Artículos Científicos
Recepción: Junio 2016
Aprobación: Marzo 2017
DOI: 10.18273/revbol.v39n2-2017003
RESUMEN: Se aborda un problema de estabilidad de taludes, mediante la utilización de un modelo basado físicamente con la ecuación diferencial parcial HSB (Hillslope-Storage Boussinesq); utilizada para evaluar deslizamientos superficiales, tomando información de: parámetros geotécnicos, perfil de la ladera y precipitación. Esta ecuación, en este trabajo, se resolvió utilizando métodos de diferencias finitas en el ambiente del lenguaje de python. Se aplicó a una zona teórica y se calculó el factor de seguridad, considerando cinco periodos continuos de precipitación; estos datos fueron tomados de los registros de la estación del EMAS de la ciudad de Manizales. Como resultado se tiene un monitoreo a la estabilidad de la ladera a través del factor de seguridad, influenciado en periodos de 30 minutos, permitiendo realizar un monitoreo de la amenaza de deslizamientos de suelos superficiales por el factor de precipitación.
Palabras clave: Ecuación HSB, Deslizamientos, Factor de seguridad.
ABSTRACT: The present study addresses a problem of slope stability by using a physically based model with the HillslopeStorage Boussinesq (HSB) partial differential equation. This is used to evaluate shallow landslides, taking information from geotechnical parameters, slope profile, and rainfall. In this work, the equation was solved using finite difference methods in Python, by applying it to a theoretical area and calculating the safety factor. Five continuous periods of rainfall were considered in such equation. This data was taken from the records of the Automatic Weather Station in Manizales, Colombia. As a result, a monitoring of the stability slope through the safety factor was obtained, which was influenced in periods of 30 minutes, allowing a supervision of the surface soils landslide hazard by rainfall factor.
Keywords: HSB equation, Landslides, Safety factor.
INTRODUCCIÓN
Los fenómenos de remoción en masa son de gran interés de estudio por las pérdidas económicas, ambientales y en vidas humanas que ocasionan en diferentes lugares del mundo, EEUU, China, Gran Bretaña, Italia, Holanda, Japón, España, Brasil, Perú, Colombia entre otros.
Diversas instituciones científicas han surgido para investigar los fenómenos en remoción en masa, entre ellas tenemos: US Geology Survey (USGS), NLIC (National Landslide Information Center), IDEAM (Instituto de Hidrología, Meteorología y Estudio Ambiental), ICL (Internacional Consortium on Landslides), IPL (Internacional Programme on Landslides), etc. Estos centros de investigación han realizado estudios acerca de los tipos de movimientos de masa, sus factores detonantes, metodologías de análisis estáticos y dinámicos de taludes, como también metodologías de alerta temprana como estrategia de prevención de desastres, y aún se siguen construyendo y mejorando modelos matemáticos junto a programas de cómputo como Slope, 3DSlopeGis, Ilwisi, Shalstab, Mufte, Flowe3d, Geoflow, Zmap, Gslope, TRIGRS, etc.
El término deslizamiento definido por Scheidegger (1998), se interpreta como modificaciones del terreno dentro del ciclo geomorfológico continuo que corresponden a la respuesta normal del sistema debido a complejos parámetros exogénicos (meteóricos y antrópicos) y endogénicos (composición, estructura y actividad tectónica). Los procesos de inestabilidad o la susceptibilidad a procesos de remoción en masa, está asociada a las condiciones geomorfológicas locales (pendiente, uso del suelo y procesos geomorfológicos activos), hidrología y condiciones geológicas. Posteriormente factores como la precipitación, actividad humana y sismicidad, detonan movimientos lentos en rápidos movimientos de masa o roca. Scheidegger agrupa dos tipos de variables; la variable cuasi-estáticas que contribuyen a la susceptibilidad como son: geología, pendientes y aspectos de las laderas; la segunda variable es dinámica, que contempla la precipitación y los sismos. Las cuales detonan los deslizamientos en áreas susceptibles a esta amenaza.
