Artículos científicos
Structural analysis of the Bogotá Anticline, Colombian Eastern Cordillera: Implications on deformational styles of the Llanos Foothills
Análisis estructural del Anticlinal de Bogotá, Cordillera Oriental de Colombia: Implicaciones en el estilo de deformación del Piedemonte Llanero
Structural analysis of the Bogotá Anticline, Colombian Eastern Cordillera: Implications on deformational styles of the Llanos Foothills
Boletín de Geología, vol. 41, núm. 3, pp. 15-30, 2019
Universidad Industrial de Santander
Recepción: 21 Marzo 2019
Aprobación: 21 Agosto 2019
ABSTRACT: In this study we describe and discuss a structural analysis of the Bogotá Anticline, based on the creation of a new geological map and structural cross sections, to propose a model of evolution for the folding. The Bogotá Anticline is a complex geological structure with important variations in vergence and geometry over very short distances. Because of that, its formation was previously associated with gravitational collapses. The Bogotá Anticline is located in the Bogotá Plateau, which is part of the axial zone of the Eastern Cordillera of Colombia. We propose that this fold displays a lateral variation that evidence different stages of deformation of a faulted detachment fold with a detachment horizon located in the Chipaque Formation. A proposed thrust fault located to the east of the structure could generate the necessary shortening for the formation of this fold. The proposed model may serve as an analogue in an earlier less deformed state for the folds observed in similar rocks of the Llanos foothills.
Keywords: Eastern Cordillera, detachment folds, Llanos foothills, Andean orogeny.
RESUMEN: En este trabajo se describe y se discute un análisis estructural del Anticlinal de Bogotá, en donde a partir de la creación de un nuevo mapa geológico y secciones estructurales, se propone un modelo de evolución del plegamiento. El Anticlinal de Bogotá es una estructura geológica compleja con variaciones importantes en su vergencia y en su geometría en distancias muy cortas, por lo cual su formación fue asociada en el pasado a colapsos gravitacionales. El Anticlinal de Bogotá se encuentra en el Plateau de Bogotá, que hace parte de la zona axial de la Cordillera Oriental de Colombia. En este trabajo se propone que este pliegue muestra una variación lateral que evidencia diferentes etapas de deformación de un pliegue de despegue fallado con un horizonte de despegue ubicado en la Formación Chipaque. Una falla de cabalgamiento propuesta al este de la estructura de estudio podría generar el acortamiento necesario para la formación de este pliegue. El modelo propuesto podría servir como un análogo para un estado anterior de menor deformación para los pliegues observados en rocas similares del Piedemonte Llanero.
Palabras clave: Cordillera Oriental, pliegues de despegue, Piedemonte Llanero, Orogenia Andina.
INTRODUCTION
The Colombian Northern Andes are characterized by three mountain ranges, the Western Cordillera, the Central Cordillera and the Eastern Cordillera, each one with different geological features and originated due to the complex interaction between the Nazca and Caribe plates with the South American Plate since the Mesozoic (Dengo and Covey, 1993). The Eastern Cordillera constitutes a bivergent thrust belt ranging from 110 to 200 km in extension. Its evolution includes different steps during the Cenozoic, and it has been related to the inversion of a Lower Cretaceous rift associated with a back-arc basin. It is therefore an inversion orogen (Colletta et al., 1990), (Cooper et al., 1995), (Mora et al., 2006) (Hermeston and Nemčok., 2013) (Tesón et al., 2013), (Teixell et al., 2015). The Eastern Cordillera can be divided into three structural domains, the western thrust belts in the Middle Magdalena Valley with a west verging tendency (e.g.Moreno et al., 2013), (Sánchez et al., 2012), the eastern thrust belt or Llanos Foothills with an east verging tendency (e.g.Mora et al., 2010a) and the Bogotá Plateau (e.g.Parra et al., 2009a), (Carrillo et al., 2016), the main focus of this work. This domain is a topographically elevated structural depression in the axial zone of the Eastern Cordillera bounded by two basement highs, formed by a passive uplift during the evolution of the main thrusts in the adjacent structural domains (Mora et al., 2008). Folding in the Bogotá Plateau has been poorly studied and these few works have mostly focused on the surface geology because of the lack of available subsurface information (Julivert, 1970), (Cortés et al., 2006), (García and Jiménez, 2016). The structures found in the Bogotá Plateau are anticlines and synclines involving rock units with ages varying from Upper Cretaceous to Paleogene and that are often associated with salt diapires and overturned limbs (Julivert, 1963), (McLaughlin, 1972). The presence of low competency sedimentary units allow the decoupling of the basement and the overlying rocks, causing detachment folds or imbricated thrusts, as seen in the Pyrenees and the Atlas Mountains (Babault et al., 2013). The Bogotá Anticline is a west-vergent structure located in the easternmost zone of the Bogotá Plateau (Figure 1 and Figure 2). It is a 12 km long fold adjacent to the city of Bogotá, with strong variations in the dip angle of the limbs. Julivert (1970) associated these abrupt geometrical changes over a very small distance to gravitational collapse of the limbs. Mora and Kammer (1999) include the Bogotá Anticline in some of their cross sections considering the hypothesis by Julivert (1970) of a gravitational collapse and recreating a pre-collapse state for their interpretations, therefore excluding the complex changes in dip angle and orientation of some segments. In this work we present a different interpretation for the evolution of the Bogotá Anticline using field information and interpretation of aerial photographs to develop a structural characterization of the fold and thus create several cross sections to determine if the strong variation in the geometry of the structure corresponds to the change from a disharmonic detachment fold in the north zone to lift-off folds in the south zone. In such case, the anticline would therefore represent different stages of evolution of the same folding process (Mitra, 2003). We then compare this model of evolution with similar folds, regarding both the lithology and the structural style, in the Llanos Foothills.


