Resumen: La optimización desempeña un papel crucial en la planificación y operación de los sistemas de gestión de energía, reduciendo costos y evitando pérdidas en su generación, disminuyendo, además, las emisiones de carbono. Lo anterior se da teniendo en cuenta el equilibrio entre oferta y demanda y el aprovechamiento de los recursos energéticos distribuidos (DER, por sus siglas en inglés). Este trabajo tuvo como objetivo proponer un esquema generalizado de comunidad energética, donde los generadores que componen una microrred suplen la demanda de esta o de las microrredes vecinas. Es de considerar que cada generador de energía tiene una función de costos asociada a esta, y existe una penalización, o costo de transmisión, cuando un DER, ubicado en una microrred definida, envía energía a la microrred vecina. Con el fin de abordar las restricciones, se propuso, como metodología de solución, un enfoque basado en juegos poblacionales, en conjunto con la técnica de relajación lagrangiana. Los resultados obtenidos fueron la aplicación del modelo y método de solución en tres diferentes escenarios. Además, se comparó el desempeño de la solución propuesta con la respuesta de un método de optimización convencional, logrando despachos similares y errores mínimos en comparación con la técnica tradicional. La investigación demostró que la combinación de conceptos de juegos poblacionales y técnicas de relajación lagrangiana permiten asumir restricciones que son de difícil manejo para la dinámica de replicadores. Finalmente, se concluye que el modelo es una buena herramienta para abordar problemas de gestión de energía que implican cumplir con la demanda por región en un escenario peer to peer.
Palabras clave: Dinámicas de replicadores, recursos energéticos distribuidos, mercados de energía, peer to peer, relajación Lagrangiana, sistemas de energía eléctrica.
Abstract: Optimization plays a crucial role in the planning and operation of energy management systems, reducing costs and avoiding losses in generation while also decreasing carbon emissions. This is achieved by balancing supply and demand and leveraging distributed energy resources (DER). This study aimed to propose a generalized energy community scheme, where the generators within a microgrid meet the demand of their own or neighboring microgrids. It is important to consider that each energy generator has an associated cost function, and there is a penalty or transmission cost when a DER, located in a specific microgrid, sends energy to a neighboring microgrid. To address these constraints, a solution methodology based on population games was proposed, in conjunction with the Lagrangian relaxation technique, was proposed. The results obtained included the application of the model and solution method in three different scenarios. Additionally, the performance of the proposed solution was compared with the response of a conventional optimization method, achieving similar dispatches and minimal errors compared to the traditional technique. The research demonstrated that the combination of population game concepts and Lagrangian relaxation techniques can handle constraints that are challenging for replicator dynamics. Finally, it is concluded that the model is an effective tool for addressing energy management problems that involve meeting regional demand in a peer-to-peer scenario.
Keywords: Replicator dynamics, distributed energy resources, electricity trading, peer to peer, Lagrangian relaxation, electric power systems.
Artículos de investigación
Optimización de costos en un escenario de mercado entre pares multimicrorred con dinámicas de replicadores
Optimization in a Multi-Microgrid Peer-To-Peer Scenario with Replicator Dynamics

Recepción: 24 Enero 2024
Aprobación: 24 Mayo 2024
Publicación: 02 Julio 2024
El crecimiento en la demanda de energía eléctrica, la adopción de recursos energéticos distribuidos (DER) y el rápido avance de la tecnología de la información y las comunicaciones (TIC) han provocado cambios significativos en los mercados energéticos. Este cambio ha impulsado a hogares, entidades del sector energético y ciudades a abandonar el enfoque tradicional de comercio de energía centralizado, dando lugar a la creación de mercados que promueven el intercambio de energía entre pares [1]. Los cambios en la dinámica energética han llevado a los mercados eléctricos a centrarse en el usuario final, permitiendo a los participantes realizar transacciones energéticas descentralizadas. Esto, a su vez, le proporciona un mayor control y eficiencia en su consumo energético [2].