ESTADO DEL ARTE
Existen diferentes métodos de estudios con respecto a la estática de laderas, para establecer criterios de estabilidad, el método de equilibrio límite que establece ecuaciones de fuerza y de momentos para cada rebanada que representa una partición del terreno en el modelo.
Entre estos modelos se encuentra el método de rebanadas de Fellenius, método modificado de Bishop, método equilibrio de fuerzas, método de Morgenstern and Price, método de Spencer, método generalizado de Janbu (Huang, 1983; Abramson et al., 2002), y el método de elementos de frontera BEM (Morales, 2004). Este último también aplica para estudios de la dinámica de estabilidad de taludes. En el estudio cinemático se encuentra el método de elementos finitos (Griffiths and Lane, 1999; Smith and Griffiths, 2004), que permite modelar el comportamiento no lineal de los materiales, sin embargo no predice el momento de inicio del deslizamiento. Para ello, sería necesario de la formulación de las ecuaciones de Navier-Stokes con superficie libre y contornos móviles, así como una ecuación constitutiva tipo fluido no lineal (González-Gómez, 2003).
Un método con otro enfoque es conocido como elementos discretos, basado en el análisis de movimiento de cada una de las partículas en que se discretiza el continuo, sometidas a fuerzas interiores y de interacción con las demás partículas. Este método fue introducido por Cundall (1971), para analizar los problemas mecánicos de las rocas, después fue aplicado al estudio de los suelos por Cundall y Strack (1979) y González-Gómez (2003).
Otros métodos aplicados a los estudios de movimientos de masa, buscan identificar zonas susceptibles a deslizamientos como es el caso de las redes neuronales que permiten asignar un índice probabilístico a un mapa de susceptibilidad generado a través de los sistemas de información geográfico (Ermini et al., 2005; Chauhan et al., 2010; Pradhan et al., 2010). El método de Montecarlo permite analizar situaciones de zonas que tiene un mecanismo de falla compuesto y falla traslacional (Ten Brink et al., 2009).
Los deslizamientos de suelos son frecuentes en nuestras cordilleras colombianas, dadas las condiciones geológicas, geográficas, geomorfológicas y climáticas que lo conforman. Los factores detonantes importantes en nuestra zona Andina, son: la sísmica, la lluvia y la intervención humana, que contribuyen a la ocurrencia de deslizamientos.
La presencia de lluvias y el efecto de la dinámica hidrológica que actúa bajo la superficie del suelo, es conocido como una amenaza natural de primer orden. Estudios relacionan los eventos de deslizamientos con las precipitaciones, considerando lluvia diaria, antecedentes de lluvia, que son detonantes para los deslizamientos (Lumb, 1975; Crozier, 1986).
En Colombia, Mayorga-Márquez (2003), Castellanos y González (1996), Narváez-Bravo y León-Aristízabal (2001), han estudiado el régimen anual de lluvias y el aumento de la frecuencia de los deslizamientos, relacionando la curva bimodal de las precipitaciones con el registro de deslizamientos, buscando umbrales críticos de lluvia y lluvia acumulada, para ello se han apoyado en técnicas estadísticas.
Se han construidos modelos para comprender esta dinámica como la presentada en Manizales en el trabajo de Terlien (1996), quién propuso un modelo hidrológico con aplicación directa en estabilidad de laderas conocido como HYSWASOR, de características unidimensionales, aplicando elementos finitos. Otros modelos han sido construidos, como es el caso de la propuesta de Iverson (2000), quien consideró la dinámica de la infiltración, la conductividad hidráulica, el ángulo de la pendiente, la profundidad vertical y el flujo de dirección. Vásquez (2008), analiza la respuesta hidrológica de taludes en caso unidimensional, bidimensional y tridimensional, mediante la resolución numérica de la ecuación de Richards que describe el flujo en medios parcialmente saturados.
