Recepción: 22 Noviembre 2015
Aprobación: 05 Enero 2016
Financiamiento
Fuente: Universidad del Valle
Nº de contrato: C.I.2856”
Beneficiario: Lina Marcela Cárdenas-Cleves; Brayan Alexis Parra-Orobio; Patricia Torres-Lozada*; Carlos Humberto Vásquez-Franco
Resumen: La digestión anaerobia es un proceso biológico que permite lograr dos propósitos de manera simultánea, el tratamiento de residuos para el control de la contaminación ambiental y el aprovechamiento y valorización de los subproductos generados: el metano como fuente de energía renovable y el material digerido con potencial de aplicación agrícola. Con el fin de determinar la capacidad de producción de metano, la biodegradabilidad anaerobia de un sustrato orgánico, seleccionar sustratos e inóculos potenciales y predecir el funcionamiento de digestores a escala real, se realizan ensayos a escala de laboratorio en reactores batch como el de Potencial Bioquímico de Metano (PBM). En este artículo se presenta una reflexión sobre diferentes aspectos relacionados con este importante ensayo, como la diversidad en la denominación del experimento, las diferentes modificaciones en las condiciones operacionales y experimentales, el uso de diferentes unidades de medición, las ecuaciones de cálculo usadas para la cuantificación del metano, entre otros, que han dado lugar a diversas propuestas metodológicas las cuales difieren en factores que condicionan su aplicación y la comparación de los resultados con otros estudios. Con esta reflexión se ratifica la utilidad de este ensayo pero también la necesidad de estandarizarlo, por lo cual es recomendable reportar las condiciones experimentales y operacionales y las unidades adecuadas, para evitar confusiones metodológicas y permitir una mayor reproducibilidad. Adicionalmente, se debe profundizar en el análisis metodológico de los diferentes métodos de medición y así obtener resultados comparables.
Palabras clave: digestión anaerobia, biodegradabilidad anaerobia, potencial bioquímico de metano - PBM, residuo orgánico.
Abstract: Anaerobic digestion is a biological process that achieves two purposes simultaneously, waste treatment to control environmental pollution and the recovery and valorization of by-products generated: methane as a source of renewable energy and digestate for agricultural purposes. To determine the methane production capability, the anaerobic biodegradability of an organic substrate, the selection of potential substrates and inoculums and the performance prediction of full-scale digesters, bench scale procedures as Biochemical Methane Potential (BMP) test, are performed. This article shows a refl ection on different aspects related to this important test, such as the diversity in the experiment denomination, the different modifi cations in operational and experimental conditions, the different use of measurement units, the required equations for methane quantification, among others, these have given place to various methodological approaches which differ in conditioning factors for its application and comparison with results of other studies. With this reflection, the usefulness of this assay and the need to standardize it is ratified. Therefore, the experimental and operational conditions and the appropriate units should be reported, to avoid methodological confusion and permit a greater reproducibility. Additionally, it is recommended to deepen in the methodological analyses of different measurement methods to obtaining comparable results.
Keywords: anaerobic digestion, anaerobic biodegradability, biochemical methane potential - BMP, organic waste.
Resumo: A digestão anaeróbia é um processo biológico que permite atingir dois propósitos de maneira simultânea, o tratamento de resíduos para o controle da poluição ambiental e o aproveitamento e valorização dos subprodutos gerados: o metano como fonte de energia renovável e o material digerido com potencial de uso agrícola. Para determinar a capacidade de produção de metano, a biodegradabilidade anaeróbia de um substrato orgânico, escolher substratos e prever o desempenho de digestores de grande escala, são realizados testes em escala de bancada em reatores descontínuos como o Potencial Bioquímico de Metano (PBM). Neste artigo apresenta-se uma reflexão sobre diferentes assuntos relacionados com este importante teste, como a diversidade na denominação do teste, as diferentes modificações nas condições operacionais e experimentais, o uso de diferentes unidades de medição, as equações usadas para a quantificação do metano, dentre outros, que têm conduzido a diversas propostas metodológicas, as quais apresentam diferenças em fatores que condicionam a sua aplicação e a comparação dos resultados com outros estudos. Com esta reflexão, ratifica-se a utilidade deste teste, mas também a necessidade de padronizá-lo; portanto, é recomendável relatadas as condições experimentais e operacionais e as unidades adequadas para evitar confusão metodológica e permitir uma maior reprodutibilidade. Além disso, recomenda-se a aprofundar na análise metodológica dos diferentes métodos de medição para obter resultados comparáveis. Palabras-chave: Digestão anaeróbia, biodegradabilidade anaeróbia, potencial bioquímico de metano, resíduos orgânicos. Introducción
Palavras-chave: Facultad de Ingeniería Universidad del Valle Digestão anaeróbia, biodegradabilidade anaeróbia, potencial bioquímico de metano, resíduos orgânicos.