El contexto energético facilita la incorporación de nuevos agentes en el mercado, como los prosumidores, que desempeñan roles duales como consumidores y productores de energía. Los prosumidores tienen la capacidad de llevar a cabo transacciones energéticas dentro de sus comunidades, permitiéndoles gestionar de manera eficaz su demanda y suministro de energía, al tiempo que contribuyen a generar beneficios sociales y económicos [3], [4]. Los diferentes agentes en el mercado permiten proponer diversas arquitecturas para facilitar el comercio de energía entre agentes pares o peer to peer (P2P). La mayoría de estos modelos se centran en interacciones entre los prosumidores, las funciones de costo de los generadores distribuidos, la presencia o no de bancos de baterías y la conexión a la red eléctrica principal [5]-[7].
En el contexto del mercado por pares, los prosumidores pueden intercambiar energía a través de una red de distribución existente que actúa como respaldo para que los prosumidores puedan comprar o vender energía en caso de que el comercio local sea insuficiente o no sea posible [8], [9]. Otro enfoque es el presentado en [10], donde se agrupan edificios o casas inteligentes cercanos e interconectados, que, a su vez, se vinculan con un proveedor comercial de electricidad. Cada edificio incorpora cargas bases, cargas controlables, sistemas de generación de energías renovables y, posiblemente, almacenamiento de energía. Además, los elementos se clasifican según su perfil de demanda.
Cabe destacar, que los estudios que involucran estructuras multirregión o multimicrorred son menos comunes [11], [12]. Sin embargo, en [13] se propone un modelo que incluye varias microrredes interconectadas a la red principal, donde los participantes pueden intercambiar energía e información. Cada microrred consta de generadores locales, almacenamiento de energía y esquemas de respuesta a la demanda. También, [14] presenta un modelo que se aborda desde dos estrategias novedosas para determinar las preferencias de comercio bilateral de los hogares que participan en un mercado energético P2P completamente local: la primera busca coincidencias entre el excedente de energía y la demanda de los participantes; la segunda, por su parte, se basa en la distancia entre los hogares dentro de la red.
Finalmente, el agrupamiento de varios agentes en comunidades guiadas por objetivos comunes ha permitido modelos de comercio distintos. Por ejemplo, [15] explora un modelo centrado en el comercio de energía P2P en un grupo de microrredes virtuales (VMG, por sus siglas en inglés). En el escenario bajo consideración, cada productor establece su propio precio de energía, y los consumidores pueden elegir a quién comprar. Además, el método resalta que cuando la energía se genera y se consume localmente, el precio de esta, transferida por el prosumidor, es nulo.
Algunos escenarios de estudio consideran la distancia entre microrredes, o la diferenciación entre el valor de la energía, cuando se produce y consume en un mismo clúster, en comparación con la compartida entre clústeres [16]. En este artículo se propone un modelo que considera agentes en una comunidad dividida en varias zonas, donde cada generador tiene una función de costo diferenciada. Además, se involucra penalización en la distribución y la necesidad de suplir la demanda local.
Mediante una adaptación de la teoría de juegos poblacionales, se establece la solución para minimizar el costo total de producción de energía. Estos juegos, ampliamente versátiles y aplicables en diversos campos, abarcan variedad de campos, que van desde la biología y la ecología, hasta la economía y las ciencias sociales [17]-[19]. Su capacidad para representar escenarios de competencia, cooperativas y mixtas los hace valiosos para analizar diversos problemas [20]. De hecho, los juegos poblacionales se han utilizado en investigaciones relacionadas con el comercio energético [21].
