Artículos
Estimativa de propriedades termodinâmicas básicas dos componentes das reações de hidrólise envolvendo o óleo da Macaúba
Estimation of basic thermodynamic properties of components of hydrolysis reactions involving Macaúba oil
Estimación de propiedades termodinámicas básicas de componentes de reacciones de hidrólisis que involucran aceite de Macaúba
Estimativa de propriedades termodinâmicas básicas dos componentes das reações de hidrólise envolvendo o óleo da Macaúba
Revista ION, vol. 37, núm. 1, pp. 25-34, 2024
Universidad Industrial de Santander
Recepción: 26 Agosto 2023
Aprobación: 16 Diciembre 2023
Resumo
Objetivo: O presente trabalho teve como objetivo predizer algumas propriedades físico-químicas como fator acêntrico (ω), temperatura crítica (Tc), volume crítico (Vc) e pressão crítica (pc) de ácidos graxos puros e triglicerídeos.
Metodologia: Modelos e equações disponíveis na literatura têm sido adotados como técnica de modelagem não linear e abordagem computacional baseada em alguns descritores moleculares relevantes. Um escasso número de pontos experimentais foi usado para verificar os modelos e equações usados, incluindo alguns pontos para temperatura de ebulição (Teb) e Tc, para ácidos com cadeia de carbono longa.
Resultados e discussões: Os resultados dos modelos mostraram boa precisão, confirmado pelos baixos valores de desvio relativo que variaram de 0,25 a 0,87 % para estimativa de Teb dos ácidos graxos, e pelos baixos valores de erros calculados, que variaram de 0,25 a 13,4 % para os melhores modelos para estimativa de Tc e pc de ácidos graxos. Em relação aos triglicerídeos, os autores recomendam que dados experimentais sejam obtidos com antecedência para uma avaliação confiável.
Conclusão: Os modelos forneceram resultados satisfatórios, superando a maioria dos modelos citados na literatura. Esta abordagem de trabalho pode ser aplicada em engenharia de petróleo e outras áreas relacionadas, como biocombustíveis, para determinar com precisão o fator acêntrico, temperatura de ebulição e propriedades críticas de compostos puros que participaram da reação de hidrólise do óleo de macaúba e outros biocombustíveis.
Palavras-chave: Óleo de Macaúba+ Propriedade crítica+ Ácido graxo+ Triglicerídeo.
Abstract
Objective: The current work aimed to predict some physical-chemical properties such us acentric fator (ω), critical temperature (Tc), critical volume (Vc), and critical pressure (pc) of pure fatty acids and triglycerides.
Methodology: Models and equations available in the literature have been adopted as a nonlinear modeling technique and computational approach based on a few relevant molecular descriptors. A set of scarcy data points was used to check the used models and equations, including some points for ebulition temperature (Teb) and Tc, for acids with long carbon chain.
Results and discussions: The results of the models showed good precision, confirmed by the low values of relative deviation ranging from 0.25 to 0.87 % for Teb estimation for the fatty acids, and the low values of calculated errors, that ranged from 0.25 to 13.4 % for the best models for estimation of Tc and pc for fatty acids. Regarding the tryglicerides, the authors recommend that experimental data must be obtained in advance to have a reliable evaluation.
Conclusion: The models provided satisfactory results, outperforming most of the models mentioned in the literature. This work approach can be applied in petroleum engineering and other related fields such as biofuels to accurately determine the acentric factor, ebullition temperature and critical properties of pure compounds which have taken part of hydrolisis reaction of Macaúba oil and others biofuels.
Keywords: Macaúba Oil, Critical property, Fatty acid, Trygliceride.
Resumen
Objetivo: El presente trabajo tuvo como objetivo predecir algunas propiedades fisicoquímicas como el factor acéntrico (ω), temperatura crítica (Tc ), volumen crítico (Vc ) y presión crítica (pc ) de ácidos grasos puros y triglicéridos.
Metodos: Los modelos y ecuaciones disponibles en la literatura se han adoptado como una técnica de modelado no lineal y un enfoque computacional basado en algunos descriptores moleculares relevantes. Se utilizó un número escaso de puntos experimentales para verificar los modelos y ecuaciones utilizados, incluidos algunos puntos para temperatura de ebullición (Teb) y Tc , para ácidos con cadenas de carbono largas.