Además, se identifica la importancia de los diferentes detonantes en sistemas hidrológicos para flujos de desechos, deslizamientos profundos y superficiales, donde se muestra que lo influyente para el caso de deslizamientos superficiales (1-2m), es dado por la infiltración de la lluvia, el avance del frente húmedo, la percolación, evapotranspiración, ángulo de pendiente, contenido de humedad y la respuesta rápida de subida de las aguas subterráneas en las tormentas individuales y la clara dependencia de los datos meteorológicos (Van Asch et al., 1999; Gavin and Xue, 2008). En el caso de deslizamientos profundos (5-20 m), son dados por cambios en la presión de poros positiva sobre el plano deslizante inducido por los cambios de nivel de las aguas subterráneas.
Otros trabajos relacionados con los deslizamientos superficiales consideran modelos hidrológicos y la estabilidad de ladera. Algunos de ellos utilizan sistemas de información geográfico HidroSIGV.3 (Vélez et al., 2005).
Con el modelo de pendiente infinita y el modelo hidrológico e incorporando la evapotranspiración, el caudal vertical y horizontal, el cambio de la conductividad con la profundidad, datos de precipitación, datos de un modelo de elevación digital y la estimación de la profundidad del suelo con el modelo de Dietrich et al. (1995) documentado por Casadei et al. (2003).
En una revisión sobre el estudio de movimientos en masa detonados por lluvias (Aristizábal et al., 2010), resaltan las siguientes observaciones: (1) Los mecanismos presentes en los movimientos en masa detonados por lluvias son: aumento rápido de la presión de poros, infiltración, la succión, intensidad y duración de la lluvia, nivel freático, la anisotropía de la conductividad hidráulica y el frente húmedo. (2) Las variables involucradas son: propiedades del suelo, topografía saturación del suelo, cohesión, procesos hidrológicos, la climatología y actividades humanas. (3) En modelos estáticos para la definición de umbrales críticos de lluvias, se utiliza la lluvia acumulada, lluvia antecedente, duración e intensidad de lluvia. (4) En análisis hidrológicos con métodos físicos de modelos conceptuales están; TOPOG, TOPMODEL, TRIGRS, GREEN-AMPT. (5) En modelos geotécnicos están: SINMAP, SHALSTAB, LISA.
Aristizabal y sus investigadores proponen futuros lineamientos: (1) Investigar los parámetros para los modelos hidrológicos en suelos no saturados. (2) Analizar mecanismos de falla al modelo de Coulomb. (3) Incorporar datos de lluvia transitorios, tales como duración y la intensidad en los modelos físicos, presentando deficiencias en la resolución espacial de la lluvia. (4) El uso de modelos estadísticos y físicos para la predicción de movimientos de masa detonados por lluvias en sistema de alerta temprano.
El modelo hidrológico de la ecuación de Richard, propuesta en 1931, que combina la ley de Darcy con la ecuación de continuidad, bajo el supuesto que hay una relación lineal entre la densidad de flujo de masa y el gradiente hidráulico, permite modelar el flujo de aguas en zonas no saturadas. Los investigadores Fan y Bras (1998), trabajan las mismas ideas de la ecuación de Richard, pero hacen una modificación al proponer una función de capacidad de humedad del suelo, permitiendo disminuir los costos operacionales de computo, al bajar una dimensión la ecuación de Richard y facilitar la aplicación a diferentes perfiles de laderas, utilizando una función polinomial de segundo orden, luego emplean el método de las características para encontrar la solución.
El anterior trabajo es ampliado utilizando funciones de Di Stefano y de Evans para los perfiles de las laderas, mostrando la función respuesta de drenaje para los nueve tipos de laderas (Troch et al., 2002). Los anteriores investigadores trabajaron con la hillslopestorage Boussinesq (HSB), ecuación que modela el flujo sub-superficial en el cual se incluye la inclinación de la ladera para obtener diferentes escenarios con condiciones iniciales de porosidad, drenaje y de recarga (Troch et al., 2003). También la ecuación HSB en un caso analítico con una función ancho de ladera exponencial (Troch et al., 2004). Otras aplicaciones de la ecuación HSB ha sido para determinar el tiempo de viaje del flujo en el subsuelo de cuencas (Sabzevari et al., 2010).