Introducción
Aunque la digestión anaerobia (DA) es una alternativa tecnológica que se ha empleado tradicionalmente para el control de la contaminación ambiental, se ha evidenciado un interés creciente por emplear este proceso para el aprovechamiento y valorización de diferentes residuos, debido a las características de los dos subproductos que se generan, el primero (biogás) con un alto potencial energético debido a la predominancia (60-70%) de gas metano (CH4), que también puede ser aprovechado para la generación de calor o combustible y el segundo (material digerido) con alto potencial agrícola, pues se puede utilizar como fertilizante o acondicionador de suelos [1].
El primer paso para definir la posibilidad de emplear un sustrato específico en el proceso de digestión anaerobia es mediante la identificación de su biodegradabilidad, para lo cual se realizan pruebas a escala de laboratorio entre las que se destaca el ensayo de Potencial Bioquímico de Metano (PBM), que se emplea a nivel mundial y se caracteriza por su simplicidad, relativa rapidez y bajo costo [2]. El ensayo de PBM consiste en emplear uno o varios sustratos y adicionar un inóculo activo bajo condiciones operacionales definidas, para medir la producción de CH4, mediante diferentes métodos (método manométrico, volumétrico o de cromatografía de gases) [3].
La primera propuesta metodológica o protocolo para el ensayo de PBM fue desarrollada en 1979 por Owen et al. [2] para determinar la biodegradabilidad de materiales orgánicos bajo condiciones operacionales definidas durante 30 días, analizando el efecto del acondicionamiento alcalino sobre el valor del PBM. Owen et al. [2] afirmaron que este ensayo es relativamente simple y que su configuración empleada para el monitoreo de la producción acumulada de metano, basada en el método manométrico, puede utilizarse en cualquier laboratorio pues no se requieren equipos sofisticados. Adicionalmente, establecieron la necesidad de realizar estudios más detallados para analizar más variables que intervienen en el proceso. En este sentido, posteriormente se realizaron diferentes modificaciones al protocolo propuesto [4,5], siendo las de mayor aceptación a nivel mundial las desarrolladas por la Asociación de Ingenieros Alemanes en el año 2006 [6] y las del Grupo de tareas para la biodegradación anaerobia, actividad e inhibición de la digestión anaerobia de la Asociación Internacional de Agua IWA por sus siglas en inglés (International Water Association) [7].
Sin embargo, se ha evidenciado una alta variabilidad entre las propuestas, al punto de emplear diferentes denominaciones para este ensayo cuando se presentan esquemas metodológicos similares a los que se les realizan cambios mínimos. Esto ha generado confusiones para la implementación del ensayo y dificulta la comparación de los resultados obtenidos en diferentes estudios en los que se emplean sustratos similares. Por lo anterior, en este artículo se pretende hacer una reflexión crítica, soportada en investigaciones y experiencias locales, nacionales e internacionales, sobre los diferentes protocolos propuestos para el ensayo de PBM y su perspectiva de aplicación en el aprovechamiento de residuos mediante la digestión anaerobia, con el objetivo de aportar a la uniformidad en la aplicación del método y a favorecer tanto su aplicación como el avance en el campo del aprovechamiento de residuos a través de la digestión anaerobia.
Digestión anaerobia de residuos
La digestión anaerobia (DA) es un proceso bioquímico realizado por la acción conjunta de varios grupos de microorganismos encargados de transformar bajo condiciones de ausencia de oxígeno molecular, material orgánico complejo como carbohidratos, proteínas y lípidos en moléculas de menor peso como los azúcares, aminoácidos y ácidos grasos volátiles (AGV´s) que son solubles en agua. Como producto final se obtiene biogás compuesto principalmente por metano y dióxido de carbono, además de un material digerido que puede ser sólido o líquido [8]. El proceso de DA ocurre en cuatro etapas consecutivas como se muestra en la Figura 1 y en la Tabla 1 se presentan algunas de las ventajas y limitaciones del proceso.

Ensayo de Potencial Bioquímico de Metano (PBM)
El PBM es un ensayo a escala de laboratorio que se realiza en batch, para determinar la biodegradabilidad anaerobia y la máxima producción de CH4 de diferentes sustratos que pueden estar en forma líquida o principalmente sólida [12]. El principio del ensayo de PBM consiste en la mezcla de un sustrato orgánico con un inóculo anaerobio en condiciones experimentales y operacionales definidas; el CH4 generado durante la digestión anaerobia se cuantifica por un método de medición específico. El ensayo de PBM, al igual que el ensayo de Actividad Metanogénica Específica (AME) tiene diferentes aplicaciones [4,13,14,15]:
Determinar la biodegradabilidad anaerobia y la máxima producción de CH4 de residuos orgánicos.
Identificar el potencial de producción de energía de un sustrato.
Identificar y desarrollar nuevos indicadores para la evaluación de potenciales sustratos.
Seleccionar inóculos e identificar la adaptación o inhibición de los microorganismos.
Determinar la cinética de degradación para la calibración de modelos matemáticos y cinéticos que permiten simular el proceso de digestión y predecir el funcionamiento de digestores a escala real.
