contaminantes presentes en el biogás [9], dentro de ellas están los procesos de adsorción química, adsorción física, adsorción en superficie sólida, separación por membrana, separación criogénica, conversión química y procesos biológicos [10]. Una de las alternativas más utilizadas es la adsorción en superficie sólida en columnas de lecho empacado, empleando diversos materiales sólidos, el cual cumple la función de filtro para los contaminantes del biogás como el dióxido de carbono, el sulfuro de hidrógeno, el amoniaco, entre otros, garantizando así un biogás con alto contenido en metano [11]. Muchos de los sustratos utilizados en las columnas de adsorción son la limadura de hierro, óxido de calcio, hidróxido de potasio, carbón activado, y otros minerales puesto que estos presentan características fisicoquímicas que favorecen la capacidad de adsorción frente a los contaminantes [12].
Las curvas de ruptura son necesarias para el diseño de las columnas de adsorción para la purificación de corrientes líquidas o gaseosas, gracias a la información sobre el comportamiento dinámico de la concentración del analito en el tiempo [13]. Los modelos matemáticos fueron creados para el ajuste de las curvas de ruptura experimentales y la predicción del proceso de adsorción. Estos modelos son usados para el diseño y escalado de los procesos de separación [14]. El criterio más importante en el diseño de una columna de adsorción es la predicción de la curva de ruptura o la forma del frente de onda de adsorción, lo cual determina la longitud del lecho, la vida útil y su tiempo de regeneración [15].
En este trabajo se aplicaron varios modelos matemáticos para describir la saturación de un adsorbente por medio de las curvas de ruptura. Se seleccionaron tres adsorbentes económicos y fáciles de adquirir a nivel nacional como el carbón activado, la limadura de hierro y el caolín. Se realizaron montajes de columnas empacadas con cada adsorbente y se hizo pasar un flujo de biogás producido en un digestor anaerobio. Se midieron las concentraciones de H2S, NH3, CH4 y CO2 a la entrada y a la salida de la columna para realizar las respectivas gráficas. Finalmente, se analizaron los modelos para ver cuál se ajustaba mejor.
Metodología experimental
Producción de biogás
Para la producción de biogás se hizo uso de un digestor anaerobio de 5L (Armfield, W8), con una modificación en la instalación en la parte superior de un agitador mecánico (IKA, RW 16). El digestor cuenta con sistema de control de temperatura, la cual se mantuvo constante a 34°C mediante mantas calefactoras de 200W, y control de la agitación a 150rpm la cual se encendía 20 minutos cada 2 horas. El digestor se alimentaba diariamente a la misma hora con el mismo sustrato para obtener un volumen y unas propiedades lo más estables posibles.
Los sustratos utilizados fueron residuos de comida del restaurante del bloque 11 de Ingenierías de la Universidad Pontificia Bolivariana sede Medellín.
Se trituraron y se conservaron en bolsas de polietileno en un congelador a -20ºC +/-2ºC. Como inóculo inicial se empleó lodo anaerobio proveniente de la PTAR San Fernando.
Selección de los adsorbentes
El Carbón activado utilizado se adquirió de Cabot (Darco BG) con un tamaño medio de partícula de 1mm (malla 16), densidad aireada de 580kg/m3 y una superficie específica de 1,100m2/g. La limadura de hierro se obtuvo gratuitamente a partir de los residuos en cerrajerías y negocios donde se manejaba la soldadura de hierro, con una densidad promedio de 1890kg/m3. El caolín se adquirió localmente en empresas distribuidoras de productos químicos, y proveniente de las minas de Minerales Industriales en La Unión (Antioquia) con una densidad promedio de 755kg/m3. El carbonato de calcio se obtuvo de un proveedor de insumos químicos local, con un tamaño de partícula de 4mm (malla 4), densidad aireada de 705kg/m3 y una superficie específica de 2000m2/g.
Construcción y montaje de las columnas de adsorción
Para la construcción de las columnas de adsorción se realizó con base a lo descrito por Elizondo y Herrera [16], en el cual se establecen materiales que no reaccionen con ningún compuesto presente en el biogás, tal como vidrio, material polimérico o PVC. Las columnas se construyeron en tubos de polipropileno de 2cm diámetro interno y una altura de 9cm. En los extremos se ubicaron racores plásticos de polietileno, inertes a los componentes del biogás, garantizando la hermeticidad. En la parte inferior de las columnas se colocó una malla plástica para retener cada uno de los sustratos para prevenir una posible obstrucción y garantizar el libre flujo del biogás a través de las columnas. Adicionalmente se implementó en cada columna una zona de redistribución, material de menor granulometría dentro del lecho (Figura 1), para garantizar que el biogás tenga contacto con todo el lecho de la columna y así aumentar el área de contacto, y por ende la transferencia de masa incrementa, como lo describen Ramírez et al. [17].

Las columnas se empacaron en un 40% de su volumen total con cada sustrato, para garantizar un tiempo de residencia similar debido a la diferencia de densidades. Se utilizaron 3,14g de carbón activado, 8,37g de limadura de hierro, 3,25g de caolín y 2,98g de carbonato de calcio en las columnas empacadas.
