Resumen: Actualmente, los diseños asistidos por ordenador (CAD, por sus siglas en inglés) permiten crear, diseñar, simular y analizar equipos mecánicos en el sector industrial. A pesar de estas tecnologías, faltan equipos para procesar biomasas forestales en los laboratorios de las universidades Ecuatorianas. Esta investigación tuvo como objetivo desarrollar un modelo de simulación digital usando herramientas informáticas para la obtención de un triturador de biomasa forestal para laboratorios. Para ello, se empleó la metodología del software Autodesk Inventor, integrando los datos del diseño mecánico, así como la modelación y simulación para el análisis computacional de la estructura. Los resultados mostraron que el factor de seguridad del rodamiento, las cuchillas cortantes en un ángulo de 45º, una tolva de 90º y una malla de 2 mm arrojaron 0.9 microlitros y 15 microlitros requeridos mínimo y máximo, respectivamente, para lubricar y evitar el endurecimiento de la masa del eje de trabajo de las cuchillas. Se obtuvieron partículas tipo serrín de 75-300 μm, alcanzando una eficiencia del 95 % del corte de rodamiento, con una elasticidad máxima del eje de 230.90 MPa y un voltaje de 1-3 V. En conclusión, el análisis computacional brinda una confiabilidad del 99 %, con variación del 6.59 %, obteniendo dos modelos matemáticos que analizan la eficiencia y el triturado de biomasa forestal con un rendimiento del 62 % y una producción de 240 g/min, asegurando que el equipo procese biomasa para la producción de energía renovable en la Amazonía ecuatoriana.
Palabras clave: Biomasa forestal, eficiencia productiva, modelación computacional, simulación computacional, triturador.
Abstract: Today, computer-aided design (CAD) allows to create, design, simulate, and analyze mechanical equipment in the industrial sector. Despite these technologies, there is a lack of equipment to process forest biomass in the laboratories of Ecuadorian Universities. This research aimed to develop a digital simulation model using computer tools to obtain a forest biomass crusher for laboratories. For this, Autodesk Inventor software methodology was used, integrating mechanical design data, as well as modeling and simulation for computational analysis of the structure. The results showed that the safety factor of the bearing, the cutting blades at an angle of 45º, a 90º hopper and a 2 mm mesh yielded 0.9 microliters and 15 microliters required minimum and maximum, respectively, to lubricate and prevent hardening of the mass of the working axis of the blades. It was obtained particles type sawdust of 75- 300 μm, reaching an efficiency of 95 % of the bearing cut, with maximum elasticity of the axis of 230.90 MPa and a voltage of 1-3 V. In conclusion, the computational analysis provides a reliability of 99 %, with a variation of 6.59 %, obtaining two mathematical models that analyze the efficiency and crushing of forest biomass with a performance of 62 % and a production of 240 g/min, ensuring that the equipment processes biomass to produce renewable energy in the Ecuadorian Amazon.
Keywords: Forest biomass, productive efficiency, computational modeling, computational simulation, shredding.
Investigación
Modelación y simulación computacional de una trituradora de biomasa forestal en Ecuador
Computational Modeling and Simulation of a Forest Biomass Crusher in Ecuador

