Abstract:
Research Objectives: This research aimed to approach the management of municipal fiscal policies by investigating the causes of its economic growth and examining its fiscal and historical effects on the variation of GDP in municipalities.
Theoretic Background: Institutional theory and endogenous economic growth was used to support our models and posterior analysis.
Methodology: We used the Brazilian municipalities as our case study, taking the IBGE and STN databases for the period from 2002 to 2018. We examined the effects of municipal fiscal variables, such as expenses and revenues, and historical facts on the variation rates of municipal GDPs by using panel data models.
Findings: Results show that historical factors were statistically significant for municipal economic growth. Specifically, in the Brazilian case, municipalities close to the Sugar and Coffee Cycles regions and those that have been the farthest municipalities away from Portugal.
Originality: We couldn’t find similar studies with this approach to the best of our knowledge.
Theoretical and practical contributions: Findings obtained from this research are relevant for policymakers in general since they point to the role of historical factors in public economic policies.
Keywords: Fiscal policy, Economic growth, Historical factors.
Resumo:
Objetivos da Pesquisa: Esta pesquisa teve como objetivo abordar a gestão das políticas fiscais municipais investigando as causas de seu crescimento econômico e examinando seus efeitos fiscais e históricos na variação do PIB dos municípios.
Enquadramento Teórico: A teoria institucional e o crescimento econômico endógeno foram usados para apoiar nossos modelos e análise posterior.
Metodologia: Usamos os municípios brasileiros como nosso estudo de caso, tomando as bases de dados do IBGE e da STN para o período de 2002 a 2018. Examinamos os efeitos de variáveis fiscais municipais, como despesas e receitas, e fatos históricos sobre as taxas de variação das taxas municipais. PIBs usando modelos de dados em painel.
Resultados: Os resultados mostram que os fatores históricos foram estatisticamente significativos para o crescimento econômico municipal. Especificamente, no caso brasileiro, municípios próximos às regiões dos Ciclos do Açúcar e do Café e aqueles que têm sido os municípios mais distantes de Portugal.
Originalidade: Não encontramos estudos semelhantes com essa abordagem.
Contribuições teóricas e práticas: Os achados desta pesquisa são relevantes para os formuladores de políticas em geral, pois apontam para o papel de fatores históricos nas políticas econômicas públicas.
Palavras-chave: Política fiscal, Crescimento econômico, Fatores históricos.
Resumen:
Objetivos de la Investigación: Esta investigación tuvo como objetivo abordar la gestión de las políticas fiscales municipales investigando las causas de su crecimiento económico y examinando sus efectos fiscales e históricos en la variación del PIB en los municipios.
Antecedentes teóricos: Se utilizó la teoría institucional y el crecimiento económico endógeno para sustentar nuestros modelos y análisis posterior.
Metodología: Utilizamos los municipios brasileños como nuestro estudio de caso, tomando las bases de datos del IBGE y STN para el período de 2002 a 2018. Examinamos los efectos de las variables fiscales municipales, como gastos e ingresos, y hechos históricos en las tasas de variación de los ingresos municipales. PIB utilizando modelos de datos de panel.
Resultados: Los resultados muestran que los factores históricos fueron estadísticamente significativos para el crecimiento económico municipal. Específicamente, en el caso brasileño, municipios cercanos a las regiones de los Ciclos del Azúcar y del Café y aquellos que han sido los municipios más alejados de Portugal.
Originalidad: no pudimos encontrar estudios similares con este enfoque hasta donde sabemos.
Aportes teóricos y prácticos: Los hallazgos obtenidos de esta investigación son relevantes para los hacedores de políticas en general, ya que apuntan al papel de los factores históricos en las políticas económicas públicas.
Palabras clave: Política fiscal, Crecimiento económico, Factores históricos.
Artigos
Analysis of factors for the economic growth of Brazilian municipalities
Análise de fatores para o crescimento econômico dos municípios brasileiros
Análisis de factores para el crecimiento económico de los municipios brasileños