MARCO TEÓRICO
Los modelos determinísticos o modelos de caja blanca, son basados sobre leyes físicas de conservación de masa, energía, fuerzas de moméntum y de equilibrio. Los parámetros usados en estos modelos son parámetros físicos que pueden ser determinados en el campo o en el laboratorio. Estos modelos permiten incluir explícitamente factores dinámicos que controlan la detonación de los deslizamientos, por esta razón, ellos permiten pronosticar distribuciones temporales y espaciales en los deslizamientos superficiales. Los métodos basados físicamente para deslizamientos superficiales son conformados por un análisis de estabilidad con pendiente infinita y un modelo hidrológico.
Estos modelos permiten incluir información dinámica tal como el grado de saturación, procesos hidrológicos, la cohesión, clima y actividad humana (Crosta and Frattini, 2003). En otro trabajo se considera como la detonación de los deslizamientos depende de las variables dinámicas como condiciones hidrológicas y el cambio de uso de suelo, este modelo acopla análisis de estabilidad con pendiente infinita y modelos hidrológicos capaz de modular la altura del nivel freático en condiciones estables y casi-estables con un flujo de agua en el subsuelo paralela a la pendiente ( Montgomery and Dietrich, 1994).
Factor de Seguridad
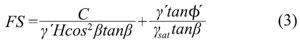
El uso del cálculo del factor de seguridad permite establecer un criterio de estabilidad a los taludes naturales de excavaciones y terraplenes compactados. Esta comprobación implica la determinación de la tensión de cizallamiento desarrollado a lo largo de la superficie de ruptura más probable y comparándolo con la resistencia a la cizalladura del suelo. El Factor de Seguridad (FS) se define como:

Para un valor de FS > 1, indica estabilidad, mientras sea FS < 1 indica inestabilidad. Para el caso de la estabilidad de una pendiente infinita sin presencia de aguas se tiene que el FS es dado por:

Siendo C la cohesión, γ peso unitario del material, H la profundidad donde se encuentra la superficie de falla, β la inclinación del terreno y
ángulo de fricción interna. En la situación de presencia de agua por infiltración, aparece la presión de poros positiva en la FS.

Siendo γˊ=γsat -γw y conocida como el peso unitario efectivo del suelo (Das, 2006; Vittorio, 2011).
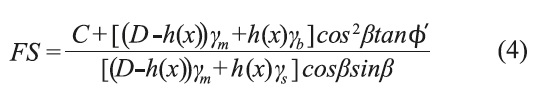
El estudio del efecto de la topografía sobre el deslizamiento superficial inducido por lluvias en las laderas, se considera la curvatura en la dirección del gradiente (perfil de la curvatura) y la dirección perpendicular para el gradiente (contorno). El perfil de la curvatura es importante porque este controla los cambios de velocidad del flujo de masa hacia debajo de la pendiente y el contorno o plano de curvatura define la convergencia topográfica el cuál es un control importante sobre la concentración del flujo en el subsuelo (Troch et al., 2002). En el modelo de pendiente infinita establece la condición que el flujo de agua subterránea es paralelo a la superficie. Bajo estas hipótesis se expresa el factor de seguridad (Ecuación 4) (Wu and Sidle, 1995; Van Beek, 2002).

Donde D es la profundidad al plano de corte y γm , γs y γb son respectivamente la densidad de húmeda, saturación y boyante.
Geometría de la Ladera
Es conocida la importancia de la geometría de la ladera, para ello se han creado funciones que permitan modelar la forma de la ladera, tal es el caso de la función propuesta por Evans (1980).