Recepción: 17 Septiembre 2024
Aprobación: 18 Octubre 2024
Publicación: 26 Noviembre 2024
Actualmente, la necesidad de aprovechar la biomasa forestal en los laboratorios de la instituciones públicas y privadas ha generado la necesidad de contar con equipos trituradores de estas biomasas, constituyéndose en un factor importante para usos industriales [1]. Es importante señalar que los molinos de los que disponen actualmente los laboratorios son importados solamente para pulverizar esa biomasa basada en serrín. Por tal razón, al no contar con un equipo eficiente para el proceso de triturado y obtener serrín de astillas para análisis físicos, químicos y térmicos en los laboratorios, dificulta la obtención de resultados útiles para el aprovechamiento de biomasa vegetal con fines industriales. Se prevé el diseño y el análisis de la estructura mediante la modelación y simulación computacional asistido por el ordenador (CAD).
Ecuador ha considerado aspectos industriales debido a la falta de equipos o molinos de martillo eficientes y confiables, especialmente en los laboratorios de las instituciones que estudian las propiedades de las biomasas que ayudan a disminuir los desechos forestales en forma de astillas a un tamaño de partícula de 2 mm [2], lo cual permite identificar las propiedades físicas, químicas y térmicas en los diferentes equipos de sus laboratorios. Tradicionalmente, la actividad se ha venido realizando de forma manual o mediante una sierra mecánica. Por tal motivo, esta investigación presenta un equipo moderno con una masa circular que, al aplicar la fuerza adecuada, tritura eficientemente la biomasa al molerla, gracias a una modelación y simulación computacional que optimiza su estructura y diseño. Esto garantiza un proceso seguro y efectivo, comparable al de pulverizadores importados, tipo cúbico.
Actualmente, en el campo internacional no se encuentran modelos de masa circular que cuenten con cuchillas cortantes incorporadas en su diseño, mientras que en los equipos importados con masa cúbica surge un problema al atascarse las astillas en la recta de la masa del cubo, impidiendo su correcto rodamiento, dado que en estos tipos de molinos solo permiten procesar la biomasa que ya fue triturada en forma de viruta o serrín, lista para ser pulverizada, esta es una deficiencia de los pulverizadores producido por Thomas T4723CE4 Model Wiley Mill, 15” Width x 33” Height x 12” Depth, 2+30 V, que solo sirven para realizar el refinado del procesado o convertido en partículas finas 0.5 mm a 1 mm de las biomasas forestales [3].
Esta investigación se centra en la construcción de un equipo de molienda utilizando herramientas informáticas que contribuyan a diseñar, modelar, analizar, abordar y a resolver problemas relacionados con la obstrucción de los chips de la biomasa forestal, proponiendo nuevas tecnologías informáticas de simulación y validación de diseños tecnológicos similares [4] y que sean sustituibles con otros diseños o con la creación de objetos previamente planificados [5].
Mediante el uso del diseño asistido por el ordenador (CAD), y los diseños bidimensionales (2D) y tridimensionales (3D), se ha facilitado la aplicación industrial, así como el diseño y la simulación computacional de los modelos mecánicos necesarios en los dispositivos para la creación de equipos trituradores de laboratorio, además de permitir el ensamblaje y ajuste de sus piezas para la construcción de la parte mecánica e industrial [6]. Este sistema se basa en el análisis y la resolución para minimizar los problemas de los quipos a través del uso de las herramientas informáticas y algorítmicas [7] que utilizan programas como SolidWorks S2021, el cual proporciona los medios computacionales para el diseño, modelado y simulación de las propiedades de los materiales a través de métodos numéricos y algoritmos, permitiendo resolver problemas de seguridad de los equipos [8]. Otra de las herramientas informáticas potentes en la validación de los datos fue el programa Ansys Fluent, con una eficiencia del 99.9 % para la construcción del equipo, que cuenta con una plataforma completa para estos fines industriales, con resultados óptimos del diseño mecánico tridimensional, y que facilita la visualización de toda la gama de fenómenos físicos y mecánicos [9]. Las aplicaciones del CAD, basadas en la ciencia exacta y la investigación, que utilizan programación y simulación computacional, muestran, en diversos estudios, su optimización y validación, con ventajas para la construcción de avanzados equipos tecnológicos industriales.
El software CAD ha permitido el diseño, modelado y validación a través del ANSYS por su confiabilidad del 99.9 %, donde algunas investigaciones resaltan su amplia gama de aplicaciones, incluyendo la construcción de laboratorios y equipos industriales [10]. Estas nuevas alternativas del uso de la biomasa forestal para diseñar, simular y validar los prototipos o equipos de molinos trituradores de biomasas forestales en el Ecuador brindan un diseño con un modelado basado en tecnologías modernas para moler la biomasa en pequeñas partículas, viables para su análisis físico, químico y térmico en equipos e instrumentos de laboratorio de instituciones de educación superior [11].
Según estos antecedentes, la falta de un equipo de molienda para biomasa forestal ha impedido la realización de análisis físicos, químicos y térmicos que faciliten el trabajo en los laboratorios de diversas instituciones, tanto privadas como públicas [12]. Surge, entonces, la necesidad de crear y validar un nuevo diseño mediante la simulación y modelado de molinos de laboratorio, con capacidad para triturar diferentes tipos de biomasas forestales que permitan realizar los análisis para el aprovechamiento de las biomasas con fines energéticos e industriales [13]. Una vez superado este proceso, que se basa en la ingeniería mecánica e industrial de los organismos antes mencionados, se procede a desarrollar y construir los dispositivos tecnológicos [14], dado que, actualmente, resulta difícil realizar estudios de análisis de biomasa forestales en estos laboratorios [15]. Por su parte, las Instituciones de Educación Superior (IES) solo cuentan con equipos que tienen un diseño de eje y rotor, caja cuadrada con martillo cortador, polea y motor incorporado de 0.5 hp, que permite pulverizar el aserrín hasta convertirlo en polvo para luego realizar un análisis de las biomasas en los laboratorios de física, química y térmica, transformándose en un clon, lo que aumenta los costos a la hora de comprar equipo, así como mayores operaciones en los laboratorios de la IES.
La presente investigación permitió reducir estas actividades, contribuyendo a la realización de diferentes análisis de la biomasa forestal en laboratorio y facilitando su proceso de triturado para su análisis y del manejo adecuado de los recursos forestales para evitar graves consecuencias medioambientales [16]. En la actualidad, el equipamiento y la tecnología son los que promueven la sostenibilidad, preservando los sistemas forestales y su biodiversidad [17]. Como ya se explicó, el objetivo de este estudio fue desarrollar la modelación y simulación computacional mediante herramientas informáticas que permitieran un diseño mecánico industrial para la construcción de un equipo de laboratorio. Los datos obtenidos y los modelos matemáticos aplicados a la molienda fueron integrados al programa informático para su evaluación y validación, según los parámetros antes mencionados, y comparados con los factores de seguridad, lo que permitió diseñar la eficiencia de la operación, que trituró diferentes tipos biomasas forestales en tamaños de partículas determinadas, incluyendo un tipo específico de serrín, posibilitando análisis físicos, químicos y térmicos en los diferentes equipos de laboratorio con los que cuenta las IES del Ecuador. El diseño del equipo demostró que se pueden producir muestras de manera eficiente, con una operación y manejo amigable, facilitando el análisis de biomasas forestales con el fin de conservar del medio ambiente en la Amazonia ecuatoriana.
La presente investigación se realizó en la Universidad Estatal Amazónica, ubicada en el cantón y provincia de Pastaza, Ecuador, partiendo del único equipo disponible en su laboratorio, el cual se usa para la trituración o pulverizado del serrín, pero no de astillas, pues solo sirve para obtener biomasa pulverizada lista para diversos análisis físicos, químicos y térmicos. A raíz de esta observación, se propuso brindar una nueva alternativa de prototipo a través del diseño, modelación y simulación computacional de un triturador de biomasa para su construcción en Ecuador y América latina mediante el uso de herramientas informáticas, como el CAD, para el diseño y modelado, y su validación en ANSYS, con un 99.9 % de confirmación y confiabilidad, beneficiando a todas las IES nacionales e internacionales.
En vista que no cuenta con equipos de triturado de biomasa forestal a pequeñas escalas de laboratorio, se prevé que este diseño y análisis de la modelación y simulación computacional, llevado a cabo en un taller mecánico de la parroquia de Puyo -cabecera cantonal de Pastaza- para la construcción del molino que servirá en la trituración de la biomasa forestal, sea exitoso, esto luego de realizar los ensayos y las correcciones mecánicas. Basados en aspectos normativos relacionados con los materiales y los métodos para su construcción, durante las pruebas el equipo funcionó correctamente. Lo anterior se logró gracias a la colaboración de un grupo de personas que contribuyó con el diseño tipo laboratorio, el cual servirá nacional e internacionalmente para investigaciones del sector industrial, como se muestra en la Tabla 1.