Recepción: 27 Enero 2022
Aprobación: 06 Septiembre 2022
Publicación: 21 Abril 2023
In the 1990s, Brazil had governments in power that decided to adopt the New Public Management (NPM) guidelines: fiscal adjustments and administrative reforms. The country had experimented contractionary policies that resulted in spending cuts to contain debt accumulation. The Brazilian State could no longer rely on post-war Keynesian policies. Therefore, it replaced them with restrictive spending policies. Several authors had pointed out that fiscal deficits eroded government credibility with the private sector, inhibiting business actions, and harming a country’s economy (Alesina et al., 2002; Alesina & Perotti, 1997; Fischer, 1991).
Brazil has again been experiencing primary deficits in its accounts since 2014, due to attempts to control price levels, tax reliefs, and acts against budgetary laws perpetrated by a former president seeking reelection. Its economy has been declining to the same extent, and once more, the country has been adopting contractionary policies. In order to control government deficits, governments at all levels have fiscal policies at their disposal. These encompass planning income and expenditure, as well as the results from the differences between them. Thus, important theories have been developed to understand how fiscal policy influences economic growth. Barro (1990) theorized endogenous growth models by incorporating the weight of government action into previous growth models based on production and productivity.
Several works had suggested that specific public spending could contribute to the private sector, increasing its productivity (Aschauer, 1989; Kneller, Bleaney, & Gemmell, 1999; Ram, 1986; Rebelo, 1991; Romer, 1986). Also, spending on the well-being of citizens had contributed to promoting population health (Gerdtham & Ruhm, 2006; Stuckler, Basu, Suhrcke, Coutts, & McKee, 2009). Not only that, but the increase in per capita income had been credited with the improvement of individuals’ health (Pritchett & Summers, 1996; Swift, 2011). Other studies also had suggested that specific compositions of public spending could be beneficial to the economy (Devarajan, Swaroop, & Zou, 1996; Landau, 1983; Ranis, Stewart, & Ramirez, 2000).
In Brazil, the federal government, as well as municipalities, showed a scenario of a fiscal crisis. According to data from the National Confederation of Municipalities, 63% municipalities closed with deficits in their accounts in 2017; 26% exceeded the expenditure limit on personnel; 41% were at risk of exceeding the expenditure limit in 2018; 47% delayed payments to suppliers, and 45% stopped construction works. Lastly, 15% considered delaying paying their employees. Among the reasons given was the low capacity to generate their own revenues (as a result of municipal economic growth). Therefore, it was important for us to study which factors were critical for this growth.
Furthermore, Brazil is a country of continental dimensions. It occupies about 1.6% of the Earth’s surface, and 48% of all of Latin America. Its historical nuances (Wittman, 2009; Wood & Carvalho, 1988), e.g., the different economic cycles that the country experienced from 1500 to 1930, as well as the changes in its production matrix and locations, created economic differences in various regions throughout the years. Thus, the economic development of these regions was different and uneven, as shown by some studies (Bittencourt, Larson, & Kraybill, 2010; dos Reis & de Barros, 1991; Shankar & Shah, 2003; Thomas, 1987). Moreover, it is important to mention its type of institutionalism was in line with the maturity of Brazil’s economic institutions (Greif, 2006; North, 1991; Sokoloff & Engerman, 2000). According to the authors, a nation’s economic growth is impacted by the quality of its economic institutions over time, as stimulated/discouraged by historical factors. Hence, it was necessary for us to examine more closely the effects of time on these institutions, which were influenced by the historical factors mentioned above. In part, this examination had been carried out by Naritomi, Soares, and Assunção (2012), using data from Brazilian municipalities to analyze the quality of its institutions, with reference to their historical background. However, it remains to be seen whether these historical factors also impacted the economic growth of such municipalities.
Based on the facts above, measures regarding the quality of economic institutions and historical and economic events are referred to as “historical factors” in this study. Thus, it is appropriate to verify the influence of historical factors on the economic development of local governments, as well as fiscal factors resulting from policies adopted by municipal federative entities. This understanding will lead to an improvement of municipal fiscal policies in order to promote economic growth. Also, regarding the brief information about fiscal and historical events cited before, we decided that Brazilian municipalities fitted our research purposes. Thus, this study aimed to verify how fiscal and historical factors impacted the economic growth of Brazilian municipalities in the period from 2002 to 2016, with the specific objectives being the following:
1. To verify whether the fiscal variables related to endogenous growth models had a significant effect on the economic growth of the municipalities;
2. To verify whether the effects of variables related to historical factors had a significant effect on the economic growth of the municipalities;
3. To verify the importance of each set of factors for municipal economic growth.
Data from Instituto Brasileiro de Geografia e Estatística (IBGE) and Secretaria do Tesouro Nacional (STN) were used, i.e., gross domestic product (GDP) of each municipality and accounting information provided by the municipalities. For econometric analyses, the information comprised the fiscal variables of this study. It was possible to analyze the behavior of about 5,500 municipalities comprising all five Brazilian regions.
This overall goal of this study was to contribute to the understanding of the factors that influence the economic growth of municipalities in order to assist in the creation of better public and economic policies.
We found that historical factors have an effect on the municipal economy, which contributes to the study of public administration by offering new insights into local economic policies since these are not considered by policymakers at all.