Proceso de purificación del biogás En el proceso de purificación del biogás, obtenido del digestor anaerobio (Armfield, W8) de 5L con residuos de restaurante, el cual se conectó la salida de biogás del digestor a la parte inferior de una columna empacada con el adsorbente por medio de tubería flexible de silicona. En el digestor se tomaron directamente las muestras de biogás producido antes de pasar por la columna de adsorción. Luego se conectó la salida de la columna, parte superior, a un colector de biogás provisto para la medición del biogás producido por desplazamiento de un líquido que corresponde a una solución salina ácida preparada con naranja de metilo, NaCl, NaHCO3 y H 2SO4, para evitar la solubilización de los gases y el cambio de su composición. Desde este reservorio se tomaron las muestras de biogás purificada. El montaje del sistema de purificación del biogás se muestra en la Figura 2.

Las muestras fueron tomadas con una jeringa de polipropileno de 50mL del punto MG1, muestra de entrada a la columna empacada, y MG2, salida de la columna empacada, cada 24 horas y llevadas a un cromatógrafo de gases (Agilent 7879A), empleando el método análogo al utilizado por Molinuevo-Salces et al. [18] y a un analizador en línea (Gasdata, GFM400) para la cuantificación de amoniaco (NH3), sulfuro de hidrógeno (H2S), dióxido de carbono (CO2) y metano (CH4).
Modelamiento de las curvas de ruptura
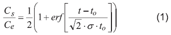
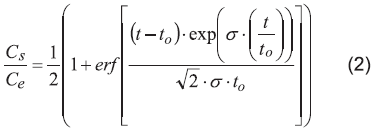
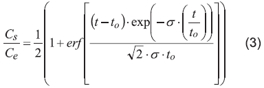
Se graficaron las curvas de ruptura para cada sustrato-analito como lo describen Ramírez et al. [17], determinándose la relación de la concentración de salida y entrada de la columna cada día. Para la simulación de las curvas de ruptura se emplearon los modelos descritos por Chu [19]. Los modelos 1-3 se observan en las Ecuaciones 1-3, respectivamente.



Donde erf[x] es la función error de x, t es el tiempo, t0 es el tiempo donde la concentración de salida es la mitad de la concentración de entrada, σ representa la desviación estándar, Ce y Cs son las concentraciones del analito a la entrada y a la salida, respectivamente. Para observar el modelo que mejor se ajusta a los datos experimentales se realizó un procedimiento presentado por Tejada et al. [20], el cual realiza la suma del cuadrado de los errores y el coeficiente de correlación de los datos experimentales y los modelados.
Resultados y Discusión
En la selección de los adsorbentes para la purificación del biogás se tuvo presente la capacidad de adsorción del sulfuro de hidrógeno y del amoniaco, dos de los principales contaminantes del biogás, el costo-beneficio y la facilidad para su adquisición nacional o localmente. Con base a sustratos reportados en varios trabajos en la producción de biogás en Colombia, se empleó carbón activado [21] y limadura de hierro [22].
Carbón Activado
El carbón activado fue seleccionado debido a que es uno de los adsorbentes más empleados por su alta área superficial, volumen de los poros desarrollados, propiedades superficiales únicas y la oportunidad en la modificación química de su superficie [23]. Posee redes interconectadas al azar que proporcionan estructuras de poros internos accesibles altamente desarrollados para la adsorción de contaminantes [24] y productos de interés como la aloína [25]. Muestra afinidad de sustancias polares como H2O, H2S, NH3, SO2, algunos alcoholes, aminas y surfactantes entre otros, debido a la presencia de grupos Carbono- Oxígeno en su superficie [26]; en el caso del H2S el carbón activado lo adsorbe y lo descompone en sulfuro elemental y se puede regenerar llevándolo a temperaturas cercanas a los 400ºC [8]; en el caso del mecanismo de adsorción del NH3 sobre carbón activado, no se ha llegado a una teoría reconocida a nivel mundial, donde actualmente se sigue con el debate [7]. El carbón activado ha sido utilizado tanto a nivel de laboratorio, rural e industrial para el proceso de purificación del biogás [12].
