Artículos de investigación
Evaluación de filtros pasivos para la gestión de armónicos en redes industriales de distribución eléctrica
Evaluation of Passive Filters for the Management of Harmonics in Industrial Electrical Distribution Networks
Evaluación de filtros pasivos para la gestión de armónicos en redes industriales de distribución eléctrica
TecnoLógicas, vol. 26, núm. 58, e2839, 2023
Instituto Tecnológico Metropolitano

Recepción: 23 Agosto 2023
Aprobación: 20 Diciembre 2023
Publicación: 29 Diciembre 2023
Resumen: Es necesario gestionar armónicos para obtener calidad energética en sistemas de distribución. Por lo cual, este artículo tuvo como objetivo evaluar el uso de filtros pasivos como alternativa viable para la gestión armónica en redes de distribución eléctricas en media tensión con alta carga industrial, mediante el análisis de Índices de Distorsión Armónica Total que fueron calculados y graficados con el software Matlab. Así, primero se propuso un caso de estudio con base en la red de distribución IEEE 34 nodos, para posteriormente, definir cuatro escenarios de simulación que permiten la integración de bancos de condensadores, reactancias de rechazo y fuentes de armónicos. Partiendo de un diseño matemático se analizó el flujo de carga armónico diario para cada hora, y se propusieron mecanismos de diseño de reactancias de rechazo como complemento a las soluciones tradicionales de corrección de factor de potencia basadas en bancos de condensadores. Los resultados mostraron que, el uso de los filtros pasivos LC pueden ser altamente efectivos para la gestión de distorsión armónica de tensión, pero insuficientes para la eliminación de distorsión armónica de corriente. Sin embargo, esta clase de filtros sí muestran completa eficacia en la limitación de amplificación de armónicos (tanto de tensión, como de corriente) al utilizar bancos de condensadores para la corrección de factor de potencia en sistemas con problemáticas de armónicos. Concluyendo que los filtros pasivos LC con reactancias de rechazo mitigan armónicos de voltaje así se tengan bancos de condensadores y fuentes de armónicos, lo que los convierte en la forma más factible, eficaz y económica de obtener calidad energética.
Palabras clave: Filtros pasivos, red de distribución, reactancias de rechazo, distorsión armónica total, mitigación de armónicos.
Abstract: It is necessary to manage harmonics to obtain energy quality in distribution systems. Therefore, this article aimed to evaluate the use of passive filters as a viable alternative for harmonic management in medium voltage electrical distribution networks with high industrial load. To do this, the Total Harmonic Distortion Indices were analyzed, which were calculated and graphed with Matlab software. First, a case study was proposed based on the 34-node IEEE distribution network. Later, four simulation scenarios were defined that allow the integration of capacitor banks, rejection reactances, and harmonic sources. Based on a mathematical design, the daily harmonic load flow for each hour was analyzed, and rejection reactance design mechanisms were proposed as a complement to traditional power factor correction solutions based on capacitor banks. The results showed that the use of passive LC filters can be highly effective for the management of voltage harmonic distortion, but insufficient for the elimination of current harmonic distortion. However, this type of filters does show complete effectiveness in limiting harmonic amplification (both voltage and current) when using capacitor banks for power factor correction in systems with harmonic problems. Concluding that LC passive filters with rejection reactors mitigate voltage harmonics even if there are capacitor banks and sources of harmonics, which makes them the most feasible, effective, and economical way to obtain energy quality.
Keywords: Passive filters, distribution network, rejection reactors, total harmonic distortion, harmonic mitigation.
Highlights
Los condensadores de la industria pueden utilizarse como parte de un filtro pasivo para la gestión armónica.
Mediante filtros LC es posible limitar la amplificación armónica en usuarios industriales.
Aunque no eliminan armónicos de corriente, los filtros LC sí gestionan armónicos de tensión.
Highlights
Industry capacitors can be used as part of a passive filter for harmonic management.
Using LC filters it is possible to limit harmonic amplification in industrial users.
Although they do not eliminate current harmonics, LC filters do manage voltage harmonics.
1. INTRODUCCIÓN
El desarrollo tradicional de los sistemas eléctricos ha considerado una relación lineal entre voltaje y corriente [1]. De esta manera, al contar con una excitación de voltaje senoidal, la respuesta del sistema es otro senoide (de tensión o corriente) con la misma frecuencia de la excitación, pero con diferente amplitud o fase [2]. Desde esta perspectiva, únicamente el desfase entre voltaje y corriente en una carga permitía cuantificar el factor de potencia (simplificándolo al cos ϕ) y, por lo tanto, determinar la energía reactiva presente [3].
Por ejemplo, las cargas representativas a nivel industrial (como motores y transformadores) permitían este análisis lineal, pues al tratarse de bobinas, el desfase entre tensión y corriente implicaba la aparición de energía reactiva inductiva (simplificando nuevamente el cálculo del factor de potencia) [4]. De esta manera, si la potencia reactiva llegase a superar un límite establecido por la regulación de cada país, los operadores de red realizaban penalización por consumo excesivo de reactivos [5]. Por ende, se masificó la Corrección del Factor de Potencia (PFC por sus siglas en inglés) con la cual se contrarrestan los excedentes de potencia reactiva producidos por las bobinas en la industria mediante el uso de bancos de condensadores [6].
Sin embargo, el amplio desarrollo de la electrónica de potencia y su utilidad en los entornos industriales provocó la aparición de contaminación armónica [7] (entendiendo esto como la distorsión producida en ondas sinusoidales de tensión y/o corriente) [8]. La aparición de este fenómeno se debe a diferentes factores, sin embargo, entre los más comunes se tiene el uso de cargas con impedancia no lineal [8]. En consecuencia, la presencia de corrientes y/o tensiones armónicas provocó la aparición de nuevas problemáticas en el sistema eléctrico, entre las cuales se tiene [8]: Aumento de las pérdidas, equipos con pérdida de vida útil [9], calentamiento de conductores y desbalances de carga [10].
No obstante, las problemáticas a nivel industrial fueron mucho más agudas, pues al contar con condensadores para mejorar su cos ϕ, se dio un efecto de amplificación de armónicos debido a la resonancia paralelo (producida entre estos condensadores y la inductancia de los transformadores) y la circulación de corrientes no lineales típicas en cargas industriales (por el uso de Variadores de Velocidad (VDF) y Rectificadores) [11].
A raíz de esto, se han utilizado filtros LC con reactancias de rechazo y el condensador empleado para la gestión del cos ϕ para así, evitar la amplificación de armónicos (e inclusive eliminarlos en función de ciertos criterios técnicos) [12].
Si bien existen otros mecanismos como los filtros activos o los compensadores dinámicos para tratar esta problemática, (garantizando incluso la eliminación de armónicos) [13], los filtros pasivos son una alternativa mucho más económica, o en su defecto, podrían contribuir a utilizar un filtro activo o compensador dinámico mucho más pequeño (y, por lo tanto, de menor costo) [14].
Así mismo, pocos estudios evalúan el uso de filtros pasivos como alternativa viable para gestionar los armónicos en múltiples cargas industriales interconectadas mediante una red de distribución de energía (determinando bajo qué consideraciones esta opción de bajo costo podría inclusive eliminar la distorsión en tensión y/o corriente) [15] y [16]. Por ende, es necesario evaluar el impacto que podrían representar estos filtros pasivos a nivel de red para la gestión de armónicos en el ámbito industrial y de esta manera, mejorar el rendimiento de las redes de distribución, siendo fundamental realizar estudios que permitan la mejora en la calidad de energía (donde juega un papel clave la gestión de armónicos) [17].
Con base en lo anterior, el presente artículo describe y brinda un aporte al estado del arte pues profundiza en alternativas de bajo costo para gestionar armónicos a nivel de red, mediante el uso de filtros pasivos LC conformados por condensadores diseñados para PFC y reactancias de rechazo.