2.2 Método de muestreo y ensayo del equipo
Se seleccionaron las muestras que fueron consideradas para la identificación de las piezas del prototipo de molino triturador de biomasa, según la capacidad del motor y procediendo a su construcción. En uno de los talleres mecánicos de la zona se diseñó el prototipo y se llevó a cabo el trabajo mecánico, el cual disponía de torno para fabricar piezas y la armazón de la estructura completa del equipo con el acabado adecuado, según lo requerido; luego, se realizaron las pruebas de rectificado de las astillas secas trituradas para la obtención de una granulometría óptima, lo que permitió hacer los estudios en los equipos de laboratorio de los analizadores elemental e inmediato, obteniendo resultados favorables de la biomasa vegetal. Se ha demostrado la preferencia en cuanto al uso de materiales sólidos y secos derivados de la biomasa vegetal, de acuerdo al equipo y al tamaño de la partícula obtenida, lo cual se logra ubicando previamente una malla de alambre de 2 mm por 3 mm de espesor en la parte inferior del equipo, procediendo luego a la modelación y simulación computacional del diseño según el montaje del triturador de biomasa vegetal con el objetivo de evaluar los factores de seguridad del equipo y garantizar el cumplimiento de normas nacionales e internacionales.
Después de astillar y secar la biomasa obtenida de los cuatro cantones de la provincia de Pastaza, se determinó el contenido de humedad de equilibrio, obteniendo un promedio de 10 % a 12 % [27]. Seguidamente, la astilla fue cortada de acuerdo con el diseño del triturador o equipo, según las medidas de las cuchillas [28]. Las propiedades mecánicas de la biomasa determinaron el proceso de la molienda en el triturador, que contiene tres cuchillas con ángulos de 45º, una tolva de 25 cm de altura y un tubo alimentador de 3.8 cm de diámetro cilíndrico, ubicado paralelamente a 90º para permitir el ingreso de la biomasa, con malla de 3 mm y un motor de 2 HP a 3800 rpm, según la teoría de su construcción [6], prevenir las deformaciones de las cuchillas [29].
En la Tabla 2 y la Tabla 3 se describen las características, dimensiones, especificaciones del equipo y funcionamiento del triturador con su respectivo motor, con base en las normas nacionales e internacionales. El equipo produciría 240 gramos de serrín por minuto. Sin embargo, la capacidad de producción del molino puede variar de acuerdo con el grado de humedad, peso específico, densidad y condiciones de trabajo.


Se realizó un análisis completo y detallado de los datos presentados en las Tablas 1 a 5, considerando la seguridad mecánica del proceso del triturado de la biomasa [30], según su rendimiento y confiabilidad, logrando un diseño mediante una simulación de un molino triturador para biomasa vegetal [31]. La información de las Tablas 2 a la 3 incluye todas las propiedades de los componentes del equipo, que fueron fundamentales en el montaje y la construcción del prototipo para realizar las pruebas de la trituración de biomasa. A continuación, los resultados arrojados del equipo tipo laboratorio. Para esta investigación experimental, se diseñó y construyó un molino triturador con cuchillas horizontales que permitió obtener una molienda de la biomasa forestal, con tamaños de partículas tipo serrín que iban de 75 μm a 3000 μm, según las muestras que se probaron en los equipos de laboratorio para los análisis físicos, químicos y térmicos, sin enfrentar ninguna dificultad. Con toda esta información técnica se ha desarrollado un modelo matemático que evalúa la eficiencia en el proceso de molienda de una astilla de volumen promedio de 32 cm3. Sin embargo, se presentan otros estudios y diseños con modelos máquinas similares para triturar biomasa forestal.


