Artículos Científicos
Petrografía, geoquímica y geocronología U-Pb de las rocas volcánicas y piroclásticas de la Formación Noreán al NW del Macizo de Santander, Colombia
Petrography, geochemistry and U-Pb geochronology of volcanic and pyroclastic rocks of the Noreán Formation in the NW of the Santander Massif, Colombia
Petrografía, geoquímica y geocronología U-Pb de las rocas volcánicas y piroclásticas de la Formación Noreán al NW del Macizo de Santander, Colombia
Boletin de Geología, vol. 41, núm. 1, pp. 29-54, 2019
Universidad Industrial de Santander
Recepción: 23 Marzo 2018
Aprobación: 13 Agosto 2018
RESUMEN: Las rocas volcánicas y piroclásticas de la Formación Noreán al NW del Macizo de Santander, consisten de lavas desde andesíticas hasta riolíticas y de tobas vítreas, líticas y cristalinas respectivamente. También hay diques y cuerpos hipoabisales principalmente andesíticos. Geoquímicamente las rocas volcánicas y piroclásticas exhiben semejanzas químicas, son de la serie calco-alcalina y presentan anomalías negativas de Nb, P y Ti y positivas de Pb, que sugieren una génesis relacionada con subducción. Los resultados geocronológicos por el método U-Pb en circón arrojaron edades de 192,4 ± 2,2 Ma en una lava de andesita basáltica, 184,9 ± 2,0 Ma en una lava andesítica y 175,9 ± 1,1 Ma en una lava riolítica, las cuales indican la ocurrencia de eventos volcánicos en la Formación Noreán desde el Jurásico Inferior hasta el Medio. Las herencias encontradas en los circones sugieren que el arco volcánico se emplazó en un basamento Meso-Neoproterozoico. La Formación Noréan representa un magmatismo de arco continental y es correlacionable con la Formación Saldaña y con las Vulcanitas de Pitalito del Valle Superior del Magdalena, con las unidades volcánicas jurásicas de la Sierra Nevada de Santa Marta y con la Formación La Quinta de la Serranía de Perijá.
Palabras clave: Jurásico Inferior a Medio, geocronología U-Pb, rocas volcano-sedimentarias, Valle Medio del Magdalena, Serranía de San Lucas.
ABSTRACT: The volcanic and pyroclastic rocks of the Norean Formation located to the NW of the Santander Massif, are composed by lavas that range from andesitic to rhyolitic, together with glass, lithic and crystal tuffs. Mainly andesitic dikes and hypabyssal bodies are also present. Geochemically, the volcanic and pyroclastic rocks exhibit chemical similarities, belong to the calc-alkaline series and have negative anomalies of Nb, P and Ti and a positive anomaly of Pb, suggesting a subduction-related genesis. LA-ICP-MS U-Pb zircon geochronology resulted in ages of 192.4 ± 2.2 Ma in a basaltic andesite, 184.9 ± 2.0 Ma in an andesitic lava and 175.9 ± 1.1 Ma in a rhyolitic lava, indicating the occurrence of volcanic events in this section of the Noreán Formation from the Lower to the Middle Jurassic. Zircon inheritance suggests that the volcanic arc was emplaced in a Meso-Neoproterozoic basement. The Noreán Formation represents a continental arc magmatism, and can be correlated with the Saldaña Formation and the Pitalito Volcanites of the Upper Magdalena Valley, with Jurassic volcanic units of the Sierra Nevada de Santa Marta and with La Quinta Formation in the Serranía de Perijá.
Keywords: Middle-Lower Jurassic, U-Pb geochronology, volcano-sedimentary rocks, Middle Magdalena Valley, San Lucas Ridge.
INTRODUCCIÓN
Secuencias volcano-sedimentarias sub-aéreas de edad jurásica se encuentran en los Andes Colombianos y afloran en los valles Superior y Medio del Magdalena, en la Cordillera Oriental, la Serranía de San Lucas, la Serranía de Perijá, la Sierra Nevada de Santa Marta y en La Guajira (Bürgl, 1964; Mojica y Dorado, 1987; Mojica y Kammer, 1995). Algunas de estas tienen continuidad al NE en Venezuela y al sur en Ecuador (Mojica et al., 1996). La Formación Noreán fue definida por Clavijo (1995a, 1995b) en dos bloques localizados a ambos costados del Valle Medio del Magdalena (FIGURA 1), que corresponden a los afloramientos de la Serranía de San Lucas (región occidental) y del NW del Macizo de Santander (región oriental). A esta Formación le han asignado una edad Jurásico Inferior a Medio (Clavijo, 1995a; INGEOMINAS-UIS, 2006a; Leal-Mejía, 2011; González et al, 2015a).