1.1 Estado del arte
Desde una perspectiva de Calidad de Energía se han empleado diferentes técnicas para la disminución y eliminación de armónicos en cargas de diferente tipo (principalmente industriales) con el fin de garantizar la forma de onda sinusoidal en los sistemas eléctricos.
Es por esta razón que, varios autores han implementado y dado a conocer algunas de las tecnologías que existen para este proceso actualmente, probadas en softwares de modelado de redes, además de algunas investigaciones referentes al análisis exhaustivo de armónicos en redes de distribución. Lo anterior se muestra al detalle en las siguientes categorías (secciones 1.1.1, y 1.1.2).
1.1.1 Alternativas de tecnologías de mitigación de armónicos
En la Tabla 1 se resumen los trabajos más relevantes referentes a las diferentes tecnologías que se tienen como alternativas para la mitigación de armónicos, las cuales brindan un punto de partida útil para el desarrollo de este artículo. Allí se detalla el autor, el aporte y la información (revista o congreso) de la publicación de cada referente.
| Referencia | Principal aporte |
| [18] | Implementación de filtros pasivos de sintonización única para mitigar los armónicos individuales, además de mejorar factor de potencia y el perfil de voltaje, utilizando software ETAP [18]. |
| [19] | Algoritmo de mitigación de armónicos para minimizar la distorsión armónica total al optimizar el tamaño y la ubicación de los filtros de potencia activos en una red de distribución con cargas no lineales presentes [19]. |
| [20] | Investiga como mejorar la calidad de energía en una red de prueba IEEE-13 nodos, ajustada mediante el uso del compensador estático de distribución, interconectado con la red integrando energía solar fotovoltaica [20]. |
| [21] | Algoritmo de optimización de enjambre de partículas multiobjetivo para asignación óptima de filtros activos de potencia en derivación en la red de distribución [21]. |
1.1.2 Análisis de armónicos en redes de distribución
Asimismo, en la Tabla 2 se resumen los trabajos más relevantes referentes a análisis de armónicos en redes de distribución. Allí se detalla el autor, el aporte y la información (revista o congreso) de la publicación de cada referente.
| Referencia | Principal aporte |
| [22] | Revisión de la literatura sobre armónicos, mediciones experimentales, modelado de simulación y discusión de resultados, de modo que, se describe la física no lineal del fenómeno armónico para explorar sus aplicaciones y comparar las tecnologías de mitigación armónica para probar su conformidad con límites estándar [22]. |
| [23] | Describe aspectos correctos en el análisis armónico, presentando una revisión de las técnicas de propagación armónica en sistemas de potencia definiendo que existen métodos para modelar fuentes de armónicos [23]. |
| [24] | Tecnologías de inteligencia artificial para la estimación de armónicos en las redes de distribución, por la gran importancia de estimar y predecir los niveles de armónicos [24]. |
| [25] | Describen un método para modelar redes aguas abajo de media y baja tensión para estudios de armónicos en la red de alta tensión, a través de un método de agrupamiento [25]. |
1.2 Marco teórico
1.2.1 Sistema de distribución de energía eléctrica
Es parte esencial del sistema eléctrico de potencia cuya función principal es distribuir la energía eléctrica desde una subestación hasta el usuario final [26].
1.2.2 Análisis de armónicos en instalaciones industriales
Un estudio armónico tiene como objetivo la cuantificación de la deformación en la forma de onda en una serie de puntos relevantes en el sistema de potencia. Varias técnicas de análisis de armónicos están disponibles para estudiar su generación y propagación [23]. Algunas técnicas que se utilizan actualmente para analizar los armónicos en un sistema eléctrico son: la exploración de frecuencia útil en condiciones de resonancia y la simulación de tiempo alcanzando un estado estable que presenta falta de restricciones de flujo de carga [27].
1.2.3 Armónico
Un armónico es una componente en frecuencia de la corriente y/o tensión múltiplo entero de la frecuencia fundamental (normalmente 60 Hz para el continente americano) [28]. Este se origina debido a la absorción de corriente en cargas no lineales mediante impulsos bruscos [29],[30].
1.2.4 Distorsión Armónica Total (THD)
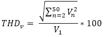
Es un parámetro que describe la suma de la potencia de armónicos respecto al fundamental [31], y cuantifica de manera numérica los armónicos existentes en un determinado punto de cualquier red eléctrica. Este se calcula con (1):
(1)1.2.5 Distorsión Armónica Total en voltaje
La evaluación armónica de tensión se realiza mediante la distorsión total armónica, teniendo en cuenta (2)para así calcular THDV [32].
(2)
Si THDV ≤ 5 %, el sistema tiene un buen funcionamiento.
Si 5% < THDV ≤ 8 %, el sistema presenta una contaminación significativa.
Si THDV > 8 %, el sistema tiene un pésimo funcionamiento [32].
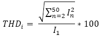
1.2.6 Distorsión Armónica Total en corriente
La evaluación armónica de corriente se realiza mediante la distorsión total armónica, teniendo en cuenta (3)para así calcular THDi [32].
(3)
Si THDi ≤ 10 %, el sistema tiene un buen funcionamiento.
Si 10 % < THDi ≤ 50 %, el sistema presenta una contaminación significativa.
Si THDi > 50 %, el sistema tiene un pésimo funcionamiento [32].
Es importante aclarar que en (1), (2) y (3)se considera hasta el armónico 50, pues esta es la capacidad de medición de la mayoría de los equipos de costo bajo/medio en el mercado.
2 ASPECTOS METODOLÓGICOS
El proyecto se estructuró en tres fases, las cuales se desarrollan a continuación.
2.1 Fase I: Propuesta de caso de estudio tomando como modelo de pruebas el sistema IEEE 34 nodos
El sistema de distribución IEEE 34 nodos es el modelo de pruebas a partir del cual se propone un caso de estudio. Lo anterior, considerando que, este sistema fue diseñado para evaluar y comparar algoritmos en la resolución de sistemas radiales trifásicos desequilibrados, representando un modelo de orden reducido de un circuito de distribución real [33]. Por lo tanto, primero se definen las características del modelo de pruebas describiendo el número establecido de cargas trifásicas tanto spot como distribuidas, entre otros componentes. Cabe resaltar que, aunque el sistema original es desequilibrado, a nivel de media tensión la mayoría de los sistemas son balanceados, por lo que en el presente trabajo se asumen todas las cargas como trifásicas balanceadas.
2.1.1 Propuesta de caso de estudio red de distribución IEEE 34 Nodos
El modelo de pruebas IEEE 34 nodos mostrado en la Figura 1 es una red de distribución con tensión nominal de 24.9 kV [34]. Es desequilibrado con cargas spot (aquellas ubicadas como tal en un nodo del sistema) y cargas distribuidas (aquellas que se ubican como derivaciones a lo largo de un conductor de media tensión). No obstante, y tal como se mencionó anteriormente, para esta evaluación se tiene un sistema trifásico equilibrado, pues a nivel de media tensión los sistemas de distribución suelen estar balanceados. De esta manera, los valores que no se cambian del modelo de prueba original son: La tensión nominal de 24.9 kV, la tensión base de 69 kV, y la potencia trifásica de cortocircuito de la red de 200 kW. Los componentes del sistema de distribución que se vuelven trifásicos equilibrados son:
El transformador de subestación reductor de alto voltaje de 69 kV a 24.9 kV conectado del nodo fuente en delta al nodo 800 en estrella.
El transformador de carga Y-Y en línea reductor de voltaje a 4.16 kV para una corta sección del alimentador conectado del nodo 832 en estrella al nodo 888 en estrella.
Las 72 líneas tanto las normales como las del centro de segmento de línea.
Los dos reguladores de línea.