GEOLOGICAL SETTING
The Northern Andes differs from the Central and Southern Andes because of the presence of the Nazca, Caribbean and South American tectonic plates since the Mesozoic (Colletta et al., 1990), (Cooper et al., 1995), (Reyes-Harker et al., 2015). In Colombia, three different mountain ranges can be identified: the Western Cordillera, originated from the accretion of allochthonous oceanic terrains to the South American Plate since the Cretaceous; the Central Cordillera, constituted by igneous intrusions and metamorphic belts of continental affinity, and the Eastern Cordillera, originated from the tectonic inversion of a Lower Cretaceous rift, caused by the stresses generated from the indentation of the Panamá-Chocó arch since the Late Oligocene (Taboada et al., 2000), (Parra et al., 2009b), (Farris et al., 2011), (Mora et al., 2013a). The Eastern Cordillera shows a double verging character inherited from the rift structures, creating two marginal thrust belts on both flanks of the Eastern Cordillera, the Magdalena Valley to the west (Caballero et al., 2013), (Parra et al., 2012) and the Llanos Foothills to the east (Jimenez et al., 2013), (Támara et al., 2015), both with thick-skin and thin-skin deformation. In the axial zone of the Eastern Cordillera lays the Bogotá Plateau exhibiting thin-skin deformation and constituting a structural depression at altitudes above 3000 m.a.s.l. (e.g. Carrillo et al., 2016). Mora et al. (2008) propose the Bogotá Plateau as a Piggy-Back Basin passively uplifted by the principal western marginal thrust faults. The Bogotá Anticline is found in the easternmost margin of the Bogotá Plateau, bordering the city of Bogotá and constituting what is referred to as the Cerros Orientales (Eastern Hills). In this anticline there are outcrops of rocks units aging from Cretaceous to Paleogene in age (Figure 3) and were first described in high detail by Pérez and Salazar (1973). The tops of the hills are dominated by the morphological expression of the Guadalupe Group, constituted by the Arenisca Dura, Plaeners and Labor y Tierna Formations. A less competent unit can be identified in the core of the anticline corresponding to the morphological expression of the Chipaque Formation. The geometry of this strata in the Bogotá Anticline can vary from normal to overturned along very few kilometers. Julivert (1970) states that these abrupt changes in geometry are related to gravitational collapse of the limbs due to erosion of the crestal zone, leading to individual behavior of each limb.

Nonetheless, the presence of detachment folds in the Bogotá Plateau has been already demonstrated and they are also very common in other inverted orogens (Kammer 1996), (Kammer 1997); (Kammer and Mora, 1999), (Mora and Kammer, 1999), (Tesón et al., 2013). Detachment folds form in areas with high contrasts in competency and thickness between sedimentary units and can be classified in two types of geometries: disharmonic detachment folds and lift-off folds (Mitra, 2003) (Figure 4). Detachment folds are characterized by layer parallel lengthening in the outer arcs and internal deformation and shortening of layers in the core, terminating in a basal detachment while the liftoff folds are characterized by isoclinal folding in the internal arcs closer to the basal detachment. These two types of structures can represent different stages of the same evolutionary sequence during a limb rotation in a single trend of folds. They may start as low amplitude folds, continuing as box folds to become high amplitude and short wavelength lift-off folds. These types of folds can be symmetric, asymmetric or faulted depending on the characteristic of the detachments and high strains on the fold during limb rotation (Jamison, 1987), (Currie et al., 1962), (Davis and Engelder, 1985), (Epard and Groshong, 1995), (Homza and Wallace, 1995), (Kammer, 1996) (Mitra, 2002). Examples of mountain ranges with detachments folds at different stages of evolution can be found in the Jura Mountains in Switzerland (Buxtorf, 1916), the Zagros fold belt in Iran (Hull and Warman, 1970) and the Parry Mountains fold belt in the USA (Harrison and Bally, 1988).