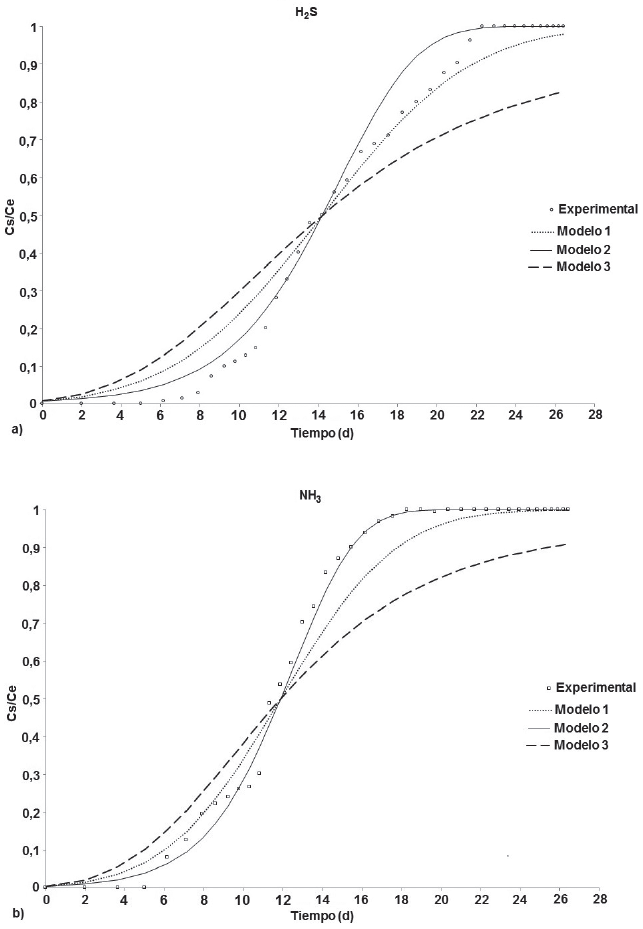
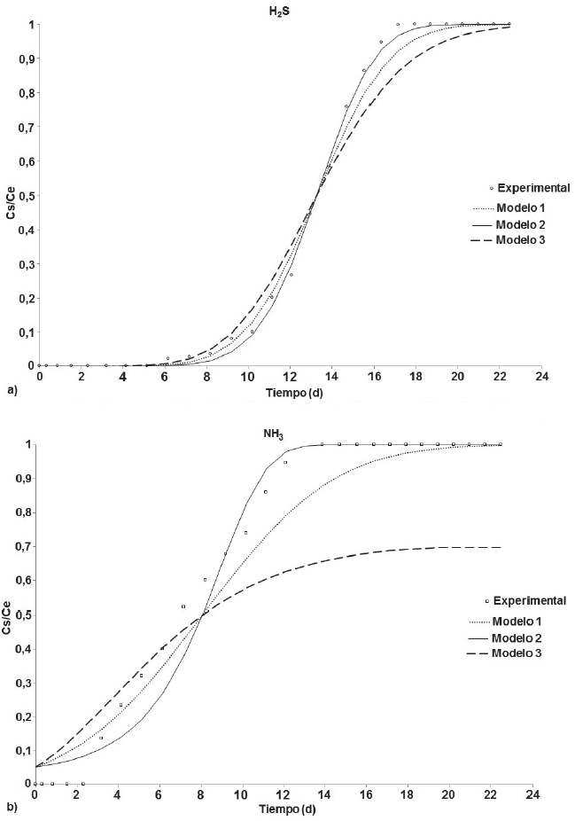
El carbón activado se ha utilizado a nivel mundial para la adsorción de algunos contaminantes del biogás mostrando buenos resultados [27-29]. Pris et al. hablan de su capacidad para remover H2S y compuestos orgánicos volátiles [30], por su parte, Llaneza et al. afirman que al utilizarlo en los procesos de adsorción requiere menos gasto energético, porque se opera a una menor temperatura y presión, donde la reacción se realiza en los poros por lo que el sulfuro de hidrógeno reacciona con el oxígeno produciendo azufre y agua; el azufre queda ocluido en los poros del carbón activado dejando estos sitios inactivos [16]. En los ensayos para la purificación del biogás se inició con la evaluación de carbón activado para la adsorción de dos analitos, el sulfuro de hidrógeno (H2S) y el amoniaco (NH3). Se construyeron las curvas de ruptura acorde a lo descrito por Ramírez et al. [17]. Se graficó la relación de las concentraciones del H2S y el NH3 de entrada y salida de la columna de adsorción contra el tiempo del proceso de purificación a un flujo promedio de 91,6mL/h (2,2L/día). Se realizó la comparación de las curvas obtenidas con los tres modelos y con los datos experimentales, Figura 3, como lo desarrollaron Ramírez et al. [13].

Para la construcción de las curvas de ruptura a partir de los modelos, Ecuaciones 1 - 3, fue necesario ajustar to y σ a partir de la curva de ruptura experimental para cada analito. Los valores de t o y σ empleando carbón activado para el H2S fueron 4,94 días y 0,221 y para el NH3 fueron de 4,32 días y 0,228, respectivamente. Al comparar los valores de to y σ ajustados para el H2S y NH3, éstos difieren en un 12,5% y 3,2%, respectivamente, valores cercanos entre si debido al fenómeno de adsorción de los analitos, ya que el carbón activado posee sitios activos, microporos y mesoporos, donde ambos analitos son adsorbidos simultáneamente debido que son polares [31]. Los mesoporos son canales que contienen sitios activos de un tamaño superior a 100nm que no son fácilmente bloqueados por los compuestos adsorbidos, una vez los poros se encuentran bloqueados, los sitios activos no están disponibles y ocurre la saturación del soporte donde ocurre el proceso de adsorción [24]. Por tal motivo, el carbón activado se satura con los analitos H2S y NH3 aproximadamente a los 6 días de haber comenzado el proceso de purificación de biogás, utilizando 3,14 gramos de este sustrato a un flujo promedio de biogás de 2,2L/día, con un porcentaje de remoción total del 72,6%, calculadas como indica Ramírez et al. [17], quienes obtuvieron unas eficiencias de remoción del Cr+3 de 53,7%, un 26% inferior respecto al obtenido en este trabajo, esto debido posiblemente a que la remoción de NH3 está condicionada a la cantidad de H2S o humedad presentes en el biogás como lo demostraron Gonçalves et al. [7], y al adsorberse un analito éste posiblemente mejora la adsorción del otro. Las pendientes de las dos curvas difieren sólo en un 3,2%, y como se había mencionado anteriormente, puede indicar la utilización de los mismos sitios activos dentro del carbón activado por parte de los analitos polares como lo describe Monser y Adhoum [31]. Por otra parte la saturación para los dos analitos fue aproximadamente a los dos días de comenzar el proceso, donde la concentración de entrada en promedio para H2S fue de 165mg/L y para el NH3 de 46mg/L. El incremento promedio del metano fue del 3,3%, aumento debido a la eliminación de los contaminantes.