Resultados y discusiones: Los resultados de los modelos mostraron una buena precisión, que se confirma por los bajos valores de desviación relativa que variaron de 0,25 a 0,87 % para estimar Teb de ácidos grasos; y además, por los bajos valores de errores calculados, que variaron de 0,25 a 13,4 % en los mejores modelos para estimar Tc y pc de ácidos grasos. Con respecto a los triglicéridos, los autores recomiendan que los datos experimentales se obtengan con anticipación para una evaluación confiable.
Conclusiones: En consecuencia, los modelos proporcionaron resultados satisfactorios, superando a la mayoría de los modelos citados en la literatura. Este enfoque de trabajo se puede aplicar en la ingeniería petrolera y otras áreas relacionadas, como los biocombustibles, para determinar con precisión el factor acéntrico, la temperatura de ebullición y las propiedades críticas de los compuestos puros que participan en la reacción de hidrólisis del aceite de macaúba y otros biocombustibles.
Palabras clave: Aceite de macaúba, Propiedad crítica, Ácido graso, Triglicérido.
Introdução
O biodiesel é normalmente produzido pela reação de transesterificação entre um triglicerídeo e um álcool de cadeia curta, na presença de um catalisador básico [1]. A matéria prima utilizada deve conter menos de 1 °% m/m de ácidos graxos livres, para prevenir a formação de sabão e a desativação do catalisador durante a reação alcalina [2]. No entanto, a maior parte da matéria prima de baixo custo, como óleos de cozinha e gordura animal, contém altas concentrações de ácidos graxos livres, que podem ser removidas por uma reação prévia de esterificação com catalisador ácido [3]. Os álcoois comumente utilizados nas reações de esterificação de ácidos carboxílicos e ácidos graxos são de cadeia curta, do metanol ao butanol, e alguns resultados apontam para o melhor desempenho dos álcoois menores, metanol e etanol, sendo que os outros álcoois maiores podem ser utilizados por questões de solubilidade do catalisador, por exemplo [4,5]. A determinação de propriedades termodinâmicas e cinéticas de reação é importante para entender o comportamento da reação estudada. Porém, a disponibilidade de dados experimentais das moléculas envolvidas nas reações de produção do biodiesel é escassa na literatura. Em muitos estudos são utilizados métodos de contribuição de grupos ou correlações empíricas para predizer as propriedades de moléculas de biodiesel [6]. As ferramentas da modelagem molecular têm sido aplicadas com relativo sucesso em cálculos termodinâmicos [7,8]. O'Connell et al. [9] destaca o uso da química quântica computacional, que, a princípio, não requer dados experimentais, como em modelos de regressão, como uma alternativa para predizer parâmetros termodinâmicos com resultados de alta qualidade. Óleos vegetais são matérias primas de baixo custo e usualmente contém em suas composições grandes concentrações de ácido oleico [10], além de outros em menores quantidades tais como palmítico, esteárico e linoleico. Areação de hidrólise de trigliceróis pode originar, principalmente, o ácido oleico. As reações de hidrólise podem ser conduzidas usando-se triglicerídeos de curta cadeia, sendo o ácido acético e etanóico os produtos mais comuns, além do glicerol que seria o produto comum em qualquer reação de hidrólise na produção de biodiesel. Portanto, a que se considerar que, para um óleo vegetal de dada composição, as possíveis reações de hidrólise de um triglicerol podem levar desde a ácido acético e até ácidos de cadeia bem longa do tipo C19-C21 como por exemplo o oleico (reação AM e reação OE, respectivamente).
O estudo das reações de hidrólise catalítica ácida de óleo de Macaúba resulta na produção de compostos de ácidos graxos e envolve triglicerídeos os quais muitas grandezas termodinâmicas básicas do tipo fator acêntrico, temperatura de ebulição e propriedades críticas, ainda são desconhecidas no campo experimental e teórico. Desta forma, neste trabalho foram selecionados alguns ácidos e alguns triglicerídeos visando mapear o estado da arte dos mesmos no que se refere às suas propriedades físico-químicas. A partir deste mapeamento, equações ou métodos recentes para estimativas das grandezas importantes e ausentes foram encontrados na literatura permitindo estimativas que preenchessem as lacunas até o momento.