Recent studies about historical factors and economic growth are sparse. Dell, Lane, & Querubin (2018) compared two regions in Vietnam, one which has an institutionalized village government and the other, a more feudal one. They analyzed a broad set of outcomes that also implies in economic growth. The institutionalized region has significantly better outcomes than the other. Kuran (2018) took a literature review about historical and contemporary factor that are related to Islamic economy. One of the aspects discussed by the author was the lack of autonomy in Middle East cities compared to the European ones. Middle Eastern cities was ruled by sultan-appointed Islamic judges. Citing studies, he concluded that this historical fact harmed the economic growth of those cities. Also, studies about amalgamation and seccession concluded that these two geographical (and historical) factors affects local economy (Gendźwiłł, Kurniewicz, & Swianiewicz, 2021; Lima & Silveira Neto, 2018).
Despite that, there are several theories and disciplines that are used to explain the imbalance in the development in different regions of a territory. Path Dependence theory is one of them (Boschma & Frenken, 2004; Frenken, Boschma, 2007; Martin, 2009); and these theories form an important link to historical facts and economic growth.
In this sense, we present references related to the historical foundation of economic institutions in municipalities, which influenced the causes of inequalities still observable today in Brazilian regions (Leff, 1972). To introduce this topic properly, a brief examination of the economic history of Brazil is necessary.
Land ownership was synonymous with power in Brazil; because, according to the institutions at the time, the “displaced” or landless could not vote, nor participate in the country’s political life (Wittman, 2009). The authors Wood & Carvalho (1988) revealed in their work the historical, economic and demographic trajectory of Brazil in greater details. All the events narrated by the aforementioned authors show that certain regions, and more specifically, Brazilian municipalities, had the foundation of their institutions shaped by history. According to North (1991), economic institutions had historically evolved through incremental changes, induced by private gains that were absorbed by increased organizational productivity and institutional changes. Greif (2006) postulated that the emergence of impersonal exchanges gave support to the institutions that provided a good functioning of the market. According to the author, impersonal exchanges represented the decision of the buyer/consumer to carry out the transaction regardless of the reputation of their business partner. Through an ethnographic study in an economic area, Finan (1988, p. 703) reported the existence of an exchange relationship based on trust between the parties (which the author calls “customers”) in the Serra da Ibiapaba region, from 1981 to 1987. Despite the long historical time frame, the study showed an absence of locally developed economic institutions; because municipalities such as São Paulo and Rio de Janeiro were already showing very different scenarios.
The existence of regions with less institutional development due to historical factors was also highlighted in Sokoloff & Engerman (2000). The authors attributed income inequalities to institutions protecting the privileges of the elite and restricting opportunities of service supply to the masses. Thus, it is reasonable to suppose that the age of the municipalities was a critical factor in the development of their respective economic institutions; this being the first historical consequence in income imbalance. In support of this assumption, it is possible to cite studies that analyzed and showed that time produced more “mature” institutions and provided greater economic growth (Gerring, Bond, Barndt, & Moreno, 2005; Heo & Hahm, 2015).
In this institutional perspective, important evidence came from the work of Naritomi et al. (2012). The authors codified historical facts, such as the Sugar, Gold and Coffee Cycles, for each municipality in Brazil. Also, they used a decay factor to consider the geographic proximity of other cities to them. The study also measured the distance from all municipalities to Lisbon, capital of Portugal, so as to assess the effects of nearness to the Portuguese State and having their economic management influenced by the crown. The authors found that these factors affected land distribution and the quality of the respective institutions. In this same study, the time a municipality was founded was also a significant factor in explaining land distribution (Gini da Terra index). Therefore, given that it affected per capita income (Berry, 1972), it was deduced it also affected economic growth.In light of this explanation, we made the following hypothesis:
Hypothesis 1. Historical factors and cycles have an effect on the economic growth of municipalities.
As explained in the introductory section of this study, the issue of fiscal policy was also a factor related to economic growth, which consisted of an increase in the production of an economic unit in a sustained manner over time. It is a desirable and fundamental phenomenon, for growth impacts collection in a directly proportional manner. In addition, the State needs revenue for the maintenance of government policies.
The works of Solow (1956) and Swan (1956) were at the pioneers of the theories of economic growth. They developed theoretical models where investment impacts and determines a country’s income. They maintained that the capital-labor ratio must be at a constant rate, the so-called steady-state growth. In steady-state growth, all variables, such as production, population, capital stock, savings, investment and technical progress, grow at a constant exponential rate or are constant.
However, the “Solow-Swan” model assumes a decreasing income on inputs and an unlikely perfect competition, according to Romer (1986),who theorized that the returns to scale were decreasing (whereas the Solow-Swan model proposed that such returns to scale be constant). He also argued that said social returns increasing or constant. In the Romer model, it is considered as a basic assumption that long-term economic growth originates from positive externalities, resulting from the accumulation of technological knowledge. For Romer (1986), economic growth derives from positive externalities, arising from technological knowledge.
Subsequently, Lucas Jr. (1988) theorized that investment in human capital could compensate for the drop in marginal productivity of capital by producing positive externalities, given the increase in technological knowledge.
Barro (1990) proposed an endogenous growth model that did not take technological advances and population growth into consideration. In this model, although technology and innovation were elements associated with growth, Barro pointed out that innovations caused distortions due to externalities. Thus, this condition allowed the factoring of the effects of public policies and the influence of the State on economic growth, such as, through taxation, provision of infrastructure, protection of property rights, regulation and investments.
This last proposition opened the space for the analysis of the effects that governments and other factors have on economies, making the analysis of these variables possible (Barro, 1990; King & Rebelo, 1990; Lucas Jr, 1990).