En este trabajo se utilizaron los modelos desarrollados por Chu, modelos para la simulación de curvas de ruptura de la adsorción de metales en columnas empacadas [19]. Aunque no se menciona nada acerca de estos modelos para otros tipos de analitos diferentes a los metales, y debido a que la determinación de un modelo predictivo para la adsorción sobre carbón activado es un problema complejo [26], se optó por trabajar con los modelos desarrollados por Chu ya que las isotermas para los sistemas trabajados son favorables. El modelo que mejor se ajustó al proceso de adsorción del H2S y el NH3 al carbón activado fue la Ecuación 2, donde se obtuvo un coeficiente de correlación de 0,9987 y 0,9991 para el H2S y NH3, respectivamente. Aunque la diferencia entre los coeficientes de correlación del modelo 2 con el modelo 1 y modelo 3 fue de 0,1 y 0,6%, respectivamente, lo que indica que los tres modelos describen de forma adecuada el comportamiento de adsorción del H2S y el NH3 por el carbón activado. Los valores de la suma de los errores cuadráticos para la adsorción de H2S empleando carbón activado comparado con los modelos 1-3 fueron 4,7x10-2, 1,7x10-2 y 1,5x10-1, respectivamente, lo que confirma un buen ajuste del modelo 2 al proceso experimental; por su parte, en la adsorción del NH3, la suma de los errores cuadráticos fueron 3,1x10-2, 1,2x10-2 y 1,1x10-1 para los modelos 1-3, respectivamente. A partir de estos valores se puede afirmar, siguiendo los lineamientos para la validación de la simulación de las curvas de ruptura [19], que las curvas describen de forma acertada el comportamiento del Carbón activado en la adsorción de los dos analitos, H2S y NH3.
Limadura de Hierro
Diferentes óxidos y compuestos de hierro han sido utilizados para la remoción de sulfuro de hidrógeno (H2S) y otros contaminantes del biogás. La reacción del H2S con los óxidos de hierro producen sulfuros insolubles que se depositan en el lecho, con la capacidad de adsorber considerables cantidades de éster [32]. Las torres empacadas con compuestos ferrosos (óxidos e hidróxidos de hierro) para la purificación del biogás ha sido estudiada por varias décadas, y se han utilizado materiales provenientes de talleres donde trabajan con hierro y producen residuos de compuestos férricos [33].
Se construyeron las curvas de adsorción de H2S y NH3 utilizando limadura de hierro (8,37g) en una torre empacada con un flujo de biogás 86,4mL/h. A partir de los datos experimentales se observó la comparación de los tres modelos matemáticos para el comportamiento de las curvas de ruptura mostrados en la Figura 4.

Los valores de to y σ para el H2S de las curvas de ruptura fueron de 14,19 días y 0,419 y para el NH3 fueron de 11,88 días y 0,387, respectivamente. Los valores de to y σ de los analitos difieren en un 16,2% y 7,6%, respectivamente. El modelo que mejor se ajustó al proceso de adsorción del H2S y el NH3 empleando limadura de hierro también fue el modelo 2 (Ecuación 2), se obtuvo un coeficiente de correlación de 0,9945 y 0,9975 para el H2S y NH3, respectivamente. A partir de los valores de los errores absolutos se puede afirmar, siguiendo los lineamientos para la validación de la simulación de las curvas de ruptura [19], que las curvas describen de forma acertada el comportamiento del lecho en la adsorción de los dos analitos.
Los valores de la suma de los errores cuadráticos para la adsorción de H2S empleando limadura de hierro comparados con los modelos 1-3 fueron 1,6x10-1, 1,1x10-1 y 8,9 x10-1, respectivamente, lo que confirma el buen ajuste del modelo 2 al proceso; por su parte, en la adsorción del NH3, la suma de los errores cuadráticos fueron 1,6x10-1, 2,9x10-2 y 7,6x10-1 para los modelos 1-3, respectivamente. A partir de estos valores se puede afirmar que las curvas describen de forma acertada el comportamiento de la limadura de hierro en la adsorción del H2S y el NH3.