En particular, la dinámica de replicadores (RD) ha mostrado ser útil para comprender la evolución de las estrategias de los prosumidores a lo largo del tiempo en el ámbito del comercio energético P2P, ya que puede modelar la competencia y cooperación entre estos en un mercado energético [22], [23]. En [24] se propone el uso de replicador dinámico para dar solución a un problema de respuesta de la demanda distribuida, mientras que en [19] se utiliza los juegos poblacionales para gestionar dinámicamente los recursos energéticos distribuidos y las cargas inteligentes en el sistema, con el fin de alcanzar el bienestar social óptimo. A pesar de la versatilidad de los RD, existen restricciones difíciles de abordar con dicho modelo. Específicamente, la inclusión de restricciones de desigualdad es aún un desafío pendiente. En torno a este desafío, este trabajo propone que la relajación lagrangiana, que incluye el problema dual, puede ser útil para añadir restricciones de desigualdad [16], [25].
Este artículo es una ampliación de un estudio previo presentado originalmente en [26], al cual se le han sumado contribuciones de generalización para mejorar el modelo matemático con el fin de facilitar la transacción óptima de energía entre microrredes. Además, se genera el modelo de solución y se propone el algoritmo ReplicatorDynamics+Relaxation. Por otra parte, se simulan casos de estudio más detallados para observar de forma más detallada el comportamiento del modelo propuesto, incluyendo los diferentes números de generadores que componen cada microrred.
En resumen, las contribuciones de este artículo son las siguientes:
Se presenta un modelo multimicrorred capaz de incluir una cantidad arbitraria, de microrredes, cada una con generadores. Además, se abordan restricciones de igualdad para satisfacer la demanda de cada microrred y restricciones de límites de generación en cada microrred.
El modelo se resuelve utilizando la dinámica de replicadores, en combinación con la técnica de relajación lagrangiana para satisfacer las restricciones de límites de generación y satisfacer la demanda de cada microrred. Se hace uso del planteamiento del problema dual y su resolución con el método de gradiente descendente.
Se realiza una comparación entre los resultados obtenidos mediante la dinámica de replicadores y los proporcionados por un método convencional de punto interior, con el fin de validar la eficacia de la técnica propuesta en diferentes escenarios.
2. ASPECTOS METODOLÓGICOS
2.1 Modelo de transacción de energía
El modelo de transacción de energía involucra un conjunto de microrredes ℳ = {1,2, … , 𝑀}, donde en la 𝑚-ésima microrred se ha instalado un conjunto de generadores 𝒥𝑚 = {1,2, … , 𝐽𝑚 }. Se asume que cada microrred puede consumir la energía producida por sus generadores, así como inyectarla al resto de microrredes de ℳ. El objetivo de abordar este problema es suplir la demanda total del sistema, mientras se disminuyen los costos asociados a la generación y transmisión de energía.
El costo de generación contempla el valor de los recursos que han sido necesarios para producir la potencia demandada. Por ejemplo, el costo del combustible empleado en generadores diésel. Para modelar dicho costo, es conveniente asociar a cada generador una función que depende, tanto de la tecnología utilizada, como de la potencia producida. 𝑗-ésimo generador de la 𝑚-ésima microrred, dicha función, denotada como 𝐻𝑚𝑗, está dada por 𝐻𝑚𝑗=𝐴𝑚𝑗+𝐵𝑚𝑗𝑃𝑚𝑗+𝐶𝑚𝑗𝑃2𝑚𝑗, donde 𝑃𝑚𝑗 es la potencia despachada por la unidad, y 𝐴𝑚𝑗, 𝐵𝑚𝑗 y 𝐶𝑗 son parámetros positivos que modelan características intrínsecas del generador, tales como su tipo o eficiencia.
Por otro lado, tenemos los costos de transmisión, que se causan cuando una microrred inyecta potencia a otra de ℳ. Estos costos se denotarán como 𝑇𝑚𝑗𝑘 y se modelan mediante (1):
(1)donde 𝛿 es un parámetro positivo que representa el costo de transmitir una unidad de potencia de una microrred a otra, y 𝑃𝑚𝑗𝑘 es la potencia generada por el 𝑗-ésimo generador de la 𝑚-ésima microrred que es enviada a la 𝑘-ésima microrred. Obsérvese que, si la potencia es generada y consumida en la misma microrred, no hay costos de transmisión. Además, dado que toda la potencia despachada por los generadores es consumida por las microrredes de ℳ, se cumple que 𝑃𝑚𝑗=∑ 𝑘∈ℳ 𝑃𝑚𝑗𝑘, para todo 𝑚∈ℳ, 𝑗∈𝒥𝑚.