Evaluar el efecto de la co-digestión de diferentes sustratos.
Factores que influyen en el ensayo de PBM
En el ensayo de PBM influyen diferentes factores que pueden agruparse en cuatro grandes grupos: los relacionados con el sustrato, con el inóculo, con las condiciones operacionales y con las experimentales (Figura 2), los cuales es recomendable reportar en cada ensayo con el fin de verificar la posibilidad de comparación con otros estudios y resultados reportados y al mismo tiempo, para aportar a la unificación de protocolos y procedimientos del ensayo.
Sustrato
Los sustratos pueden ser residuos líquidos, principalmente de alta concentración y residuos sólidos como biorresiduos de origen municipal (BOM), lodos procedentes del tratamiento de agua residual municipal o industrial, residuos de cultivos, residuos agroindustriales y materiales de origen animal como estiércol [7,14]. La composición y la concentración del sustrato pueden ocasionar fenómenos de inhibición que influyen sobre el metabolismo de los microorganismos y por lo tanto afectan la cantidad de CH4 generado. Por esta razón, se deben caracterizar previo al ensayo, tanto en términos de parámetros fisicoquímicos como de su composición elemental [7,16].
Dependiendo del tipo de sustrato, puede requerirse un pretratamiento. En el caso de residuos sólidos orgánicos, se recomienda que el tamaño de partícula sea menor o igual a 1cm [17], debido a que la hidrólisis es considerada la etapa limitante. En cuanto a la cantidad de sustrato a adicionar, ésta se estima a partir de las recomendaciones para la concentración de inóculo y la relación Sustrato/Inóculo (S/I).
Inóculo
En la DA es importante tanto la calidad como la cantidad de inóculo disponible, siendo recomendable emplear un inóculo activo con el fin de reducir el tiempo para la estabilización de los sustratos [18]. Los inóculos más empleados han sido los lodos anaerobios procedentes del tratamiento de agua residual doméstica, debido principalmente a su amplia disponibilidad; también se reporta el uso de otros inóculos como estiércol de animales, lodos industriales, rumen y extracto de suelos [19]. Aunque la aclimatación no es un proceso obligatorio [17], la procedencia del inóculo y la afinidad con el nuevo sustrato son aspectos importantes a tener en cuenta para garantizar tanto menores tiempos de arranque de los reactores, como mayor actividad biológica y por lo tanto mayor producción de metano.
El inóculo normalmente se caracteriza en términos de parámetros fisicoquímicos que permitan identificar el contenido de biomasa activa (SV/ST) y su capacidad de producción de CH4, para lo cual se realiza el ensayo de Actividad Metanogénica Específica (AME) [20,21], empleando como sustrato una mezcla de ácidos grasos volátiles (AGV´s), comúnmente constituida por acetato, propionato y butirato en una proporción similar a la del residuo a evaluar [22]. De acuerdo con autores como Angelidaki et al. [7], los lodos floculentos o dispersos presentan valores de AME empleando acetato del orden de 0,10gDQOgSVd-1 y los granulares de 0,30gDQOgSVd-1, evidenciando diferencias significativas entre de ambos tipos de lodos [23,24].
Otro aspecto que ha demostrado ser de gran importancia es el relacionado con la capacidad buffer, por lo que es recomendable la determinación de la alcalinidad total (AT) y bicarbonática (AB), ya que tienen influencia sobre la producción de CH4 [25]. La concentración de inóculo recomendada varía entre 1,5gSVL-1 (sin agitación: Diaz et al. [26]) y 2 a 5gSVL-1 (con agitación: Monteggia [27]).
Condiciones operacionales
Capacidad del reactor, réplicas y control: El ensayo de PBM se realiza generalmente en reactores en batch cuyo volumen total puede variar entre 100mL y 2L [7]; el volumen útil corresponde a la fases sólida-líquida y el volumen libre a la fase gaseosa, el cual se requiere para el almacenamiento de los gases generados y el depósito de reactivos para la captura del CO2. Rozzi et al. [28] y Souto et al. [29] indican que a medida que se reduce el volumen libre, los valores del PBM se incrementan debido a que hay mayor cantidad de sustrato en la fase líquida; sin embargo, se pueden presentar interferencias en la medición cuando se emplea el método manométrico considerando la presión de funcionamiento de los equipos; en este sentido Ortiz [30] recomienda que el volumen libre debe estar entre 20 al 25% del volumen total del reactor. Aunque en estudios experimentales se recomienda el uso de réplicas (triplicados) con el fin de garantizar la reproducibilidad de los resultados [7], en muchas ocasiones la disponibilidad de recursos económicos y equipos condiciona el número de repeticiones, por lo cual se acepta realizar montajes experimentales por duplicado verificando un comportamiento similar en la curva de producción de CH4 en ambos reactores. El reactor control está constituido únicamente por inóculo y agua destilada y se emplea para determinar el CH4 generado por el sustrato residual presente en el inóculo y por el metabolismo endógeno [31] y su producción se resta de la de cada reactor para cuantificar únicamente la que se debe al sustrato.