Los estudios petrográficos, geoquímicos y geocronológicos de las rocas volcánicas (lavas y piroclásticas) y diques de la Formación Noreán, al NW del Macizo de Santander se llevaron a cabo como parte del proyecto Magmatismo Jurásico de Colombia realizado por el Grupo de Estudios Geológicos Especiales de Medellín del Servicio Geológico Colombiano. En este artículo se presentan nuevos resultados obtenidos en dicha investigación, con los cuales se interpretan las principales características geológicas del vulcanismo que originó la Formación Noreán, el intervalo de tiempo de la actividad volcánica y se plantean algunas correlaciones entre esta Formación y otras a nivel regional.
CONTEXTO GEOLÓGICO
En el costado NW del Macizo de Santander en la Cordillera Oriental, el basamento asociado con la Falla Bucaramanga y la Falla El Carmen en los alrededores de Ocaña, está compuesto por anfibolitas, gneises anfibólicos, migmatitas, granulitas máficas y félsicas y granofelsas con olivino (González et al., 2017), tradicionalmente consideradas como parte del Gneis de Bucaramanga (Ward et al., 1973; Restrepo-Pace, 1995; Restrepo-Pace et al, 1997; García y Ríos, 1999), con edades reportadas del Precámbrico (Goldsmith et al, 1971; Restrepo-Pace et al, 1997). Hacen parte también del basamento unidades metamórficas, ígneas y sedimentarias del Paleozoico como los Esquistos de Silgará (Mantilla-Figueroa et al., 2016), los Ortogneises y granitoides ordovícicos (Ward et al., 1973; Van der Lelij et al., 2016), la Unidad Metasedimentaria de La Virgen (Royero et al, 1994; Royero, 1996) o Formación La Virgen (INGEOMINAS-UIS, 2006c), las unidades Arenosa de Tronadero y Arenosa Lutítica de Convención (Daconte y Salinas, 1980). Emplazados en el basamento se hallan plutones del límite Triásico Superior-Jurásico Inferior (Ward et al., 1973; Van der Lelij et al, 2016; Rodríguez et al., 2017). Suprayaciendo parte de estas unidades se encuentran la Formación Bocas (Clavijo, 1995a) del Jurásico Inferior, la Formación Noreán del Jurásico Inferior a Medio (Clavijo, 1995a) y la Unidad Conglomerática de Arenal del Jurásico Superior (Clavijo, 1995a).
En la Serranía de San Lucas el basamento metamórfico corresponde al Gneis de San Lucas compuesto por gneises, migmatitas, anfibolitas y granulitas (Bogotá y Aluja, 1981), Precámbrico (Ordóñez-Carmona et al. 2009; INGEOMINAS-UIS, 2006c; Cuadros, 2012) y en una menor extensión a la Unidad Metamórfica de Pinillos que es paleozoica (INGEOMINAS-UIS, 2006d). Sobre este de manera discordante o fallada se encuentran la Formación Sudán (Geyer, 1969; 1982; INGEOMINAS-UIS, 2006d) del Triásico Superior, la Formación Morrocoyal del Jurásico Inferior (Geyer, 1982) y los conjuntos volcanosedimentarios de la Formación Noreán (Clavijo, 1995a). Intruyendo al basamento y parte de las formaciones mencionadas está el Batolito de Norosí (Bogotá y Aluja, 1981) del Jurásico Inferior (Ordóñez-Carmona et al., 2009; Leal-Mejía, 2011).
Tanto en el flanco NW de Macizo de Santander y la Serranía de San Lucas, como en el Valle Medio del Magdalena hay secuencias sedimentarias del Cretácico (Formación Tablazo, Simití, La Luna) al Eoceno Temprano, y depósitos sedimentarios del Neógeno (Clavijo et al, 2008). En el Sector Norte del Valle Medio del Magdalena la Formación Noréan constituye el basamento pre-Cretácico (Sarmiento et al., 2015) de las secuencias sedimentarias cretácicas, algunas productoras de petróleo.
ANTECEDENTES DE LA FORMACIÓN NOREÁN
La Formación Noreán fue definida de manera informal como Unidad Volcanoclástica de Noreán por Clavijo (1995a) y de manera formal como Formación Noreán por Clavijo (1995b). Al NW del Macizo de Santander la secuencia fue cartografiada por Clavijo et al. (1992) y Royero et al. (1994) como Unidad Volcanoclástica de Noreán y como Formación Jordán por Daconte y Salinas (1980). En la Serranía de San Lucas la unidad fue delimitada por Kassem y Arango (1977) y estudiada por Bogotá y Aluja (1981). INGEOMINAS-UIS (2006a, 2006c, 2006d, 2006e) la llaman Formación Noreán, mientras que González et al. (2015a, 2015b, 2015c, 2015d) la denominan Complejo Volcánico de Noreán.
La Formación Noreán fue descrita en los alrededores del caserío de Noreán, de donde deriva su nombre, en el sur del Departamento del Cesar. La localidad tipo se ubica en la carretera Buturama-Bombeadero (Clavijo, 1995a). La unidad corresponde a una sucesión potente de rocas volcano-sedimentarias aflorantes, desde seudoestratificada a bien estratificada, con interdigitaciones comunes entre los conjuntos litológicos (Royero, 1996).
Al NW del Macizo de Santander, la Formación Noreán suprayace en continuidad estratigráfica a la Formación Bocas e infrayace en discontinuidad a la Formación Tablazo (Clavijo, 1995a) y en algunos lugares se encuentra en contacto fallado con el Gneis de Bucaramanga, con la Formación La Virgen y con las formaciones Tablazo y La Luna (Royero, 1996). En esta región Clavijo (1995a) dividió la Formación Noreán en cuatro conjuntos: clástico-piroclástico (Jncp), piroclástico-epiclástico (Jnpe), efusivo dacítico (Jned) e hipoabisal andesítico (Jnha); mientras que Royero (1996) la dividió en seis conjuntos: Piroclástico Epiclástico (Jnpe), Efusivo Esferulítico (Jnee), Piroclástico y Efusivo Dacítico (Jnpd), Efusivo Dacítico (Jned), Efusivo Riolítico (Jner) e Hipoabisal Andesítico (Jnha).
En la Serranía de San Lucas, la Formación Noreán es suprayacida de manera discordante por la Formación Tablazo y por la Unidad Conglomerática de Arenal (Clavijo, 1995a) y de manera local, suprayace concordante a la Formación Morrocoyal (INGEOMINAS-UIS, 2006c, 2006d). En esta región, la Formación Noreán exhibe contactos en partes fallados y en otras discordantes, con el Batolito de Norosí y la Formación Sudán y discordantes con el Gneis de San Lucas (González et al., 2015a). La Formación en la Serranía de San Lucas fue dividida en cuatro conjuntos: efusivo de conducto, piroclástico-epiclástico, efusivo piroclástico dacítico e hipoabisal andesítico (Clavijo, 1995a).
La edad de la Formación Noreán es Jurásico Inferior a Medio según Clavijo (1995a), Royero (1996) e INGEOMINAS-UIS (2006d, 2006e). Los dos primeros autores establecieron ese rango de edades basados en relaciones estratigráficas, mientras que los últimos lo hicieron según edades K-Ar en roca total de 194 ± 6 Ma y Rb-Sr en roca total de 161 ± 27 Ma. Leal-Mejía (2011) obtuvo edades U-Pb en circón de 201,6 ± 3,6 y 196,1 ± 4,4 Ma y para González et al. (2015a) la unidad es del Jurásico Inferior de acuerdo con edades U-Pb en circón entre 194 ± 2,3 Ma y 189 ± 3,3 Ma y Lu-Hf entre 197 y 187 Ma.
Esta unidad se ha interpretado como el registro de un importante evento volcánico principalmente de tipo explosivo, cuyo material se depositó en una cuenca de tipo graben en parte inundada por un mar somero, en parte drenada por ríos y lagos, en lo que hoy corresponde al Valle Medio del Magdalena y Cesar (Clavijo, 1995a). Las rocas se derivaron por cristalización fraccionada de un magma basáltico calco-alcalino relacionado a un ambiente de arco (González et al., 2015a).
La Formación Noreán ha sido correlacionada en el Macizo de Santander con la Formación Jordán (Clavijo, 1995a) y según INGEOMINAS-UIS (2006d) con las rocas volcano-sedimentarias del mal llamado Complejo Intrusivo-Extrusivo (Daconte y Salinas, 1980). En la Serranía de San Lucas, Clavijo (1995a) plantea semejanzas de la Formación Noreán con las "capas rojas" en la quebrada La Mojana (Geyer, 1982) y con una secuencia en la quebrada Yanacué (Bogotá y Aluja, 1981). Según INGEOMINAS-UIS (2006d) en esta región la Formación Noreán se correlaciona con el Conjunto Volcánico de Santa Rosa (Bogotá y Aluja, 1981) y de acuerdo con González et al. (2015a) con la Formación Morrocoyal. En la Sierra Nevada de Santa Marta y en el Valle del Río Cesar, Clavijo (1995a) sugiere una correlación de la unidad con la Formación Guatapurí (Tschanz et al, 1969), con los conjuntos ignimbríticos de Caja de Ahorros, La Paila y La Piña (Tschanz et al., 1969) y en la Serranía del Perijá con la Formación La Quinta (Maze, 1984). González et al. (2015a) proponen también correlación con las formaciones Corual y Los Indios en la Sierra Nevada de Santa Marta y la Formación Rancho Grande (Tschanz et al, 1974) en la Península de La Guajira. En el Valle Superior del Magdalena ha sido correlacionada por varios autores con la Formación Saldaña (Cediel et al, 1981).
MÉTODOS DE TRABAJO
Para el desarrollo de la investigación se hizo un muestreo regional en las unidades volcánicas y piroclásticas de la Formación Noreán al NW del Macizo de Santander en las planchas geológicas 55, 65, 66, 75, 76 y 86 a escala 1:100.000 del INGEOMINAS. En lo correspondiente a petrografía se recopilaron los análisis petrográficos realizados en proyectos de cartografía del Servicio Geológico Colombiano (antes INGEOMINAS) y se reanalizaron 124 secciones delgadas. Se elaboraron en Bogotá 15 secciones delgadas a muestras colectadas en el presente estudio, que fueron analizadas en el Laboratorio de Petrografía del Servicio Geológico Colombiano en la Regional Medellín.
Los análisis geoquímicos de trece muestras se hicieron en el laboratorio de Geoquímica Analítica del Servicio Geológico Colombiano, sede Bogotá. Los óxidos mayores y elementos menores se analizaron con un espectrómetro de fluorescencia de Rayos X, Panalytical AXIOS Mineral; los primeros se cuantificaron a partir de muestras fundidas con metaborato y tetraborato de litio, mientras que los segundos en muestras prensadas. Para el análisis de elementos traza, se usó un espectrómetro de masas con plasma inductivamente acoplado, ICP-MS, Perkin Elmer NEXION.
Los diagramas petrográficos y geoquímicos se obtuvieron usando el software GCDkit de Janousek et al. (2006).
Dos rocas volcánicas intermedias y una volcánica ácida se dataron por el método U-Pb mediante ablación laser unido a espectrometría de masas de acoplamiento inductivo a plasma (siglas en inglés LA-ICP-MS) en circón. Los circones fueron concentrados en el laboratorio químico del Servicio Geológico Colombiano sede Medellín, utilizando separación hidrodinámica y magnética. Los circones se seleccionaron manualmente con la ayuda de lupa binocular en el Laboratorio de Petrografía de la sede Medellín. De los montajes de granos de circón se adquirieron imágenes de catodoluminiscencia (CL) por medio de luminoscopios.
Los análisis isotópicos de dos muestras (TCR-400 y LMC-095) se llevaron a cabo en el Laboratorio de Geocronología del Servicio Geológico Colombiano, siguiendo los procedimientos descritos en Peña-Urueña et al. (2018). Los análisis se realizaron en un equipo de ablación Photon Machines con un láser Excimer de 193 nm, acoplado a un espectrómetro de masas tipo Element 2. Los isótopos utilizados para la integración manual son 238U, 206Pb y 204Pb. Como patrones de referencia se usaron: Plesovice (Sláma et al, 2008), FC-1 (Coyner et al, 2004), Zircon 91500 (Wiedenbeck et al., 1995; Wiedenbeck et al, 2004) y Mount Dromedary (Renne et al, 1998). Los puntos analizados en los circones fueron de 30 micrones de diámetro. La reducción de datos se realizó mediante el programa Iolite v2.5® en IGORPro6.3.6.4® (Paton et al, 2010; Hellstrom et al., 2008). La corrección por plomo común se realizó de acuerdo con el modelo de evolución según Stacey y Kramers (1975). Los resultados finales corresponden a la media de los datos obtenidos luego de aplicar una discriminación de datos a 2 desviaciones estándar.
Una muestra (TCR-405) fue datada en el laboratorio de Estudios Isotópicos (LEI) en el Centro de Geociencias de la Universidad Nacional Autónoma de México (UNAM), campus Junquilla empleando un Thermo X series QICPMS acoplado a un Resonetics, estación de trabajo láser excimer Resolución M050. Los procedimientos y equipos se describen en detalle en Solari et al. (2010). Los puntos analizados fueron de 23 micrómetros. Las incertidumbres de 2 sigma propagadas se lograron según Paton et al. (2010). Las proporciones 207Pb/206Pb, edades y errores se calcularon según Petrus y Kamber (2012). Las concentraciones de U y Th fueron calculadas empleando un circón estándar externo de acuerdo a Paton et al. (2010).
Los cálculos de las edades y los gráficos geocronológicos se hicieron con el programa Isoplot V4.15 (Ludwig, 2012).
RESULTADOS
Petrografía
La Formación Noreán al NW del Macizo de Santander está compuesta principalmente por tobas donde predominan las vítreas (51 %) sobre las líticas (25 %) y las de cristales (24 %) y por lavas que varían en composición desde basálticas hasta riolíticas (FIGURA 2A), con predominio de andesitas (60 %), seguidas de latitas-riolitas (25 %) y de manera subordinada de basaltos (12 °%) y dacitas (3 %). En menor proporción se encuentran rocas sedimentarias (lodolitas y limolitas), diques y cuerpos hipoabisales, estos últimos principalmente de composición andesítica. En este trabajo se presenta una descripción generalizada por litotipos de rocas volcánicas y piroclásticas y no se agrupan según los conjuntos de Clavijo (1995a). Para la clasificación de rocas volcánicas se siguió la propuesta por Streckeisen (1978). Para la clasificación de los cristales según los tamaños se usan rangos de tamaños, que corresponden a parámetros establecidos en los protocolos para descripciones petrográficas del Servicio Geológico Colombiano y son los siguientes: fenocristales ≥2 mm, microfenocristales entre 2 y 0,5 mm y microcristales <0,5 mm. La clasificación de las rocas piroclásticas según el tipo de componentes corresponde a la de Schmid (1981). Las tobas se clasifican de acuerdo a los contenidos de fragmentos de cristales, líticos y vidrio, en tobas de cristales, líticas y vítreas (FIGURA 2B) y combinaciones de estas así: tobas vítreo-cristalinas, tobas líticas-vítreas, etc.