Dado que el objetivo es determinar la cantidad de potencia que cada uno de los generadores va a suplir a su microrred y a las vecinas con el fin de minimizar los costos totales de transacción de energía, el problema de optimización, según (2), (3) y (4), es:
(2)
(3)
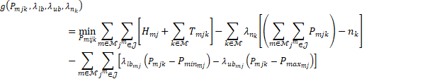
(4)Nótese que (3) corresponde a la capacidad de generación de la j-ésima unidad de la m-ésima microrred, con 𝑃𝑚𝑖𝑛𝑚𝑗 y 𝑃𝑚𝑎𝑥𝑚𝑗 como los límites de potencia del generador. En (4), ∑ 𝑚∈ℳ ∑ 𝑗∈𝒥𝑚 𝑃𝑚𝑗𝑘 es la potencia total que recibe la microrred 𝑘. Luego, las M restricciones en (4) representan la demanda que se debe suplir, siendo 𝑛𝑘 la potencia total que se debe despachar a la k-ésima microrred. En (2), ∑ 𝑚∈ℳ ∑ 𝑗∈𝒥𝑚 [𝐻𝑚𝑗] representa el costo total de generación del sistema y ∑ 𝑚∈ℳ [∑ 𝑗∈𝒥𝑚 𝐻𝑚𝑗] el costo total de transmisión.
Para ilustrar el modelo, se presenta el ejemplo esquematizado en la Figura 1. Se cuenta con tres microrredes, por lo que ℳ = {1,2,3}. Además, nótese que 𝒥1 = {1,2,3,4}, 𝒥2 = {1,2,3} y 𝒥3 = {1,2}. El modelo de optimización se encargará de definir la cantidad de energía que cada generador produce para su propia microrred y la que envía a las demás, teniendo en cuenta los costos asociados y la existencia de costo de transmisión cuando un generador despache a una región vecina.

2.2 Método de solución
Para resolver el problema de optimización con restricciones se utilizan las dinámicas de replicadores, cuya formulación tiene implícita el balance de potencia en todo el sistema [25]. Sin embargo, con este método no es posible definir la microrred destino para la energía de cada unidad. Por lo anterior, las restricciones de igualdad presentadas en (4) y las de desigualdad en (3) se resuelven usando la relajación lagrangiana propuesta a continuación.
2.2.1 Relajación lagrangiana
La función de Lagrange se construye definiendo los multiplicadores 𝜆𝑙𝑏 = ⋃𝒎 ∈ 𝓜{𝜆𝑙𝑏𝑚1,…𝜆𝑙𝑏𝑚𝐽𝑚}, 𝜆𝑢𝑏 = ⋃ 𝒎 ∈ 𝓜 {𝜆𝑙𝑏𝑚1,…𝜆𝑙𝑏𝑚𝐽𝑚}, 𝜆𝑛𝑘,∀𝑘, asociados con las restricciones (3) y (4). Estos multiplicadores corresponden a los límites superior (𝜆𝑙𝑏) e inferior (𝜆𝑢𝑏) de operación y de demanda (𝜆𝑛𝑘) de la microrred. El problema primal queda relajado, como se expone en (5):
(5)Si se define 𝑓⋆ como el óptimo del problema original (2); sujeto a (3) y (4), se tiene que, para cualquier combinación de 𝜆𝑙𝑏,𝜆𝑢𝑏,𝜆𝑛𝑘, existe un 𝑔 ≤ 𝑓⋆. Por lo tanto, el objetivo es buscar la solución g más cercana al óptimo. Para lograr lo anterior, se establece el problema dual (6):
(6)El resultado de este problema es la combinación de multiplicadores de Lagrange que producen la cota más cercana al óptimo. La maximización planteada se resuelve con gradiente ascendente a partir de las potencias calculadas en la minimización de la ecuación (5).