METHODOLOGY
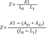
To characterize the Bogotá Anticline both structurally and lithologically, extensive field mapping and interpretation of aerial photographs were carried out. A geological map at scale 1:50.000 including the Bogotá Anticline and the Teusacá Syncline was produced, and due to the complex variations in the polarity of the strata we divide the structure in three segments: The Northern Zone, with normal dip angles in the eastern limb and overturned dip angles in the western limb; the Central Zone, with both limbs overturned; and the Southern Zone, with overturned beds in the eastern limb and normal dip angles in the western limb (Figure 2). Along these segments we interpreted five cross sections using the geometric methods proposed by Suppe (1983). The angular geometries generated when using these methods were smoothed to more realistic and rounded geometries. A restoration of these cross sections was done using the Flow Parallel Flow method for a not faulted state and the Flexural Slip Unfolding method for an unfolded state, using the software Move 2016 (Midland Valley) that allows structural modeling. The geological information of the units located east of the Teusaca Syncline was obtained from the maps published by Mora and Kammer (1999). The depths to detachment were calculated using the method proposed by Mitra (2003) for fold belts with structures of different wavelength-amplitude ratios (Figure 5). This method modifies the Chamberlin equation (Chamberlin, 1910) (1). The principle behind that equation proposes that the depth to detachment (Z) of a fold is given by the relationship between the excess area (A), (i.e. the area of the anticline above the regional level) and the amount of shortening (L0-L1). To do that, it also considers the total area (As1 +AS2 ) flowing from the syncline below the regional level towards the anticlines in the first stages of formation of a detachment fold (2).
[1]

RESULTS
Map and cross sections
After different phases of field geological mapping, we used new and existing structural and stratigraphic data to create a geologic map at scale 1:50.000 (Figure 2). Based on those data sets we created five cross sections. Sections A-A’ and B-B’ (Figure 6 and Figura 7) cut the Northern Zone of the Bogotá Anticline across the Paramo de Las Moyas and La Vieja creek respectively (Figure 2). The Northern Zone is characterized by a symmetric anticline with an amplitude of approximately 0,7 km and a wavelength of 6,5 km. The western limb is overturned with steep dips (30° to 60°) and the eastern limb is normal with gentle dips (10° to 30°), followed by synclines in both limbs below the regional level. The syncline documented along the eastern limb is faulted by the Teusacá Fault (Figure 6 and Figure 7). The geological information east of this fault was taken from Mora and Kammer (1999) and is used to give a widespread regional context. A fault referred to as the Bogotá Fault (Figure 2 and Figure 6) can explain the steeper dips (70° to 80°) of the Cacho Formation in the footwall of the western limb. Sections C-C’ and D-D’ (Figure 8 and Figure 9) cut across the Central Zone through the Alto del Cable Hill and the Monserrate Hill (Figure 2), respectively. Both limbs are overturned with steep dips (30° to 60°) and there is a fault crossing through the hinge. This fault is here referred to as El Verjón Fault (Figure 2 and Figure 8) and displays both strike-slip and reverse sense of movement as shown in the left-lateral displacement observed in the Plaeners Formation and the faulted contact between the Labor y Tierna Formation and the Arenisca Dura Formation. In section C-C’ the Bogotá Fault (Figure 2 and 6) can be found but there is no evidence of this fault in section D-D’. The Teusacá Fault (Figure 6 and Figure 7) to the east does not crop out in these sections.
Section E-E’ (Figure 10) cuts the Southern Zone of the Bogotá Anticline across the Guadalupe Hill and about 1.8 km north of the La Viga Hill (Figure 2). This zone is characterized by dips with normal polarity in the western limb with steep angles (35° to 70°) and overturned dips in the eastern limb with relatively steep angles (30° to 60°). However, in the lower part of the western limb, dips with eastern directions can be found, evidencing that the not outcropping portion of the limb is overturned, thus forming a very tight syncline.
For all the balanced cross sections (FigureS 6, 7, 8, 9 and 10) we show the restoration for an unfaulted state of deformation and a previous state without folding, evidencing the shortening created by each process of deformation.




Depths to detachment
Once the geometries of the folds were defined it was possible to quantify the excess area (A), the area of the synclines below the regional level (As1 +AS2 ) and the amount of shortening (L0-L1) to determine the depth to detachment (Z), using equation 2. Because the area of the synclines below the regional level decreases from the Northern Zone to the Southern Zone where it reaches zero, in the D-D’ and E-E’ cross sections the equation 1 was used. While the Epard and Groshong equation (Epard and Groshong, 1995) to calculate depths to detachments is more accurate than the Chamberlain equation, it fails when the variation of the amplitude-wavelength ratios is high, as in this case.

The obtained values range from 200 m to 650 m below the base of the Arenisca Dura Formation (Table 1). Using the thickness values calculated by Mora and Kammer (1999) for the stratigraphic units in the Bogotá Plateau, the detachment can be found within the Chipaque Formation, whose thickness can vary from 680 m to 730 m. The Chipaque Formation is composed predominantly by mudstones and black shales (Figure 3), low competency materials that can facilitate the slip along a basal detachment.