El modelo BC625 de máquina astilladora pesa 780 kg, tiene una potencia de entre 15 kW y 19 kW, y una capacidad de 15 cm. Su sistema utiliza un disco con dos cuchillas. El modelo BC935 pesa 1660 kg, con una potencia de entre 26 kW y 37 kW y una capacidad de 23 cm, aunque no se especifica su sistema. La BC1000, con un peso de 1910 kg, cuenta con una potencia de 66 kW y una capacidad de 25 cm, utilizando un tambor con dos cuchillas. La máquina BC1230A pesa 2567 kg, tiene una potencia que varía entre 63 kW y 101 kW, una capacidad de 30 cm, y utiliza un disco con cuatro cuchillas. El modelo BC1250A, con un peso de 2873 kg, tiene una potencia de entre 63 kW y 84 kW y también una capacidad de 30 cm, pero su sistema no está especificado. La BC1600A pesa 2068 kg, tiene una potencia entre 63 kW y 94 kW, una capacidad de 15 cm, y usa un tambor con cuatro cuchillas. Por último, el modelo BC1800A pesa 3193.393 kg, con una potencia entre 82 kW y 127 kW y una capacidad de 46 cm, mientras que la BC2000 pesa 5715 kg, cuenta con 149 kW de potencia y una capacidad de 51 cm, sin especificar su sistema [32].
El molino rotatorio fue diseñado y construido completamente con todos sus partes para que funcione correctamente, el cual consta de matrimonio conector, motor con una potencia de 2 HP, una base de molino construido en hierro con doble capa de pintura, botonera on/off, el cuerpo del molino en acero con una polea, tres o más cuchillas horizontales montadas sobre el rotor, una caja cilíndrica que internamente cuenta con tres barras tipo martillo y su separación es de 3 mm entre las cuchillas. Esto facilitó la molienda de la biomasa, generando un impacto entre las cuchillas por acción de la gravedad y su alimentación al ciclo rotativo para la obtención de la molienda de la biomasa en el equipo que fue construido, logrando el tamaño de granulometría deseado para los análisis físicos, químicos y térmicos de las biomasas, al igual que otros equipos de laboratorio mencionados por [18]
El programa Autodesk Inventor [31], simulador CAD, se evidencia en la modelación y simulación del diseño de las partes mostradas [33] en las imágenes (a-n) de la Figura 1, según las características del dimensionamiento y datos presentados en las Tablas 2, 3 y 4, como se establece en la norma NEMA MG-1, reseñada en la Tabla 1, lo que permitió crear las piezas 2D sobre el eje Z, dándole así su volumen y las revoluciones para la parte giratoria del eje, generando la superficie de cierre, como se evidencia a continuación.

Este principio se basó en el dibujo 2D, que permite cambiar el sistema de coordenadas y hacer el plano XY del dibujo requerido, procurando que sus partes correspondientes estén en 2D antes de convertirse en 3D. El objetivo fue obtener en 3D el volumen y la masa del prototipo con forma circular [34]
A continuación, se analizó el diseño del dispositivo y se determinaron los siguientes parámetros: física (masa, área, volumen, centro de gravedad), estática (diseño, tipo de estudio, detección para eliminar los modos de cuerpo rígido, separación de las tensiones en las superficies de contacto y análisis de la carga de movimiento), configuración de la malla (tamaño promedio de elementos de malla curva, uso de medición basado en piezas para malla ensamblada), material (densidad grande, limite estático, resistencia máxima a la tracción, módulo de Young y relación del coeficiente de Poisson, módulo de corte, polea, eje, masa, acero dulce, densidad, elastómero en milímetros, resistencia máxima a la tracción y resistencia de los materiales, según el triturado de la biomasa DIN 6885-1 AA 8X7X18, DIN 6885-1 AA 14X9X70, DIN 471 30X1,5) y sus condiciones de operación (magnitud, vector X, Y, Z) [35]. Con base en lo anterior, se realizó el proceso del diseño y la simulación computacional [31], en el que fueron analizados, específicamente, los parámetros mecánicos [36].
La aplicación experimental aleatoria del diseño de bloques sirvió para determinar qué tan eficiente es el triturador de la biomasa en cada experimento, considerando el peso (g), el tiempo (s) y la pérdida generada. Considerando las características del molino con las especificaciones, que cuenta con tres cuchillas de 10 cm de longitud, 3 cm de altura, 1.4 de espesor, 42 cm3 de volumen, una masa cilíndrica de 3297 g un diámetro de la malla 3 cm, un volumen del eje 263.89 cm3, volumen del rotor de 477.13 cm3 y potencia de 1.5 Kw/h. Lo anterior permitió probar y desarrollar un modelo matemático que mide la eficiencia del triturado de la biomasa vegetal seca en la planta [37].
El tamaño de la astilla utilizada fue de un espesor de 1.5 cm a 2.5 cm, y de 10 cm hasta 15 cm de largo para lograr el proceso de molienda de la biomasa, ajustado a las características del triturador [38], que consistió en reducir el tamaño de la partícula [39] de viruta a serrín, con tamaños de partículas de = 0.2 mm [28], y con una alimentación de tres tamaños de astillas de madera a través de una tolva manual, logrando obtener el serrín y el posterior tamizaje del aserrín, tal y como lo presenta [39]. El modelo lineal con estructura de parcelas en bloques al azar es como se presenta en (1):