Donde z(x,y) es la elevación, x es la distancia horizontal medida en la dirección longitudinal aguas abajo de la superficie, y es la distancia horizontal desde el centro de pendiente en la dirección perpendicular a la dirección de la longitud, E es la elevación mínima de la superficie por encima de un punto arbitrario, H se define la diferencia de elevación máxima, L es la longitud total de la superficie, n es un parámetro del perfil de la curvatura y w es un parámetro de la forma del plano.
Una segunda propuesta para el perfil de curvatura (Di Stefano et al., 2000).

Donde H es la diferencia de elevación de la capa rocosa a lo largo de la ladera, L es la correspondiente longitud de la pendiente y el exponente n define el perfil de la curvatura. El parámetro E define la referencia datum para la elevación. Note que cuando E=0, esta ecuación asume que el datum de referencia coincide con el afloramiento de la roca de fondo en la parte baja de la ladera. Los valores de n >1 define el perfil cóncavo, n < 1 define el perfil convexo y para n = 1 el perfil es lineal.
Una tercera propuesta es la presentada en el trabajo de Fan y Brass (1998). Donde utilizan una función polinomial de segundo orden para describir los diferentes perfiles de la ladera.

El parámetro γ tiene asignado la responsabilidad de medir la curvatura de la pendiente, sí γ=0 significa que la pendiente es constante y si γ > 0 la pendiente es cóncava hacia arriba.
Adicionalmente introducen una variable denominada capacidad de almacenamiento en el subsuelo Sc (x,t), que permite bajar la dimensión de la ecuación diferencial parcial de Richard, es muy difícil de resolver. Siendo Sc (x,t) = fW(x)D(x), donde es la porosidad, W(x) es la función ancho de la ladera, D(x) es un promedio de la profundidad del suelo (FIGURA 1).

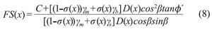
Un método para calcular el factor de seguridad en una pendiente infinita con una zona no saturada fue propuesta por Talebi et al. (2007, 2008). Se asume que el nivel freático, el peso unitario de húmedo y la cohesión del suelo dependen de la coordenada x. La profundidad del suelo y el ángulo son contantes, considerando la ecuación 4, obtenemos:

Siendo
Modelo Hidrológico HSB
El modelo HSB proviene de colapsar la ecuación de Richard de tres dimensiones a dos dimensiones, al introducir la variable capacidad de humedad del suelo en la dimensión vertical de la ladera Sc (x,t). Esta define el espesor del espacio de poros a lo largo de la ladera. La ecuación HSB expresa la dinámica del perfil de la capacidad de almacenamiento de agua en el subsuelo a lo largo de una ladera de poca profundidad, permite incluir información del perfil de la ladera y la influencia del factor externo de la lluvia (N) (FIGURA 2).
Se presentan algunos pasos importantes para obtener la ecuación HSB (Troch et al., 2003). El nivel freático es medido desde la capa impermeable subyacente representado por h, x mide una longitud espacial paralela a la capa impermeable (FIGURA 1).
Al combinar la ecuación de Darcy junto con la ecuación de continuidad se obtiene la ecuación 9 de Boussineq ( Childs, 1971).

Ahora se introduce la función de almacenamiento de humedad, definido como S(x,t) = fW(x)h(x,t). El flujo de descarga volumétrica Q(x,t) = W(x)q, siendo q la ley de Darcy, al considerar la ecuación de continuidad:

A partir de la ecuación de Darcy y utilizando las ecuaciones 9 y 10, se obtiene la ecuación HSB.

La ecuación diferencial parcial 11, representa la dinámica de la saturación en la capa permeable S(x,t), si la S(x,t) > Sc (x,t) entonces representa una saturación del suelo.

RESULTADOS DE LA PREDICCIÓN DE LA SATURACIÓN DE LA ZONA TEÓRICA
Se consideró un escenario teórico de ladera plana, con un W(x) constante de 50 m, con una inclinación de la ladera β=26°, ángulo intrínseco de β/
=0,5, cohesión efectiva de 7 KNm-2, porosidad f = 0,3 y conductividad hidráulica k=24 mh-1.