DISCUSSION
Wiltschko and Chapple (1977) propose for their work in the Appalachians, that all units in a detachment fold with high wavelength-amplitude ratios in an early stage of development sink below their regional levels within the synclines surrounding the anticlines. Mitra (2002) proposes that such detachment folds form when an incompetent basal unit is underlying a thick sequence of a more competent unit. In this scenario, deformation in the limbs initially occurs by flexural slip folding. At this early stage the fold behaves as an asymmetric fold with gentle dips in the rear limb and relatively steep dips in the front limb. Such low amplitude and high wavelength fold deform primarily by the flow of material within the basal incompetent unit into the anticlinal core. As deformation continues the fold tightens due to rotation of the frontal limb, creating internal shear in the hinges and prompting a thrust fault in the frontal limb to allow further accommodation (i.e. Bogotá Fault, Figure 2 and 6). In a second phase, as the growth of the fold continues, the synclines return to their original positions. This evolutionary model proposes that as the fold tightens geometries like box folds can occur to finally acquire isoclinal geometries like lift-off folds (Figure 4). This also explains the lateral variation in thickness of the ductile unit, as it gets thinner bellow the synclines as the material flows to the anticlinal core at the first stages of deformation, until the synclines return to their original position above the regional level, where it returns to its original thickness. The final geometry of the fold will depend upon the thickness of the competent units and the viscosity between units, leading to the creation of faults and defining its symmetry (Mitra, 2003). All of the above can be seen in the Bogotá Anticline. In the Northern Zone faulted asymmetric detachment folds occur with high wavelength-amplitude ratios, rotation in the overturned frontal limb and gentle dips in the rear limb with normal dip polarities (Figure 6 and 7). In the Central Zone a tightened fold occurs, with both limbs overturned and faulted in the front limb, showing a box-fold type geometry, exhibiting a collapsed hinge possibly caused by the expelling of ductile material from the incompetent basal unit, along the strike. In the Southern Zone a much more tightened fold occurs, with higher amplitudes and shorter wavelengths, where possibly all the units in the synclines are back at their regional levels, with an isoclinal geometry like those of the lift-off folds.
These variations in geometry and symmetry in the Bogotá Anticline can only be explained as different stages of the same folding process, as stated by Mitra (2003) and as it occurs in other fold belts as the Jura Mountains (Buxtorf, 1916), The Zagros fold belt (Hull and Warman, 1970), the Brooks Ranges (Namson and Wallace, 1986) and the San Rafael Swell (Royse, 1996). This lateral variation will also be showing a temporal variation of the fold, with younger stages of deformation in the Northern Zone and advanced stages in the Southern Zone. This model proposes that these abrupt changes in geometry are not related to individual behavior of the limbs caused by its gravitational collapse due to erosion of the crestal zone, as proposed by Julivert (1970). Although in the Central Zone a hinge collapse is proposed, this is very different from the gravitational collapse proposed by Julivert (1970) as we suggest this is not caused by early erosion of the hinges but instead related to migration of material out of the anticlinal core along the strike. Also, the gravitational collapse proposed by Julivert (1970) fails to explain the occurrence of the Bogotá Fault (Figure 2 and 6) proposed here to explain the abrupt changes in dip of the Labor y Tierna Formation (40°) to the Cacho Formation (80°) in the Northern Zone of the anticline.
The obtained depth to detachment in the Chipaque Formation matches the proposed by Dengo and Covey (1993) for the Eastern Cordillera, with principal detachments in the sedimentary units of the Lower Cretaceous beneath the Une Formation and minor detachments in the Upper Cretaceous units, like the Chipaque Formation. However, the structural style proposed here is very different compared with the fault bend folds and fault propagation folds suggested by Dengo and Covey (1993) and closer to the style proposed by Kammer (1996, 1997), Kammer and Mora (1999), Mora and Kammer (1999) and Tesón et al. (2013). Moreover, the age of this folding could be Oligocene, as suggested by correlations between folding, fracture patterns and temperature of fracture formations obtained with fluid inclusions and fission track data in apatite realized by (Mora et al. 2013b). This type of folding also characterized the early (i.e. Oligocene) evolution of the Eastern Cordillera, which occurred under lower rates of deformation and below more than 6 km of overburden (Mora et al. 2013b; De la Parra et al. 2015). This model of evolution and the observed geometries, with less shortening, do not coincide with Dengo and Covey (1993) styles.
With all this data we can propose a model of evolution for the Bogotá Anticline, where a west verging thrust fault located to the east could generate the necessary shortening for the formation of the folds. This thrust fault should have a detachment in the Macanal Formation and cut structurally upwards until reaching
a flat in the Chipaque Formation (i.e. the detachment horizon calculated for the Bogotá Anticline). We propose that the tectonic push of this fault to the east and toward the west, against younger units to the west creates a belt of detachment folds (Figure 2, FigureS 6 to 10, Figure 11). This alternative model is still highly speculative and is in contrast with the model proposed by Kammer and Mora (1999) where a homogeneous strain and flattening in lower stratigraphic units would generate detachment-like folds in the upper structural levels.