2.2.2 Dinámica de replicadores
La ecuación de la dinámica del replicador es una descripción matemática que explica cómo ciertas características de comportamiento en una población de individuos evolucionan a lo largo del tiempo debido a la influencia de la selección natural. En este caso la población de individuos, denotada por 𝑃𝑑, es la demanda total de todas las microrredes, i. e., 𝑃𝑑= ∑𝑘∈ℳ𝑛𝑘. Por lo tanto, la ecuación del replicador que describe las dinámicas de las potencias que cada unidad del sistema despacha a cada microrred se escribe como se observa en (7):
(7)donde 𝑓𝑚𝑗𝑘 es la función de aptitud que los individuos perciben en el hábitat 𝑚𝑗𝑘 y representa el costo marginal de 𝑔 dado por (8):
(8)Además, 𝑓̅ (9) es la función de aptitud promedio:
(9)Teniendo en cuenta las propiedades de las dinámicas de replicadores [25], la invarianza del simplex permite asegurar el balance total del sistema (10):
(10)Además, se garantiza la minimización de la función potencial g (P_ijk,λ_lb,λ_ub,λ_(n_k )) al igualarse las funciones de aptitud (costos marginales) en el punto de equilibrio. En este caso, las soluciones del replicador dinámico se usan en el proceso de maximización planteado en (6) realizado con el gradiente ascendente.
2.2.3 Algoritmo integrado de solución
En el siguiente pseudocódigo se presenta el algoritmo que describe la relación entre el planteamiento de la sección 2.2.1 (Relajación lagrangiana) y 2.2.2 (Dinámica de replicadores). Se inicia con la definición de los parámetros de entrada. Luego, por medio de un proceso iterativo y de retroalimentación entre los puntos de equilibrios obtenidos de (7) y los multiplicadores de Lagrange obtenidos por medio de gradiente ascendente, se obtiene 𝑓⋆. El proceso se repite hasta alcanzar un gap de optimalidad, determinado por el error entre el valor de la cota dual y la primal. La cota dual es igual al valor de la función de costos original siempre que cumpla con las restricciones (3) y (4). La tasa de aprendizaje 𝛼 decrece con cada iteración. Para los casos de estudio implementados, se inicia con alpha=0,7 y se reduce 1 % por iteración para el cálculo de 𝜆𝑙𝑏,𝜆𝑢𝑏, y 3 % para 𝜆𝑛𝑘.

3. RESULTADOS Y DISCUSIÓN
Con el fin de mostrar la aplicabilidad del método propuesto, se plantea el sistema mostrado en la Figura 2. Este caso modela un problema de transacción de energía que cuenta con dos microrredes, con siete y seis generadores para cada microrred, respectivamente. Cada microrred tiene una demanda específica y se proponen tres casos de estudio con diferentes costos de generación y de transmisión entre zonas, que derivan en distintos intercambios de energía. Los límites de operación de los generadores se presentan en las Tablas 1 y 2.



Cada generador de energía puede suplir la demanda de su microrred o vender potencia a la microrred vecina. Para el caso de estudio puntual, se tiene que la microrred 1 requiere la mitad de demanda que la 2, entonces 𝑛1 =450 𝑘𝑊 y 𝑛2=900 𝑘𝑊, quedando la restricción (4) desplegada en (11):
(11)Además, se debe considerar que, si algún generador transmite energía a la otra microrred, se tiene un costo de distribución adicional por cada kWh.
Los costos de generación y los límites de operación para cada uno de los generadores fueron extraídos de [25], [27]. Dichos límites son cruciales para garantizar que los generadores operen dentro de los límites de capacidad de las líneas de distribución para evitar sobrecargas y posibles problemas de estabilidad en el sistema eléctrico.