𝑌𝑖𝑗𝑘 = obs. de unidad experimental.
𝛾𝑘 = efecto de los bloques. = efecto de los bloques.
(𝛾𝜏)𝑘𝑖 = error de la parcela [E(a)].
(𝜏𝛽)𝑖𝑗 = efecto de la interacción de los tratamientos de la parcela y subparcela.
𝜀𝑖𝑗𝑘 = error de la subparcela [E(b)].
µ = media general del ensayo.
τ i = efecto del tratamiento τ de la parcela.
β j = efecto del tratamiento β de la subparcela.
Con este modelo matemático se determinó el valor total de la eficiencia del proceso de la molienda desarrollado en el equipo del triturado de la especie biomásica [40].
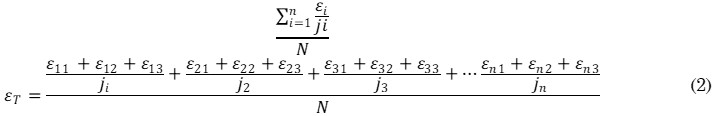
En (2) y (3) se presenta el modelo matemático desarrollado para medir la eficiencia de triturado de la biomasa seca a partir del procesamiento de los datos experimentales obtenidos, el cual es de fácil aplicación e incluye las pérdidas.


%P = porcentaje de pérdidas
j = número total de observaciones respecto al tiempo por minuto.
i = valor de cada observación desde 1, 2, 3, n…
N = número total de observaciones de los tratamientos por repeticiones.
n = número de observaciones.
De esta manera, se obtiene el siguiente modelo matemático para la especie.
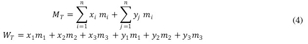
Este modelo se determinó por balance de masas, el triturado de la biomasa o aserrín y sus pérdidas, según los tratamientos experimentales que se muestra en (4):

wT = peso total inicial que entra al sistema.
xi = fracción de la eficiencia de la molienda.
yi = fracción de la cantidad de pérdida en el proceso de molienda.
mi = peso inicial que entra al sistema.
Los datos obtenidos del proceso de trituración arrojaron valores efectivos en función del tamaño de la astilla para construir un nuevo modelo matemático propio de la especie, como se evidencia en (5):

ε𝑇 = eficiencia total.
ε𝑇𝑇 = eficiencia total del tratamiento.
𝑚𝑖 = peso inicial que entra al sistema.
𝑃𝑇𝑇 = pérdidas totales del tratamiento.
A continuación, se muestra un ejemplo de la eficiencia total en función del tamaño de la viruta que fue aplicado en el proceso de molienda.
La ecuación que se determinó fue con base en el trabajo total realizado durante el proceso de molienda, según los tratamientos estudiados y del proceso total de sus fracciones, como se muestra en (6):

𝐶𝑇 = consumo total de trabajo.
𝑇𝑃𝑇𝐴 = trabajo promedio total aprovechado.
𝐽𝑎 = trabajo (joules) aprovechado.
𝑇𝑃𝑃 = trabajo promedio perdido.
𝐽𝑝 = trabajo (joules) perdido.
En (7) se presenta la ecuación del balance total desarrollado en el proceso de molienda.

El modelo matemático desarrollado para evaluar la eficiencia de producción de un proceso de trituración [41], basado en la eficiencia del trabajo realizado por el triturador o molino, con el fin de seleccionar el método de procesamiento más adecuado, se muestra en (8):