This interpretation can be used as an analogue for an earlier and less deformed stage of evolution of the Llanos foothills where similar stratigraphic units have been documented and exhibit high competency contrasts. There, the complexity of the structures prevents the acquisition of seismic images of good quality. This ambiguity leads to multiple interpretations for the existing data in the Llanos foothills. Since our model is based on direct observations and surface mapping and the deformed materials are analogue, we suggest that it can be used as an analogue to predict the occurrence of faulted and asymmetric detachment folds in the Llanos Foothills (Figure 11). This is similar to the style proposed by Martinez (2006), Mora et al. (2010b) and Jimenez et al (2013), which also implies that the initial folding occurred during an earlier phase of deformation by the Late Oligocene to Early Miocene. Martinez (2006) and (Mora et al. 2014) suggest that in a more advanced stage and under higher deformation rates and overburden these detachment folds stack on top of each other in a set of antiforms which are highly productive for hydrocarbons.
Rowan et al. (2003) proposed that overturned limbs and box fold geometries are often associated with salt diapirs. While other folds in the Bogotá Plateau have been related with salt diapirs that can condition the evolution and symmetry of this folds (García and Jiménez, 2016), there is no direct evidence for the presence of these diapirs in the Bogotá Anticline besides the apparent complexity of its geometries and its growth by limb rotation. Even though, more studies including gravimetric measurements can be carried in order to identify the absence or presence of these salt structures.


CONCLUSIONS
The complex variations in geometry of the Bogotá Anticline can be interpreted as different stages of evolution of the same detachment fold. In the Northern Zone folding displays a high wavelength-amplitude ratio and overturned limbs to the east along the western limb and gentle dips along the eastern limb. The Center Zone evidence a fold with geometries similar to box folds with both limbs overturned and the Southern Zone presenting isoclinal geometries with low wavelength-amplitude ratios. All of this is consistent with the model of evolution for detachment folds proposed by Mitra (2003). Towards the Central Zone a collapse in the hinges can be interpreted because of the ductile material flux along the strike due to increasing deformation, creating the El Verjón Fault (Figure 2 and 8) with inverse movement as well as a left-lateral strike slip component evidenced in the displacement of the Plaeners Formation.
The depth to detachment was calculated in the Chipaque Formation. This agrees with the proposed minor detachments in the Upper Cretaceous of Dengo and Covey (1993). Deeper detachments can be found in the Macanal Formation to the west which can create west verging thrust faults that cut structurally upwards to younger formations creating fault bend folds that provides the shortening needed to create detachment folds in zones where a high contrast of competency exists. This is the mechanism proposed for the creation of the detachment folds of the Bogotá Anticline. It is still necessary to validate the presence of such fault bend folds to the east of the study zone and identify if the repetition of the Une Formation in the valley of the Rio Blanco can explain this structure. This model can also explain the presence of other detachment folds in the Bogotá Plateau.
The proposed model can be used as an analogue for similar folds present in the Llanos Foothills, where poor seismic images make difficult to properly identify the structural behavior of the units.
ACKNOWLEDGMENTS
To Jaime Martínez, Daniel Bello and Camilo Higuera, for their valuable suggestions and commentaries. Special acknowledgment to Luis Carlos Escobar, Daniela Pinillla, Juan Pablo Arias and Diego Millán for their important accompaniment in several field trips and for their intellectual support and observations.