Características microscópicas de las rocas volcánicas
Basaltos: Los basaltos exhiben texturas principalmente porfídicas y algunas tienen textura microlítica fluidal. Estas rocas consisten de feno a microfenocristales de plagioclasa (12-63 %), anfíbol (0-32 %), clinopiroxeno (0-25 %), olivino serpentinizado (0-18 %) y ocasionalmente ortopiroxeno, dispersos en una matriz, que puede ser micro a criptocristalina y vítrea. La falta de cristales de plagioclasa con cortes apropiados y la alteración de este mineral no permitieron determinar su composición por medios ópticos. Algunas muestras presentan amígdalas rellenas de clorita y epidota-clinozoisita y otras microvetillas rellenas por hematita y epidotaclinozoisita. Los minerales de alteración son sericita y saussurita en la plagioclasa, clorita en piroxenos y anfíboles, serpentina en ortopiroxeno y olivino y carbonatos y clorita en la matriz.
Andesitas: Las andesitas (FIGURA 3A, 3B) exhiben texturas porfídica, holocristalina, hialocristalina y microlítica fluidal con matrices que pueden ser de textura hialocristalina, hialocristalina intersertal, fluidal y microcristalina seriada. En la matriz es común encontrar masas de clorita que corresponden a vidrio alterado y en ocasiones de palagonita. Otras texturas subordinadas son la microintersertal, glomeroporfídica, microporfídica con matriz felsítica y la vesicular. Los fenocristales y microfenocristales de las andesitas consisten principalmente de plagioclasa (11-88 %) y en menores cantidades clinopiroxeno (0-24 %), hornblenda (0-20 %), biotita (0-13 %) y ferromagnesianos alterados (0-5 %). Las andesitas pueden contener pequeñas cantidades de cuarzo y feldespato potásico, y los minerales accesorios son opacos, apatito, titanita y circón. En las andesitas basálticas el porcentaje de clinopiroxeno es superior al 4 % y pueden presentar ortopiroxenos u olivinos alterados. La composición de la plagioclasa, determinada por el método Michel-Lévy, es variable entre An28 y An49, siendo predominante la andesina (An32-38). En algunas muestras de andesita se aprecian amígdalas irregulares rellenas de cuarzo, clorita, calcita y epidota. Los minerales de alteración son sericita y saussurita en la plagioclasa, clorita en biotita, piroxenos y anfíboles, serpentina en ortopiroxeno y olivino y carbonatos y clorita en la matriz.

Dacitas: Las dacitas (FIGURA 3C) tienen textura holocristalina porfídica a microporfídica, con matriz desde microcristalina felsítica hasta criptocristalina.
Otras texturas son las seriadas y glomeroporfídicas. Los fenocristales a microfenocristales en las dacitas están representados en mayor cantidad por plagioclasa (9-40 %) y cuarzo (10-45 %) y en menor proporción por hornblenda (0-14 %) y biotita (0-8 %), con opacos, apatito y circón como minerales accesorios. La composición de la plagioclasa en las dacitas determinada por el método Michel-Lévy es relativamente homogénea entre An29-An32 (oligoclasa-andesina). En algunas muestras es posible encontrar amígdalas rellenas por cuarzo o por epidota y clorita. Los minerales de alteración corresponden a sericita y arcillas en la plagioclasa y a clorita en la biotita.
Latitas y riolitas: Las latitas exhiben textura porfídica con matriz hialocristalina felsítica por desvitrificación del vidrio y en ocasiones traquítica. Algunas muestras también exhiben textura glomeroporfídica. Las riolitas (FIGURA 3D) además de las texturas porfídicas hialocristalinas, también presentan texturas esferulíticas y micrográficas. Los fenocristales y microfenocristales en estas rocas corresponden principalmente a plagioclasa (0-44 %), feldespato potásico (0-42 %) y cuarzo (0-41 %), en algunas también hay biotita (0-7 %) y puede haber pequeñas cantidades de hornblenda y como minerales accesorios se encuentran apatito, circón y opacos. La plagioclasa según el método de Michel-Lévy tiene composición variable An11-An36 (oligoclasa-andesina). Los principales minerales de alteración son sericita en plagioclasa, caolín en feldespato potásico, clorita en biotita.
Características microscópicas de diques
Los diques analizados corresponden a las muestras IGM900987 (GZ-6862) e IGM901020 (MIA-664B), los cuales se clasifican como andesitas porfídicas. El primero con feno y microfenocristales de plagioclasa -An32- (42 %) y un ferromagnesiano alterado que posiblemente era un ortopiroxeno (2,5 %) (FIGURA 4A) y amígdalas de calcita, en una matriz microcristalina felsítica y vítrea desvitrificada, con opacos muy finos diseminados. Como minerales accesorios se encuentran microcristales de apatito y opaco. En esta muestra los minerales de alteración son sericita y calcita en plagiolcasa, serpentina, clorita y opacos en ortopiroxeno. El segundo dique con feno y microfenocristales de plagioclasa -An36- (18 %) y esqueletos de hornblenda (1,5 %) y titanita accesoria en matriz microlítica y vítrea desvitrificada, con opacos muy finos diseminados (FIGURA 4B). Los minerales de alteración en la andesita IGM901020 son sericita y calcita en la plagioclasa, clorita, calcita y titanita en la hornblenda y clorita en el vidrio de la matriz.