Las 6 cargas tipo spot y las 17 cargas distribuidas conectadas en estrella dejando el mismo voltaje, potencia activa y reactiva.
En esta evaluación se estudiarán usuarios con curvas de carga típicas para consumidores industriales. Estas curvas son variaciones de la demanda de potencia en el tiempo, y su relevancia radica en que permite visualizar el consumo de potencia por hora en un horizonte diario de 24 horas.
Por esta razón, tanto las 6 cargas spot como las 17 cargas distribuidas tienen curvas de carga de tipo industrial. Otro aspecto relevante de las cargas es que el sistema IEEE 34 nodos maneja tres tipologías para los consumidores en función de la dependencia que tiene su demanda de potencia de la variación de tensión: Potencia Constante, Impedancia Constante y Corriente constante. Según [32], los usuarios de tipo industrial se pueden modelar como cargas de Potencia Constante, razón por la cual así se establecen en el presente trabajo (es decir, que la demanda de potencia no varía en función de la variación del voltaje). El último aspecto importante dentro del presente estudio es el espectro armónico de las cargas, definiendo para toda una configuración típica industrial: conexión en estrella con 15 % de carga armónica de tipo fluorescente, 20 % de tipo variador de frecuencia y 15 % de otros tipos. Esta configuración de espectro armónico se define como PQY3 (PQ: Potencia constante, Y: carga en estrella y 3: trifásica) y se carga como un archivo .csv en el simulador OpenDSS. Este espectro se muestra en la Tabla 3.
| Espectro PQY3 | Orden (Armónico) | ||||||||||
| 1 | 3 | 4 | 5 | 6 | 7 | 8 | 9 | 11 | 13 | 15 | |
| Magnitud | 100 | 11.38 | 1.43 | 2.33 | 1.25 | 1.69 | 0.08 | 1.07 | 0.81 | 0.59 | 0.48 |
| Fase | -23.57 | -15.09 | 12.6 | 79.59 | -42.6 | -30.73 | -67.8 | 84.65 | -6.15 | -76.06 | 5.76 |
Por último, se quitan los dos condensadores de derivación que tiene el sistema originalmente, con el fin de visualizar los efectos bajo estudio.
2.1.2 Configuración del caso de estudio red de distribución IEEE 34 nodos
Se procede a construir la configuración en el simulador a manera de líneas de código implementando todos sus componentes y medidores necesarios. Para definir y almacenar la configuración de cada una de las líneas correspondientes se utiliza el comando “linecode” [35], tal como se muestra en el algoritmo 1 con la línea trifásica 301, donde se establecen matrices de resistencia, reactancia y capacitancia tomando como unidad de longitud los kilos pies (kft).
Algoritmo 1
New linecode.301 nphases=3 basefreq=60 units=kft
| ~ rmatrix = [0.365530303 | | | 0.04407197 | 0.36282197 | | | 0.04467803 | 0.043333333 | 0.363996212] |
| ~ xmatrix = [0.267329545 | | | 0.122007576 | 0.270473485 | | | 0.107784091 | 0.099204545 | 0.269109848] |
| ~ cmatrix = [2.572492163 | | | -0.72160598 | 2.464381882 | | | -0.472329395 | -0.298961096 | 2.368881119] |
Líneas de distribución
Se modelan utilizando el comando “line” emulando elementos de carga determinados con impedancias, en los cuales se especifica entre qué nodos se conecta la línea y su longitud [35], como se muestra en el algoritmo 2. Allí se evidencia que los parámetros eléctricos son los del tipo de línea 301 definida en el algoritmo 1:
Algoritmo 2
New Line.L24 Phases=3 Bus1=850.1.2.3 Bus2=816.1.2.3 LineCode=301 Length=0.31
Transformadores
Se modelan como elementos de conversión energética trifásicos con dos bobinas conectadas en configuración delta-estrella desde la subestación hasta el nodo 800 [36], utilizando el algoritmo 3:
Algoritmo 3
New Transformer.SubXF Phases=3 Windings=2 Xhl=0.001 ppm=0
~ wdg=1 bus=sourcebus conn=Delta kV=69 kVA=25000 %r=0.0005
~ wdg=2 bus=800 conn=wye kV=24.9 kVA=25000 %r=0.0005
Cargas
Para este caso, el comportamiento de las cargas se basa en el modelo 1 de potencia activa y reactiva constantes (PQ) [35]. En este punto, es necesario establecer la curva de carga, definiendo la demanda diaria (por hora en un día completo), teniendo en cuenta el patrón de comportamiento industrial típico en el ámbito colombiano que se muestra en la Figura 2; para esto se utiliza el algoritmo 4, en donde también se define el espectro armónico tipo PQY3 explicado anteriormente:
Algoritmo 4
New Load.S860 Bus1=B860.1.2.3 Phases=3 Conn=Wye Model=1 kV= 24.900 kW=60.0 kVAR=48.0 spectrum=PQY3
New Load.D802_806 Bus1=midB806.1.2.3 Phases=3 Conn=Wye Model=1 kV= 14.376 kW= 90 kVAR= 45 spectrum=PQY3
Reguladores
Estos se modelan como transformadores monofásicos con control de cada una de sus bobinas [35]. En la construcción de este caso de estudio red de distribución IEEE 34 nodos, los dos reguladores se implementan en el simulador con tres fases independientes, tal como se muestra en el algoritmo 5:
Algoritmo 5
New transformer.reg1a phases=1 windings=2 buses=(814.1 814r.1) conns= 'wye' kvs="14.376 14.376" kvas="2000 2000" XHL=.01 wdg=1 %r=.0001 wdg=2 %r=.0001 ppm=0
New regcontrol.creg1a transformer =reg1a winding=2 vreg=122 band=2 ptratio =120 ctprim=100 R=2.7 X=1.6
Elementos de medición
A fin de obtener las mediciones de perfil diario de potencia y voltaje, se implementan elementos de medición llamados monitores, los cuales se conectan al terminal seleccionado de cualquier elemento especifico de la red, con el fin de almacenar datos de voltaje, corriente y potencia [35]. Para su configuración en este caso se selecciona el modo de operación del medidor de la siguiente manera:
Algoritmo 6
New monitor.Line1_power element=Line.L1 terminal=1 ppolar=no mode=1
New monitor.Line1_voltage element=Line.L1 terminal=1 mode=0
New monitor.Line1_current element=Line.L1 terminal=1 mode=0
En el algoritmo 6, se muestra el primer medidor que registra la potencia ya que se encuentra en modo 1, también el segundo medidor que mide la tensión pues está en modo 0, y el tercer medidor que mide corriente debido a que también se establece en modo 0; ambos conectados y midiendo la línea 1 para obtener mediciones de todo el sistema. Para esto se utiliza el comando “mode” que define los parámetros de los valores a registrar.
Cabe destacar que, en el caso de estudio modelado es necesario medir los valores de voltaje y potencia en un perfil diario de cada carga tanto distribuida como spot. Por tanto, se coloca un monitor siguiendo la codificación que se implementa en el algoritmo 6 en cada línea donde se conecta directamente la carga.
Simulación de perfil diario de potencia y voltaje en caso base
Para simular el modelado del caso de estudio de la red de distribución IEEE 34 nodos en el simulador OpenDSS, es necesario tener en cuenta los modos de solución. Antes de seleccionar el modo de solución, se ejecuta la línea de comandos “Set VoltageBases” para definir los voltajes base de la red, y la línea de comandos “CalcVoltageBases” que genera una lista de buses con el cálculo de sus voltajes base [35].
Posteriormente, para la ejecución de la simulación se ejecutan los siguientes comandos que resuelven el caso de estudio red de distribución IEEE 34 nodos:
Algoritmo 7
Set mode=daily
Set number=24
Set stepsize=1h
Solve
De acuerdo con el algoritmo 7, el comando “set mode” ejecuta una o varias soluciones asociadas a la red activa y que se puede consultar. Para este caso específico, “mode” establece el modo de solución para el circuito activo, que se elige de tipo diario para que realice una serie de soluciones siguiendo la curva de carga diaria industrial.