Duración del ensayo: La duración del ensayo de PBM depende principalmente de la biodegradabilidad del sustrato y por lo tanto no es posible establecer un periodo fijo; sin embargo, se reporta que aproximadamente a los 30 días inicia la fase de estabilización de la producción de CH4 [32] y aproximadamente el 90% de la producción teórica se genera entre 30 y 60 días [33].
Temperatura: Generalmente los ensayos de PBM se realizan en los rangos mesofílico y termofílico con temperaturas óptimas de 35°C y 55°C, respectivamente; sin embargo, la operación en el rango mesofílico representa ventajas debido a la reducción del requerimiento energético y una menor sensibilidad a las cargas choque o sustancias tóxicas como el amonio y ácidos grasos de cadena larga [34]. Sin embargo, la temperatura del sustrato tiene influencia sobre la selección de las condiciones de temperatura en que se debe realizar la DA.
Agitación: Los principales factores que influyen en el método de mezcla son la intensidad y la duración (continua o intermitente); Rozzi et al. [28] afirman que la agitación continua puede dañar las asociaciones sintróficas que se establecen entre los diferentes grupos de microorganismos que intervienen en la DA. Además, Ortiz [30] encontró que la producción de CH4 se reduce cuando se realiza agitación magnética continua, por lo que se recomienda realizar para el ensayo de PBM con agitación manual intermitente. De cualquier manera, el uso o no de agitación influye en la concentración de inóculo recomendada [26,27].
Ajuste de pH y alcalinidad: Para el ensayo de PBM el pH debe estar cercano a la neutralidad, con valores entre 7,0 y 7,8 unidades, con el fin de garantizar la actividad metabólica de los microorganismos más sensibles que son las arqueas metanogénicas [35,36]. Para ajustar el pH se adicionan alcalinizantes, siendo los más empleados las sales de sodio (carbonato, bicarbonato, hidróxido y sulfuro) [2] las cuales proporcionan suficiente capacidad buffer al sistema para garantizar la neutralización de los AGV´s y así evitar problemas de acidificación. Por esta razón es importante evaluar simultáneamente todos los parámetros asociados (pH, AGV´s, alcalinidad total (AT) y bicarbonática (AB) y determinar los índices de alcalinidad.
Solución de nutrientes: No hay un consenso en la literatura con relación a la solución de nutrientes que debe ser usada para el ensayo de PBM; sin embargo, existe una tendencia nacional e internacional de adicionarla al reactor [20]. En general, la solución está compuesta por macro y micronutrientes y otros compuestos como vitaminas, requeridos por los microorganismos anaerobios; adicionalmente, se agregan otras sustancias como un agente reductor, para garantizar condiciones anaerobias y algún indicador del potencial redox. En la Tabla 2 se presenta la solución de nutrientes recomendada para el ensayo de PBM.
Condiciones anaerobias: Aunque no hay consenso sobre el flujo de gases y la duración de este procedimiento [17], normalmente se realiza burbujeo del volumen libre antes de cerrar el reactor para generar condiciones anaerobias. Los gases usados son Nitrógeno molecular (N2), Dióxido de Carbono (CO2), Helio y combinaciones entre éstos, siendo la mezcla más utilizada N2:CO2 con porcentajes de N2 entre 70 y 80% y de CO2 entre 20 y 30%; Koch et al. [38] encontraron que la presencia de CO2 en la mezcla de gas produce un incremento de más del 20% en la producción de CH4, además afirman que se debe desplazar el oxígeno presente con el fin de evitar la pérdida del potencial de metano, aunque en algunos casos no se realiza debido a que la concentración de oxígeno presente no tiene un impacto negativo en el proceso.
Captura de CO2: Cuando se emplea el método volumétrico, se usa una solución alcalina desplazante, siendo la más común el hidróxido de sodio (NaOH) con una concentración de 1N [39], cuyo pH debe ser superior a 12 unidades para garantizar la captura del CO2 producido [20]. En el método manométrico, existen reactores con depósitos para el NaOH en perlas, que permite la captura del CO2 antes de efectuar la lectura de la presión [29].
Relación Sustrato/Inóculo: La relación sustrato/ inóculo (S/I) se expresa generalmente en términos de los SV (gSVsustrato/gSVinóculo) y en algunos casos de la DQO (gDQOsustrato/gSVinóculo); incluso en algunos estudios se presenta como la relación I/S, la cual es equivalente al valor inverso de la relación S/I [21], por lo que se debe tener precaución al comparar estos valores. La relación S/I recomendada depende del tipo de sustrato e inóculo y se debe evaluar para cada caso [40], siendo las relaciones más empleadas inferiores o iguales a 0,5-1,0 [2,6]; sin embargo, Lesteur et al. [12] afirman que cada sustrato tiene una relación S/I óptima, considerando la producción potencial de AGV´s y su capacidad de amortiguamiento.