La información de precipitación corresponde a un día de la estación meteorológica del Emas de la ciudad de Manizales, esta entrega datos de temperatura, humedad relativa, evapotranspiración y precipitación cada 5 minutos, esta última medida se modificó a unidades de horas.
La información de la precipitación se tomó cada 6 datos del informe que entrega la estación, estos datos fueron facilitados por el Instituto de Estudios Ambientales (IDEA) de Manizales y se promedió para definir un periodo de precipitación de T=0,5 horas, luego se soluciona la ecuación diferencial parcial 11, con una condición inicial del 10% de Sc (x), una condición de frontera S(x=0,t)=0 y en x=L,
, siendo
y
.
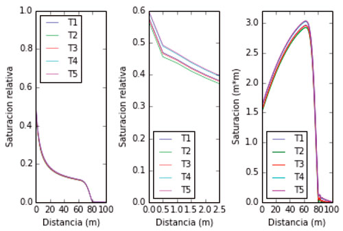
En la FIGURA 3, se presenta el resultado de la ecuación 11, a lo largo del perfil de la ladera. Se resolvió la ecuación 11 utilizando método de diferencias finitas con lenguaje python en la programación numérica, para los T periodos continuos, con el archivo técnico que entrega la estación meteorológica se obtuvo en cada periodo la precipitación, T1= 0,6 mm, T2= 0,2 mm, T3= 0,4 mm, T4= 0,5 mm, T5= 0,7 mm. Con una profundidad teórica D que varía entre 0,2 m en la parte baja de la ladera y 2 m en la parte alta. Se obtuvo los siguientes resultados de factores de seguridad reportados en la FIGURA 4.


Las curvas de la FIGURA 4 se obtuvieron a partir de la ecuación 8, al considerar γm = 1000 Kgm-3, γs = 1600 Kgm-3 y γb = 600 Kgm-3, siendo respectivamente el peso específico del agua, saturación y boyante (Talebi et al., 2007). Para este escenario se encuentra estable la ladera a lo largo del perfil para los periodos continuos de precipitación.
CONCLUSIONES
Se integra datos meteorológicos de precipitación de la información entregada por la estación del EMAS en Manizales y parámetros referentes al suelo para una ladera teórica, con el propósito de tener una continua información de la estabilidad de la ladera, a través del factor de seguridad, para un periodo de monitoreo sobre la ladera de interés. La ecuación HSB depende de los parámetros geotécnicos, creando la necesidad de realizar las mediciones de estos, en el uso de este modelo basado físicamente.
Este trabajo está enfocado a buscar herramientas que permitan incorporar datos de precipitación en modelos físicos, para la predicción de movimientos de masa detonados por lluvias para integrarlos en un sistema de alerta temprano.
La calibración de esta propuesta se puede a través del caudal de salida de la ladera.
Con esta metodología sugerimos un uso a los datos meteorológicos que nos brinda las estaciones meteorológicas, para contribuir con la gestión del riesgo por desastres para la protección de nuestras comunidades, vías principales y secundarias, donde se soporta una gran parte nuestra economía.
AGRADECIMIENTOS
Agradecimientos al IDEA Manizales por facilitar los datos meteorológicos de la estación del EMAS para ser utilizados en este trabajo y a los profesores Jorge Julián Vélez (Universidad Nacional de Colombia, Manizales.), Mariano Marcano Velázquez (Universidad de Puerto Rico), Hermes Martínez (Universidad Sergio Arboleda) por los valiosos aportes que permitieron mejorar el presente manuscrito.
REFERENCIAS
Abramson, L.W., Lee, T., Sharma, S., and Boyce, G.M. 2002. Slope stability and stabilization methods. 2nd edition, John Wiley and Sons. New York, 45p.
Aristizábal, E., Martínez, H., y Vélez, J.I. 2010. Una revisión sobre el estudio de movimiento en masa detonada por lluvias. Revista de la Academia Colombiana de Ciencias Exactas, Físicas y Naturales, 34(131): 209-227.