Posteriormente, con el comando “set number" se fija el número de soluciones que se desea ejecutar, estableciendo en este caso un valor de 24, ya que un día tiene 24 horas y se desea observar el perfil de voltaje y potencia en cada hora. También se coloca un tamaño del paso de 1 hora con el comando “stepsize”. De esta manera, los monitores se restablecen al comienzo de la solución [37].
Por último, se tiene el comando “solve” con el cual se ejecuta la solución en el modo especificado previamente. Así se tiene un modo de solución diario capaz de calcular el perfil diario de potencia y voltaje de cada monitor.
2.2 Fase II: Modelado de fuentes de contaminación armónica, bancos de condensadores y reactancias de rechazo mediante el software OpenDSS
Luego de simular el perfil diario de potencia y voltaje del caso base, se procede a verificar cuáles cargas tienen un factor de potencia por debajo de 0.9, a través del análisis de cada hora durante un día completo.
En esta metodología, se toma en cuenta la carga trifásica balanceada de tipo spot conectada al nodo 860 en estrella (S860), cuya tensión nominal es 24.9 kV, potencia activa de 60 kW y potencia reactiva de 48 kVAr con un espectro armónico de potencia constante. Esto con el fin de obtener mediciones de perfil diario de potencia específicamente en esta carga para posteriormente calcular el factor de potencia.
Las mediciones de potencia y voltaje de línea de cada hora tomadas con el monitor se presentan en tres fases, de modo que es una carga trifásica. No obstante, esta carga es balanceada por lo que las mediciones son iguales en las tres fases, por lo cual, se elige solo una fase para realizar la verificación y esta se muestra en la Tabla 4.
| Hora | P (kW) | Q (kVAr) | (kV) |
| 1 | 6.03117 | 4.55161 | 14.834 |
| 2 | 5.03135 | 3.75091 | 14.840 |
| 3 | 4.03187 | 2.94765 | 14.950 |
| 4 | 4.03185 | 2.94764 | 14.950 |
| 5 | 4.03185 | 2.94764 | 14.950 |
| 6 | 5.03105 | 3.75156 | 14.842 |
| 7 | 6.03131 | 4.55197 | 14.827 |
| 8 | 8.03156 | 6.1538 | 14.790 |
| 9 | 14.0313 | 10.9516 | 14.867 |
| 10 | 18.0291 | 14.154 | 14.838 |
| 11 | 18.0291 | 14.154 | 14.838 |
| 12 | 17.0303 | 13.3488 | 14.980 |
| 13 | 15.0324 | 11.7489 | 14.960 |
| 14 | 15.0321 | 11.7486 | 14.960 |
| 15 | 18.0291 | 14.154 | 14.838 |
| 16 | 20.0289 | 15.7572 | 14.812 |
| 17 | 20.0274 | 15.7561 | 14.812 |
| 18 | 15.0315 | 11.7482 | 14.960 |
| 19 | 10.0319 | 7.74769 | 14.969 |
| 20 | 8.0319 | 6.14642 | 15.001 |
| 21 | 7.03178 | 5.34615 | 15.012 |
| 22 | 7.0316 | 5.34602 | 15.012 |
| 23 | 6.03136 | 4.54821 | 14.931 |
| 24 | 6.03166 | 4.54845 | 14.931 |
Por consiguiente, se calcula el factor de potencia para cada hora en un periodo de 24 horas del día, con el fin de verificar si esta carga presenta un factor de potencia por debajo de 0.9. Para ello se tiene en cuenta que:
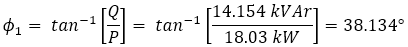
Donde no hay presencia de armónicos, se dice que el factor de potencia es igual a coseno de phi [39], tal como se muestra en (4)
(4)También es posible definir que la potencia aparente (S) es igual a (5)
(5)Por lo tanto (6),
(6)En este caso, para ejemplificar el cálculo se muestra la obtención del factor de potencia de la carga S860 en la hora específica 15.
Primero es necesario encontrar el valor de ϕ1. En la hora bajo análisis se tiene una potencia activa (P) de 18.03 kW, potencia reactiva (Q) de 14.154 kVAr, y un voltaje de línea (VL) de 14.84, por lo que (7)
(7)Posteriormente se calcula el factor de potencia de la carga (𝐹𝑃1), con el fin de verificar si es necesario realizar una corrección o no [40], para ello se utiliza (8)
(8)De esta manera, el factor de potencia 𝐹𝑃1 calculado es menor a 0.9, lo que quiere decir, que requiere corrección de factor de potencia. Por lo tanto, se tiene que obtener un valor de 𝜙2 partiendo del factor de potencia 𝐹𝑃2 que se desea obtener según el estándar de la resolución CREG 015 de 2018 donde 𝐹𝑃 ≥ 0.9 [41]. Con base en lo anterior, se vuelve a utilizar (9)de la siguiente manera:
(9)Posteriormente, al haber obtenido los valores de 𝜙1 y 𝜙2, es posible calcular la potencia reactiva del banco de condensadores 𝑄𝐵𝐴𝑁𝐶𝑂 que se implementará en paralelo con la carga para corregir factor de potencia [6], utilizando (10)
(10)Con el valor de potencia reactiva del banco de condensadores 𝑄𝐵𝐴𝑁𝐶𝑂 para una fase, es necesario multiplicar por 3 para calcular el valor de capacitancia del capacitor trifásico que se conectará a la carga para corregir su factor de potencia [42], teniendo en cuenta (11)
(11)En síntesis, el condensador de 297 𝜇F es necesario para corregir el factor de potencia en la carga S860 a la hora 15. Posteriormente, este mismo proceso se realiza para cada hora en una duración de 24 horas del día.
Acto seguido se integra el banco de condensadores al caso de estudio simulado [6]. El modelo de condensador se implementa en derivación ya que un terminal se conecta a un nodo y el otro no se especifica, lo que quiere decir que se toma por defecto como referencia a tierra. Teniendo en cuenta el anterior cálculo de la capacitancia trifásica para corregir el factor de potencia bajo en la carga S860 a la hora 15, es necesario implementar este banco en la simulación. Para ello se tiene un banco de condensadores de 24.684 kVAr en el algoritmo 8:
Algoritmo 8
New Capacitor.CS860 Bus1=B860 Phases=3 kVAR=24.684 kV=14.838
En este, se describe un banco de condensadores trifásico de 297 𝜇F conectado en el nodo 860 a un nivel de tensión de 14.838 kV. Cabe resaltar que se implementa el modelo del condensador para todas las demás horas y cargas de la misma manera, siguiendo el algoritmo 8.
Seguidamente, con el fin de observar el efecto de amplificación armónica en el sistema, se modelan las fuentes de contaminación armónica y su integración a la red de distribución en OpenDSS. En el caso de estudio de la red de distribución IEEE 34 nodos, primero se define un vector de espectro armónico de tipo 6 pulsos para que el generador emule un inversor, utilizando el comando “spectrum”. Este es un arreglo que se establece en un archivo de extensión csv, donde se tienen parámetros de armónicos, numero de armónicos, magnitud y ángulo. Luego se hace el llamado desde el espacio de trabajo de OpenDSS. En la Tabla 5 está el vector del espectro armónico empleado para el inversor que se utiliza como fuente de armónicos:
| Espectro Fuente 6 pulsos | Orden (Armónico) | ||||||||||
| 1 | 3 | 4 | 5 | 6 | 7 | 8 | 9 | 11 | 13 | 15 | |
| Magnitud | 100 | 0.00 | 0.00 | 19.18 | 0.00 | 13.07 | 0.00 | 0.00 | 7.19 | 5.50 | 0.00 |
| Fase | 36.7 | 0.00 | 0.00 | 184.35 | 0.00 | 258.09 | 0.00 | 0.00 | 45.57 | 119.31 | 0.00 |
Luego se implementa el generador con el comando “Generator”, especificando su modo de operación con la instrucción “model” [43]; donde se utiliza modelo 7 con P y Q constantes, el cual se aproxima a un inversor simple y P sigue el patrón dado por “spectrum”. El algoritmo 9 muestra el modelado del generador inversor de 6 pulsos conectado en paralelo a la carga en el nodo 860 en la hora 15 del caso de estudio de la red de distribución IEEE 34 nodos.