Características microscópicas de las rocas piroclásticas
Las tobas en general son de colores violáceo, gris, verde y rojo. Están compuestas por fragmentos cristalinos de cuarzo, plagioclasa, feldespato potásico y de manera subordinada biotita y hornblenda, con proporción variable de vidrio volcánico y fragmentos de rocas volcánicas; con tamaño de grano entre lapilli y ceniza gruesa. Las tobas exhiben texturas fragmentales, porfiríticas y menos frecuente perlíticas.
Tobas de vidrio: Las tobas de vidrio exhiben textura fragmental con cantidades menores y variables de fragmentos de cristales (FIGURA 5A) y de líticos. La matriz varía de vítrea a criptocristalina por desvitrificación. En algunas muestras la matriz consiste de fragmentos de shards desvitrificados. Es posible observar textura de flujo en la matriz. Los fragmentos de cristales son de plagioclasa, cuarzo, biotita, ceolitas, opacos y circón, mientras que los líticos son principalmente de rocas volcánicas basálticas a andesíticas y de manera subordinada de líticos accidentales.

Tobas líticas: Las tobas líticas (FIGURA 5B) exhiben textura fragmental, compuestas por fragmentos líticos, con proporciones variables de fragmentos de cristales, embebidos o flotando en una matriz que puede ser vítrea a microcristalina. El componente vítreo de la matriz comúnmente está desvitrificado y de manera esporádica alterado a palagonita. Los fragmentos líticos son principalmente juveniles de rocas volcánicas como basaltos andesíticos, andesíticas y riolitas; tobas y en menor cantidad fragmentos accidentales de lodolitas y areniscas. Los fragmentos de cristales son principalmente de cuarzo, plagioclasa y opacos y en menor proporción biotita, feldespato potásico, apatito, circón, calcita y hornblenda. La roca presenta una estructura masiva no gradada, con orientación incipiente tanto de los piroclastos como de la matriz.
Tobas de cristales: Las tobas de cristales (FIGURA 5C) muestran textura volcanoclástica fragmental, en ocasiones volcanoclástica porfídica y holocristalina porfídica fragmental. Están compuestas por fragmentos de plagioclasa, feldespato potásico, cuarzo, subordinados pueden aparecer biotita y hornblenda; como minerales accesorios se presentan circón, apatito, titanita y opacos. Con proporciones variables de líticos y vidrio. Los cristales se encuentran flotantes o empaquetados en una matriz que puede ser vítrea desvitrificada o alterada a clorita, criptocristalina felsítica y hialocristalina microlítica en una masa vítrea. En la matriz de algunas tobas se aprecian amígdalas, unas alargadas con bordes irregulares y otras subredondeadas rellenas de cuarzo o epidota. En general los fragmentos líticos de las tobas de cristales son juveniles, tales como fragmentos riolíticos, andesíticos traquíticos, felsíticos, de vulcanitas vítreas y de líticos reemplazados totalmente por calcita.
Geoquímica
Se realizaron análisis químicos de seis muestras de lavas, dos diques y de cinco tobas. La distribución de las muestras analizadas se presenta en la FIGURA 1. Los resultados de elementos mayores, traza y de tierras raras (REE) se presentan en las siguientes tablas: TABLA 1, 2 y 3.



El análisis de las posibles alteraciones en las muestras arrojó que según el diagrama de Hughes (1972) las muestras con alteración sódica son las IGM901006 y 901035 y con alteración potásica son las IGM901022 y 901034 (FIGURA 6A). De acuerdo con el diagrama de Large et al. (2001) las muestras alteradas son las IGM901022, 901035, 901038 y 901040 (FIGURA 6B). La muestra 901035 exhibe una pérdida al fuego (LOI) muy elevada de 6,59 %%. Hay otras muestras que tiene LOI por encima de 2 % y pueden haber tenido algún grado de movilidad de sus elementos mayores, a pesar de que no aparezcan como alteradas en los diagramas de alteración antes presentados. Las muestras con LOI altos (TABLA 1) son: IGM901021, 900987 (calcita de alteración en amígdalas, matriz y vetillas), 901020 (calcita por alteración de matriz y microfenocristales de plagioclasa), 900976 (calcita en venillas y como alteración de máficos), 901023 (vidrio alterado a palagonita) y 901019 (calcita en venillas y por alteración de máficos).

Las muestras tienen un carácter subalcalino (FIGURA 7A), tres grafican en el campo alcalino, pero es por efecto de movilidad de los álcalis debido a alteración. Dadas las evidencias de alteración en gran parte de las muestras, para la clasificación química se usan diagramas basados en elementos considerados inmóviles o menos móviles. La composición química predominante de las lavas es andesítica (FIGURA 7B) y existe alta concordancia entre la clasificación petrográfica y química de las rocas volcánicas. Las tobas tienen composiciones geoquímicas andesíticas y riolíticas y presentan características geoquímicas semejantes a las de las lavas. La mayor parte de las muestras pertenecen a la serie calco-alcalina, mientras que las de composición riolítica son de las series calco-alcalina alta enKo shoshonítica (FIGURA 7C). En el diagrama de peraluminosidad (FIGURA 7D) solo se graficaron las muestras que no están alteradas según los diagramas de alteración. Se observa que las de composición andesítica tienen un carácter metaluminoso (FIGURA 7D), siendo que la alta peraluminosidad de la muestra IGM901023 no es un rasgo primario sino adquirido durante la palagonitización del vidrio volcánico. La toba de composición riolítica exhibe un carácter peraluminoso (FIGURA 7D).

Las lavas andesíticas (IGM901021 y 901040) y riolíticas (IGM901022 y 901038) exhiben patrones multielementales semejantes (FIGURA 8A, 8C), con anomalías negativas de Nb, P y Ti y positiva de Pb, que son características relacionadas a ambientes de subducción. Las rocas piroclásticas de composición andesítica también exhiben patrones similares a los de las lavas (FIGURA 8B), indicando que son cogenéticas. Dos muestras de composición andesítica exhiben diferencias con las muestras descritas anteriormente. La lava andesítica IGM901006 tiene anomalías de Ti y P menos pronunciadas y posee contenidos más bajos de los elementos de radio iónico grande-LILE (Cs a U). El dique de andesita (IGM901020) muestra una anomalía de Nb muy tenue y no exhibe anomalías de P y Ti. La toba de composición riolítica también muestra anomalías negativas de Nb, P y Ti (FIGURA 8D).

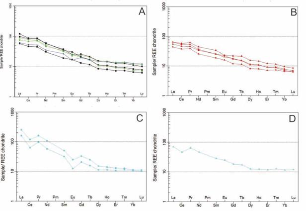
En los diagramas REE los patrones de las lavas andesíticas son paralelos entre sí (FIGURA 9A), tienen pendiente negativa, con un enriquecimiento en REE livianas entre 60 y 100 veces el condrito, con relación La/YbN entre 8,7 y 11,7 y sin anomalía importante de Eu (relaciones Eu/Eu* alrededor de 1) o anomalía muy leve en el caso de la muestra IGM901040 (relación Eu/Eu* de 0,81). El patrón de REE de la andesita basáltica es subparalelo con los patrones de las lavas andesíticas, pero difiere de estos en que tiene menor pendiente con relación La/YbN de 4,8; leve anomalía negativa de Eu (relación Eu/Eu* de 0,73) y se cruza en los elementos de las tierras raras pesadas (HREE) con el patrón de la IGM901040. El patrón de REE del dique andesítico IGM900987 es paralelo con los de la mayor parte de las andesitas, mientras que el del dique IGM901020 difiere del anterior en tener una mayor pendiente, no presenta anomalía de Eu y cruza el patrón del otro dique en las tierras raras medianas. El patrón de REE de la muestra 901020 es semejante al de la andesita basáltica IGM901021.