Metodologia
Escolha dos compostos químicos de estudo.
Considerando as possíveis reações que acontecem no reator de hidrólise ácida do óleo de Macaúba, pode-se afirmar que para se realizar um estudo termodinâmico das reações visando obter variações de entalpias e energia de Gibbs reacionais será preciso pesquisar os valores de calor específico, entalpia e energia de Gibbs de formação dos possíveis compostos presentes na mistura reacional. Faz-se necessário a consulta nos bancos de dados disponíveis na literatura. Além disso o conhecimento de propriedades termodinâmicas básicas como a temperatura normal de ebulição, o fator acêntrico, a pressão, o volume e a temperatura crítica são essenciais para se obter a condição de estado físico dos compostos, bem como avaliar outras grandezas que envolvem projeto de equipamentos. O conhecimento das reações que envolve o óleo de macaúba num reator de hidrólise ácida é fundamental para que se possa reconhecer os possíveis compostos que fazem parte do sistema. Estes compostos formarão o conjunto de espécies químicas que será explorada neste trabalho visando completar possíveis lacunas no que concerne aos valores das propriedades anteriormente citadas.
Dessa forma apresenta-se, a seguir, de forma genérica, as reações de hidrólise de óleos vegetais que podem ser assim descritas:
Triglicerídeo + água ? diglicerídeo + ácido graxo Diglicerídeo + água ? monoglicerídeo + ácido graxo Monoglicerídeo + água ? glicerol + ácido graxo
Somando-se a três equações, vem que: Triglicerídeo + 3 água ? glicerol + 3 ácidos graxos
Considerando que R1, R2 e R3 são radicais orgânicos do tipo metil, etil, propil etc. A representação dos glicerídeos é a seguinte:
Triglicerídeo

Diglicerídeo

Monoglicerídeo

A representação de um ácido graxo é

O glicerol pode ser escrito assim,

No caso deste trabalho, o óleo de macaúba será a matéria prima principal. A literatura [11] tem informado que este óleo de macaúba é obtido a partir da extração do fruto da palmeira Acrocomia aculeata (Jacq.) Lodd. ex Mart., da família Arecaceae, nativa de florestas tropicais da América do Sul, facilmente encontradas dispersas em áreas do Cerrado Brasileiro. Devido à elevada produtividade de óleo não-comestível, em decorrência do alto índice de acidez e composição química (Tabela 2, pag. 10 no trabalho de Santos, 2023) mostra que o óleo da polpa é constituído principalmente pelos ácidos graxos oleico e palmítico, e o óleo da semente é composto majoritariamente pelos ácidos graxos láurico e oleico), o óleo de macaúba, seja da polpa ou da semente, é muito promissor para a produção de diesel verde, BioQAv [12], além de outros produtos. O Óleo do Mesocarpo da Macaúba (OMM) é constituído predominantemente pelos ácidos graxos palmítico (C16:0), oleico (C18:1) e linoleico (C18:2), apresentando um caráter mais insaturado que o Óleo do Endosperma da Macaúba (OEM). Este, por sua vez, é mais saturado e contém principalmente os ácidos graxos láurico (C12:0), mirístico (C14:0), palmítico (C16:0) e oleico (C18:1) [13].
Portanto, baseado nessas informações anteriores, optou-se, neste trabalho, por dar maior ênfase de estudo aos seguintes compostos: ácidos graxos: oleico, linoleico, esteárico e palmítico, e no caso dos triglicerídeos que, segundo (ou de acordo com) as reações irão promover a produção dos ácidos citados, iremos pesquisar os seguintes: C57H104O6 (trioleína), C57H110O6 (triestarína), C51H98O6 (tripalmitina) e C57H98O6 (trilinoleína).
Metodologia para obtenção de propriedades físico-químicas de ácidos graxos e triglicerídeos.
O estudo de aplicação do óleo de macaúba na vida rotineira do ser humano, muitas vezes envolve a estimativa de grandezas que estão na dependência de propriedades termodinâmicas ou físico-químicas, que ainda não foram obtidas experimentalmente. Dessa forma, uma consulta à literatura tem mostrado que alguns pesquisadores têm proposto correlações que vem auxiliar no conhecimento e determinação destas lacunas. No caso deste trabalho, o fator acêntrico (ω), a temperatura normal de ebulição (T/K), a pressão, volume e temperatura críticas (pc, Tc e Vc) serão objetos de estudo.