Algoritmo 9
New Generator.GS1 Bus1=B860.1.2.3 kV=14.838 kW=37.856 PF=1 phases=3 model=7 enabled=yes spectrum=6PULSOS
Teniendo en cuenta este algoritmo, al generador se le asigna el mismo nivel de tensión que tiene la carga en la hora correspondiente (tensión de 14.838 kV para la hora 15). Además, se le coloca una potencia activa de 37.856 kW, cuyo valor es el 70 % de la potencia activa de la carga con el fin de evidenciar una contaminación armónica alta.
Luego de integrar corrección de factor de potencia y fuentes de armónicos, se diseñan las reactancias de rechazo para cada banco de condensadores que esté conectado en paralelo a cada carga que requiera corrección de factor de potencia en el caso de estudio formulado [44].
Para el diseño de banco de condensadores con filtros de rechazo, se tiene en cuenta los valores calculados previamente para la corrección de factor de potencia. En este caso para ejemplificar el cálculo se muestra el diseño de filtros de rechazo en la hora específica 15, teniendo en cuenta los valores que se muestran en el perfil diario de la carga S860 en la Tabla 4. Así mismo, también se debe tener en cuenta la potencia reactiva 𝑄𝐵𝐴𝑁𝐶𝑂 calculada previamente.
Por consiguiente, primero se debe simular el caso de estudio de la red de distribución 34 nodos, pero no en el modo de solución diario que se muestra en el algoritmo 7, sino en un modo de solución de armónicos. Este modo debe estar precedido por una solución exitosa de flujo de potencia para que las máquinas y las fuentes de armónicos puedan inicializarse.
De la misma manera, las cargas se convierten en fuentes de corriente armónica y se inicializan en función de la solución de flujo de potencia con base en el objeto “Spectrum” asociado con cada carga. Adicionalmente, los generadores se convierten en una fuente de voltaje detrás de la reactancia subtransitoria con un espectro de voltaje específico [43].
Este modo de solución se ejecuta con el fin de conocer cuál es el armónico preponderante después del armónico fundamental de 60 Hz de cada carga, con el propósito de establecer a que frecuencia de sintonía (𝑓𝑠𝑖𝑛𝑡) se debe diseñar el filtro de rechazo. Para ejemplificar este proceso se simula el perfil de armónicos de voltaje en la carga S860. Por lo tanto, es posible graficar el espectro armónico para observar el armónico preponderante en la carga S860.
En la Figura 3 se muestra el gráfico de espectro armónico donde se evidencia que el armónico preponderante es el tercero, ya que cuenta con la mayor magnitud de tensión, después de la fundamental. Por tanto, la frecuencia de sintonía a la que se debe diseñar el filtro debe ser cercana al tercer armónico (es recomendable que sea antes del armónico preponderante para que, en efecto, contemple este componente de frecuencia en el rechazo).
Con base en lo anterior y, considerando lo recomendado por los diferentes fabricantes de condensadores, es necesario escoger el factor de sobretensión (%P). Este parámetro permite caracterizar la frecuencia de sintonía del filtro en función del armónico preponderante y la frecuencia fundamental del sistema. Es así como, en la Tabla 6 se muestran los factores %P más comunes a nivel industrial, donde cada uno corresponde a una frecuencia de sintonía en función de la frecuencia de red [45]. Habiendo escogido el factor de sobretensión (conociendo el armónico preponderante) se procede a calcular la frecuencia de sintonía con (12)
| Factor de sobretensión (%P) | |
| 3 armónico | 5 armónico |
| 14 % | 7 % |
(12)Por ejemplo, para la carga S860 bajo análisis (con el tercer armónico como preponderante), se tendría un %P del 14 %, que daría en (12)una 𝑓𝑠𝑖𝑛𝑡𝑜𝑛𝑖𝑎 de 160 Hz para una fundamental de 60Hz. Este valor representa algo común en los filtros de rechazo y es la selección de frecuencias de sintonía menores a la del armónico preponderante y así, garantizar que cualquier frecuencia mayor o igual al armónico preponderante es rechazada.
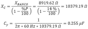
Luego se calcula la impedancia del banco de condensadores (𝑋𝐵𝐴𝑁𝐶𝑂) con (13)teniendo en cuenta los valores previamente calculados en la corrección de factor de potencia de la carga en la hora 15, y que la potencia reactiva del banco 𝑄𝐵𝐴𝑁𝐶𝑂 se debe multiplicar por 3 para que el diseño del filtro sea en base trifásica. Por lo anterior:
(13)Ahora, se calcula la capacidad del condensador utilizando (14)pero considerando que habrá una sobretensión en el mismo debido al filtro. Con esto, se sabe que [45]:
(14)Acto seguido, utilizando (15)se calcula la impedancia de la reactancia en Ohmios y con (16)el valor de la inductancia en Henrios.
(15)
(16)Posteriormente, se calcula la corriente del banco de condensadores en Amperios, utilizando (17)
(17)Con la corriente conocida, se calcula el voltaje de la reactancia con (18)[45].
(18)Mediante (19)se determina el nuevo voltaje en el condensador, el cual se verá sometido a una sobretensión de manera permanente debido a su conexión con la bobina [45].
(19)Este es un parámetro de diseño importante pues el voltaje de los condensadores a emplear debe considerar esta sobretensión.
Teniendo en cuenta los valores calculados, es posible determinar la nueva potencia reactiva del condensador con (20)
(20)Finalmente, se puede comprobar que los valores calculados son correctos para la frecuencia de sintonía del filtro [45]. Por lo tanto, con (21)se tiene:
(21)Así, se obtiene la misma frecuencia de sintonía de la cual se parte cuando se selecciona el factor de sobretensión %P al inicio del diseño. Este procedimiento se repite para todas las cargas en donde se ubican las reactancias de rechazo. Por otro lado, en estos filtros se tienen valores de resistencia bajos o despreciables respecto a las reactancias (debido principalmente a los conductores de las bobinas), lo que permite factores de calidad altos (entre 20 y 50).
Posteriormente, para implementar los filtros de rechazo en OpenDSS, se debe tener en cuenta la propiedad “XL” del comando “capacitor” que se muestra en el algoritmo 8 [43].
Mediante esta instrucción se tiene un banco de condensadores y a este se le añade en la misma línea de código el valor de impedancia de la reactancia, dependiendo del valor de inductancia que se quiera colocar en serie. De esta manera, el modelo de filtros de rechazo queda como se muestra en el algoritmo 10:
Algoritmo 10
New Capacitor.CS860 Bus1=B860 Phases=3 kVAR=24.684 kV=14.838 XL=1459.57
Este pseudocódigo describe un filtro de rechazo conectado al nodo 860, en paralelo a la carga. En este se considera un capacitor de 297 𝜇F y una inductancia de 3.8716 H (cuya reactancia es de 1459.57 Ω).