Los patrones de REE de las tobas con composición andesítica (FIGURA 9B) son semejantes a los de las lavas andesíticas, pero con un menor enriquecimiento en REE livianas con relación al condrito entre 45 y 65 veces (relación La/YbN entre 6,7 a 8,2), también sin anomalía importante de Eu (relación Eu/Eu* alrededor de 1) exceptuando una muestra la IGM901023 con leve anomalía negativa (Eu/Eu* de 0,85). Estas similitudes sugieren que la fuente de las tobas andesíticas fue la misma de las lavas andesíticas.
Los patrones de REE de las dos muestras de lavas riolíticas son paralelos (FIGURA 9C). Estas muestras están enriquecidas en los elementos de las tierras raras livianas (LREE) con relación al condrito entre 105 y 120 veces y son más enriquecidas en LREE respecto a las lavas andesíticas, pues tienen relación La/YbN de 15,3 y 22,4. Las lavas riolíticas exhiben anomalías negativas de Ce y Eu (relación Eu/Eu* 0,49 y 0,61) (FIGURA 9C), siendo que la primera puede sugerir el aporte de un componente sedimentario en la fuente o que fue modificada por la interacción de fluidos debido a intemperismo o alteración hidrotermal en condiciones oxidantes, mientras que la anomalía de Eu indica fraccionamiento de plagioclasa.
El patrón de REE de una toba de composición riolítica (FIGURA 9D) es semejante al de las lavas riolíticas, aunque difiere de este en exhibir menor pendiente y en no presentar anomalía de Eu. Por la similitud en la anomalía de Ce y la tendencia a ser horizontal el patrón en los HREE, la fuente de la toba riolítica es similar al de las lavas riolíticas.
Geocronología
La ubicación de las tres muestras de la Formación Noreán de las que se obtuvieron edades U-Pb en circón por LA-ICP-MS se puede visualizar en la FIGURA 1 y las coordenadas de las muestras y resumen de las edades de cada una están en la TABLA 4. Las edades reportadas menores a 800 Ma corresponden a las obtenidas a partir de la relación 206Pb/238U, mientras que las mayores a 800 Ma son las arrojadas por la relación 207Pb/206Pb.

La muestra TCR-400 corresponde a una andesita porfídica según clasificación petrográfica y a una andesita basáltica de acuerdo con la química. Los circones de esta muestra son prismáticos alargados, algunos aciculares, incoloros a rosado tenue, con tamaños de 70 a 100 nm en su dimensión mayor. En imágenes de catodoluminiscencia (CL) muchos de los cristales tienen centros homogéneos y bordes con zonación oscilatoria (A). Hay una población menor de circones que tienden a ser equidimensionales (FIGURA 10A), de menor tamaño y fue en estos que se obtuvieron las edades heredadas (FIGURA 10A). Se hicieron en total 40 ablaciones (TABLA 5) y no se consideraron en la interpretación los resultados con discordancias mayores 10 %. La edad promedio obtenida en circones de esta muestra es de 192,4 ± 2,2 Ma a partir de 26 datos (FIGURA 11A, 11B), que se interpreta como edad de cristalización en el Sinemuriense. La relación Th/U de los circones jurásicos varía entre 0,7 y 2,5, acordes con las relaciones típicas de circones ígneos (Rubatto, 2002). 4. Resumen edades U-Pb por LA-ICP-MS en circón de muestras de la Formación Noreán, obtenidas en este estudio.



La muestra LMC-095 corresponde a una andesita. Los circones son euhedrales prismáticos cortos a subredondeados, con tamaño promedio de 100 nm, son transparentes a ligeramente lilas y algunos presentan finas inclusiones. Por la mala calidad de las imágenes de CL (FIGURA 10B) no fue posible definir las texturas internas de los circones, aunque en algunas imágenes se insinúan zonaciones oscilatorias. Se analizaron 51 puntos (TABLA 6) y debido a la gran cantidad de datos discordantes en esta muestra se descartaron los resultados con discordancias mayores al 20 °%. Se encontró una edad heredada de 944 ± 31 Ma. Veinticinco resultados arrojan una edad promedio de 184,9 ± 2,0 Ma (FIGURA 11C, 11D), interpretada como la edad de cristalización de la roca en el Pliensbachiense. Los valores de la relación Th/U varían entre 0,5 y 1,6, casi todos dan próximo de 1 y son característicos de circones ígneos (Rubatto, 2002).

La muestra TCR-405 corresponde a una riolita, en la que los circones son cristales euhedrales a subhedrales, de formas prismáticas cortas y largas, también ovoidales, incoloros, algunos pardos, con tamaños entre 50 y 220 micrómetros, presentan pocas inclusiones. En CL (FIGURA 10C) se pueden observar zonaciones oscilatorias en algunos de ellos. Se hicieron ablaciones en 35 puntos (TABLA 7) y se interpretaron los resultados con discordancias inferiores a 10%. No se hallaron edades heredadas y a partir de un conjunto de datos concordantes (FIGURA 11E), se obtuvo una edad promedio de 175,9 ± 1,1 Ma (FIGURA 11F), la cual se interpreta como la edad de cristalización de esta roca en el Toarciense. La relación Th/U varía entre 0,6 y 1,8, predominando los próximos de 1, valores que son típicos de circones ígneos (Rubatto, 2002).

DISCUSIÓN
Ambiente geotectónico
La presencia de andesitas y riolitas calco-alcalinas y las anomalías geoquímicas observadas en los diagramas multielementales (FIGURA 8) sugieren que las rocas de la Formación Noreán se generaron en ambientes relacionados con subducción. En el diagrama Nb/ Yb vs Th/Yb (FIGURA 12), todas las rocas analizadas de la Formación Noreán grafican en el campo de las rocas volcánicas de arco y su posición en este diagrama sugiere interacción entre fluidos generados en la zona de subducción y aporte por fusión de la cuña del manto.