% RP = rendimiento del proceso de la molienda de biomasa.
mi = peso inicial que entra al sistema.
εPPT = eficiencia de la producción promedio total.
PPR = promedios de pérdidas del rendimiento.
TPTA = trabajo promedio total aprovechado en el proceso de molienda.
TPP = trabajo promedio de pérdida en el proceso de molienda.
La simulación desarrollada en Ansys Fluent fue siguiendo los siguientes pasos: a) geometría (selección, parámetros, dominio, forma y tamaño); b) malla (estructura métrica y calidad); c) física (características de flujo, modelado matemático y condiciones de contorno); d) informe (parámetros calculados, verificación y validados); y e) posprocesamiento (figuras, vectores y trayectoria). Este método es considerado para evitar obstáculos en el proceso de molienda [42].
El modelo geométrico se desarrolló en la herramienta de dibujo llamada 3D, de Ansys-DesignModeler. A partir de esta geometría se importaron los datos de las figuras y del módulo geométrico del sólido en 2D y 3D. Según el procedimiento de la tecnología para el mallado se utilizó el software Autodesk Inventor [43], lo que permitió la creación de una cuadrícula: la malla en Ansys-Meshing, desarrollada para la fragmentación del sólido en pequeñas partículas llamadas volúmenes finitos, de tipo hexaédrico, prismático, tetraédrico y piramidal. El rendimiento de la geometría se ajustó a dichos factores y a la topología del dominio, obteniendo el modelo o diseño del prototipo deseado del triturador de la biomasa con el fin de contribuir al desarrollo industrial en la Amazonia ecuatoriana.
Para la modelación y simulación computacional del equipo triturador de la biomasa forestal, se utilizó el Autodesk Inventor 2010, utilizando combinaciones de elementos finitos, formas, mallado, conductividad y dinámica basados en el programa de diseño y construcción de dispositivos a base de biomasa forestal de la Amazonia ecuatoriana, obteniendo las combinaciones y dinámicas en el arrastre del fluido de biomasa, garantizando mayor seguridad en el campo de la ingeniería mecánica, lo cuales fueron desarrollados en el programa CAD, similar al SolidWorks [40]. Ofrecer una alternativa tecnológica para laboratorios e industrias, abre la posibilidad de ser empleadas en diferentes empresas, ya sean públicas o privadas, dependiendo del tipo de trabajo y de las condiciones en la industria mecánica, pues lo que se busca es el aprovechamiento de la biomasa y la conservación del medio ambiente.
El análisis muestra que la simulación del triturador, realizado en Autodesk Inventor 2017, es un prototipo eficiente para la trituración de la biomasa forestal, que, según su número de piezas y su estado físico, es: masa (6.95 kg), área (119338 mm2), volumen (885901 mm3) y control de gravedad (x= - 3.37 mm; = - 2.96 mm; z = -103.06 mm). También se llevó a cabo un análisis estático que se enfoca en un objetivo general y de diseño, basándose en la más reciente fecha de modificación del 21 de febrero de 2019 a las 11:15 a. m., cuyo propósito fue detectar los modos del cuerpo rígido y realizar esfuerzos individuales en las superficies de contacto (cero), así como los análisis de cargas de movimiento (cero).
Por otro lado, se evaluó la configuración de la malla, detallando sus diferentes características, como tamaño medio, tamaño mínimo (2 mm), factor de calificación (1.5 mm), ángulo máximo de torsión (60°), cuadrícula de elemento de curva hecha para uso (cero); además, se analizó la sección de la malla y el ensamblaje. Con respecto a los materiales, se hizo una evaluación similar al del mallado de la caldera, el cual fue validado con Ansys Fluent [44].
La Figura 2 muestra la densidad de la masa de (7.85 g/cm3), con un límite elástico (207 MPa), y una resistencia máxima a la tracción (345 MPa), el módulo de Young (210 GPa), el coeficiente de Poisson (0.3 μL), así como el módulo de corte (80.76 GPa), que cuenta con una polea acanalada 1, eje de la masa en acero suave y un nuevo modelo de Young (220 MPa), que incluye la relación de Poisson (0.28 μL), el módulo de corte (86.27 GPa) y el nombre de pieza: DIN 6885-1 AA8X7X18, DIN 6885-1 AA 14x9x70, DIN 471 30x1.5, respectivamente; igualmente, se presentan condiciones de operación: tipo de carga (magnitud: 196000.000 N mm, vector X: 0.000 N mm, vector Y: 0.000 N mm, vector Z: -196000.000 N mm). Basados en densidad, masa, módulo, resistencia, relación de Poisson, módulo de corte, estos materiales muestran su máxima elasticidad y resistencia a la tracción bajo el modelo de Young comparado con el modelo de Poisson [45].

Se realizó el análisis de los ejes del prototipo y de cómo interactúan sus componentes en función de su movimiento, tal como se menciona en la Tabla 4.
Según el análisis de las reacciones del motor y las fuerzas de magnitud aplicada a cada componente de los ejes, estos soportan el movimiento y el momento, tal como se menciona en la Tabla 5.
El análisis de la presión, gravedad y las restricciones de operación de la masa y del eje desarrollados en CAD son semejantes al análisis en Ansys Fluent [44], brindando seguridad al objeto mecánico, según el contacto con la gravedad y la tensión de los diferentes aspectos del triturador en el aprovechamiento de las biomasas forestales, similar a la de otros equipos utilizados en la molienda [46].
Los resultados del análisis de tensión de las magnitudes físicas sobre el eje principal, realizado por el software Autodesk Inventor, muestra que el diseño plástico del equipo para la molienda de la biomasa forestal es semejante al diseño del material flexible de la misma biomasa forestal [47]. Uno de los valores que se tiene en cuenta es la fuerza principal del eje 1, donde el plano normal muestra la traza cortante en 0 y el máximo de la elasticidad inducida en la pieza para las condiciones de carga es de 230.9 MPa, tal como se muestra en la Figura 3 (a). De acuerdo con lo anterior, el esfuerzo principal del eje o husillo muestra que la resistencia está entre -7.2-151.90 MPa, como se observa en la Figura 3 (b).

La principal restricción de las cantidades físicas del desplazamiento, realizado mediante el software Autodesk Inventor, indica que su desplazamiento y la resistencia del material plástico de la trituradora de la biomasa cuenta con un valor de carga máxima de 10.80 MPa, y un mínimo -148.50 MPa, según el diagrama ilustrado en la Figura 4 (a y b).

El factor de seguridad del rodamiento, realizado con Autodesk Inventor, mostró que las medidas de las cuchillas cortantes del triturador de biomasa arrojaron un valor de 0.07 mm máximo, un mínimo de 0.90 μL, y de máximo 15 μL requeridos para la grasa, con el fin de evitar el endurecimiento de la masa del eje, según su trabajo de movimiento, lo cual se detalla en las Figura 5 (a y b).

En la Tabla 6 se muestran los esfuerzos principales que soporta el equipo para producir el triturado de la biomasa forestal.