2.3 Fase III: Validación del impacto que tiene el uso de filtros pasivos para la gestión de armónicos en cada escenario del caso de estudio propuesto
Para la validación del impacto que tiene el uso de filtros pasivos previamente calculados para la gestión de armónicos, es necesario el cálculo del Índice de Distorsión Armónica Total (ITHD), realizando un algoritmo basado en (1)a (3)y utilizando el software MATLAB. De esta manera, se toma la propuesta de [32] y se utiliza el Índice de Distorsión Armónica Total de voltaje (ITHDV) y el Índice de Distorsión Armónica Total de corriente (ITHDi).
Por otra parte, se propone la siguiente estructura del caso de estudio, cuyo desarrollo se realiza mediante simulaciones:
Caso base: Es la red de distribución IEEE 34 nodos con los ajustes expuestos en secciones anteriores en cuanto al balance de fases.
Escenario 1: Caso base con bancos de condensadores para corrección de factor de potencia.
Escenario 2: Inclusión de fuentes de armónicos en el caso base y bancos de condensadores.
Escenario 3: Caso base con inclusión de fuentes de armónicos, pero sin condensadores para corrección de factor de potencia.
Escenario 4: Caso base con inclusión de fuentes de armónicos y filtros de rechazo.
3. RESULTADOS Y DISCUSIÓN
Con base en la estructura propuesta del caso de estudio, a continuación, se procede a comparar los Índices de Distorsión Armónica Total para cada escenario y el caso base.
En la figura 4 se tiene el ITHD. para el caso base (a), el escenario 1 (b), el escenario 2 (c), el escenario 3 (d) y el escenario 4 (e).
Con base en esto, se realiza un análisis evaluativo por cada hora empezando desde la hora 1 hasta la hora 24. Para ello, es necesario tomar los valores de potencia y voltaje de cada hora, tal como se evidenció para el proceso de la hora 15 en los cálculos realizados en secciones anteriores.
Basado en esto, obtienen los gráficos del comportamiento de los índices de distorsión armónica total tanto en voltaje como en corriente para cada hora. Sin embargo, es importante aclarar que, para este estudio, la hora 15 es la escogida para ilustrar los resultados, pues el comportamiento de esta hora es idéntico para el 91 % del día (en términos de distorsión armónica), de acuerdo con las simulaciones desarrolladas.
En la Figura 4 se evidencia que, para el caso base, el valor promedio de ITHD. es de 2.3 % para la fase 1 y del 1.8 % para la fase 2 y 3 de las respectivas líneas trifásicas (en este caso es importante aclarar que, el espectro armónico de las cargas no se considera balanceado, razón por la cual se evidencia diferencia entre las fases). Al momento de incluir bancos de condensadores, se obtiene un aumento del ITHD. en un 0.5 % para la fase 1 y del 0.4 % para la fase 2 y 3 respecto al caso base. De la misma manera, se observa un aumento del 1.6 % en el ITHD. en las tres fases, con respecto al escenario 1, y un aumento del 2.05 % en el ITHD. con respecto al caso base en el escenario 2. Por otra parte, al mantener la fuente de armónicos, pero quitando los condensadores, se evidencia una disminución del 1.8 % en el ITHD. en las tres fases con respecto al escenario 2, y un aumento del 0.311 % en el ITHD. con respecto al caso base.

Es así como estos escenarios permiten evidenciar el efecto amplificador de los condensadores en sistemas con alta contaminación armónica. Por último, al mantener todas las tecnologías e incluir los filtros de rechazo, se observa una disminución del 0.39 % en el ITHD. en las tres fases, con respecto al escenario 3, y una disminución del 0.08 % en el ITHD. con respecto al caso base.
De la misma manera, en la Figura 5 se tiene el gráfico de ITHD. para el caso base y los cuatro escenarios de simulación propuestos en la hora bajo estudio.

Allí se evidencia que, el valor promedio de armónicos de corriente es del 39 % para las tres fases en el caso base. Por otro lado, al incluir bancos de condensadores (en el escenario 1) se tiene un aumento del 5 % en el ITHD. respecto al caso base. Al colocar fuentes armónicas y manteniendo los condensadores (escenario 2), se presenta un caso crítico en la amplificación de armónicos de corriente, pues se evidencia un aumento del 76 % en el ITHD. de las tres fases con respecto al escenario 1, y un aumento del 81 % en el ITHD. con respecto al caso base. Continuando con el análisis, si se remueven los bancos de condensadores y se mantienen las fuentes de armónicos (escenario 3), se observa una disminución del 38 % en el ITHD. en las tres fases, con respecto al escenario 2, y un aumento del 43 % en el ITHD. con respecto al caso base. Finalmente, al añadir las reactancias de rechazo en el escenario 4, se presenta una disminución del 6 % en el ITHD. en las tres fases, con respecto al escenario 3, y un aumento del 37 % con respecto al caso base, cuyos datos resumidos se muestran en la Tabla 7.
| Caso | ITHDv [%] | ITHDi [%] |
| Base | - | - |
| Escenario 1 | +0.5 % | +5 % |
| Escenario 2 | +2.05 % | +81 % |
| Escenario 3 | +0.311 % | +43 % |
| Escenario 4 | -0.08 % | +37 % |
4. CONCLUSIONES
El caso de estudio de la red de distribución IEEE 34 nodos en caso base para cada hora, presenta una contaminación armónica en corriente que supera los límites establecidos por el estándar IEEE 519, pues el THD es del 39 %. Sin embargo, la distorsión armónica en tensión sí está dentro de los límites al ser del 2.3 %.
Aunque la corrección de factor de potencia es necesaria en los usuarios finales, se evidencia que el uso de bancos de condensadores en presencia de contaminación armónica representa una amplificación de esta distorsión, llegando a provocar aumentos de hasta un 2.05 % en el THD de tensión y del 43 % en el THD de corriente para el caso de estudio propuesto.
Con la aplicación de los filtros pasivos de reactancias de rechazo, se observa un efecto de disminución armónica en el escenario 4. Por ejemplo, El ITHD. se redujo a un valor de 2.21 %, representando un mejor desempeño que el caso base, según el estándar IEEE 519 (aún con las fuentes de armónicos de 6 pulsos). Sin embargo, se logra evidenciar que el uso de estos filtros pasivos puede ser insuficiente ante la presencia de contaminación armónica de corriente elevada. De esta manera, se establece que, si la contaminación armónica en corriente supera los límites establecidos por el estándar IEEE 519, se complemente el uso de las reactancias de rechazo con filtros activos y así, lograr la supresión efectiva de armónicos. De lo contrario, la utilidad de los filtros pasivos podría limitarse a evitar la amplificación de armónicos debido a la presencia de condensadores o, en su defecto, evitar una mayor proporción de dicha amplificación (nótese que, al emplear únicamente condensadores, se tuvo un aumento del 43 % en el ITHD., mientras que el emplear la reactancia de rechazo, se limitó el aumento al 37 %).
Agradecimientos
Se agradece a la Universidad Santo Tomás, sede Bogotá por el apoyo y financiación de este trabajo mediante las diferentes convocatorias destinadas al fomento de la investigación y producción de alto impacto.