Interpretamos que las rocas volcánicas de esta Formación se generaron en arco de margen continental. Uno de los diques" la muestra IGM901020 exhibe características químicas diferentes a las otras andesitas. Se clasifica como una traqui-andesita" su patrón multielemental muestra apenas una leve anomalía de Nb y no exhibe anomalía de P y Ti" el patrón de REE es más inclinado que el del otro dique y cruza a este en las tierras raras medianas y no tiene anomalía de Eu. En el diagrama discriminante de ambientes esa muestra también grafica separada de las otras andesitas" sugiriendo que se formó en otro ambiente tectónico. De esta muestra no se conoce su edad, por lo que no es posible hacer más inferencias sobre su origen y si tiene relación o no con el vulcanismo jurásico.
Edad
Los datos geocronológicos obtenidos en este trabajo indican que el vulcanismo de la Formación Noreán al NW del Macizo de Santander estuvo activo desde el Jurásico Inferior hasta el Jurásico Medio. El hecho de que las lavas basálticas sean más antiguas y las riolíticas más jóvenes podría sugerir que el vulcanismo evolucionó desde básico-intermedio a félsico" sin embargo" se necesitan estudios con una cantidad representativa de análisis que permitan confirmar esta hipótesis. Las herencias encontradas en las dos muestras de andesitas son muy escasas" con una edad del Mesoproterozoico (~1400 Ma) levemente discordante y tres edades concordantes del límite entre el Meso y Neoproterozoico (~1050 y 950 Ma) correspondientes con las del basamento metamórfico precámbrico. No se obtuvieron herencias del basamento Paleozoico" dominante hacia el oriente en el Macizo de Santander. Las edades ígneas coinciden con el rango propuesto por Clavijo (1995a) con base en relaciones estratigráficas, quien además planteó que el vulcanismo culminó con la emisión de lavas dacíticas y andesíticas y el emplazamiento de cuerpos hipoabisales andesíticos. La edad más antigua obtenida en esta investigación (ca. 192 Ma) es muy semejante a las edades presentadas por INGEOMINAS-UIS (2006d, 2006e), Leal-Mejía (2011) y González et al. (2015a) en la región occidental. La edad de ca. 185 Ma presentada aquí es próxima de edades reportadas por González et al. (2015a). En la región oriental hay registro geocronológico U-Pb en circón de actividad hasta el Jurásico Medio, que no se ha reportado en la región occidental, donde según González et al. (2015a) la unidad es del Jurásico Inferior. Sin embargo, es probable que en la región occidental también exista parte de la Formación Noréan del Jurásico Medio" como lo proponen INGEOMINAS-UIS (2006e) basados en una datación Rb-Sr.
Correlaciones
Al comparar los resultados obtenidos en este estudio con los presentados por INGEOMINAS-UIS (2006a" 2006c, 2006d, 2006e), Leal-Mejía (2011) y González et al. (2015a, 2015b, 2015c, 2015d) sobre la Formación Noreán en la Serranía de San Lucas" se concluye que las rocas de ambas ocurrencias son correlaccionables petrográfica, geoquímica y geocronológicamente. Por otro lado" entre la Formación Noreán" la Formación Saldaña (Rodríguez et al., 2016) y las Vulcanitas de Pitalito (Rodríguez et al., 2016) existe muy buena correlación geocronológica" con la diferencia petrográfica de rocas más básicas en la Formación Noreán" por la ocurrencia de basaltos que no han sido identificados en las otras dos unidades. De acuerdo con las descripciones petrográficas disponibles en la literatura (Tschanz et al., 1969; Maze, 1984) y con los datos geocronológicos preliminares inéditos U-Pb en circón obtenidos por los autores del presente trabajo" la Formación Noreán también es correlacionable con la Formación La Quinta en el norte de la Serranía de Perijá y con las siguientes unidades de la Sierra Nevada de Santa Marta: formaciones Gautapurí y Corual" Ignimbrita de Caja de Ahorros" Ignimbrita de La Paila" Ignimbrita de Los Clavos" Espilitas Triásicas, Pórfidos Queratófiros, Riodacita de Los Tábanos y Riolita de Golero.
CONCLUSIONES
La Formación Noreán corresponde a una unidad volcanoclástica compuesta principalmente por material piroclástico representado por tobas vítreas" de cristales y líticas y por lavas que varían en composición desde andesitas basálticas hasta riolitas y en menor proporción por diques de composición andesítica. La clasificación geoquímica de las lavas y los diques en general es coincidente con su clasificación modal. Por otro lado, las tobas se clasifican químicamente como andesitas y riolitas.
Los resultados petrográficos y geoquímicos obtenidos en este estudio indican que las rocas volcánicas y piroclásticas se generaron en un ambiente relacionado con subducción, probablemente de margen continental.
Las herencias son escasas en las rocas de composición andesítica y corresponden a núcleos heredados principalmente del límite entre el Meso y Neoproterozoico" mientras que en las rocas de composición riolítica no se obtuvieron herencias. Las herencias sugieren que el emplazamiento del arco se dio en basamento del Precámbrico.
Las rocas analizadas indican por lo menos tres eventos volcánicos en el Jurásico. El primero en el Jurásico Inferior -Sinemuriense- alrededor de los 192 Ma registrado en una andesita basáltica. El segundo también en el Jurásico Inferior -Pliensbachiense-aproximadamente a los 185 Ma encontrado en una andesita. El tercer evento en el límite Jurásico Inferior-Medio -Toarciense- alrededor de los 175 Ma obtenido en una riolita.
El intervalo de edades U-Pb obtenidas confirma que la actividad del sistema vulcano-sedimentario que dio origen a la Formación Noreán tuvo actividad" por lo menos al NW del Macizo de Santander, estribación NW de la Cordillera Oriental, desde el Jurásico Inferior hasta el Jurásico Medio" tal como lo habían propuesto varios autores en décadas pasadas con base en relaciones estratigráficas.
La Formación Noreán es correlacionable en composición petrográfica y geoquímica y en edades con la Formación Saldaña y las Vulcanitas de Pitalito del Valle Superior del Magdalena. Petrográfica y geocronológicamente es correlacionable con las unidades volcánicas del Jurásico de la Sierra Nevada de Santa Marta y con la Formación La Quinta en la Serranía de Perijá.
AGRADECIMIENTOS
Agradecemos al Servicio Geológico Colombiano por la financiación del proyecto. A los laboratorios de Petrografía y Química del SGC por la elaboración de las secciones delgadas y los análisis químicos de las muestras, respectivamente. Al Laboratorio de Geocronología del SGC por las dataciones radiométricas U-Pb en circón de dos muestras. A los geólogos Lina María Cetina, José Gilberto Bermúdez y Tomás Correa, por el apoyo en el muestreo de campo. A los geólogos antes mencionados y a Juan Pablo Zapata, Ángela Viviana Rincón y Milton Obando por la realización de análisis petrográficos. A Tomás Correa por la traducción del resumen al abstract del artículo. A Juan Pablo Zapata por la elaboración de la figura del mapa geológico generalizado. Se agradece a los geólogos Jairo Clavijo y Julián Andrés López Isaza" evaluadores del manuscrito por sus valiosos aportes para el mejoramiento del artículo.
REFERENCIAS
Bogotá, J., y Aluja, J. (1981). Geología de la Serranía de San Lucas. Geología Norandina, 4, 49-56.
Bürgl, H. (1964). EI Jura-Triásico de Colombia. Boletín Geológico, 72(1-3), 5-31.
Cediel, F., Mojica, J., y Macía, C. (1981). Las formaciones Luisa, Payandé y Saldaña sus columnas Estratigráficas Características. Geología Norandina, 3, 11-19.
Clavijo, J. (1995a). Mapa Geológico de Colombia. Plancha 75 - Aguachica. Escala 1:100.000. Memoria explicativa. INGEOMINAS, Bucaramanga.
Clavijo, J. (1995b). La Formación Noreán: Nueva evidencia de volcanismo explosivo en la paleocuenca del Magdalena (Colombia) y su relación con otras unidades del Jurásico norandino. IXCongreso Latinoamericano de Geología. Caracas, Venezuela.
Clavijo, J., Barbosa, G., Camacho, J., Bernal, L., Royero, J.M., y Castro, E. (1992). Geología de la Plancha 75 - Aguachica. Escala 1:100.000. Mapa Geológico. INGEOMINAS, Bogotá.