Cabe resaltar que los límites de operación de los generadores también dependen de la regulación del país donde se vaya a implementar el modelo. Por ejemplo, lo expuesto en las resoluciones CREG-054 de 1994, CREG-086 de 1996, CREG 039 de 2001 y CREG 174 de 2021 en el contexto del mercado energético colombiano, dan cuenta que los generadores que despachan más de 20 MW están obligados a entrar al despacho central y no serían participes de un mercado peer to peer. Los generadores de entre 10 MW a 20 MW tienen la opción de elegir entrar o no al despacho central y las plantas cogeneradoras son menores a los 10 MW. Todos los generadores distribuidos para su despacho deben considerar que la energía entregada en un mismo circuito de nivel de tensión 1 (i.e., menor a 1 kV) sea igual o menor al 50 % de la capacidad nominal del circuito, transformador o subestación donde se solicita el punto de conexión y la cantidad máxima de energía que se puede despachar en una hora [28], [29]. Por otro lado, los costos de operación de los generadores (representados por las constantes A, B y C en la formulación) deben reflejar de manera realista los costos asociados con la generación de energía, incluyendo el costo de combustible (para el caso de generadores no renovables), mantenimiento y otros costos operativos.
3.1 Caso de estudio 1
En este caso base se establece un costo de transmisión 𝛿 = 80 $/𝑘𝑊ℎ para aplicar en (1) y los costos de operación están dados en la Tabla 3 y 4.


Se soluciona el modelo implementando el algoritmo ReplicatorDynamics+Relaxation, cuyos resultados se presentan en la Tabla 5, apartado derecho. La función de costo evaluada en las potencias obtenidas es de 𝑓⋆ = 646.578,51 [$].

De igual manera, para la validación del algoritmo se usa un método basado en punto interior [30]. Se obtienen las soluciones presentadas en la Tabla 5, apartado izquierdo. La función de costo evaluada en las potencias obtenidas es de 𝑓⋆ = 646.579,70 [$].
Como se observa en la Tabla 5, al hacer la sumatoria de las potencias que llegan a cada microrred se da cumplimiento a la restricción de (4) y, además, las potencias despachadas por cada generador están dentro de los límites, cumpliendo con (3).
3.2 Caso de estudio 2
Para observar cómo afecta la penalización de la transmisión se incrementa el costo a 𝛿 = 500$/𝑘𝑊ℎ. En este caso, se obtiene 𝑓⋆ = 662.836,60 para el algoritmo de punto interior y 𝑓⋆ = 662.879,53 para el método propuesto con un error de 6,47×10−5. La Tabla 6 presenta los resultados de las cantidades de potencia que suple cada generador a las microrredes, observándose que se anula completamente la transmisión y el costo final es mayor que el del caso 1. Por tanto, es de considerar que la cooperación entre microrredes es importante y se debe procurar reducir la penalización por el bienestar total de la comunidad.

3.3 Caso de estudio 3
Para compensar los costos elevados del caso anterior, se realizan cambios en los costos de los generadores de la microrred 1 reduciendo a la tercera parte los coeficientes B y C. Además, se disminuye el costo de transmisión a la mitad 𝛿 = 40$/𝑘𝑊ℎ. Los demás costos se mantienen iguales a los del caso 1.
Las soluciones obtenidas se presentan en la Tabla 7, donde la función de costo evaluada en las potencias obtenidas con el punto interior es 𝑓⋆ = 394.797,63 y 𝑓⋆ = 394.823,80 para el método propuesto con un error de 6,62×10−5.

3.4 Análisis de casos de estudio y discusión
Para los casos de estudio se presentan los diagramas de calor en las Figuras 3 - 9. Allí, se puede observar el despacho realizado por cada uno de los generadores, la microrred a la que pertenecen (eje vertical) y la microrred que recibe la energía (eje horizontal).