REFERENCIAS
[1] J. Izquierdo Franco, “Estudio de flujos de potencia y análisis de fallas en sistemas eléctricos de distribución radial,” Tesis Maestría, Universidad Autónoma de Nuevo León, Monterrey, México, 2002. Available: https://cd.dgb.uanl.mx/handle/201504211/4119
[2] G. L. Ferro, “Circuitos de corriente alterna,” en Electrotecnia (para la Carrera Ingeniería Mecánica), Argentina, 2016, pp. 1-23. http://www3.fi.mdp.edu.ar/dtoelectrica/files/electrotecnia/e_im_4_cicuitos_de_corriente_alterna.pdf
[3] E. A. Rosero Rosero, “Corrección del factor de potencia en micro-redes eléctricas ante el peligro de resonancia por alta penetración de cargas no lineales,” Tesis de Licenciatura, Facul. Ing. Elect., Universidad Politécnica Salesiana, Ecuador, 2020. https://dspace.ups.edu.ec/bitstream/123456789/19390/1/UPS%20-%20TTS201.pdf
[4] J. M. M. Ortega, “Optimizacion de filtros positivos para la compensacion de reactiva y mitigacion de armonicos en instalaciones industriales,” Ph.D. dissertation, Universidad de Sevilla, España, Available: 2001. https://dialnet.unirioja.es/servlet/tesis?codigo=263539
[5] A. Insuasty, “La penalización por reactivos según la CREG 015-2018: Un tema para no descuidar y mantener los costos de energía bajo control,” ISAGEN Energía Productiva, Tercera Entrega, 2019. Available: https://isagen.com.co/documents/20123/34950/boletin-junio-2019.pdf/7353c982-fd59-e54b-c720-1ab7e0a9bc82?t=1578584865051
[6] Asea Brown Boveri, S.A., “Corrección del factor de potencia y filtrado de armónicos en las instalaciones eléctricas,” in Cuaderno de aplicaciones técnicas nº 8, Barcelona, 2010, pp. 1-56. https://library.e.abb.com/public/897462d590876b5fc125791a003bd1e0/1TXA007107G0701_CT8.pdf
[7] M.A. Mora Barajas, and P. Bañuelos-Sánchez, “Contaminación armónica producida por cargas no lineales de baja potencia: modelo matemático y casos prácticos” Ing. invest. y tecnol., v. 11, no. 2, pp. 189-198, Abr-Jun. 2010. https://www.scielo.org.mx/scielo.php?script=sci_arttext&pid=S1405-77432010000200006
[8] J. R. Aranda Mendoza, “Análisis descriptivo de la amortiguación y eliminación de armónicos en sistemas eléctricos de potencia,” Tesis, Facultad de Ingeniería Eléct y Electrónica, Universidad Nacional del Centro del Perú, Huancayo - Perú, 2015. https://repositorio.uncp.edu.pe/handle/20.500.12894/4545
[9] C. A. Ríos Reyes, R. A. Gallego Rendón, and M. A. Naranja. “Análisis De Armónicos En Sistemas Eléctricos,” Scientia et technica, vol. 1, no. 21, pp. 21-26, 2003. https://dialnet.unirioja.es/descarga/articulo/4847215.pdf
[10] E. E. Parra López, Análisis de armónicos en sistemas de distribución. in Colección Textos, Universidad Nacional de Colombia, Facultad de Ingeniería, 20041ª edición. Bogotá, Colombia: Univ. Nacional de Colombia, 2004. https://books.google.com.cu/books?id=O08UfHfOhwwC
[11] G. López Solar, “Medida de armónicos en ambientes industriales,” Técnica industrial, no. 258, pp.37-42, 2009. https://www.tecnicaindustrial.es/medida-de-armonicos-en-ambientes-industriales/
[12] J. Arrillaga Garmendia, and L. I. Eguıluz Morán, Armónicos en sistemas de potencia, Ed. Servicio de publicaciones de la Universidad de Cantabria, España, 1994. https://books.google.com.uy/books?id=OJC5W_I1qcIC&lpg=PP1&hl=es&pg=PP1#v=onepage&q&f=false
[13] D. Schwanz, M. Bollen, and A. Larsson, “A review of solutions for harmonic mitigation,” 2016 17th International Conference on Harmonics and Quality of Power (ICHQP), Belo Horizonte, Brazil, 2016, pp. 30-35. https://doi.org/10.1109/ICHQP.2016.7783422
[14] O. Cruz Hernández, “Mitigación de la distorsión armónica en redes eléctricas mediante filtrado híbrido activo-pasivo,” M.S. tesis, Facultad de Ingeniería Eléctrica, Universidad Michoacana de San Nicolás de Hidalgo, México, 2015. http://bibliotecavirtual.dgb.umich.mx:8083/xmlui/handle/DGB_UMICH/3505
[15] S. Dlamini, I. E. Davidson, and A. A. Adebiyi, “Design and Application of the Passive Filters for Improved Power Quality in Stand-alone PV Systems,” 2023 31st Southern African Universities Power Engineering Conference (SAUPEC), Johannesburg, South Africa, 2023, pp. 1-6. https://doi.org/10.1109/SAUPEC57889.2023.10057777
[16] D. F. Montoya Céspedes, “Mitigación del nivel de armónicos en un sistema eléctrico industrial mediante un filtro de armónico pasivo,” B.S. tesis, Escuela de Ingenierías, Universidad Pontificia Bolivariana, Medellín, Colombia, 2016. https://repository.upb.edu.co/bitstream/handle/20.500.11912/4291/Mitigaci%C3%B3n%20del%20nivel%20de%20arm%C3%B3nicos%20en%20un%20sistema%20el%C3%A9ctrico%20industrial%20mediante%20un%20filtro%20de%20arm%C3%B3nico%20pasivo.pdf?sequence=1&isAllowed=y
[17] M. Amini, A. Jalilian, and M. R. Pour Behbahani, “Fast network reconfiguration in harmonic polluted distribution network based on developed backward/forward sweep harmonic load flow,” Electric Power Syst. Res., vol. 168, pp. 295–304, 2019. https://doi.org/10.1016/j.epsr.2018.12.006
[18] S. Aldebawy, A. Draz, and A. El-Fergany, “Harmonics Mitigation Using Passive Filters in Distribution Networks Penetrated with Photovoltaic power,” 2022 23rd International Middle East Power Systems Conference (MEPCON), Cairo, Egypt, 2022, pp. 1-5. https://doi.org/10.1109/MEPCON55441.2022.10021757
[19] R. Brahmachary, A. Bhattacharya, and I. Ahmed, “Allocation of Active Power Filter in Distribution Network Considering Nonlinear Loads,” 2021 IEEE 2nd International Conference on Smart Technologies for Power, Energy and Control (STPEC), Bilaspur, Chhattisgarh, India, 2021, pp. 1-6. https://doi.org/10.1109/STPEC52385.2021.9718732
[20] O. P. Mahela, B. Khan, H. H. Alhelou, S. Tanwar, and S. Padmanaban, “Harmonic mitigation and power quality improvement in utility grid with solar energy penetration using distribution static compensator”, IET Power Electron., vol. 14, no. 5, pp. 912–922, Apr. 2021. https://doi.org/10.1049/pel2.12074
[21] Q. Wang, Z. Yang, X. Yin, H. Zhang, Y. Li, and L. Sun, “Optimal Allocation Method of SAPFs for Harmonic Loss Reduction in Distribution Networks Based on Multi-objective Particle Swarm Optimization,” 2021 International Conference on Power System Technology (POWERCON), Haikou, China, 2021, pp. 1769-1774. https://doi.org/10.1109/POWERCON53785.2021.9697777
[22] A. Kalair, N. Abas, A. R. Kalair, Z. Saleem, and N. Khan, “Review of harmonic analysis, modeling and mitigation techniques,” Renew. Sustain. Energy Rev., vol. 78, pp. 1152–1187, Oct. 2017. https://doi.org/10.1016/j.rser.2017.04.121
[23] A. Frobel, and R. Vick, “Chosen aspects for harmonic analysis in distribution networks,” in 22nd International Conference and Exhibition on Electricity Distribution (CIRED 2013), 2013. https://doi.org/10.1049/cp.2013.1148
[24] A. Taghvaie, T. Warnakulasuriya, D. Kumar, F. Zare, R. Sharma, and D. M. Vilathgamuwa, “A Comprehensive Review of Harmonic Issues and Estimation Techniques in Power System Networks Based on Traditional and Artificial Intelligence/Machine Learning,” in IEEE Access, vol. 11, pp. 31417-31442, 2023. https://doi.org/10.1109/ACCESS.2023.3260768