Clavijo, J., Mantilla, L., Pinto, J., Bernal, L., y Pérez, A. (2008). Evolución geológica de la Serranía de San Lucas, Norte del Valle Medio del Magdalena y Noroeste de la Cordillera Oriental. Boletín de Geología, 30(1), 45-62.
Coyner, S.J., Kamenov, G.D., Mueller, P.A., Rao, V., and Foster, D.A. (2004). FC-1: a zircon reference standard for the determination of Hf isotopic compositions via laser ablation ICP-MS. American Geophysical Union, Fall Meeting. San Francisco, USA.
Cuadros, F. (2012). Caracterização geoquímica e geocronológica do embasamento Mesoproterozóico da parte Norte da Serrania de San Lucas (Colômbia). Tesis de Maestría, Universidade de Brasília, Brasil.
Daconte, R., y Salinas, R. (1980). Geología de las planchas 66 (Miraflores) y 76 (Ocaña). Departamento Norte de Santander. Memoria Explicativa escala 1:100.000. 116 p. Bucaramanga.
García, C., y Ríos, C. (1999). Metamorfismo y metalogenia asociada del Macizo de Santander, Cordillera Oriental, Colombia. Colciencias-Universidad Industrial de Santander (Bucaramanga). Informe final Proyecto de Investigación 1102-05-083-95. 191 p.
Geyer, O. (1982). Comparaciones estratigráficas y faciales en el Triásico Norandino. Geología Norandina, 5, 27-31.
Geyer, O.F. (1969). La fauna de amonitas del perfil típico de la Formación Morrocoyal (Liásico Inferior). I Congreso Colombiano de Geología. Bogotá, Colombia.
Goldsmith, R., Marvin, R.F., and Mehnert, H.H. (1971). Radiometric ages in the Santander Massif, Eastern Cordillera, Colombian Andes. U.S. Geological Survey Professional Paper, 750, D44-D49.
González, H., Maya, M., Camacho, J., Cardona, O.D., y Vélez, W. (2015a). Elaboración de la cartografía geológica de un conjunto de planchas a escala 1:100.000 ubicadas en cuatro bloques del territorio nacional, identificados por el Servicio Geológico Colombiano. Plancha 74-Guaranda. Servicio Geológico Colombiano.
González, H., Maya, M., García, J.F., Gómez, J.P., Palacio, A.F., y Vélez, W. (2015b). Elaboración de la cartografía geológica de un conjunto de planchas a escala 1:100.000 ubicadas en cuatro bloques del territorio nacional, identificados por el Servicio Geológico Colombiano. Plancha 95-Buenavista. Servicio Geológico Colombiano.
González, H., Maya, M., Tabares, L.F., Palacio, A.F., Gómez, J.P., Montoya, A., y Vélez, W. (2015c). Elaboración de la cartografía geológica de un conjunto de planchas a escala 1:100.000 ubicadas en cuatro bloques del territorio nacional, identificados por el Servicio Geológico Colombiano. Plancha 107-Cerro Azul. Servicio Geológico Colombiano.
González, H., Maya, M., Tabares, L.F., Montoya, A., Palacio, A.F., Sánchez, C., Barajas, A., y Vélez, W. (2015d). Elaboración de la cartografía geológica de un conjunto de planchas a escala 1:100.000 ubicadas en cuatro bloques del territorio nacional, identificados por el Servicio Geológico Colombiano. Plancha 118-San Francisco. Servicio Geológico Colombiano.
González, D.A., López, J.A., y Zuluaga, C.A. (2017). Granulitas y granofelsas con olivino, aflorantes en los alrededores de Ocaña - Macizo de Santander. XVICongreso Colombiano de Geología y III Simposio de Exploradores. Geología, Sociedad y Territorio. Santa Marta, Colombia.
Hastie, A.R., Kerr, A.C., Pearce, J.A., and Mitchell, S.F. (2007). Classification of altered volcanic island arc rocks using immobile trace elements: development of the Th-Co discrimination diagram. Journal of Petrology, 48(12), 2341 2357. doi: 10.1093/petrology/egm062.
Hellstrom, J., Paton, C., Woodhead, J.D., and Hergt, J.M. (2008). Iolite: software for spatially resolved LA-(quad and MC) ICP-MS analysis. In: P. Sylvester (Ed.). Laser Ablation ICP-MS in the Earth Sciences: Current Practices and Outstanding Issues (pp. 343-348). Vancouver: Mineralogical Association of Canada.
Hughes, C.J. (1972). Spilites, keratophyres and the igneous spectrum. Geological Magazine, 109(6), 513-527. doi: 10.1017/S0016756800042795.
INGEOMINAS. (2002a). Atlas Geológico Digital de Colombia Versión 1.1 Plancha 5-04. Escala 1: 500.000. Bogotá.
INGEOMINAS. (2002b). Atlas Geológico Digital de Colombia Versión 1.1 Plancha 5-06. Escala 1: 500.000. Bogotá.
INGEOMINAS-UIS. (2006a). Cartografía geológica de 9.600 km2 de la serranía de San Lucas: Planchas 55 (El Banco), 64 (Barranco de Loba), 85 (Simití) y 96 (Bocas del Rosario). Aporte a su evolución geológica. Memoria explicativa de la Plancha 85 - Simití. INGEOMINAS.
INGEOMINAS-UIS. (2006b). Geología de la Plancha 55 El Banco. Escala 1:100.000. Mapa Geológico. INGEOMINAS, Bogotá.
INGEOMINAS-UIS. (2006c). Cartografía geológica de 9.600 km2 de la serranía de San Lucas: Planchas 55 (El Banco), 64 (Barranco de Loba), 85 (Simití) y 96 (Bocas del Rosario). Aporte a su evolución geológica. Memoria explicativa de la Plancha 55 - El Banco. INGEOMINAS.
INGEOMINAS-UIS. (2006d). Cartografía geológica de 9.600 km2 de la serranía de San Lucas: Planchas 55 (El Banco), 64 (Barranco de Loba), 85 (Simití) y 96 (Bocas del Rosario). Aporte a su evolución geológica. Memoria explicativa de la Plancha 64 - Barranco de Loba. INGEOMINAS.
INGEOMINAS-UIS. (2006e). Cartografía geológica de 9.600 km2 de la serranía de San Lucas: Planchas 55 (El Banco), 64 (Barranco de Loba), 85 (Simití) y 96 (Bocas del Rosario). Aporte a su evolución geológica. Memoria explicativa de la Plancha 96 - Bocas del Rosario. INGEOMINAS.
Irvine, T.N., and Baragar, W.R.A. (1971). A guide to the chemical classification of the common volcanic rocks. Canadian Journal of Earth Sciences, 8(5), 523-548.
Janousek, V., Farrow, C.M., and Erban, V. (2006). Interpretation of whole-rock geochemical data in igneous geochemistry: introducing Geochemical Data Toolkit (GCDkit). Journal of Petrology, 47(6), 1255-1259. doi: 10.1093/petrology/egl013.
Kassem, T., y Arango, J.L. (1977). Mapa fotogeológico de la Serranía de San Lucas. Escala 1:500.000. INGEOMINAS.
Le Bas, M.J., Le Maitre, R.W., Streckeisen, A., and Zanettin, B. (1986). A chemical classification of volcanic rocks based on the total alkali-silica diagram. Journal of Petrology, 27(3), 745-750. doi: 10.1093/petrology/27.3.745.
Large, R.R., Gemmel, J.B., Paulick, H., and Huston, D.L. (2001). The alteration box plot: A simple approach to understanding the relationship between alteration mineralogy and lithogeochemistry associated with volcanic-hosted massive sulfide deposits. Economic Geology, 96(5), 957-971. doi: 10.2113/gsecongeo.96.5.957.
Leal-Mejía, H. (2011). Phanerozoic gold metallogeny in the Colombian Andes: A tectono- magmatic approach. PhD Thesis, Universitat de Barcelona, España.
Ludwig, K.R. (2012). User's Manual for Isoplot 3.75 4.15. A Geochronological Toolkit Microsoft Excel. Berkeley Geochronology Center, Special Publication N°5, 75p.
Mantilla-Figueroa, L.C., García-Ramírez, C.A., y Valencia, V.A. (2016). Propuesta de escisión de la denominada 'Formación Silgará' (Macizo de Santander, Colombia), a partir de edades U-Pb en circones detríticos. Boletín de Geología, 38(1), 33-50. doi: 10.18273/revbol.v38n1-2016002.
Maze, W. (1984). Jurassic La Quinta Formation in the Sierra de Perijá, northwestern Venezuela: Geology and tectonic environment of red beds and volcanic rocks. In: W. Bonini, R. Hargraves, R. Shagam (Ed.). The Caribbean-South American Plate Boundary and Regional Tectonics (pp. 263 282). McLean: Geological Society of America, v. 162. doi: 10.1130/MEM162-p263.
Mojica, J., y Dorado, J. (1987). El Jurásico anterior a los movimientos intermálmicos en los Andes colombianos. Parte A: Estratigrafia. En: W. Volkheimer (Ed.). Bioestratigrafia de los sistemas regionales del Jurásico y Cretácico de America del Sur (pp. 49-110). Mendoza: Comité Sudaméricano del Jurásico y Cretácico, v. 1.
Mojica, J., y Kammer, A. (1995). Eventos Jurásicos en Colombia. Geología Colombiana, 19, 165-172.
Mojica, J., Kammer, A., y Ujueta, G. (1996). El Jurásico del sector noroccidental de Suramérica y guía de la excursión al Valle Superior del Magdalena (Nov. 1-4/95), regiones de Payandé y Prado, Departamento del Tolima, Colombia.Geología Colombiana, 21, 3-41.