REFERENCES
Babault, J., Teixell, A., Struth, L., Van Den Driessche, J., Arboleya, M., and Tesón, E. (2013). Shortening, structural relief and drainage evolution in inverted rifts: insights from the Atlas Mountains, the Eastern Cordillera of Colombia and the Pyrenees. Geological Society of London, Special Publications, 377, 141-158
Buxtorf, A. (1916). Prognosen und befunde beim Hauenstembasisund Grenchenbergtunnel und die Bedeutung der letzeren fur die geologie des Juragebirges. Verhandlungen der Naturforschenden Gesellschaft in Basel, 27, 184-205. doi: 10.5169/seals-171852
Caballero, V., Parra, M., Mora, A., Lopez, C., Rojas, L., and Quintero, I. (2013). Factors controlling selective abandonment and reactivation in thick-skin orogens: a case study in the Magdalena Valley, Colombia. Geological Society, London, Special Publications, 377, 343-367. doi: 10.1144/SP377.4
Carrillo, E., Mora, A., Ketcham, R., Amorocho, R., Parra, M., Costantino, D., Robles, W., Avellaneda, W., Carvajal, J.S., Corcione, M.F., Bello, W., Figueroa, J.D., Gómez, J.F., González, J.L., Quandt, D., Reyes, M., Rangel, A.M., Román, I., Pelayo, Y., and Porras, J. (2016). Movement vectors and deformation mechanisms in kinematic restorations: A case study from the Colombian Eastern Cordillera. Interpretation, 4(1), T31-T48. doi: 10.1190/INT-2015-0049.1
Chamberlin, R.T. (1910). The Appalachian folds of central Pennsylvania. The Journal of Geology, 18(3), 228-251. doi: 10.1086/621722
Colletta, B., Hebrard, F., Letouzey, J., Werner, P., and Rudkiewicz, J.L. (1990). Tectonic style and crustal structure of the eastern Cordillera (Colombia) from a balanced cross-section. In: J. Letouzey (ed.). Petroleum and tectonics in mobile belts (pp. 81-100). Paris: Editions Technip
Cooper, M.A., Addison, F.T., Alvarez, R., Coral, M., Graham, R.H., Hayward, A.B., Howe, S., Martinez, J., Naar, J., Peñas, R., Pulham, A.J., and Taborda, A. (1995). Basin development and tectonic history of the Llanos Basin, Eastern Cordillera, and Middle Magdalena Valley, Colombia. AAPG Bulletin, 79(10), 1421-1442
Cortés, M., Colletta, B., and Angelier, J. (2006). Structure and tectonics of the central segment of the Eastern Cordillera of Colombia. Journal of South American Earth Sciences, 21(4), 437-465. doi: 10.1016/j.jsames.2006.07.004
Currie, J.B., Patnode, H.W., and Trump, R.P. (1962). Developments of folds in sedimentary strata. GSA Bulletin, 73(6), 655-673. doi: 10.1130/0016-7606 (1962) 73(655:DOFISS)2.0. CO;2
Davis, D.M., and Engelder, T. (1985). The role of salt in fold-and-thrust belts. Tectonophysics, 119(1-4), 67-88. doi: 10.1016/0040-1951(85)90033-2
De la Parra, F., Mora, A., Rueda, M., and Quintero, I. (2015). Temporal and spatial distribution of tectonic events as deduced from reworked palynomorphs in the eastern northern Andes. AAPG Bulletin, 99(8), 1455-1472. doi: 10.1306/02241511153
Dengo, C., and Covey, M.C. (1993). Structure of the Eastern Cordillera of Colombia: Implications for trap styles and regional tectonics. AAPG Bulletin, 77(8), 1315-1337
Epard, J.L., and Groshong Jr, R.H. (1995). Kinematic model of detachment folding including limb rotation, fixed hinges, and layer-parallel strain. Tectonophysics, 247(1-4), 85-103. doi: 10.1016/0040-1951(94)00266-C
Farris, D.W., Jaramillo, C., Bayona, G., RestrepoMoreno, S.A., Montes, C., Cardona, A., Mora, A., Speakman, R.J., Glascock, M.D., and Valencia, V. (2011). Fracturing the Panamanian Isthmus during initial collision with South America. Geology, 39(11), 1007-1010. doi: 10.1130/G32237.1
García, H., y Jiménez, G. (2016). Análisis estructural del Anticlinal de Zipaquirá (Cordillera Oriental, Colombia). Boletín de Ciencias de la Tierra, 39, 21-32. doi: 10.15446/rbct.n39.50333
Harrison, J.C., and Bally, A.W. (1988). Cross-section of the Parry Island fold belt on Melville Island, Canadian Arctic Islands; implications for the timing and kinematic history of some thin-skinned decollement systems. Bulletin of Canadian Petroleum Geology, 36(3), 311-332
Hermeston, S., and Nemčok, M. (2013). Thick-skin orogen-foreland interactions and their controlling factors, Northern Andes of Colombia. Geological Society, London, Special Publications, 377, 443-471
Homza, T.X., and Wallace, K.W. (1995). Geometric and kinematic models for detachment folds with fixed and variable detachment depths. Journal of Structural Geology, 17(4), 575-588. doi: 10.1016/0191-8141(94)00077-D