Caolín
El caolín es un mineral extraído directamente de los suelos y es un material compuesto dominativamente por filosilicatos de la familia de la caolinita, pudiendo contener también minerales no filosilicatos tales como el cuarzo además de iones de magnesio, hierro, titanio, potasio y calcio sustituyendo los átomos de aluminio en la estructura [34]. El caolín presenta un tamaño de poro entre 20 y 500 Angstrom, un volumen de poro de 0,06cm3/g y una superficie específica de 4m2/g, lo cual resulta beneficioso en aplicaciones como la adsorción [35]. El caolín ha sido investigado para la remoción de H2S y la humedad del gas licuado de petróleo por sus propiedades adsorbentes [36]. Las curvas de adsorción del H2S y el NH3 se construyeron empleando 3,25g de caolín en una columna empacada con un flujo de biogás de 2,2L por día (Figura 5).

Los valores de t o y σ para el H2S de las curvas de ruptura empleando caolín fueron de 13,27 días y 0,205 y para el NH3 fueron de 8,06 días y 0,618, respectivamente. Los valores de t o y σ de los analitos difieren en un 36,2% y un 201%, respectivamente. En este caso también el modelo que mejor se ajustó fue la Ecuación 2, con un coeficiente de correlación de 0,9994 y 0,9885 para el H2S y NH3, respectivamente. Los valores de la suma de los errores cuadráticos para la adsorción de H2S empleando caolín comparados con los modelos 1-3 fueron 2,8x10-2, 6,6x10-3 y 9,2x10-2 respectivamente, lo que confirma el buen ajuste del modelo 2 al proceso; por su parte, en la adsorción del NH3, la suma de los errores cuadráticos fueron 1,5x10-1, 8,3x10-2 y 1,6 para los modelos 1-3, respectivamente. A partir de estos valores se puede afirmar que las curvas describen de forma acertada el comportamiento de la limadura de hierro en la adsorción del H2S y el NH3.
Comparando estos valores con los obtenidos para la limadura de hierro y el carbón activado, se nota que en la modelación del caolín existen diferencias apreciables. En la Figura 5 se observa que el caolín al adsorber simultáneamente el H2S y el NH3, el modelo para éste último no inicia en el origen, mostrando erróneamente que desde el inicio el adsorbente no tiene la capacidad de adsorber el 100% del NH3 presente en el biogás, lo que no corresponde a la realidad, ya que durante más de dos días la concentración de salida del NH3 en el biogás fue cero. Este fallo en el modelo se debe posiblemente a la ausencia de sitios activos suficientes para adsorber simultáneamente el H2S y el NH3, adsorbiendo durante cerca de ocho días el H2S gracias a la presencia de impurezas como el hierro, el cual posiblemente reacciona mejor con el H2S y no con el NH3. Hosseini menciona que para reducir el hierro presente en el mineral como el caolín hasta una especie soluble, se puede emplear ácidos oxácidos e hidrácidos como agentes oxidantes y oxisales de azufre o cloro como agentes reductores, entre ellos el sulfuro de hidrógeno [37]. Por su parte el NH3 no se ve favorecido en la adsorción empleando caolín, posiblemente a la ausencia de aniones o cationes o las mismas propiedades físicas que si presentan otros materiales como las cenizas del bagazo de caña de azúcar [38]. Sin embargo, se puede decir que las curvas describen de forma acertada el comportamiento del lecho en la adsorción de los dos analitos. El porcentaje de remoción del H2S y del NH3 del caolín fue del 32,7%, siendo éste el más bajo de todos los adsorbentes.