Nakamura, N. (1974). Determination of REE, Ba, Fe, Mg, Na and K in carbonaceous and ordinary chondrites. Geochimica et Cosmochimica Acta, 38(5), 757-775. doi: 10.1016/0016-7037(74)90149-5.
Ordóñez-Carmona, O., Frantz, J.C., Chemale, F. y Londoño, C. (2009). Serranía de San Lucas: mineralizaciones auríferas, intrusiones de 1500 Ma, metamorfismo Grenville y magmatismo Jurásico. XIICongreso Colombiano de Geología. Paipa, Colombia.
Paton, C., Woodhead, J.D., Hellstrom, J.C., Hergt, J.M., Greig, A., and Maas, R. (2010). Improved laser ablation U-Pb zircon geochronology through robust downhole fractionation correction. Geochemistry, Geophysics, Geosystems, 11(3), 1-36. doi: 10.1029/2009GC002618.
Pearce, J.A. (1996). A User's Guide to Basalt Discrimination Diagrams. In: D.A. Wyman (Ed.). Trace element geochemistry of volcanic rocks: Applications for massive sulphide exploration (pp. 79-113). Winnipeg: Geological Association of Canada. Short Course Notes v. 12.
Pearce, J.A. (2008). Geochemical fingerprinting of oceanic basalts with applications to ophiolite classification and the search for Archean oceanic crust. Lithos, 100(1-4), 14-48. doi: 10.1016/j. lithos.2007.06.016.
Peña-Urueña, M.L., Muñoz-Rocha, J.A., y Urueña, C. L. (2018). Laboratorio de Geocronología en el Servicio Geológico Colombiano: avances sobre datación U-Pb en circones mediante la técnica LA-ICP-MS. Boletín Geológico, 44, 39-56. INGEOMINAS.
Petrus, J.A., and Kamber, B.S. (2012). VizualAge: A novel approach to laser ablation ICP-MS U-Pb geochronology data reduction. Geostandards and Geoanalytical Research, 36(3), 247-270. doi: 10.1111/j.1751-908X.2012.00158.x.
Renne, P.R., Swisher, C.C., Deino, A.L., Karner, D. B., Owens, T.L., and DePaolo, D.J. (1998). Intercalibration of standards, absolute ages and uncertainties in 40Ar/39Ar dating. Chemical Geology, 145(1-2), 117-152. doi: 10.1016/S0009-2541(97)00159-9.
Restrepo-Pace, P. (1995). Late Precambrian to Early Mesozoic tectonic evolution of the Colombian Andes, based on new geochronological, geochemical and isotopic date. PhD. Thesis, The University of Arizona, USA.
Restrepo-Pace, P.A., Ruiz, J., Gehrels, G., and Cosca, M. (1997). Geochronology and Nd isotopic data of Grenville-age rocks in the Colombian Andes: new constraints for Late Proterozoic-Early Paleozoic paleocontinental reconstructions of the Americas. Earth and Planetary Science Letters, 150(3-4), 427-441. 10.1016/S0012-821X(97)00091-5.
Rodríguez, G., Arango, M.I., Zapata, G., y Bermúdez, J.G. (2016). Catálogo de unidades litoestratigráficas de Colombia, Formación Saldaña. Cordilleras Central y Oriental Tolima, Huila, Cauca y Putumayo. Servicio Geológico Colombiano, 91 p. Medellín.
Rodríguez, G., Zapata, G., Correa-Martínez, A.M., y Arango, M.I. (2017). Caracterización petrográfica, química y geocronológica del magmatismo Triásico-Jurásico del Macizo de Santander-Colombia. XVICongreso Colombiano de Geología y III Simposio de Exploradores, Geología, Sociedad y Territorio. Santa Marta, Colombia.
Royero, J.M. (1996). Geología de la Plancha 65, Tamalameque (Departamentos del Cesar y Bolívar). Memoria Explicativa. INGEOMINAS, 78p. Bucaramanga.
Royero, J., Clavijo, J., Bernal, L., y Barbosa, G. (1994). Geología de la Plancha 65-Tamalameque. Escala 1:100.000. Mapa Geológico. INGEOMINAS. Bogotá.
Rubatto, D. (2002). Zircon trace element geochemistry: partitioning with garnet and the link between U-Pb ages and metamorphism. Chemical Geology, 184(1-2), 123-138. doi: 10.1016/S0009-2541(01)00355-2.
Sarmiento, G., Puentes, J., y Sierra, C. (2015). Evolución geológica y estratigrafía del Sector Norte del Valle Medio del Magdalena. Geología Norandina, 12, 51-82.
Schmid, R. (1981). Descriptive nomenclature and classification of pyroclastic deposits and fragments: Recommendations of the IUGS Subcommission on the Systematics of Igneous Rocks. Geology, 9(1), 41-43.
Shand, S.J. (1943). Eruptive Rocks. Their Genesis, Composition, Classification, and their Relation to Ore-Deposits with a Chapter on Meteorites. New York: John Wiley & Sons.
Sláma, J., Kosler, J., Condon, D.J., Crowley, J.L., Gerdes, A., Hanchar, J.M., Horstwood, M.S.A., Morris, G.A., Nasdala, L., Norberg, N., Schaltegger, U., Schoene, B., Tubrett, M.N., and Whitehouse, M.J. (2008). Plesovice zircon - A new natural reference material for U-Pb and Hf isotopic microanalysis. Chemical Geology, 249(1-2), 1-35. doi: 10.1016/j.chemgeo.2007.11.005.
Solari, L., Gómez-Tuena, A., Bernal, J., Pérez-Arvizu, O., and Tanner, M. (2010). U-Pb Zircon Geochronology with an Integrated LA-ICP-MS Microanalytical Workstation: Achievements in Precision and Accuracy. Geostandards and Geoanalytical Research, 34(1), 5-18. doi: 10.1111/j.1751-908X.2009.00027.x.
Stacey, J.S., and Kramers, J.D. (1975). Approximation of terrestrial lead isotope evolution by a two-stage model. Earth and Planetary Science Letters, 26(2), 207-221. doi: 10.1016/0012-821X(75)90088-6.
Streckeisen, A. (1978). IUGS Subcommission on the Systematics of Igneous Rocks: Classification and nomenclature of volcanic rocks, lamprophyres, carbonatites and melilitic rocks; recommendation and suggestions. Neues Jahrbuch für Mineralogie - Abhandlungen, 134, 1-14.
Sun, S.S., and McDonough, W.F. (1989). Chemical and isotopic systematics of oceanic basalts: implications for mantle composition and processes. In: A.D. Sanders, M.J. Norry (Eds.). Magmatism in oceanic basins (pp. 313-345). Oxford: Geological Society of London, Special Publication, 42.
Tschanz, C., Jimeno, A., and Cruz, J. (1969). Geology of the Sierra Nevada de Santa Marta area, Colombia. INGEOMINAS, informe interno No. 1829. Bogotá.
Tschanz, C.M., Marvin, R.F., Cruz, B.J., Mehnert, H.H., and Cebula, G.T. (1974). Geologic evolution of the Sierra Nevada de Santa Marta, northeastern Colombia. GSA Bulletin, 85(2), 273 284. doi: 10.1130/0016-7606(1974)85<273:GEOTSN>2.0.CO;2.
Van der Lelij, R., Spikings, R., and Mora, A. (2016). Thermochronology and tectonics of the Mérida Andes and the Santander Massif, NW South America. Lithos, 248-251, 220-239. 10.1016/j. lithos.2016.01.006.
Velandia, F., García, H., López, J., Bermúdez, M., Zuluaga, C., y Taboada, A. (2017). Modelo estructural del Macizo de Santander y zonas adyacentes. XVICongreso Colombiano de Geología y III Simposio de Exploradores, Geología, Sociedad y Territorio. Santa Marta, Colombia.
Ward, D.E., Goldsmith, R., Cruz, J., y Restrepo, H. (1973). Geología de los Cuadrángulos H-12 Bucaramanga y H-13 Pamplona, Departamento de Santander. Boletín Geológico, 21(1-3), 1-133.
Whitney, D.L., and Evans, B.W. (2010). Abbreviations for names of rock-forming minerals. American Mineralogist, 95(1), 185-187. doi: 10.2138/ am.2010.3371.
Wiedenbeck, M., Allé, P., Corfu, F., Griffin, W.L., Meier, M., Oberli, F., von Quadt, A., Roddick, J.C., and Spiegel, W. (1995). Three natural zircon standards for U-Th-Pb, Lu-Hf, trace element and REE analyses. Geostandards Newsletter, 19(1), 1-23. doi: 10.1111/j.1751-908X.1995.tb00147.x.
Wiedenbeck, M., Hanchar, J.M., Peck, W.H., Sylvester, P., Valley, J., Whitehouse, M., Kronz, A., Morishita, Y., Nasdala, L., Fiebig, J., Franchi, I., Girard, J.P., Greenwood, R.C., Hinton, R., Kita, N., Mason, P.R.D., Norman, M., Ogasawara, M., Piccoli., P.M. , Rhede, D., Satoh, H., Schulz-Dobrick, B., Skâr, 0., Spicuzza, M.J., Terada, K., Tindle, A., Togashi, S., Vennemann, T., Xie, Q., and Zheng, Y.F. (2004). Further characterisation of the 91500 zircon crystal. Geostandards and Geoanalytical Research, 28(1), 9-39. doi: 10.1111/j.1751-908X.2004.tb01041.x.
Winchester, J.A., and Floyd, P. A. (1977). Geochemical discrimination of different magma series and their differentiation products using immobile elements. Chemical Geology, 20, 325-343. doi: 10.1016/0009-2541(77)90057-2.
Notas
Notas de autor
(*) anmcorreama@unal.edu.co; grodriguez@sgc.gov.co, isabelara84@hotmail.com; gilbertozapatag@yahoo.com