Hence, the study conducted by Kneller et al. (1999), based on the classifications of taxation (taxes) and government expenditures by Mendoza, Milesi-Ferretti, & Asea (1997) and Devarajan et al. (1996), where the former were divided into distortionary and non-distortionary taxes and the latter into productive and unproductive expenditures, noting that productive expenditures and non-distortive taxes promoted economic growth.
Landau’s (1983) work showed that high spending on, and low investment in, education promoted a lower evolution of per capita income in the long run. The author argued that government spending produced welfare, even if it reduced income growth. Regarding spending, when dividing into spending on the cost of the public sector and spending on investment and capital, Devarajan et al. (1996) found positive effects of the former and negative effects of the latter on the economic growth of the countries surveyed. Ranis et al. (2000) concluded that spending on health and education contributed to growth. Stuckler et al. (2009) also found empirical evidence that spending on social welfare, e.g., health, education, and employment, had a positive impact on growth. On the other hand, Kormendi & Meguire (1985) found no significant relationship between government spending and GDP growth rates in 47 countries in the post-war period.
There are studies (Aschauer, 1989; Barro, 1990; Ram, 1986; Rebelo, 1991; Romer, 1986) that indicated that public spending could increase the productivity of the private sector, as shown by Kneller et al. (1999). Easterly & Rebelo (1993) pointed out the little correlation between fiscal policy and GDP growth, which was ascribed in part to the great collinearity among government budget components highlighted by Kneller et al. (1999). Barro (1991) carried out a cross-sectional research involving developed and developing countries and found that education spending and private capital investments were related to growth. The work of Kneller et al. (1999) showed that productive spending stimulated growth, and contrariwise, distorting taxes harmed it.
In addition to the above studies, Li (2018) research showed that asymmetric decentralization, denoted by a mismatch between tax and expenditure decentralization, cannot provide incentives for more social expenditures and Li & Du (2021) founded that vertical imbalance transfers did not improve fiscal sustentabilty. Gray & Barford (2018) shows that cuts in central government transfers forced local government to rely on local sources of income. Zhao, Tian, Lei, Boadu, & Ren (2019) inspected the debt and economic growth relation, finding that when the scale of local government debt exceeds a certain level, economic growth will be suppressed by the crowding-out of private investment and the reduction of public expenditure. Studies on fiscal decentralization concluded that there was a positive correlation between it and municipal/local economic growth (Iimi, 2005; Stansel, 2005).
Additionally, in relation to research in Brazilian local governments, the following studies were observed. Rodrigues & Teixeira (2010) explored economic growth from the perspective of the governmental sphere and its respective expenditure. They agreed that the impact of investments was positive for growth. By using a panel with data from 1995 to 2011, Neduziak & Correia (2017) concluded that spending on government functions: “Administration and Planning”, “Judiciary”, and “Assistance” promoted economic growth of Brazilian states. The work of Degenhart, Vogt, & da Silva Zonatto (2016) researched a sample of municipalities in the Southeast of the country. The results showed that spending on health, education, assistance and culture generated growth. Finally, the empirical tests of Bogoni, Hein, & Beuren (2011) showed that public expenditures, such as education, culture, investments, assistance and social security contribute to the economic growth of municipalities in the southern region of Brazil.
Thus, the formulation of the following hypothesis was justified:
Hypothesis 2. The variables related to fiscal policy have an effect on the economic growth of municipalities.
For this study, Brazilian municipalities were selected to test the hypotheses formulated in previous sections, given the available data related to fiscal policies and historical factors, the significant number of primary units (municipalities) and the global share of Brazil’s GDP (2.1% according to World Bank data from 2019).
Data were obtained by accessing the websites of the IBGE and STN, two bodies that were within the scope of municipalities and the years covered. Also, they included the expenses incurred by the Legislative, Judicial and Executive branches of each entity. The data from the STN databases are declaratory and they were not mandatory during Finanças do Brasil (Finbra)’s existence, nor in the first years of Sistema de Informações Contábeis e Fiscais do Setor Público Brasileiro (Siconfi). The aforementioned agencies maintain active repositories for consultation and extraction. STN data provide the information needed for the representation of a municipal fiscal policy. IBGE holds information on local economic development and income, in addition to the time of each municipality’s establishment.
These data cover the period from 1999 to 2016 and refer to year-end balances and expenses actually paid. In addition, the following adjustments were made: a) the data related to expenses and revenues were classified according to Table 1; b) in contact with STN technicians responsible for the management of the FinBra and Siconfi bases, information was obtained that Brazilian municipalities usually declared erroneous or distorted data, for several reasons. Therefore, it was decided to exclude outliers and extreme data from each municipal series; and to subsequently input them using linear interpolations; c) the data were deflated by the Extended National Consumer Price Index (IPCA) with the index for the year 2016, since it was the last in the period of the series extracted; d) despite that there were available data prior to 2002, it should be noted that, at that time, some functional portfolios of the Brazilian public administration were integrated, such as Education and Culture, Health and Sanitation, Housing and Urbanization, and Assistance and Social Security. This configuration did not allow for the correct separation of productive and unproductive expenses as proposed by Kneller et al. (1999), presented in Table 1. Therefore, we decided to use only data from 2002 to 2016.
It should be noted, however, that the IBGE data were available in full details, without the need for treatment or adjustments; hence, applying only step (c) to these.
Variables of a historical nature were made available by Naritomi et al. (2012). These variables are in the explanations given at the end of Section 2.2.
After applying steps (a) to (d), we obtained an unbalanced panel database with the following dimensions:

According to the theoretical development of Section 2, the first objective of the research was to verify how municipal fiscal policy and historical factors affected economic growth. Hence, we began with the description of the dependent variable.
In this study, economic growth was measured by changes in municipal GDP compared to the previous year, using the discrete variation below

in which , the value of the variable is 0 (zero); thus, representing the growth rate of municipal GDP.
Unlike the study conducted by Kneller et al. (1999), this research dealt with economic growth in local governments. Thus, among the revenues available to Brazilian municipalities were intergovernmental transfers and the others, discussed by Kneller et al. (1999). This data were also available through the STN and were encoded in the variable related to transfers. It is important to point out its distinction from municipal fees, for its management was beyond the control of the heads of municipal executive powers.
As explained in Subsection 3.1, the data extracted from the STN website were classified into the categories shown in Table 1. In addition, those variables were put into perspective (divided) by the current municipal GDP. Therefore, the fiscal variables express the respective expenses and rates as a percentage of GDP.
For control variables, we used the population growth rate (∆pop), calculated along the lines of Equation 1. This variable served as a proxy for the variation in the workforce used by Kneller et al. (1999). In order to assess the effects of private economic activity and its productivity in each municipality, a variable called Value Added from Private Sector (VAP) was coded, and calculated as follows:

To represent the historical factors discussed in the previous sections, we used variables present in the study by Naritomi et al. (2012). These variables are detailed in Equation 4, which is at the end of Section 2.2. Table 2 describes these variables.