Carbonato de calcio
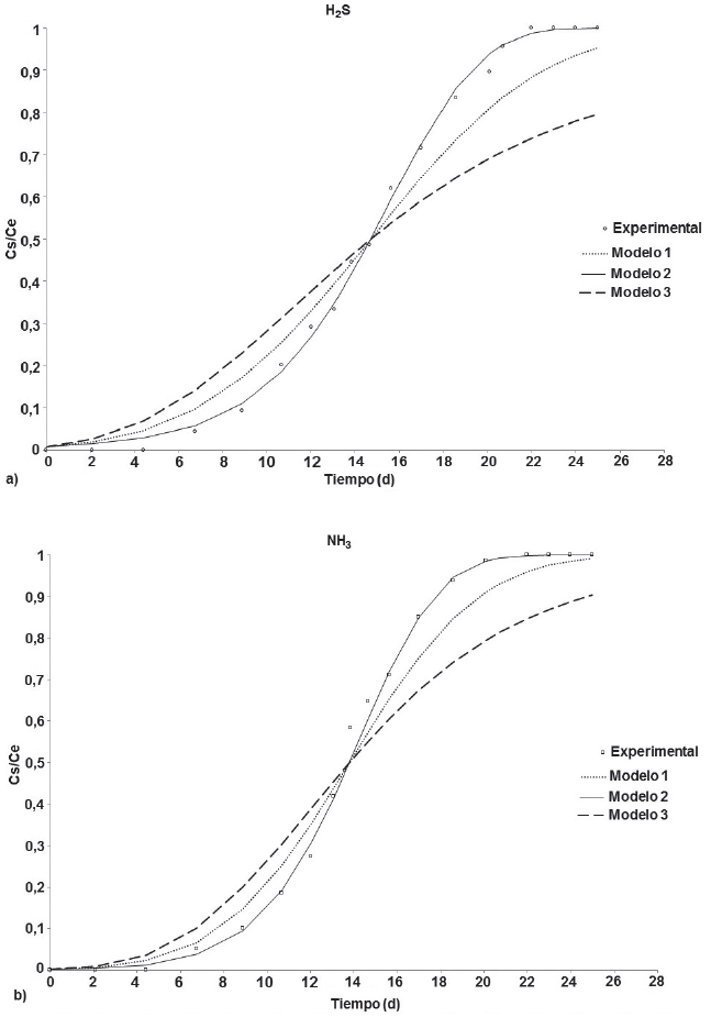
El Carbonato de calcio es un mineral obtenido por molienda fina de calizas puras con un contenido hasta del 98% de CaCO3. Cuenta con un área específica entre 200 y 400cm2/g, lo que permite una eliminación selectiva de diferentes compuestos ya que es en este sitio donde se dan las interacciones entre los contaminantes y el sustrato [39]. Presenta un volumen de poro de 0,02cm3/g y un tamaño de poro de 105 Angstrom, lo cual resulta beneficioso en aplicaciones como la adsorción [40]. Se han hecho estudios implementando carbonato de calcio como adsorbente de NH3, CO2 y H2S dada la afinidad presentada [39]. Se construyeron las curvas de adsorción de H2S y NH3 utilizando carbonato de calcio (3,98g) en una torre empacada con un flujo de biogás 86,4mL/h. A partir de los datos experimentales se observó la comparación de los tres modelos matemáticos para el comportamiento de las curvas de ruptura mostrados en la Figura 6.

En la Figura 6 se observa que al emplear carbonato de calcio tiene una tendencia similar que al emplear carbón activado y limadura de hierro, donde el primer analito en saturar el adsorbente es el NH3 y posteriormente se satura de H2S, esto posiblemente debido al tamaño del poro de los adsorbentes o por la afinidad a cada analito [41]. Por otro lado, los valores de to y σ para el H2S de las curvas de ruptura fueron de 14,69 días y 0,417 y para el NH3 fueron de 13,79 días y 0,339, respectivamente.
Los valores de to y σ de los analitos difieren en un 6,2% y 18,7%, respectivamente. El modelo que mejor se ajustó al proceso de adsorción del H2S y el NH3 empleando carbonato de calcio fue el modelo 2 (Ecuación 2), y se obtuvo un coeficiente de correlación de 0,9988 y 0,9985 para el H2S y NH3, respectivamente. Los valores de la suma de los errores cuadráticos para la adsorción de H2S empleando carbonato de calcio comparados con los modelos 1-3 fueron 8,9x10-2, 8,1x10-3 y 4,4x10-1, respectivamente, lo que confirma el buen ajuste del modelo 2 al proceso; por su parte, en la adsorción del NH3, la suma de los errores cuadráticos fueron 5,3x10-2, 1,4x10-2 y 2,5x10-1 para los modelos 1-3, respectivamente. A partir de estos valores se puede afirmar que las curvas describen de forma acertada el comportamiento del carbonato de calcio en la adsorción del H2S y el NH3.
De los adsorbentes analizados, el mayor porcentaje de remoción de H2S y de NH3 fue al emplear la limadura de hierro con un 74,1%, en segundo lugar fue para el carbón activado con un 72,6%, seguido por el carbonato de calcio con un 65,4% y el caolín con un 32,7%, mostrando la viabilidad de estos para procesos de purificación de biogás.
Conclusiones
Se seleccionaron como adsorbentes el carbón activado, la limadura de hierro, el caolín y el carbonato de calcio en el proceso de remoción de H2S y NH3 del biogás y el modelamiento de las curvas de ruptura.
El modelo 2 mostrado en la Ecuación 2, se ajustó correctamente a las curvas de ruptura del carbón activado con un coeficiente de correlación de 0,9987 y 0,9991 para el H2S y el NH3, respectivamente; con la limadura de hierro se obtuvo un coeficiente de correlación de 0,9945 y 0,9975 para el H2S y NH3, respectivamente; empleando caolín se obtuvo un coeficiente de correlación de 0,9994 y 0,9885 para el H2S y NH3, respectivamente; con carbonato de calcio se obtuvo un coeficiente de correlación de 0,9988 y 0,9985 para el H2S y NH3, respectivamente.
De los adsorbentes evaluados, se tiene que el carbón activado y la limadura de hierro presentaron un mejor comportamiento en el proceso de remoción de H2S y NH3 presentes en el biogás, con unos porcentajes de remoción del 74,1% y del 72,6%, respectivamente.
Referencias bibliográficas
[1] Rivera González D, Plata Martínez L, Castro Molano L, Guzmán Luna C, Escalante Hernández H. Aprovechamiento del subproducto sólido de la digestión anaerobia del bagazo de fique (furcraea macrophylla) para el acondicionamiento de suelos. rev.ion. 2012;25(1):25–34.