Condiciones experimentales
Los métodos volumétricos y manométricos son los más empleados en los ensayos de PBM [14]; dependiendo de la configuración, éstos miden el biogás generado en la DA, por lo que se requiere de la cromatografía de gases para determinar el CH4, mientras que en otros casos es posible medir el CH4 directamente como en el método volumétrico empleando una solución alcalina y en el manométrico capturando el CO2 antes de la lectura de la presión. En la Tabla 3 se presenta una recopilación de las configuraciones que se emplean generalmente en cada método y de las ventajas y limitaciones que presentan.

Determinación del PBM
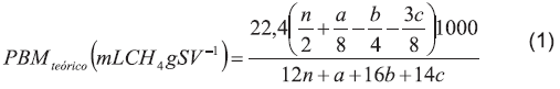
El PBM se expresa generalmente en mLCH4 gSV-1 y se puede determinar de forma teórica o experimental, en el primer caso se emplea la Ecuación de Buswell (Ecuación 1), que considera la composición elemental del sustrato.

Donde:
n: Número de moles de carbono
a: Número de moles de hidrógeno
b: Número de moles de oxígeno
c: Número de moles de nitrógeno
22,4: Volumen (L) ocupado por un gas ideal a condiciones estándar de temperatura (273K) y presión (1atm)
1000: Factor de conversión del volumen de L a mL 12, 1, 16, 14: Peso molecular del carbono, hidrógeno, oxígeno y nitrógeno, respectivamente
La Ecuación 1 considera que todo el contenido de materia orgánica presente en el sustrato es biodegradable y se convierte en CH4 [12], lo cual no es cierto en condiciones reales, ya que el sustrato puede contener materia orgánica no biodegradable y adicionalmente el CH4 no es el único subproducto, debido a que parte de la materia orgánica se emplea para la formación de nueva biomasa. En este sentido, el valor del PBM teórico sobreestima la producción real que se obtiene de forma experimental; sin embargo, este valor proporciona una aproximación a la producción de CH4 que podría obtenerse del sustrato.
Para determinar el valor experimental del PBM, mediante los métodos volumétrico o manométrico, se requiere calcular el volumen de CH4 presente en el biogás, ya sea mediante la captura del CO2 o por cromatografía de gases. En el método manométrico la presión calculada se convierte a volumen empleando las ecuaciones que se presentan en la Tabla 4, las cuales no se encuentran reportadas de forma detallada, por lo que se recopilaron a partir de la revisión de diferentes estudios [20,30,42]. El valor del PBM se reporta a condiciones estándar de temperatura (273K) y presión (1atm) con el fin de permitir la comparación entre diferentes estudios.

Algunas reflexiones sobre el ensayo de PBM
El ensayo de PBM se realiza a nivel mundial y se destaca por presentar una metodología simple, rápida y de bajo costo [2]; bajo condiciones operacionales y experimentales que son similares a las del ensayo AME; sin embargo, este último tiene mayor aplicación principalmente para aguas residuales municipales e industriales y en el contexto global para determinar la actividad de un inóculo anaerobio. Por otro lado, las unidades en las que se reportan los valores de PBM y AME son diferentes (gDQOCH4gSVd-1 y mLCH4gSV-1, respectivamente).
Se ha evidenciado una alta variabilidad entre las propuestas metodológicas y experimentales para realizar el ensayo de PBM, al punto de emplear diferentes denominaciones para este ensayo cuando se presentan esquemas metodológicos similares a los que se les realizan cambios mínimos. Se reportan estudios que lo denominan como potencial de metano [4], potencial de bio-metano [7], potencial anaerobio de biogasificación [43] e índice de potencial de metano [44], sin embargo, el término de mayor aceptación y aplicación es el de potencial bioquímico de metano.
Esto ha generado confusiones para la implementación del ensayo y dificulta la comparación de los resultados obtenidos en diferentes estudios en los que se emplean sustratos similares. Las diferentes propuestas metodológicas difieren principalmente en los factores operacionales y experimentales del proceso como la relación sustrato/inóculo (S/I) en que en algunos casos no se reportan las unidades y el hecho de que se expresen de diferente manera (gSVsustrato/gSVinóculo y en algunos casos gDQOsustrato/gSVinóculo) no hace comparables los resultados; igual sucede con los métodos empleados para la cuantificación del CH4 y las unidades en que se reportan los resultados y las variables.
Algunos ejemplos son: i. el volumen de CH4 producido se reporta generalmente en m3, L o mL; ii. la concentración de sustrato adicionada al inicio del ensayo se reporta con base en los sólidos volátiles (gSV-1), sólidos totales (gST-1), cantidad (gsustrato-1), volumen (Lsustrato-1) o DQO (gDQO-1) [45]. Para favorecer la comparación entre diferentes estudios, Strömberg et al. [46] sugieren emplear los SV para sustratos sólidos y la DQO para sustratos líquidos. Todas estas variaciones hacen difícil la reproducibilidad del ensayo y la comparación entre investigaciones, por lo cual es recomendable estandarizar el proceso o al menos expresar las condiciones del experimento y las unidades.