Analizando los resultados para el caso de estudio 1, se observa que los costos de los generadores del 1 al 6 de la microrred 1 son el doble de los de la microrred 2. Por lo tanto, la potencia despachada por estos generadores es la mínima. A su vez, el generador 7 de la microrred 1 se despacha en su totalidad. De hecho, la Figura 3 muestra cómo este generador suple parte de la demanda de su propia microrred y envía potencia a la microrred vecina.

Para completar la demanda de la microrred 2, que es el doble de la 1, todos los generadores de la microrred 1 transmiten asumiendo la penalización y sus costos más elevados. La demanda de la microrred 1 se suple en su totalidad con su misma producción, puesto que con el mínimo de despacho de los generadores y la potencia del generador 7 es suficiente. También, la Figura 4 muestra que el generador 5 de la microrred 2 se queda en su mínimo, dado que es el más costoso de dicha microrred. En resumen, las potencias despachadas están acordes con la lógica de los costos de distribución y transmisión.

Se puede observar que los resultados obtenidos con el método basado en dinámica poblacionales y en punto interior difieren. Sin embargo, la función de costo evaluada llega a un mínimo con una diferencia de $1,19 y un error de 1,84×10-6 como valor teórico el dado por método tradicional. Las restricciones de demanda en cada microrred se suplen en los dos métodos de solución. Por lo tanto, se considera que existen diferentes combinaciones de potencias que conllevan al mínimo. Además, se puede determinar que al realizar la suma de las potencias 𝑃𝑚𝑗1+𝑃𝑚2, correspondiente al despacho total de cada generador, las dos soluciones convergen a los mismos valores con un error absoluto considerablemente bajo (ver Figura 5). Así, se puede concluir que el método implementado logra optimizar la función de costo y determina de manera adecuada las cantidades de energía.

El caso de estudio 2 presenta un comportamiento similar al del caso de estudio 1, dado que no hay variación en los costos de generación. El generador 7, siendo el más económico, es el de mayor despacho. Adicionalmente, se puede observar en las Figuras 6 y 7 que no hay transacciones entre microrredes, debido al aumento en los costos de transmisión.


Para el caso de estudio 3, se observa cómo la microrred 1, al tener costos más bajos y al haber disminuido el costo de transmisión, ayuda a suplir la demanda de la microrred 2 enviando más de 500 kW. La Figura 8 muestra dicho despacho en el que la escala de color ya no está en el mínimo como en los casos anteriores. En la Figura 9, por su parte, se observa que los generadores 1, 3, 5 y 6 de la microrred 2 se despachan al mínimo al ser los más costosos. Además, se sigue cumpliendo que la suma de la potencia consumida en la misma microrred y la enviada a la microrred vecina es aproximadamente igual, con un error relativo pequeño entre los 2 optimizadores (Figura 10).



Las diferencias en las respuestas obtenidas con el método planteado con las arrojadas por el método de punto interior se deben a la existencia de diferentes puntos críticos de la función de costos. Además, entran en consideración los parámetros de sintonización del modelo, tales como la tasa de aprendizaje. Por ejemplo, para la maximización con el método gradiente ascendente, esta tasa empieza en 2 y va disminuyendo 0,98 veces en cada interacción. Otro factor es el tiempo de análisis y parada de la ecuación diferencial planteada en (7).
La investigación presente contrasta con los modelos previamente propuestos en [13], [14], y [15], los cuales abordan el concepto de multimicrorredes y consideran una variedad de factores, como la respuesta de la demanda eléctrica y térmica, la interacción multienergética y las incertidumbres asociadas. En adición, las metodologías de solución son distintas, ya que, según lo propuesto en este trabajo, se obtiene mediante un algoritmo iterativo. En contraste, el modelo [13] es solucionado mediante programación estocástica, utilizando el riesgo condicional como base, y [15] se enfoca en optimizar los beneficios de los prosumidores energéticos agrupados en microrredes virtuales (VMG) mediante un modelo de juego de Stackelberg. En dichos modelos no es clara la penalización de la transmisión entre microrredes, además, no se llegan a considerar los costos de operación que asume cada unidad generadora perteneciente a la comunidad.