Compostos tais como os triglicerídeos e ácidos graxos que fazem parte da composição do óleo de macaúba serão estudados visando completar as lacunas existentes até o momento (2023) e que tem prejudicado o prosseguimento de estudos mais avançados na área dos biocombustíveis, principalmente no setor de balanços energéticos. Uma equação que pode ser empregada na estimativa do fator acêntrico de um composto é proposta em Ceriani, Gani e Meirelles [14].

Em que R é a constante dos gases perfeitos e vale 8,314 J/mol.K. Os valores das propriedades críticas (Tc, pc e Vc) podem ser estimados, por exemplo, pelo método de Joback [15] mas que não tem proporcionado bom resultado para moléculas de cadeias carbônicas grandes. Uma boa alternativa seria utilizar a metodologia proposta por Morad et al. [16].
O trabalho recente de Otobrise e Monago, 2015 [17] também permite obter a pressão crítica, em atmosferas, para ácidos e triglicerídeos. Pode-se usar os resultados deles para comparação com outros modelos trabalhados nesse projeto. Ainda nesta linha, pode-se calcular propriedades críticas segundo o trabalho de Nannoolal, Rarey e Ramjugenath [18] pelas seguintes equações (2 - 4):

Ni é o número de grupos tipo i; Ci contribuição do grupo i; M massa molar g/gmol; a, b, c que são obtidos na Tabela 16 do artigo e que são os parâmetros ajustáveis; n número de átomos na molécula (exceto hidrogênio); GI contribuição da interação de grupos total, que pode ser obtido pela equação que se segue:

onde Ci-j = Ci-j , m é o número total de grupos de interação Ci-j . é a contribuição de grupos de interação entre grupo i e j com Ci-j=. = 0. A Tabela 16 contém os parâmetros para as equações.
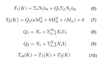
Para se estimativas as propriedades críticas pelo método anterior de Nannoolal et aí. [18] é necessário o conhecimento da temperatura normal de ebulição do composto que, no caso de triglicerídeos e ácidos graxos de cadeia longa, provavelmente ainda não estão disponíveis na literatura. Dessa forma, uma estimativa da temperatura normal de ebulição. (Teb ou Tn) será feita empregando o método de Ghasemitabar e Movagharnejad [19] cujas equações do método estão comentadas a seguir:

Em que as variáveis tbi. e tbj revela grupos de i (primeira ordem) e j (segunda ordem). Os valores de Ui e Vi podem ser encontrados na Tabela 3 do artigo para este modelo; a, b, c e d estão na Tabela 4Ni e Nj é o número de grupos i e j. NA e NC é o número total de átomos e de átomos de carbono na molécula. M é a massa molecular. Observando-se o método anterior, que apresenta resultados bem mais atrativos que os anteriores publicados, percebe-se que sua tabela de parâmetros não é tão completa e que, no caso dos triglicerídeos, o recurso será usar a conhecida metodologia de Marrero e Pardillo [20] que pode ser assim apresentada:

Em que Nk é o número de átomos do tipo k e tbbk é a contribuição do grupo. Os parâmetros estão disponíveis no trabalho de Marrero e Pardillo [20].
Resultados e discussões
Considerando a composição química do óleo de macaúba, bem como os produtos finais da reação de hidrólise que este óleo deverá sofrer para obtenção de ácidos graxos de grande aplicação, algumas moléculas que aparecem com maior concentração (ácidos graxos e trigliceróis) forma selecionadas para este estudo. Nota-se que muitos dados físicos e químicos ainda estão indisponíveis na literatura e que são necessários para predizer o comportamento termodinâmico das reações de hidrólise em fase líquida. A Tabela 1 apresenta as moléculas que serão objeto de estudo deste trabalho assim como os dados experimentais e os estimados pelos métodos de contribuição de grupos, que estão disponíveis na literatura até o presente momento. Os valores de propriedades na vaporização (
) foram adicionados visando salientar que há bastante pesquisa experimental e teórica para obtenção destas grandezas, ainda desconhecidas, que são fundamentais no projeto de equipamentos para a indústria.