El estrés de las principales cantidades físicas y del árbol fue realizado mediante software Autodesk Inventor. El diseño del material flexible en el estudio realizado es semejante a la biomasa forestal [47], como se observa en las Figuras 4 y 5, donde se muestra que la elasticidad máxima inducida bajo la carga es parecida a la autenticación de la información [48], razón por la cual fue importante comparar el diseño y la resistencia del equipo con los mismos parámetros, dependiendo del eje de trasmisión o de la masa de rodamiento del molino, similar al estudio [49]. El modelo propuesto fue con ángulo de 45º y una tolva vertical, logrando un 95 % de confianza y eficiencia del proceso, quedando pendiente solo el rediseño de la tolva para un proceso industrial con similitud aproximada al 91.23 % y al 94.95 %, lo que mejoraría el sistema de alimentación de la biomasa, mostrando una diferencia estadística altamente significativa [50], obteniendo, además, un equipo de laboratorio a pequeña escala que difiere de los otros, como se muestra en la Figura 6 (a y b).

Sin embargo, fue importante considerar la masa del eje y la resistencia del triturador debido al trabajo realizado y al contenido de humedad de la biomasa forestal que fue implementado para esta innovación tecnológica con mejor eficiencia en la trituración en masa seca, según el diseño propuesto para el proceso de molienda y el análisis de la modelación matemática que muestra una eficiencia del 99.99 %, y que tiene características similares a los datos obtenidos en investigación previas sobre otros prototipos de trituradores de biomasa [48].
Se realizó un análisis estadístico del diseño experimental utilizando parcelas divididas y bloques al azar, contando con veintisiete unidades experimentales, como se detalla en el análisis de varianza que se muestra la Tabla 7.

Se realizó un análisis de la varianza sobre la eficiencia de la molienda, presentado en la Tabla 8; las pérdidas de molienda se analizan en las Tablas 9 y 10, y el análisis relacionado con el tiempo empleado en este proceso, se observa en la Tabla 11.




Los análisis de la varianza se realizaron con el fin de conocer la relación de la eficiencia del molino entre la biomasa, tomando en cuenta las diferencias y las pérdidas por flujo de biomasa y por los cambios de humedad, las cuales se hicieron de forma manual; sin embargo, fueron significativas entre estos tres tratamientos (T1-T3) en la experimentación con astillas, con una eficiencia del proceso de molienda, arrojando un coeficiente de Fisher del 84.6 %, con una probabilidad de ocurrencia menor al 0.01 % y con un coeficiente de variación de 3.89 %, permitiendo obtener una alta confiabilidad, con prueba de Tukey al 5 % (ver Tabla 9). El valor total de las medias de tratamientos T1-T3 van de 0.78 % a 0.98 %, y las diferencias se deben a que el flujo de biomasa no es constante, esto en el mismo orden del análisis de Tukey en relación con el tiempo de 122.13-80.27 segundos. Lo anterior implica establecer parámetros que cumplan con las necesidades del prototipo y brindar esta alternativa de solución relacionada con el campo mecánico e industrial, basada en el modelo matemático obtenido [51].
Debido al desplazamiento y la resistencia de los materiales dúctiles del triturador de biomasa, son considerados los valores seguros de carga de la biomasa, los cuales comparten similitudes con otros estudios realizados sobre el diseño en máquinas móviles usando CAD como herramienta informática, según el modelo matemático [52].
Los datos reportados del análisis de varianza del trabajo realizado por el motor en el equipo triturador de biomasa se muestran en las Tablas 12 y 13.


Los resultados obtenidos del análisis de la varianza en el proceso de molienda fueron diferentes y significativos entre los tres tratamientos sugeridos en el experimento según el tamaño de la astilla de (3-5-8 cm), con una prueba estadística de Fisher de 101.57 y con una probabilidad de ocurrencia menor a 0.01 %, con confianza del 99 %, y un coeficiente de variación de 6.59 % con probabilidad aceptable. Este reconocimiento de confiabilidad se basa en la prueba de Tukey al 5 % de los valores de cada tratamiento indicado en el trabajo T1-T3, de 183.20120.40 J. Según se indica, el motor funciona de manera más eficiente en una astilla de 8 cm de largo, con un volumen de 16 cm3, como menciona [40]. Asimismo, la razón de la pérdida de energía es por el ruido que genera el equipo debido al impacto entre las cuchillas y el material triturado, y a la deficiencia del sistema de alimentación; el rendimiento del motor del equipo no presenta diferencias significativas entre los tratamientos, que fueron del 33.33 %, indicando que la efectividad y la productividad de la fuente de poder son inferiores al trabajo desarrollado. El único objetivo fue utilizar el 100 % de la biomasa en instalaciones con trituradores similares en hileras, como secadores de tipo tornillo con tecnologías modernas para la producción de energía [53]. Sin embargo, el análisis del software Autodesk Inventor muestra la importancia de la seguridad y la resistencia de las cuchillas cortantes de biomasa, teniendo en cuenta la medida de las partículas y la luz de malla de (75-300 μm), tal y como señala la norma internacional ASTM E11 [54]. De esta manera se ajusta el modelo matemático de la simulación, como se muestra en la ecuación (9): El modelo matemático de la eficiencia total de la molienda se muestra en (9).

De este modo se obtuvo un modelo matemático del proceso de trituración de biomasa basado en diferentes tamices de procesamiento y tipos de diseños desarrollados para estos fines energéticos [53], como se muestra en (10).