Otro factor en el que se ha evidenciado variabilidad es en la duración del ensayo, pues se reportan periodos que varían entre 7 días [20] e incluso 1 año [47]. De acuerdo con Owen et al. [2] la degradación completa de la materia orgánica biodegradable se lleva a cabo en aproximadamente 30 días y para compuestos de lenta degradación se sugiere prolongar el ensayo hasta completar 50 días [4]. Si bien no se propone establecer una duración fija para el ensayo, debido a que este parámetro depende del tipo de sustrato empleado, se recomienda considerar algunos indicadores reportados como el suspender el ensayo cuando la producción diaria de biogás es equivalente al 1% del volumen total producido hasta ese momento [6] o cuando la presión al interior del reactor no varía en más de 5 HPa, en caso de emplear el método manométrico. Recientemente, Strömberg et al. [48] recomiendan acompañar el ensayo de modelos cinéticos que permiten predecir el valor del PBM final realizando un montaje de aproximadamente de 6 días.
Los métodos de medición del CH4 son otro de los factores que presentan una alta variabilidad en los ensayos, pues existen diferentes alternativas cuya selección depende de cada contexto; sin embargo, son pocos los estudios en los que se valide que no existen diferencias significativas entre el método empleado y que los resultados obtenidos sean comparables. En la investigación desarrollada por Souto et al. [29] evaluaron 3 métodos de medición de CH4: volumétrico con caracterización del biogás, volumétrico empleando una solución alcalina y manométrico (Sistema Oxitop ®) y observaron que la producción de CH4 fue similar en todos. También, se comprobó la eficiencia de la solución de NaOH en el método volumétrico y de las perlas de NaOH usadas en el Sistema Oxitop® para la captura del CO2, pues el análisis de las muestras de biogás por cromatografía reveló la ausencia de este gas, por lo tanto, aseguran que con el uso de la solución de NaOH es posible simplificar el proceso de cuantificación de CH4 en laboratorios que carecen de la infraestructura adecuada, ya que el método volumétrico con cromatografía y el manométrico mediante el Sistema Oxitop® demandan mayores inversiones para la compra de equipos, operación y mantenimiento.
Conclusiones
Este trabajo confirma el gran nivel de aplicación y utilidad del ensayo de Potencial Bioquímico de Metano (PBM) para la evaluación y selección de residuos con potencial de aprovechamiento mediante la digestión anaerobia; sin embargo, es prioritario definir una estandarización metodológica para este ensayo, lo cual favorecerá la obtención de resultados confiables, reproducibles y comparables entre diferentes investigaciones. Algunas propuestas que se plantean como aporte son: i. indicar en los resultados presentados en las investigaciones las condiciones del ensayo: duración, método empleado para la medición de biogás o metano, características de la solución de nutrientes y de ajuste de pH utilizadas, temperatura, entre otras de las abordadas en este artículo; ii. unificar el sistema de referencia de unidades en que se reporta el valor del PBM, empleando los sólidos volátiles para residuos sólidos y DQO para líquidos; iii. mantener la denominación del ensayo con el nombre genérico de Potencial Bioquímico de Metano (PBM) independiente de que se implementen pequeñas variaciones al protocolo; en este caso lo que se debe hacer es reportar esas variaciones. Un importante aporte adicional que se hace en este artículo es presentar de manera detallada las ecuaciones para determinar el PBM a través del método manométrico. La uniformidad en la aplicación del método aportará al avance en el campo del aprovechamiento de residuos a través de la digestión anaerobia. Uno de los aspectos que se deberá estudiar con mayor profundidad es el análisis metodológico de los diferentes métodos de medición con el fin de lograr obtener resultados comparables.
Agradecimientos
Los autores expresan su agradecimiento a la Universidad del Valle por el apoyo financiero para realizar esta investigación que se desarrolló en el marco del proyecto de convocatoria interna titulado: “Aprovechamiento de la fracción orgánica de residuos sólidos municipales para la producción de metano como fuente de energía- C.I.2856” y a COLCIENCIAS por la financiación del estudiante Brayan A. Parra Orobio como el becario del doctorado nacional Convocatoria 617-2013-Segundo Corte.
Referencias bibliográficas
[1] Nkoa R. Agricultural benefits and environmental risks of soil fertilization with anaerobic digestates: A review. Agron Sustain Dev. 2014;34(2):473- 92.
[2] Owen WF, Stuckey DC, Healy Jr JB, Young LY, McCarty PL. Bioassay for monitoring biochemical methane potential and anaerobic toxicity. Water Res. 1979;13(6):485-92.
[3] Esposito G, Frunzo L, Liotta F, Panico A, Pirozzi F. Bio-methane potential tests to measure the biogas production from the digestion and co-digestion of complex organic substrates. Open Environ Engine J. 2012;5:1-8.
[4] Hansen TL, Schmidt JE, Angelidaki I, Marca E, la Cour Jansen J, Mosbæk H, et al. Method for determination of methane potentials of solid organic waste. Waste Manage. 2004;24(4):393- 400.