As propriedades críticas e o fator acêntrico dos compostos da Tabela 1 serão estimados pelo método de Nannoolal et al. [18]. Nota-se que para os triglicerídeos a temperatura normal de ebulição é desconhecida, dessa forma, deverá ser estimada por um método apropriado. Uma revisão mostrou que o método de Ghasemitabar e Movagharnejad [19] seria o mais indicado para moléculas de ácidos graxos, entretanto sua tabela de parâmetros apresenta restrições. Sendo assim, para os triglicerídeos o método de Marrero e Pardillo [20] foi a metodologia mais adequada para predizer a Teb uma vez que se verificou que o primeiro método não possuía todos os parâmetros necessários para a estimativa quando a molécula se tratava de um triglicerídeo. A Tabela 2 apresenta os resultados para a estimativa Testeb(K) (da temperatura normal de ebulição para ácidos graxos e triglicerídeos pelos métodos citados. O desvio D % foi calculado em relação ao valor experimental (*) disponível em NIST(http://webbook.nist.gov) [21].


Com base nas informações da Tabela 2 associada aos parâmetros publicados em seu artigo, o método de Nannoolal et al. [18] agora pode ser empregado para cálculo das propriedades dos ácidos graxos conforme a Tabela 3 a seguir. Alguns valores podem ser comparados com dados já publicados na literatura que podem ter sido estimados por algum método teórico ou obtido em laboratório. Especificamente, para o volume crítico ainda não há nenhuma estimativa, para estes ácidos, publicada na literatura. É importante ressaltar que todos os desvios relativos são calculados em relação ao valor publicado na literatura, seja ele experimental ou estimado. Cabe ressaltar que, para o fator acêntrico, não existe, até o momento, um método que proporcione valores confiáveis para ácidos de cadeia longa. Com relação aos compostos triglicerídeos será apresentado apenas um estudo que irá permitir a obtenção das propriedades críticas da trioleína e da tripalmitina empregando-se as equações anteriores e baseando-se em dados fornecidos pelo http://www.chemspider.com [30]. Através da consulta internet (Chem Spider) encontrou-se os seguintes valores para temperatura de ebulição dos compostos supracitados: Para a trioleína Tb = 818,7 ± 55 0C e para a tripalmitina Tb = 759,8 ± 27 0C, ambas a 760 mmHg, ou seja, os valores são os normais de ebulição. Dessa forma foram calculadas as propriedades críticas para estas substâncias, utilizando a metodologia aplicada aos ácidos graxos, segundo os valores de Tb obtidos nesse trabalho, e também na literatura (predito pelo Chem Spider). Os resultados podem ser conferidos nas Tabelas 4 e 5 que se seguem. É importante esclarecer que devido ao fato de não haver dados experimentais ou teóricos confiáveis para comparação, os desvios apresentados nas Tabelas 4 e 5 foram calculados em relação aos valores estimados neste trabalho.
![Propriedades físico-químicas de alguns ácidos graxos presentes no óleo de Macaúba estimadas pelo método de Nannoolal et al. [18].](../t3.jpg)


Os desvios relativos da Tabela 5 foram calculados em relação ao valor estimado neste trabalho que é o método proposto por Ghasemitabar e Movagharnejad [19], Nota-se que, para os dois triglicerídeos testados, para o método utilizado, uma variação na estimativa da temperatura de ebulição não altera os valores estimados para pressão e volume críticos. Por outro lado, existe uma pequena variação nos valores calculados de temperatura crítica e fato acêntrico de 11,8 - 18,7 % para a tripalmitina e de 4,84 a 17,6 % para a trioleína, o que demonstra que a pesquisa destas propriedades termodinâmicas está num caminho assertivo. Verificou-se que a literatura ainda não publicou dados experimentais que permitam avançar com estudos de estimativa preditiva de propriedades críticas para algumas moléculas, como é o caso dos triglicerídeos. O banco de dados NIST [21] ainda possui muitas lacunas em relação a propriedades básicas de muitos compostos na área de biocombustíveis. Desta forma, os autores recomendam um esforço maior no campo experimental visando dirimir avaliações confiáveis.