Hull, C.E., and Warman, H.R. (1970). Asmari oil fields of Iran. In: M.T. Halbouty (ed.). Geology of giant petroleum fields (pp. 428-437). AAPG Memoir, 14
Jamison, W.J. (1987). Geometric analysis of fold development in overthrust terranes. Journal of Structural Geology, 9(2), 207-219. doi: 10.1016/0191-8141(87)90026-5
Jimenez, L., Mora, A., Casallas, W., Silva, A., Tesón, E., Tamara, J., Namson, J., Higuera-Díaz, C., Lasso, A., and Stockli, D. (2013). Segmentation and growth of foothill thrust-belts adjacent to inverted grabens: the case of the Colombian Llanos foothills. Geological Society of London, Special Publications, 377, 189-220. doi: 10.1144/ SP377.11
Julivert, M. (1963). Los rasgos tectónicos de la región de la Sabana de Bogotá y los mecanismos de formación de las estructuras. Boletín de Geología, 13-14, 5-102
Julivert, M. (1970). Cover and basement tectonics in the Cordillera Oriental of Colombia, South America, and a comparison with some other folded chains. GSA Bulletin, 81(12), 3623-3646
Kammer, A. (1996). Estructuras y deformaciones del borde oriental del Macizo de Floresta. Geología Colombiana, 21, 65-80
Kammer, A. (1997). Los pliegues del sinclinal de Tunja. Análisis estructural y modelamiento geométrico. Geología Colombiana, 22, 3-25
Kammer, A., and Mora, A. (1999). Structural style and amount of shortening of the folded Bogotá segment, Eastern Cordillera of Colombia. Zentralblatt fuer Geologie und Palaeontologie, Teil I, 823-838
Martinez, J.A. (2006). Structural evolution of the Llanos Foothills, Eastern Cordillera, Colombia. Journal of South American Earth Sciences, 21(4), 510-520. doi: 10.1016/j.jsames.2006.07.010
McLaughlin, Jr. D.H. (1972). Evaporite deposits of Bogotá area, Cordillera Oriental, Colombia. AAPG Bulletin, 56(11), 2240-2259. doi: 10.1306/819A41FE-16C5-11D78645000102C1865D
Mitra, S. (2002). Structural models of faulted detachment folds. AAPG Bulletin, 86(9), 1673-1694. doi: 10.1306/61EEDD3C-173E-11D78645000102C1865D
Mitra, S. (2003). A unified kinematic model for the evolution of detachment folds. Journal of Structural Geology, 25(10), 1659-1673. doi: 10.1016/S01918141(02)00198-0
Mora, A., y Kammer, A., (1999). Comparación de los estilos estructurales en la sección entre Bogotá y los Farallones de Medina, Cordillera Oriental de Colombia. Geología Colombiana, 24, 55-83
Mora, A., Parra, M., Strecker, M.R., Kammer, A., Dimaté, C., and Rodríguez, F. (2006). Cenozoic contractional reactivation of Mesozoic extensional structures in the Eastern Cordillera of Colombia. Tectonics, 25(2). doi: 10.1029/2005TC001854
Mora, A., Parra, M., Strecker, M.R., Sobel, E.R., Hooghiemstra, H., Torres, V., and VallejoJaramillo, J. (2008). Climatic forcing of asymmetric orogenic evolution in the eastern Cordillera of Colombia. GSA Bulletin, 120(7-8), 930-949. doi: 10.1130/B26186.1
Mora, A., Parra, M., Strecker, M.R., Sobel, E.R., Zeilinger, G., Jaramillo, C., Da Silva, S., and Blanco, M. (2010a). The eastern foothills of the Eastern Cordillera of Colombia: An example of multiple factors controlling structural styles and active tectonics. GSA Bulletin, 122(11-12), 1846-1864. doi: 10.1130/B30033.1
Mora, A., Horton, B.K., Mesa, A., Rubiano, J., Ketcham, R.A., Parra, M., Blanco, V., García, D., and Stockli, D. (2010b). Migration of Cenozoic deformation in the Eastern Cordillera of Colombia interpreted from fission track results and structural relationships: Implications for petroleum Systems. AAPG Bulletin, 94(10), 1543-1580. doi: 10.1306/01051009111
Mora, A., Reyes-Harker, A., Rodriguez, G., Tesón, E., Ramirez-Arias, J.C., Parra, M., Caballero, V., Mora, J.P., Quintero, I., Valencia, V., Ibañez, M., Horton, B.K., and Stockli, D.F. (2013a). Inversion tectonics under increasing rates of shortening and sedimentation: Cenozoic example from the Eastern Cordillera of Colombia. Geological Society, London, Special Publications, 377, 411-442. doi: 10.1144/SP377.6
Mora, A., Blanco, V., Naranjo, J., Sanchez, N., Ketcham, R.A., Rubiano, J., Stockli, D.F., Quintero, I., Nemčok, M., Horton, B.K., and Davila, H. (2013b). On the lag time between internal strain and basement involved thrust induced exhumation: The case of the Colombian Eastern Cordillera. Journal of Structural Geology, 52, 96-118. doi: 10.1016/j.jsg.2013.04.001
Mora, A., Ketcham, R.A., Higuera-Diaz, I.C., Bookhagen, B., Jimenez, L., and Rubiano, J. (2014). Formation of passive-roof duplexes in the Colombian Subandes and Perú. Lithosphere, 6(6), 456-472. doi: 10.1130/ L340.1