[5] Chynoweth D, Turick C, Owens J, Jerger D, Peck M. Biochemical methane potential of biomass and waste feedstocks. Biomass Bioenerg. 1993;5(1):95-111.
[6] VDI. 4630. Fermentation of organic materials. Characterisation of the substrate, sampling, collection of material data, fermentation tests. Alemania: Verein Deutscher Ingenieure, 2006.
[7] Angelidaki I, Alves M, Bolzonella D, Borzacconi L, Campos JL, Guwy AJ, et al. Defining the biomethane potential (BMP) of solid organic wastes and energy crops: A proposed protocol for batch assays. Water Sci. Technol. 2009;59:927-34.
[8] Gould MC. Bioenergy and Anaerobic Digestion. En: Bioenergy. Dahiya A, Editor. USA: Academic Press; 2014. p.297-317.
[9] Li YY, Gadow S, Niu Q. Biomass energy using methane and hydrogen from waste materials. En: Topical Themes in Energy and Resources. Tanaka Y, Norton M, Li Y, Editors. Japan: Springer Japan; 2015. p.131-57.
[10] Torres P. Perspectivas del tratamiento anaerobio de aguas residuales domésticas en países en desarrollo. Revista EIA. 2012;9(18):115-29.
[11] Zhang XJ. Anaerobic Process. En: Comprehensive Water Quality and Purification. Ahuja S, Editor. USA: Elsevier Inc; 2014. p. 108-122.
[12] Lesteur M, Bellon-Maurel V, Gonzalez C, Latrille E, Roger JM, Junqua G, et al. Alternative methods for determining anaerobic biodegradability: a review. Process Biochem. 2010;45:431-40.
[13] Buffiere P, Loisel D, Bernet N, Delgenes J. Towards new indicators for the prediction of solid waste anaerobic digestion properties. Water Sci. Technol. 2006;53(8):233-41.
[14] Esposito G, Frunzo L, Liotta F, Panico A, Pirozzi F. Bio-methane potential tests to measure the biogas production from the digestion and co-digestion of complex organic substrates. Open Environ Engine J. 2012;5:1-8.
[15] Lisboa MS, Lansing S. Characterizing food waste substrates for co-digestion through biochemical methane potential (BMP) experiments. Waste Manage. 2013;33(12):2664-9.
[16] Raposo F, Fernández-Cegrí V, de la Rubia MA, Borja R, Béline F, Cavinato C, et al. Biochemical methane potential (BMP) of solid organic substrates: Evaluation of anaerobic biodegradability using data from an international interlaboratory study. J Chem Technol Biot. 2011;86(8):1088-98.
[17] Raposo F, De La Rubia MA, Fernández-Cegrí V, Borja R. Anaerobic digestion of solid organic substrates in batch mode: An overview relating to methane yields and experimental procedures. Renew Sust Energ Rev. 2012;16(1):861-77.
[18] Neves L, Oliveira R, Alves MM. Influence of inoculum activity on the bio-methanization of a kitchen waste under different waste/inoculum ratios. Process Biochem. 2004;39:2019-24.
[19] Neves L, Ferreira R, Oliveira R, Alves MM. Influence of inocculum acclimation in the biodegradation rate and estimated biodegradability of cow manure, food waste and oil. Environ Eng Manag J. 2010;9:327-34.
[20] Aquino SF, Chernicharo CA, Foresti E, Santos MLF, Monteggia LO. Metodologias para determinação da atividade metanogênica específica (AME) em lodos anaeróbios. Eng sanit ambient. 2007;12(2):192-201.
[21] Torres P, Pérez A. Actividad Metanogénica Específica: Una herramienta de control y optimización de sistemas de tratamiento anaerobio de aguas residuales. Ingeniería de los Recursos Naturales y del Ambiente. 2010;(9):5-14.
[22] Raposo F, Banks CJ, Siegert I, Heaven S, Borja R. Influence of inoculum to substrate ratio on the biochemical methane potential of maize in batch tests. Process Biochem. 2006;41:1444- 50.
[23] Sabry T. Application of the UASB inoculated with flocculent and granular sludge in treating sewage at different hydraulic shock loads. Bioresource Technol. 2008;99(10):4073-4077.
[24] Kuan-Yeow S, Duu-Jong L, Yuegen Y. Anaerobic granulation for wastewater treatment and bioenergy production: Advances and Prospects. En: Handbook of Clean Energy Systems. Jinyue Y, Editor. United Kingdom: John Wiley & Son Ltd; 2015. p. 1834.
[25] Ossa M, Fuentes L. Evaluación de inóculos procedentes de PTAR´s municipales sobre la digestión anaerobia de la fracción orgánica de residuos sólidos municipales (trabajo de grado). Cali, Colombia: Universidad del Valle; 2015.
[26] Diaz BMC, Espitia VSE, Molina PF. Digestión Anaerobia: una aproximación a la tecnología. Colombia: Unilibros; 2002.