Together with the elements brought up in the theoretical section, we proposed an analysis model of municipal economic growth, which was measured by the variation of its local GDP, based on historical factors and fiscal policy, as follows:

here and refer to the fiscal policy of the -th municipality in the -th year of implementation and the historical factors of each -th municipality, respectively. As for the element of Equation 3, we had the following

in which the terms and were the distances for Brazilian municipalities involved in the Gold and Sugar Cycles, represented the Coffee Cycle, was the distance to Portugal (measured in 1,000 kilometers) and was the time a municipality had existed, in years, from when it was founded to the year 2018.

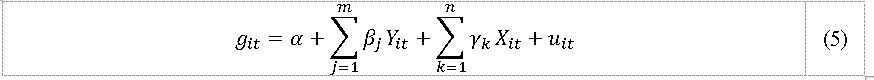
With regard to fiscal factors, the study by Kneller et al. (1999) proposed an endogenous growth model that had the following functional form

in which the growth for -th observational unit in period is a function of the intercept, control variables and variables related to government fiscal policy, under the following condition, assuming that all budget elements had been included (including deficits/surpluses)
In this situation, there would be a perfect collinearity between these variables. We had to remove a variable from this X matrix, which refers to a specific element of the incumbent government’s budget structure. Therefore, Equation 5 has the following notation