Casadei, M., Dietrich, W.E. and Miller, N.L. 2003. Testing a model for predicting the timing and location of shallow landslide initiation in soil-mantled landscapes. Earth Surface Processes and Landforms, 28: 925-950.
Castellanos, R., y González, A. 1996. Relaciones entre la lluvia anual y la lluvia crítica que dispara movimientos en masa. IX Jornadas Geotécnicas de la Ingeniería Colombiana. Bogotá. pp. 462-470.
Chauhan, S., Sharma, M., Arora, M., and Gupta, N. 2010. Landslide susceptibility zonation through rating derived from Artificial Neural Network. International Journal of Applied Earth Observation and Geoinformation, 12(5): 340-350.
Childs, E.C. 1971. Drainage of groundwater resting on a sloping bed. Water Resources Research; 7(5): 1256-1263.
Crosta, G.B., and Frattini, P. 2003. Distributed modelling of shallow landslides triggered by intense rainfall. Natural Hazards and Earth System Sciences, 3: 81-93.
Crozier, M.J. 1986. Landslides: Causes, consequences and environment. Croom Helm. London, 272p.
Cundall, P.A. 1971. A computer model for simulating progressive large scale movements in blocky rock systems. Proceedings of the international symposium on rock fracture, Nancy, October 1971. International Society for Rock Mechanics (ISRM), vol 1, paper no. II-8, pp 129-136.
Cundall, P., and Strack, O. 1979. A discrete numerical model for granular assemblies. Geotechnique, 29(l): 47-65.
Das, B.M. 2006. Principles of geotechnical engineering. 6th edition, Thomson. India, 480p.
Dietrich, W.E., Reiss, R., Hsu, M., and Montgomery, D.R. 1995. A process-based model for colluvial soil depth and shallow landsliding using digital elevation data. Hydrological Processes, 9(3-4): 383-400.
Di Stefano, C., Ferro, V., Porto, P., and Tusa, G. 2000. Slope curvature influence on soil erosion and deposition processes. Water Resources Research, 36(2): 607-617.
Ermini, L., Catani, F., and Casagli, N. 2005. Artificial Neural Networks applied to landslide susceptibility assessment. Geomorphology, 66(1-4): 327-343.
Evans, I.S. 1980. An integrated system of terrain analysis and slope mapping. Zeitschrift für Geomorphologie, Supplementband, 36: 274-295.
Fan, Y., and Bras, R.L. 1998. Analytical solutions to hillslope subsurface storm flow and saturation overland flow. Water Resources Research, 34(4): 921-927.
Gavin, K., and Xue, J. 2008. A simple method to analyze infiltration into unsaturated soil slopes. Computers and Geotechnics, 35(2): 223-230.
González-Gómez, E. 2003. Aspectos geomecánicos de los deslizamientos rápidos: Modelación y diseño de estructuras de contención. Tesis doctoral, Universidad Politécnica de Madrid, España. 427p.
Griffiths, D.V., and Lane, P.A. 1999. Slope stability analysis by finite elements. Geotechnique, 49(3): 387-403.
Huang, Y.H. 1983. Stability analysis of Earth Slopes. Van Nostrand Reinhold Company Inc. New York, 57p.
Iverson, R.M. 2000. Landslide triggering by rain infiltration. Water Resources Research, 36(7): 1897-1910.
Lumb, P. 1975. Slope failure in Hong Kong. Quarterly Journal of Engineering Geology and Hydrogeology, 8: 31-65.
Mayorga-Márquez, R. 2003. Determinación de umbrales de lluvia detonante de deslizamientos en Colombia. Tesis, Universidad Nacional de Colombia, Bogotá. 207p.
Montgomery, D.R., and Dietrich, W.E. 1994. A physically based model for the topographic control on shallow landsliding. Water Resources Research, 30(4): 1153-1171.