[25] G. Ye, J. Van Waes, V. Cuk, and J. F. G. Cobben, “Downstream Network Modeling With Generalized Distribution Networks for Harmonic Studies,” in IEEE Transactions on Power Delivery, vol. 35, no. 5, pp. 2495-2505, Oct. 2020. https://doi.org/10.1109/TPWRD.2020.2970228
[26] J. A. Yebra Morón. Sistemas eléctricos de distribución, 4ª ed., Barcelona, España: Reverté, 2021. https://www.reverte.com/libro/sistemas-electricos-de-distribucion_91677/
[27] IEEE. “Modeling and simulation of the propagation of harmonics in electric power networks. I. Concepts, models, and simulation techniques,” IEEE Transactions on Power Delivery, vol. 11, no. 1, pp. 452-465, Jan. 1996. https://doi.org/10.1109/61.484130
[28] K. J. O’Reilly, "Análisis de la distorsión armónica en cargas no lineales aisladas y combinadas en los rangos 0-2 kHz y 2-9 kHz", M.S. tesis, Escuela Técnica Superior de Ingenieros Industriales y de Telecomunicación, Universidad de Cantabria, Santander, España, 2020. https://repositorio.unican.es/xmlui/bitstream/handle/10902/20263/430101.pdf?sequence=1
[29] F. Acevedo Donoso, “Componentes armónicas en redes de distribución eléctricas: conceptos, norma vigente en chile y alternativas de solución al problema,” Revista Marina. vol. 1, pp. 2-3. https://www.revistamarina.cl/revistas/2001/5/Acevedo.pdf
[30] A. Fajarí Aspano, “Análisis de anomalías eléctricas en instalaciones con cargas no lineales,” B. S. thesis, Departamento de Ingeniería Eléctrica, Universidad Politécnica de Catalunya, Barcelona, España, 2017. https://upcommons.upc.edu/handle/2117/118097
[31] Academia Lab. “Distorsión armónica total”, Academia-lab.com. Accessed: May. 26, 2023. https://academia-lab.com/enciclopedia/distorsion-armonica-total/
[32] D. L. González Herrera, G. A. Luna Russi, and E. Rivas Trujillo, “Evaluación del impacto de la generación distribuida en redes de distribución basado en la normatividad colombiana y estándares IEEE,” Ingeniería, vol. 20, no. 2, pp. 289-305, 2015. https://www.redalyc.org/pdf/4988/498850181009.pdf
[33] J. C. Ramírez Acero, “Desarrollo de una aplicación en el software Open DSS orientada a la simulación de un sistema de distribución en diferentes escenarios de operación,” M.S. thesis, Departamento de Ingeniería Eléctrica, Universidad de La Salle, Bogotá D.C., Colombia, 2019. https://ciencia.lasalle.edu.co/cgi/viewcontent.cgi?article=1252&context=ing_electrica
[34] K. P. Schneider et al., “Analytic Considerations and Design Basis for the IEEE Distribution Test Feeders,”IEEE Transactions on Power Systems, no. 99, pp. 1-1, 2017. https://cmte.ieee.org/pes-testfeeders/resources/.
[35] C. D. Vera Silva, and A. R. Marulanda Guerra, “OPENDSS aplicado al modelamiento y simulación dinámica de microrredes,” Visión electrónica, vol. 12, no. 2, Jul. 2018. https://dialnet.unirioja.es/descarga/articulo/6747023.pdf
[36] R. Abu-Hashim et al., "Test systems for harmonics modeling and simulation," IEEE Transactions on Power Delivery, vol. 14, no. 2, pp. 579-587, Apr. 1999. https://doi.org/doi: 10.1109/61.754106
[37] A. Ovalle et al., OpenDSS Files EPRI Distribution System Simulator, (2008), Sourceforge, Accessed: May. 28, 2023. Available: https://sourceforge.net/projects/electricdss/files/OpenDSS/
[38] S. A. Ladino Serrano, “Evaluación de Filtros Pasivos como Alternativa para la Gestión de Armónicos en Redes de Distribución de Energía Eléctrica Industriales,” thesis, Facultad de Ingeniería Electrónica, Universidad Santo Tomás, Bogotá D.C., Colombia, 2023. https://repository.usta.edu.co/bitstream/handle/11634/52574/2023sebastianladino.pdf?sequence=1&isAllowed=y
[39] F. Fornieles, “Diferencia entre coseno de phi y factor de potencia,” Francesc Fornieles, Accessed: May. 27, 2023. https://fornieles.es/perturbaciones-electricas/diferencia-coseno-phi-y-factor-potencia/
[40] A. Ortega Hernández, “corrección del factor de potencia y eliminación de corrientes armónicas en sistemas de baja tensión,” M.S. thesis, Facultad de Ingeniería, Universidad Nacional Autónoma de México, 2017. https://ru.dgb.unam.mx/handle/20.500.14330/TES01000768203
[41] G. D. Fuentes, and F. Martínez González, “Análisis de calidad de potencia mediante sistema de adquisición de datos,” thesis, Departamento de Ingeniería Eléctrica y Electrónica, Universidad del Bío-Bío, Concepción, Chile, 2016. http://repobib.ubiobio.cl/jspui/bitstream/123456789/2251/1/Daroch_Fuentes_Gonzalo_Patricio.pdf
[42] Lifasa Reactive Power Solutions, “Corrección del factor de potencia”, International Capacitors, S.A., pp 1-11. Available: https://lifasa.com/pdf/CORRECCIÓN_FACTOR_POTENCIA.pdf
[43] I. Pérez Abril, “Calculation of the harmonics passive filters parameters,” IngenieríaEnergética, vol. 33, no. 2, pp.133-142, May. 2012 http://scielo.sld.cu/scielo.php?pid=S1815-59012012000200006&script=sci_arttext&tlng=en
[44] J. P. Claro Báez, “Modelado y simulación de Smart Grid con OpenDSS y Matlab,” M.S. thesis, Departamento de Ingeniería de Sistemas y Automática, Universidad de Sevilla, España, 2016. https://idus.us.es/handle/11441/52300
[45] F. Fornieles, “Batería de condensadores con FILTRO de RECHAZO. [Cálculo PASO a PASO],” Francesc Fornieles. Accessed: May. 26, 2023. https://fornieles.es/energia-reactiva/%E2%9A%A1-bateria-de-condensadores-con-filtro-de-rechazo-calculo-paso-a-paso/
Notas
De acuerdo con este artículo y sus resultados obtenidos, estos no tienen ningún conflicto de interés que consiga influirlos de manera inapropiada, bien sea de tipo económico, profesional o personal.
Cada autor realizó su aporte y contribución de forma colaborativa. La formulación de la investigación y la definición metodológica fueron realizados por el autor Sebastián Ladino y José Luis Paternina. La conceptualización y formulación matemática asociada a los filtros de rechazo fue elaborada por el autor José Luis Paternina. El autor Sebastián Ladino desarrolló el código que permitió la implementación de las simulaciones y la interconexión entre MATLAB y OPENDSS. Los autores Jaime Vitola y Carlos Torres realizaron la corrección de estilo del documento y replicaron todo el código propuesto por el autor Sebastián Ladino para darle validación experimental a las simulaciones desarrolladas. Así mismo, el autor Sebastián Ladino realizó la revisión bibliográfica que permitió darle pertinencia a la presente investigación. Daniel Sanin-Villa: Revisión de contenido, análisis de resultados y redacción del artículo.
Información adicional
Cómo citar / How to cite: S. A. Ladino Serrano, J. L. Paternina Durán, J. Vitola Oyaga, C. A. Torres Pinzón “Evaluación de filtros pasivos para la gestión de armónicos en redes industriales de distribución eléctrica,” TecnoLógicas, vol. 26, nro. 58, e2839, 2023. https://doi.org/10.22430/22565337.2839