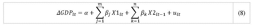
In order to obtain estimates and test the hypotheses presented here, we used estimation by means of regressions for panel data. The models had the following basic structure

in which e were matrices of independent, control variables (see Section 3.2), and fiscal policy (see Table 2), respectively. The variables in the second matrix were lagged over a period, since the decisions of economic agents were not made concurrently with the implementation of fiscal policies, and because most Brazilian municipalities had unsatisfactory degrees of financial transparency (Raupp & de Pinho, 2016).
These agents monitored the execution of municipal budgets in annual reports, which were only available in mid-March of the following year. These lags followed the same logic as other studies in the field of Economics (Acemoglu, Moscona, & Robinson, 2016; Blinder & Watson, 2016). These models were elaborated from stacking techniques (pooling), fixed and random effects, and coefficients of which were estimated with Ordinary Least Squares (OLS).
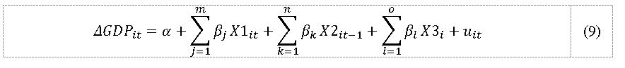
In order to test the hypotheses of the significance of historical factors proposed by Naritomi et al. (2012), another term was added to Equation 8, resulting in the following

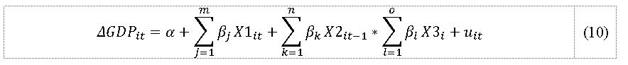
in which X3 represents the vector of variables of historical character of each municipality. This model was estimated using the method presented by Hausman & Taylor (1981), because such historical characteristics do not vary over time (except for time of existence, that increases it’s value by one each period/year). In order to better examine the effects of historical variables and their behavior in the presence of fiscal factors, we made a small change to the structure of Equation 9, introducing an interaction between the second and third terms, resulting in

which made it possible to assess whether there were significant differences in tax effects depending on the historical features of each municipality.
From these methodological definitions, we analyzed the results of the tests of adherence from data to the models.
Despite the use of the Hausman and Taylor estimators to deal with historical factors, we formatted the Chow test to assess whether the behavior of the data was constant, i.e., observational units. When we analyzed the fiscal variables listed in Table 2, and the control variables referred to in Section 3.1, we noticed this test cannot rejected , indicating the use of pooled data as most appropriate. Then, we conducted the test proposed by Hausman (1978) to verify the heteroscedasticity of the residues of the same variables used in the previous test, between individuals and those periods. Results favored the use of fixed effects models to the detriment of random effects.
Moreover, we carried out Breusch-Pagan tests for all elaborated models. The results indicated heteroscedasticity of standard errors. Thus, we estimated the heteroscedasticity covariance matrices proposed by White (1980). They were also used in the calculation of the standard errors of coefficients in the elaborated models.
As for the stationarity of the GDP variation series (dependent variable), we used the test proposed by Choi (2001) for panel data, because the test proposed by Pesaran (2007) accepts only small samples ( ). The test indicated stationarity of series.
Table 4 shows the estimates obtained from related data. Table 5 presents the same models, but with balanced data.
The results show that only transfers matter for Brazilian municipalities. Contrary to the predictions made by Kneller et al. (1999), on average, these municipalities are strongly dependent on federal funds to improve their economic growth. In this sense, our second hypothesis can be rejected, since only one fiscal variable is significative (none of the Kneller study). This statistical significance contradicts some studies (Li, 2018; Li & Du, 2021) since transfers from the Brazilian central government are not ruled by vertical imbalance transfers used by the Chinese government. Instead, it's more like a fiscal decentralization researched by Iimi (2005) and Stansel (2005), affecting positively the local economic growth.
The statistical significance of the historical variables of the Sugar and Coffee Cycles, distance to Portugal, and time of existence of municipalities were also notorious. These were also explanatory for the land concentration in Brazil, the degree of municipal governance, and the access to Justice (Naritomi et al., 2012).
Because of its proximity to the coast, and the association of the Sugar Cycle back to the colonial period in Brazil, its municipalities had, on average, a variation of GDP around 7.5% higher than others regions that were controlled by the other factors. This is in line with the Dell et al. (2018) research, which examines the historical effect of more institutionalized village governments against worse ones in Vietnam. Moreover, since these resource cycles accounted for a more organized form of operation than other municipalities, they show a positive economic effect. Dell et al. (2018) show regressions where they evidence more crop productive villages, among many other economic, social, and institutional outcomes.
It can be noted that the distance to Portugal contributed to a higher GDP. Colonies closer to the Portuguese Crown suffered greater interference from the king (Naritomi et al., 2012). According to the authors, this proximity imposed on municipalities an “administrative time” that delayed decisions and limited the effectiveness of the local managerial apparatus. Decisions had to come from Portugal. It used to take months – sometimes years – for them to be issued. As evidenced by Naritomi et al. (2012), this administrative time lag had an effect on the institutional variables studied by the authors; and given that the quality of institutions influenced economic aspects (North, 1991; Sokoloff & Engerman, 2000), the models in Tables 4 and 5 show that this influence was also direct. Consequently, there was an average growth of about 2% at every thousand kilometers of distance. Kuran (2018) study reveals a similar pattern. He reviewed articles linking lack of local autonomy with economic backwardness.
Additionally, the time of municipal existence was associated with the maturity of local economic institutions (North, 1991; Sokoloff & Engerman, 2000). Figure 1 depicts the standardized values of the balanced model coefficients. The higher absolute standard coefficient value corresponds to the time of existence variable, and it’s negative, which means that as long as the municipality gets old, lower economic growth is expected, contrary to institutional theory predictions. In light of this evidence, we can’t reject our first hypothesis.