Los hallazgos descritos en este trabajo tienen implicaciones prácticas significativas para la gestión de microrredes. El algoritmo propuesto ofrece un enfoque para la gestión dinámica de los DER, incluso con la posibilidad de distribuirlo, lo que representa un trabajo futuro de esta investigación. La innovación en nuevos algoritmos o técnicas de optimización es crucial para mejorar la eficiencia y la fiabilidad de las operaciones de las microrredes, especialmente en escenarios de múltiples microrredes, que exhiben desafíos adicionales en términos de seguridad de la información y escalabilidad de los sistemas.
Se identifica como una limitación de este estudio que, aunque el algoritmo propuesto muestra resultados prometedores en términos convergencia, se requiere trabajo adicional para evaluar exhaustivamente su rendimiento bajo diversas condiciones operativas y configuraciones del sistema. Por otro lado, cabe señalar que la combinación de conceptos de juegos poblacionales y técnicas de relajación lagrangiana hace que el algoritmo propuesto asuma restricciones que son de difícil manejo para la dinámica de replicadores original. En particular, es de resaltar la incorporación de restricciones de desigualdad, que en trabajos previos no había sido explorada. Lo anterior resalta la sinergia entre la relajación lagrangiana y los métodos de dinámicas poblacionales.
4. CONCLUSIONES
Este trabajo propone un método para minimizar los gastos de operación y transmisión en la transacción de energía, beneficiando a las regiones participantes. Se proponen tres casos de estudio que involucran dos microrredes. Los resultados obtenidos muestran que el método es capaz de suplir la demanda total mientras se minimizan los costos de generación.
Utilizando el método propuesto (dinámica de replicadores y la relajación lagrangiana), se encuentra una solución que minimiza los costos con una precisión alta, con errores del orden de o menores, con respecto al método tradicional del punto interior o un gap de optimalidad del calculado como criterio de parada, asegurando conseguir un óptimo dentro de las restricciones del modelo. Se muestra, entonces, que el modelo es efectivo, además de una buena opción para problemas de gestión de energía que incluyen requisitos de cumplimiento de demanda por región y límites de generación del recurso energético distribuido en un escenario peer to peer.
Es importante tener en cuenta que a medida que se agregan más participantes al modelo hay un mayor número de restricciones, lo que conlleva a incrementos notables en el costo computacional y puede dificultar la convergencia del problema y la sintonización de las tazas de aprendizaje para la resolución del problema dual. El problema planteado es escalable en número de generadores y microrredes, e igualmente se encarga de suplir la demanda de cada una de ellas.
Dentro del trabajo futuro de esta investigación se considera la contextualización del modelo y la implementación del algoritmo en determinados mercados energéticos, por ejemplo, el colombiano, teniendo en cuenta la regulación vigente. También, se propone estudiar la convergencia del modelo al adaptarlo a topologías descentralizadas.
Cómo citar / How to cite: S. Chacón, E. Benavides, A. Pantoja, G. Obando, “Optimización de costos en un escenario de mercado entre pares multimicrorred y dinámicas de replicadores,” TecnoLógicas, vol. 27, no. 60, e2992, Jun. 2024. https://doi.org/10.22430/22565337.2992
https://revistas.itm.edu.co/index.php/tecnologicas/issue/view/138 (html)
Este trabajo ha sido respaldado por la asignación para la CTeI - SGR y Minciencias, Colombia, proyecto BPIN 2021000100499
Sofia Chacón: formulación del modelo multimicrorred, solución de los casos de estudio con método de punto interior en Matlab y revisión del estado del arte.
Edinson Benavides: realización de simulación en Python con el método de solución planteado para los casos de estudio.
Andrés Pantoja y Germán Obando: revisión de método y resultados, redacción y notación matemática del artículo.
sgchacon@udenar.edu.co

