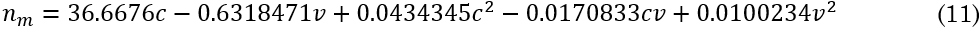
Con esta ecuación se puede determinar el tamaño de la partícula y la cantidad necesaria para el aprovechamiento agroindustrial de la biomasa forestal. Sin embargo, según (9) y (10), la importancia radica en conocer las propiedades del equipo para diseñar el prototipo de la biomasa, lo cual afecta su eficiencia con una probabilidad de ocurrencia menor al 0.01 % y con un nivel de confianza del 99 %, con un coeficiente de variación de 6.59 %, lo que permitió contar con esta confiabilidad en el proceso de molienda de la biomasa forestal a escala de laboratorio, similar al modelo ajustado en unidades de nanómetros (nm) del sistema de cribado que se muestra en (11) [55].

Según un análisis de simulación y modelación realizado con el software Autodesk Inventor, el prototipo de triturador de biomasa forestal cuenta con un factor de seguridad de 0.8964 μL con una masa de 6.9 kg y representa un desplazamiento de 0.0684822, según las propiedades similares al número de piezas [56]. Donde nm (%) es la eficiencia de la trituración mecánica, v (r. p. m.) es la velocidad de rotación del molino y c (%) es la carga del objeto de trituración (bolas), obteniendo un 83.69 %, valor muy cercano al dado por el sistema molino-ciclón a las reglas de diseño y comparan las eficiencias energéticas semejante al índice dado por el sistema de molino-ciclón que cuenta con un equipo de molino para la trituración de biomasa forestal que beneficiará a la industria de energía renovable del Ecuador y América Latina.
Se llevó a cabo el diseño y análisis mediante la modelación y simulación del software Autodesk Inventor 2010, según los datos obtenidos de la molienda y la eficiencia, determinando la tensión de acuerdo con el número de piezas y su estado físico de gravedad, estática, eliminación de los modos del cuerpo rígido, así como la configuración de la malla, obteniendo las propiedades mecánicas necesarias para su construcción. Por otro lado, se evaluó la elasticidad y el diseño comparando su eficiencia del rendimiento, el cual estuvo entre el 91.23 % y el 94.95 %, basándose en el factor de seguridad, con relación al rodamiento y a toda la estructura del equipo, construido según las normas internacionales UNE-EN ISO 17827-2. De acuerdo con la estructura del equipo, se logró una eficiencia de confianza del 95 %, con una capacidad de molienda superior a 240 g/min al procesar biomasas forestales.
Al comparar con otros equipos el diseño y las propiedades físicas y mecánicas de la masa (6.95 kg), área (119338 mm2), volumen (885901 mm3) y control de gravedad (x=-3.37mm; y=-2.96 mm; z=-103.06 mm), su desplazamiento varía entre 0 mm y 0.07 mm, con un factor de seguridad mínimo y máximo de 0.89 μL, lo que ofrece una excelente eficiencia en su rendimiento al triturar las diferentes biomasas forestales de la Amazonia ecuatoriana. Adicionalmente, se obtuvo un modelo matemático basado en la molienda de la biomasa con mayor eficiencia y una probabilidad de ocurrencia menor al 0.01 %, con un nivel de confianza del 99 % y un coeficiente de variación del 6.59 %, lo que permitió contar con una mayor confiabilidad en el proceso de molienda de biomasa forestal a escala de laboratorio, lo cual se ratifica el haber logrado contar con un equipo diseñado y fabricado localmente para el aprovechable de biomasa en el campo industrial con fines energéticos en la región amazónica ecuatoriana.
Cómo citar / How to cite: J. E. González, É. G. Salazar-Álvarez, D. Yánez Orozco, E. C. Casco Guerrero, D. Zambrano Vera, C. E. Morillo Robles, and T. J. Enríquez Ujukam, “Modelación y simulación computacional de una trituradora de biomasa forestal en Ecuador,” TecnoLógicas, vol. 27, no. 61, e3244, 2024. https://doi.org/10.22430/22565337.3244
https://revistas.itm.edu.co/index.php/tecnologicas/issue/view/142 (html)
.
Los autores agradecen a la Universidad Estatal Amazónica por haber aprobado el Proyecto de Investigación y las otras Universidades Ecuatorianas que forma parte de esta investigación, en lo referente a la esta contribución de culminar esta construcción del equipo para la molienda de la biomasa forestal en el Ecuador, este proyecto fue construido con los propios fondos de los investigadores.
Todos los autores declaran que no tienen conflicto de interés con el contenido de esta investigación y tampoco con el equipo que actualmente presta servicios para la molienda de la biomasa forestal a diversos estudiantes universitarios del Ecuador.
Juan Elías González: dirección y estructura de investigación del equipo triturador de biomasa forestal hasta llegar al proceso de publicación de este artículo.
Édgar Gualberto Salazar-ÁlvarezyErika Clara Casco: introducción y metodología, investigación, redacción y edición.
Daniel Yánez, David Zambrano Vera y Morillo Robles Campo: diseño mecánico y estructural para la construcción del equipo.
Thalía Janeth Enríquez Ujukam: pruebas del equipo para evaluar la eficiencia y confiabilidad del equipo.
jgonzalez@uea.edu.ec


