Conclusão
Foi verificado que existem inúmeras lacunas que precisam ser preenchidas, na literatura, no que se refere às propriedades termodinâmicas básicas de ácidos graxos e principalmente de triglicerídeos que estão presentes no óleo de Macaúba. A escolha de um método de estimativa de propriedades críticas e fator acêntrico de alguns ácidos de cadeia longa e alguns triglicerídeos passou pela estimativa da temperatura de ebulição que apresentou ótimos resultados para os ácidos, de acordo com o método de Ghasemitabar e Movagharnejad [19]. Como não havia parâmetros para estimativas da temperatura de ebulição para triglicerídeos, optou-se por utilizar a correlação de Marrero e Pardillo [20].
Exceto para o fator acêntrico, as estimativas das propriedades críticas para os ácidos graxos desse estudo mostraram resultados animadores, de forma que o método usado pode ser recomendado para outras estimativas envolvendo esta classe de químicos. Por outro lado, pela escassez de dados experimentais, não é possível confirmar nenhum método seguro para estimativa de propriedades críticas dos triglicerídeos que estão presentes no óleo de Macaúba.
Agradecimentos
Os autores agradecem o apoio do projeto CNPq de Processo número 423097/2021- da Chamada Universal 2021.
Referências
Vyas AP, Verma JL, Subrahmanyam N. A review on FAME production processes. Fuel. 2010;89(1):1-9. doi.org/10.1016/j.fuel.2009.08.014
Chung KH, Chang DR, Park BG. Removal of free fatty acid in waste frying oil by esterification with methanol on zeolite catalysts. Bioresource Technol. 2008;99(16):7438-43. doi.org/10.1016/j.biortech.2008.02.031
Veljkovic VB, Lakicevic SH, Stamenkovic OS, Todorovic ZB, Lazic ML. Biodiesel production from tobacco (Nicotians tabacum L.) seed oil with a high content of free fatty acids. Fuel. 2006;85(17-18):2671-2675. doi.org/10.1016/j.fuel.2006.04.015
Marchetti JM, Errazu AF. Comparison of different heterogeneous catalysts and different alcohols for the esterification reaction of oleic acid. Fuel. 2008;87(15-16):3477-80. doi.org/10.1016/j.fuel.2008.05.011
Lilja J, Wërnâ J, Salmi T, Pettersson LJ, Ahlkvist J, Grenman H, et al. Esterification of propanoic acid with ethanol, 1-propanol and butanol over a heterogeneous fiber catalyst. Chemical Engineering Journal. 2005;115(1-2):1-12. doi.org/10.1016/j.cej.2005.08.012
Altun S, Lapuerta M. Properties and emission indicators of biodiesel fuels obtained from waste oils from the Turkish industry. Fuel. 2014;128:288-295. doi.org/10.1016/j.fuel.2014.03.024
Sandler SI. Quantum mechanics: a new tool for engineering thermodynamics. Fluid Ph. Equilib. 2003;210(2):147-160. doi.org/10.1016/S0378-3812(03)00176-6
Oliveira AC, Moura LF, Cardoso D. Method of contribution of groups to estimate thermodynamic properties of components of biodiesel formation in liquid phase. Fluid Ph. Equilib. 2012;317:59-64. doi.org/10.1016/j.fluid.2011.09.026
O'connell JP, Gani R, Mathias PM, Maurer G, Olson JD, Crafts PA. Thermodynamic property modeling for chemical process and product engineering: some perspectives. Ind. Eng. Chem. Res. 2009;48(10):4619-4637. doi.org/10.1021/ie801535a
Cho HJ, Kim SH, Hong SW, Yeo Y-K. A single step non-catalytic esterification of palm fatty acid distillate (PFAD) for biodiesel production. Fuel. 2012;93:373-380. doi.org/10.1016/j.fuel.2011.08.063
Dos Santos VJR. Hidrólise do óleo do mesocarpo da macaúba (Acrocomia aculeata) utilizando catalisadores heterogêneos ácidos (Dissertação de mestrado). Uberlândia, Brasil: Universidade Federal De Uberlândia; 2023.