[2] Organización de las Naciones Unidas, Manual de Biogás. Chile; 2011.
[3] Arenas LP, Escalante Hernández H, Combariza MY. Comparative study for methanogenic stage of anaerobic digestion to organic fraction of fruit and vegetable municipal wastes treatment. rev.ion. 2012;25(1):89–96.
[4] Agencia Andaluza de la Energía. Estudio básico del biogás. Sevilla: 2011.
[5] Sanguino Barajas PA, Téllez Anaya NA, Escalante Hernández H, Vasquez Cardozo CA. Aprovechamiento energético de la biomasa residual del sector avícola. revi.ion. 2009;22(1):43–52.
[6] Horikawa MS, Rossi F, Gimenes ML, Costa CMM, Silva MGC. Chemical absorption of H2S for biogas purification. Brazilian J. Chem. Eng. 2004;21(3):415–22.
[7] Gonçalves M, Sánchez-García L, De Oliveira Jardim E, Silvestre-Albero J, Rodríguez- Reinoso F. Ammonia removal using activated carbons: effect of the surface chemistry in dry and moist conditions. Environ. Sci. Technol. 2011;45:10605–10.
[8] Huertas JI, Giraldo N, Izquierdo S. Removal of H2S and CO2 from Biogas by Amine Absorption. In: Mass Transfer in Chemical Engineering Processes. Markoš J, Editor. Croacia: InTech; 2011. p. 134-50.
[9] Tippayawong N, Thanompongchart P. Biogas quality upgrade by simultaneous removal of CO2 and H2S in a packed column reactor. Energy. 2010;35(12):4531–5.
[10] Betzabet Moreno EC, Gropelly E. Revision de las principale tecnologías de prificación de biogás. Cienc. y Tecnol. 2010;10:187-201.
[11] Gupta P, Gupta A. Biogas production from coal via anaerobic fermentation. Fuel. 2014;118:238-42.
[12] Acosta M, Revelo D, Ruiz O, Tax O, Botero R. Capacidad de filtración y retención del sulfuro de hidrógeno (H2S) del biogás, en dos diferentes sustratos orgánicos ( em-compost y lombricompost). Tierra Trop. 2009;5(1):109– 13.
[13] Ramirez M, Pereira da Silva M, Ferreira SG, Vasco O. Mathematical models applied to the Cr(III) and Cr(VI) breakthrough curves. J. Hazard. Mater. 2007;146(1–2):86–90.
[14] Burkert CA, Barbosa GN, Mazutti MA, Maugeri M.Mathematical modeling and experimental breakthrough curves of cephalosporin C adsorption in a fixed-bed column. Process Biochem. 2011;46(6):1270–7.
[15] Valencia Ríos J, Castellar Ortega G. Predicción de las curvas de ruptura para la remoción de plomo (II) en dis olución acuosa sobre carbón activado en una columna empacada. Fac. Ing. Univ. Antioquia;1:141–58.
[16] Elizondo Quintero AG, Herrera Colindres EN. Evaluación de medios filtrantes para la reducción del sulfuro de hidrógeno en el mejoramiento de la calidad del biogás (Tesis de grado).Tegucigalpa; Honduras: Universidad en Tegucigalpa Zamorano; 2012.
[17] Ramırez Carmona ME, Pereira da Silva MA, Ferreira Leite SG, Vasco Echeverri OH, Ocampo-Lopez C. Packed bed redistribution system for Cr(III) and Cr(VI) biosorption by Saccharomyces cerevisia. J. Taiwan Inst. Chem. Eng. 2012;43(3):428–32.
[18] Molinuevo-Salces B, García-González MC, González-Fernández C, Cuetos MJ, Morán A, Gómez X. Anaerobic co-digestion of livestock wastes with vegetable processing wastes: a statistical analysis. Bioresour. Technol. 2010;101(24):9479–85.
[19] Chu KH. Improved fixed bed models for metal biosorption. Chem. Eng. J. 2004;97(2-3):233- 9.
[20] Tejada Tovar C, Villabona Ortiz A, Ruiz Paternina E. Cinética de adsorción de Cr(VI) usando biomasas residuales modificadas químicamente en sistemas por lotes y continuo. rev.ion. 2015;28(1):29–41.
[21] Ruiz MB, Gómez P, Giralda R, Carreras Arroyo N, Rodríguez Restrepo M, Ramos Suárez JL. Biogas purification and use as vehicle fuel in rural areas. In: 20th European Biomass Conference and Exhibition. Setting the course for a biobased economy; 2012 Jun 18-22; Milan, Italy; 2012.
[22] Lin W-C, Chen Y-P, Tseng CP. Pilot-scale chemical-biological system for efficient H2S removal from biogas. Bioresour. Technol. 2013;135:283–91.
[23] Xiao Y, Wang S, Wu D, Yuan D. Experimental and simulation study of hydrogen sulfide adsorption on impregnated activated carbon under anaerobic conditions. J. Hazard. Mater. 2008;153(3):1193–200.