Morales, W.F. 2004. Análisis estático y dinámico de estabilidad de taludes por medio de elementos de frontera. Tesis, Universidad Nacional de Colombia. Bogotá. 195p.
Narváez-Bravo, G., y León-Aristízabal, G. 2001. Caracterización y zonificación climática de la región Andina. Meteorología Colombiana, 4: 121-126.
Pradhan, B., Lee, S., and Buchroithner, M. 2010. A GIS-based back-propagation neural network model and its cross-application and validation for landslide susceptibility analyses. Computers, Enviroment and Urban Systems, 34(3): 216-235.
Sabzevari, T., Talebi, A., Ardakanian, R., and Shamsai, A. 2010. A steady-state saturation model to determine the subsurface travel time (STT) in complex hillslopes. Hydrology and Earth System Sciences, 14(6): 891-900.
Scheidegger, A.E. 1998. Tectonic predesign of mass movements with examples from the Chinese Himalaya. Geomorphology, 26(1-3): 37-46.
Smith, I.M. and Griffiths, D.V. 2004. Programming the finite element method. 4th edition, John Wiley and Sons. West Sussex, 646p.
Talebi, A., Uijlenhoet, R., and Troch, P. 2007. Soil moisture storage and hillslope stability. Natural Hazards and Earth System Sciences, 7: 523-534.
Talebi, A. 2008. The relation between geometry, hydrology and stability of complex hillslopes examined using low-dimensional hydrological models. Doctoral Thesis, Wageningen University and Research Center, Wageningen, The Netherlands. 120p.
Talebi, A., Troch, P., and Uijlenhoet, R. 2008. A steadystate analytical slope stability model for complex hillslope. Hydrological Processes, 22(4): 546-553.
Ten Brink, U., Barkan, R., Andrews, B., and Chaytor, J. 2009. Size distributions and failure initiation of submarine and subaerial landslides. Earth and Planetary Science Letters, 287(1-2): 31-42.
Terlien, M. 1996. Modelling spatial and temporal variations in rainfall - triggered landslides. PhD thesis, International Institute for Aerospace Survey and Earth Sciences (ITC). Enschede, the Netherlands. 233p.
Troch, P., Van Loon, E., and Hilberts, A. 2002. Analytical solutions to a hillslope-storage kinematic wave equation for subsurface flow. Advances in Water Resources, 25(6): 637-649.
Troch, P., Paniconi, C., and Van Loon, E. 2003. Hillslope-storage Boussinesq model for subsurface flow and variable source areas along complex hillslopes: 1. Formulation and characteristic response. Water Resource Research, 39(11): 1316.
Troch, P., Van Loon, E., and Hilberts, A. 2004. Analytical solution of linearized hillslope-storage Boussinesq equation for exponential hillslope width function. Water Resource Research, 40(8).
Van Asch, T., Buma, J., and Van Beek, L. 1999. A view on some hydrological triggering systems in landslides. Geomorphology, 30(1-2): 25-32.
Van Beek, L. 2002. Assessment of the influence of changes in land use and climate on landslide activity in a Mediterranean environment. PhD thesis, Faculteit Ruimtelijke Wetenschappen, Universiteit Utrecht, Utrecht. 363p.
Vásquez, L.R. 2008. Modelación numérica de la respuesta hidrológica de taludes. Tesis de Maestría, Universidad Nacional de Colombia, Bogotá. 117p.
Vélez, J.I., Villarraga, M.R, Alvarez, O.D, Alarcón, J.E., y Quintero, F. 2005. Modelo distribuido para determinar la susceptibilidad al deslizamiento superficial por efecto de tormentas intensas y sismos. Boletín de Ciencias de la Tierra, 17: 85-96.
Vittorio, F. 2011. Introduction to the physics of landslides. Springer. New York, 408p.
Wu, W., and Sidle, R.C. 1995. A distributed slope stability model for steep forested basins. Water Resources Research, 31(8): 2097-2110.
Notas