Mora, A., Tesón, E., Martínez, J., Parra, M., Lasso, A., Horton, B.K., Ketcham, R.A., Velásquez, A., and Arias-Martínez, J.P. (in press). The Eastern Foothills of Colombia. In: J. Gómez-Tapias, D. MateusZabala (eds.). The Geology of Colombia (pp. 95117). vol. 3, chapter 5. Bogotá: Servicio Geológico Colombiano
Moreno, N., Silva, A., Mora, A., Tesón, E., Quintero, I., Rojas, L., Lopez, C., Blanco, V., Castellanos, J., Sanchez, J., Osorio, L., Namson, J., Stockli, D., and Casallas, W. (2013). Interaction between thin- and thick-skinned tectonics in the foothill areas of an inverted graben. The Middle Magdalena Foothill belt. Geological Society, London, Special Publications, 377, 221-255. doi: 10.1144/SP377.18
Namson, J.S., and Wallace, W.K. (1986). A structural transect across northeastern the Brooks Range, Alaska. Geology Society of America Abstracts with Programs, 16, 163
Parra, M., Mora, A., Sobel, E.R., Strecker, M.R., and González, R. (2009a). Episodic orogenic front migration in the northern Andes: Constraints from low-temperature thermochronology in the Eastern Cordillera, Colombia. Tectonics, 28(4). doi: 10.1029/2008TC002423
Parra, M., Mora, A., Jaramillo, C., Strecker, M.R., Sobel, E.R., Quiroz, L., Rueda, M., and Torres, V. (2009b). Orogenic wedge advance in the northern Andes: Evidence from the Oligocene-Miocene sedimentary record of the Medina Basin, Eastern Cordillera, Colombia. GSA Bulletin, 121(5-6), 780-800. doi: 10.1130/B26257.1
Parra, M., Mora, A., Lopez, C., Rojas, L.E., and Horton, B.K. (2012). Detecting earliest shortening and deformation advance in thrust belt hinterlands: example from the Colombian Andes. Geology, 40(2), 175-178. doi: 10.1130/G32519.1
Pérez, G., y Salazar, A. (1973). Estratigrafía y facies del grupo Guadalupe. Tesis, Universidad Nacional de Colombia, Colombia
Reyes-Harker, A., Ruiz-Valdivieso, C.F., Mora, A., Ramírez-Arias, J.C., Rodriguez, G., De La Parra, F., Caballero, V., Parra, M., Moreno, N., Horton, B.K., Saylor, J.E., Silva, A., Valencia, V., Stockli, D., and Blanco, V. (2015). Cenozoic paleogeography of the Andean foreland and retroarc hinterland of Colombia. AAPG Bulletin, 99(8), 1407-1453. doi: 10.1306/06181411110
Rowan, M.G., Lawton, T.F., Giles, K.A., and Ratliff, R.A. (2003). Near-salt deformation in La Popa Basin, Mexico, and the northern Gulf of Mexico: A general model for passive diapirism. AAPG Bulletin, 87(5), 733-756
Royse, F. (1996). Detachment fold train, Reed Wash area, west flank San Rafael swell, Utah: An example of limb lengthening, roll-through folding process on the eastern margin of the Sevier thrust belt. The Mountain geologist, 33, 45-64
Sánchez, J., Horton, B.K., Tesón, E., Mora, A., Ketcham, R.A., and Stockli, D.F. (2012). Kinematic evolution of Andean fold-thrust structures along the boundary between the Eastern Cordillera and Middle Magdalena Valley basin, Colombia. Tectonics, 31(3). doi: 10.1029/2011TC003089
Suppe, J. (1983). Geometry and kinematics of Faultbend Folding. American Journal of Science, 283, 684-721
Taboada, A., Rivera, L.A., Fuenzalida, A., Cisternas, A., Philip, H., Bijwaard, H., Olaya, J., and Rivera, C. (2000). Geodynamics of the northern Andes: Subductions and intracontinental deformation (Colombia). Tectonics, 19(5), 787-813. doi: 10.1029/2000TC900004
Támara, J., Mora, A., Robles, W., Kammer, A., Ortiz, A., Sanchez-Villar, N., Piraquive, A., Rueda, L.H., Casallas, W., Castellanos, J., Montaña, J., Parra, L.G., Corredor, J., Ramirez, A., Zambrano, E. (2015). Fractured reservoirs in the Eastern Foothills, Colombia, and their relationship with fold kinematics. AAPG Bulletin, 99(8), 1599-1633. doi: 10.1306/09291411109
Teixell, A., Tesón, E., Ruiz, J.C., and Mora, A. (2015). The structure of an inverted back-arc rift: Insights from a transect across the Eastern Cordillera of Colombia near Bogota. In: C. Bartolini, P. Mann (eds.). Petroleum geology and potential of the Colombian Caribbean Margin (pp. 499-515). AAPG Memoir, 108
Tesón, E., Mora, A., Silva, A., Namson, J., Teixell, A., Castellanos, J., Casallas, W., Julivert, M., Taylor, M., Ibañez-Mejia, M., and Valencia, V. (2013). Relationship of Mesozoic graben development, stress, shortening magnitude, and structural style in the Eastern Cordillera of the Colombian Andes. Geological Society of London, Special Publications, 377, 257-283. doi: 10.1144/SP377.10
Wiltschko, D.V., and Chapple, W.M. (1977). Flow of weak rocks in Appalachian Plateau Folds. AAPG Bulletin, 61(5), 653-670
Notas
Notas de autor
*dbarrer4@eafit.edu.co