In accordance with the methodological explanations related to Equation 10, the coefficients of interactions between fiscal and historical factors were estimated. The results are indicated in Table 6. They show that municipalities in the Sugar and Coffee Cycle were more in line with theoretical predictions, for their distortionary taxes effectively contributed to a reduction in their GDP rates in locations inside the Coffee Cycle, while non-distortionary taxes promoted growth there. On the one hand, municipalities that participated in the Gold Cycle had a reduction in GDP when they promoted non-distortionary taxes. Municipalities with the greatest distance to Portugal, on the other hand, appeared to have a higher growth when they promoted distortionary taxes. Municipalities involved in the Coffee Cycle grew only when they supported productive expenditures and received federal transfers. Despite the small coefficients presented (the figures have five to six decimal places), transfers were positive and significant for municipalities that were part of the Gold and Coffee Cycles, as well as those farthest from the Portuguese Crown.

The aim of this study was to examine the determinants of economic growth in municipalities, measured by the variable GDP variation, in percentage terms, and using Brazilian local governments as a case of study. These factors referred to questions of fiscal policy and what we defined as “historical factors”.

Therefore, this study sought to contribute to the understanding of the effect of government expenditure and historical events during the economic growth of its municipalities, showing that historical background matters. For policymakers, it’s now a point of view to consider since resource allocations may be weighted by the effect of our historical variables. It is also worth noting that other historical events can be researched, as well as more in-depth studies on the composition of productive/unproductive expenditure that enhance the adjustment of the models according to Brazilian accounting classifications. Chose a dependent variable other than GDP can enrich the knowledge of these historical effects, embracing other dimensions of life quality.
It is important to mention that the formulated hypothesis in this study, until this time, referred only to the Brazilian case, and so, there is a need for more research to investigate the reach of these propositions.
The quality of the STN and IBGE databases imposes a limitation in research, for these databases have outlier records due to possible declaration errors. Despite methodological attempts to mitigate such deficiencies, these persisted in the data, even after treatment had been carried out. Also, not taking into account the spatial correlation may affect the estimates.
The present study has contributed to a deeper level of knowledge about municipal fiscal policy, revealing which variables and factors contribute/hinder municipal economic growth, by analyzing the Brazilian case. We have opened a new branch of research and contributed to the awakening of research questions related to the understanding of expenditures and revenues at local levels. This understanding is useful for tax policymakers and, in general, public policymakers as it contributes to choices that lead to desired economic growth.

