[24] Ho N. Modeling Hydrogen Sulfide Adsorption by Activated Carbon made from Anaerobic Digestion By-Product (Master’s Theses). Toronto, Canada: University of Toronto; 2012.
[25] Lozano Urbina LA, Muvdi Nova CJ, Mejía Uribe LD. Estabilización del gel de Alor barbadensis Miller y disminución de su concentración poe adsorción en columna con carbón activado. rev.ion. 2011;24(1):61–7.
[26] Chand Bansal R, Goyal M. Activated Carbon Adsorption. Boca Raton, Estados Unidos: CRC Press, 2005.
[27] Esteves I, Lopes M, Nunes P, Mota J. Adsorption of natural gas and biogas components on activated carbon. Sep. Purif. Technol. 2008;62(2):281–96.
[28] Ho K-L, Lin W-C, Chung Y-C, Chen Y-P, Tseng C-P. Elimination of high concentration hydrogen sulfide and biogas purification by chemical-biological process. Chemosphere. 2013;92(10);1396–401.
[29] Himeno S, Komatsu T, Fujita S. Development of a New Effective Biogas Adsorption Storage Technology. Adsorption. 2005;11(S1):899– 904.
[30] Hernández SP, Chiappero M, Russo N, Fino D. A novel ZnO-based adsorbent for biogas purification in H2 production systems. Chem. Eng. J. 2011;176–177:272–9.
[31] Monser L, Adhoum N. Modified activated carbon for the removal of copper, zinc, chromium and cyanide from wastewater. Sep. Purif. Technol. 2002;26(2-3):137–46.
[32] Cebula J. Biogas purification by sorption techniques. Archit. Civ. Eng. Environ. 2009;2:95–104.
[33] Zhao Q, Leonhardt E, Macconnell C, Frear C, Chen S. Purification Technologies for Biogas Generated by Anaerobic Digestion. In Compressed Biomethane, CSANR, Ed. 2010.
[34] Mockovčiaková A, Iveta Š, Jiří Š, Ivana K. Characterization of changes of low and high defect kaolinite after bioleaching. Appl. Clay Sci. 2008;39(3–4):202–7.
[35] Li T, Shu Z, Zhou Z, Chen Y, Yu D, Yuan X, Wang Y. Template-free synthesis of kaolinbased mesoporous silica with improved specific surface area by a novel approach. Appl. Clay Sci. 2015;107:182–7.
[36] Ozekmekci M, Salkic G, Fellah MF. Use of zeolites for the removal of H2S: A mini-review. Fuel Process. Technol. 2015;139:49–60.
[37] Hosseini MR, Ahmadi A. Biological beneficiation of kaolin: A review on iron removal. Appl. Clay Sci. 2015;107:238–45.
[38] Prieto-García J, Quintana-Puchol R, Rodríguez- Díaz J, Arteaga-Pérez L, Mollineda-Trujillo A. Estudio termodinámico de la adsorción de amoniaco en ceniza de bagazo de caña de azúcar. Rev. Cuba. Química. 2012;24(2):181–4.
[39] Salazar Cuaila JL, Huertas Cardoso J. Evaluación de la eliminación de CO2 y H2S por endulzamiento de biogás usando soluciones acuosas de alcanolaminas. Perú: Universidad Nacional Jorge Basadre Grohmann; 2012.
[40] Castillo Villabona D, Valderrama Solano A. Estudio de Pre-factibilidad Técnica y Economía de la utilización de Biogás en Plantas Diesel para Generación Eléctrica. Colombia: Universidad Industrial de Santander, 2004.
[41] Molina-Sabio M, González JC, Rodríguez- Reinoso F. Adsorption of NH3 and H2S on activated carbon and activated carbonsepiolite pellets. Carbon N. Y. 2004;42(2):448– 50.
[42] Huynh Q, Thieu VQQ, Dinh TP, Akiyoshi S. Removal of hydrogen sulfide (H2S) from biogas by adsorption method. In: 8th Biomas Asia Workshop; 2011 nov 29 - dec 1; Hanoi, Vietnam; 2011.
[43] del Valle Morero B. Purificación de biogás con tecnologías de produción limpias (Tesis de doctorado). Santa Fe, Argentina: Universidad Nacional del Litoral; 2014.
[44] Cherosky P, Li Y. Hydrogen sulfide removal from biogas by bio-based iron sponge. Biosyst. Eng. 2013;114(1):55–59.
[45] Montalvo Martinez SJ, Feernández Santana E. Métodos Económicos y Ecologicamente Viables para Purificar Gases Contaminantes. La Habana, Cuba: Instituto Superior Politécnico José Antonio Echeverría (ISPJAE).
[46] Marín Marín ML. Purificación biológica de biogás. Chile: Universidad de Chile; 2011.
[47] Rakmak N, Wiyaratn W, Chungsiriporn J. Removal of H2S from Biogas by Iron (Fe3+) Doped MgO on Ceramic Honeycomb Catalyst using Double Packed Columns System. Eng. J. 2010;14(1):15–24.