[27] Monteggia L. Proposta de metodologia para avaliação do parâmetro Atividade Metanogênica Específica. Em: 19º Congresso Brasileiro de Engenharia Sanitária e Ambiental, ABES; 1997 Set 14-19; Foz do Iguaçu, Brasil: Associação Brasileira de Engenharia Sanitária e Ambiental (ABES); 1997. p. 754-66.
[28] Rozzi A, Remigi E. Methods of assessing microbial activity and inhibition under anaerobic conditions: a literature review. Reviews in Environmen Sci Bio/Technol. 2004;3(2):93-115.
[29] Souto TF, Aquino SF, Silva QS, Chernicharo LCA. Influence of incubation conditions on the specific methanogenic activity test. Biodegradation. 2010;21:411-24.
[30] Ortiz J. Puesta a punto de una metodología para la determinación de la actividad metanogénica específica de un fango anaerobio mediante el sistema OxiTop®. Influencia de las principales variables experimentales (Tesis doctoral). Valencia, España: Universidad Politecnica de Valencia; 2011.
[31] De la Rubia M, Fernández-Cegrí V, Raposo F, Borja R. Influence of particle size and chemical composition on the performance and kinetics of anaerobic digestion process of sunflower oil cake in batch mode. Biochem Eng J. 2011;58:162-7.
[32] Labatut RA, Angenent LT, Scott NR. Biochemical methane potential and biodegradability of complex organic substrates. Bioresour. Technol. 2011;102(3):2255-64.
[33] Alves I. Análise Experimental do Potencial de Geração de Biogás em Resíduos Sólidos Urbanos. Recife, Brasil: Universidade Federal de Pernambuco; 2008.
[34] Fernández Rodríguez J, Pérez M, Romero LI. Mesophilic anaerobic digestion of the organic fraction of municipal solid waste: Optimisation of the semicontinuous process. Chem Eng J. 2012;193–194:10-5.
[35] Ağdağ ON, Sponza DT. Co-digestion of mixed industrial sludge with municipal solid wastes in anaerobic simulated landfilling bioreactors. J Hazard Mater. 2007;140(1):75-85.
[36] Lee DH, Behera SK, Kim JW, Park H-S. Methane production potential of leachate generated from Korean food waste recycling facilities: a lab-scale study. Waste Manage. 2009;29(2):876-82.
[37] Prabhudessai V, Ganguly A, Mutnuri S. Biochemical methane potential of agro wastes. J Energy. 2013:1-7.
[38] Koch K, Fernández YB, Drewes JE. Influence of headspace flushing on methane production in Biochemical Methane Potential (BMP) tests. Bioresour. Technol. 2015;186:173-8.
[39] Valcke D, Verstraete W. A practical method to estimate the acetoclastic methanogenic biomass in anaerobic sludges. J Water Pollut Control Fed. 1983;55(9):1191-5.
[40] Penna JA. Estudo da metodologia do teste de atividade metanogênica específica. Sao Paulo, Brasil: Universidade de Sao Paulo. Escola de Engenharia de Sao Carlos; 1994.
[41] Castorena H, Robles M, Rojas M, Robles R. Estudio Comparativo del aceite de aguacate y ácidos grasos utilizando espectroscopia infrarroja. En: IV Congreso Internacional XV Congreso Nacional de Ingeniería Bioquímica; 2012 abr 4-7; Morelia Mich, México: Instituto Politécnico Nacional CIBA-Tlaxcala; 2012.
[42] Giménez JB, Martí N, Ferrer J, Seco A. Methane recovery efficiency in a submerged anaerobic membrane bioreactor (SAnMBR) treating sulphate-rich urban wastewater: Evaluation of methane losses with the effluent. Bioresoruce Technol. 2012;118:67-72.
[43] Schievano A, Pognani M, D’Imporzano G, Adani F. Predicting anaerobic biogasification potential of ingestates and digestates of a full-scale biogas plant using chemical and biological parameters. Bioresour. Technol. 2008;99(17):8112-7.
[44] Ventura C. Productividad de metano a partir de residuos de cultivo de maíz y frijol. San Antonio de Oriente, Honduras: Escuela Agrícola Panamericana, Zamorano; 2014.
[45] Angelidaki I, Sanders W. Assessment of the anaerobic biodegradability of macropollutants. Rev Enviromen Sci BioTechnol. 2004;3(2):117-29.
[46] Strömberg S, Nistor M, Liu J. Towards eliminating systematic errors caused by the experimental conditions in Biochemical Methane Potential (BMP) tests. Waste Manage. 2014;34(11):1939- 48.
[47] Lopes WS, Leite VD, Prasad S. Influence of inoculum on performance of anaerobic reactors for treating municipal solid waste. Bioresour. Technol. 2004;94(3):261-6.
[48] Strömberg S, Nistor M, Liu J. Early prediction of Biochemical Methane Potential through statistical and kinetic modelling of initial gas production. Bioresour. Technol. 2015;176:233-41.