Moreira JDBD, de Rezende DB, Pasa VMD. Deoxygenation of macauba acid oil over Co-based catalyst supported on activated biochar from Macauba endocarp: A potencial and sustainable route for green diesel and biokerosene production. Fuel. 2020;269:117253. doi.org/10.1016/j.fuel.2020.117253
Souza PT, Silva WLG, Meirelles AJA, Tubino M. Monitoring the short-chain carboxylic acids produced during the storage of different fatty composition biodiesels and their binary blends using ion chromatography. Fuel. 2021;289:119943. doi.org/10.1016/j.fuel.2020.119943
Ceriani R, Gani R, Meirelles AJA. A Prediction of heat capacities and heats of vaporization of organic liquids by group contribution methods. Fluid Ph. Equilib. 2009;283(1-2):49-55. doi.org/10.1016/j.fluid.2009.05.016
Poling BE, Prausnitz JM, O'connell JP. The Properties of Gases and Liquids. 5 ed. New York: McGraw-Hill; 2001.
Morad NA, Mustafa Kamal AA, Panau F, Yew TW. Liquid specific heat capacity estimation for fatty acids, triacylglycerols, and vegetable oils based on their fatty acid composition. J. Am. Oil Chem. Soc. 2000;77(9):1001-1005. doi.org/10.1007/s11746-000-0158-6
Otobrise C, Monago KO. New group contribution method for predicting the critical pressures of fatty acids and triglycerides. IJCTC. 2015;3(6):45-49. doi.org/10.11648/j.ijctc.20150306.11
Nannoolal Y, Rarey J, Ramjugernath D. Estimation of pure component properties: Part 2. Estimation of critical property data by group contribution. Fluid Ph. Equilib. 2007,52(1-2):1-27. doi.org/10.1016/j.fluid.2006.11.014
Ghasemitabar H, Movagharnejad K. Estimation of the normal boiling point of organic compounds via a new group contribution method. Fluid Phase Equil. 2016;411:13-23. doi.org/10.1016/j.fluid.2015.11.029
Marrero-Morejon J, Pardillo-Fontdevila E. Estimation of pure compound properties using group interaction contributions. AIChE J. 1999;45(3):615-621. doi.org/10.1002/aic.690450318
Linstrom PJ, Mallard WG. NIST Chemistry WebBook. NIST Standard Reference Database Number 69. National Institute of Standards and Technology, Gaithersburg MD; 2001. Disponivel em: http://webbook.nist.gov
Rowley RL, Daubert TE, Zundel NA, Danner RP, Adams ME. Physical and Thermodynamic Properties of Pure Chemicals: DIPPR 801 Evaluated Process Design Data Supplement 11/12. 11 ed. Taylor & Francis; 2002.
Majer V, Svoboda V. Enthalpies of Vaporization of Organic Compounds: A Critical Review and Data Compilation. Oxford: Blackwell Scientific Publications; 1985.
RüziCka K, Majer V. Simultaneous Treatment of Vapor Pressures and Related Thermal Data Between the Triple and Normal Boiling Point Temperatures for n-Alkanes C5-C20. J. Phys. Chem. Ref. Data. 1994;23(1):1-39. doi.org/10.1063/1.555942
Cunico LP, Ceriani R, Guirardello R. Estimation of Physical Properties of Vegetable Oils and Biodiesel, Using Group Contribution Methods. Chemical Engineering Transactions. 2013;32:535-540. doi.org/10.3303/CET1332090
Kishore K, Shobha HK, Mattamal GJ. Structural effects on the vaporization of high molecular weight esters. J. Phys. Chem. 1990;94(4):1642-1648. doi.org/10.1021/j100367a077
Constantinou L, Gani R. New group contribution method for estimating properties of pure compounds. AIChE J. 1994;40(10):1697-1710. doi.org/10.1002/aic.690401011
Rowley RL, Widling WV, Zundel NA, Marshall TL, Daubert TE. Physical and Thermodynamic Properties of Pure Chemicals. 11 ed. London: Taylor & Francis; 2003.
Aldrich Chemical Company Inc. Catalog Handbook of Fine Chemicals. Milwaukee WI: Aldrich Chemical Company; 1990.
ChemSpider. Search ChemSpider. Disponivel em: Disponivel em: http://www.chemspider.com. Acesso em 20 de Setembro de 2022.
Cita:
Notas de autor
amoilton@ufu.br