Relaciones entre parámetros de los modelos de infiltración de Kostiakov y Lewis-Kostiakov, Córdoba, Argentina
Relation between the Parameters of the Kostiakov and Lewis-Kostiakov Infiltration Models, Cordoba, Argentina
Relaciones entre parámetros de los modelos de infiltración de Kostiakov y Lewis-Kostiakov, Córdoba, Argentina
Tecnología y Ciencias del Agua, vol. VII, núm. 2, pp. 115-132, 2016
Instituto Mexicano de Tecnología del Agua

Recepción: 04/02/2014
Aprobación: 22/09/2015
Resumen:
Weber, J. F., &
Apestegui, L. (marzo-abril, 2016). Relaciones entre parámetros de los modelos de infiltración de Kostiakov y Lewis-Kostiakov-Córdoba, Argentina. Tecnología y Ciencias del Agua,
7(2), 115-132. Se presentan ciertas relaciones halladas entre los parámetros del modelo de infiltración de
Lewis-Kostiakov, calibrados a partir de los resultados obtenidos en una
campaña de medición in situ en la ciudad de Córdoba, Argentina. Como instrumento
se utilizó un microsimulador de lluvia portátil
diseñado y construido por este grupo de trabajo, como alternativa superadora al
infiltrómetro de doble
anillo. Este equipo, que es
completamente desarmable y define una parcela de ensayo de 1 m2, permite generar
lluvias de intensidades comprendidas entre los 65 y 120 mm/h. La selección de
los sitios de ensayo respondió al tipo y uso del suelo. A su vez, se consideraron distintas condiciones de humedad
inicial. La campaña de medición se extendió durante siete meses, realizando
entre dos y tres ensayos por semana. Los valores medidos fueron digitalizados y procesados, construyéndose las curvas de
infiltración acumulada y tasa de infiltración en función del tiempo. A partir de estos valores, se ajustaron los parámetros del
modelo de infiltración de Kostiakov y de Lewis-Kostiakov (Mecenzev), que en sí mismos representan un aporte original al conocimiento de la hidrología
urbana en esta ciudad. Al graficar diversas relaciones entre parámetros, se evidencia la existencia de una función empírica, que permitiría disminuir a dos el número de parámetros del modelo de Mecenzev, con una aceptable pérdida de calidad en las
predicciones. Se considera que esta
relación permitirá mejorar la elección de parámetros de infiltración en tareas
de diseño hidrológico urbano en Córdoba, Argentina.
Palabras clave: simulador de lluvia, mediciones hidrológicas, hidrología urbana, modelo de Lewis-Kostiakov, infiltración.
Abstract:
Weber, J. F., & Apestegui, L. (March-April, 2016). Relation between the Parameters of the Kostiakov and
Lewis-Kostiakov Infiltration Models, Cordoba, Argentina. Water Technology and Sciences (in
Spanish), 7(2), 115-132.
Certain relationships between the parameters of
the Lewis-Kostiakov
infiltration model were found,
calibrated based on the results obtained from a field measurement campaign
in the city of Cordoba, Argentina. A
portable rainfall micro-simulator was used as an instrument, designed and built by this workgroup as a better alternative to the double-ring infiltrometer. This equipment, which can be completely
disassembled, defines a 1 m2 test plot,
making it possible to generate
rainfall intensities between 65 and 120 mm/h. The test sites were selected based on soil type and use. Different initial moisture conditions
were considered. The measuring campaign was conducted over six months
with between two and three tests per
week. The values measured were digitalized and processed and accumulated infiltration curves and infiltration rates over time were generated. Based on these values, the
parameters of the Kostiakov and the Lewis-Kostiakov (Mecenzev) infiltration models were fitted, which in themselves represent an original contribution to knowledge about the urban hydrology in this city. The graphing of the different
relationships between the parameters indicated the existence of an
empirical function which would enable reducing the number of parameters of the Mecenzev model to two, with an acceptable loss in the quality
of the predictions. This relationship
will improve the selection of
infiltration parameters for the design of the urban hydrology in Cordoba, Argentina.
Keywords: Rainfall simulator, hydrologic measures, urban hydrology, Lewis-Kostiakov model, infiltration.
Introducción
En trabajos ingenieriles vinculados con el diseño y cálculo de obras de desagüe pluvial urbano, el proyectista se ve en la obligación, a la hora de cuantificar los caudales de aporte, a considerar dos tipos de superficies en las cuencas: impermeables y permeables. Las primeras sin duda provocan un alto impacto en el volumen de crecidas y una disminución del tiempo de respuesta de la cuenca (Tucci, 2001). En cuanto a las segundas, es posible utilizar diversas formulaciones a la hora de cuantificar la fracción de la precipitación de escurrimiento directo y, por tanto, la fracción infiltrada, entre ellas el denominado Método Racional (Chow, Maidment, & Mays, 1994), el conocido método del CN-SCS (SCS, 1972), muy difundido en su aplicación a través de los populares programas de computadora HEC-1 (USACE, 1981), y el más moderno HEC-HMS (USACE, 2001), el método de Horton (1939), difundido en el ámbito de la hidrología computacional a través del conocido modelo SWMM (entre otros) (USEPA, 1977). Estos, como muchos otros modelos conceptuales del proceso de infiltración (Ravi & Williams, 1998), intentan simplificar el abordaje riguroso del problema, representado por la ecuación de Richards (Chow et al., 1994), y por tanto son los utilizados más ampliamente en la práctica hidrológica.
Una de las principales dificultades que encuentra el modelador a la hora de aplicar estos modelos de infiltración es la de estimar los parámetros de los mismos, tratando de lograr una adecuada representación de la realidad. Lamentablemente, existen grandes dificultades a la hora de disponer de datos medidos de infiltración en áreas permeables urbanas en la República Argentina. En la ciudad de Córdoba, por ejemplo, recién se encara una tarea sistemática de producción de información experimental al respecto a partir del trabajo de Weber, Urbano, Stuyck, Azelart y Martínez (2005), desde el Laboratorio de Hidráulica (LH-UTN), dependiente del Departamento de Ingeniería Civil de la Facultad Regional Córdoba de la Universidad Tecnológica Nacional, a través de una campaña de obtención de datos experimentales de infiltración en suelos de la ciudad de Córdoba, a través de la técnica del infiltrómetro de doble anillo. Este procedimiento de ensayo, también conocido como método de Müntz (Custodio & Llamas, 1976), permite obtener mediciones directas de infiltración en áreas reducidas (puntuales). Son conocidas las severas limitaciones que presentan las mediciones así determinadas, en particular en relación con la falta de representatividad del proceso lluvioso en la técnica de ensayo, por un lado, y a la fuerte alteración de la superficie del terreno debido al hincado de los anillos, por el otro. Estas limitaciones conllevan a errores experimentales difíciles de cuantificar. Con el objetivo de obtener una caracterización experimental más verosímil del proceso hidrológico de la infiltración, se propuso utilizar como instrumento de ensayo un simulador de lluvia portátil desarrollado en el LH-UTN; se visualizan como beneficios inmediatos la mejor simulación del proceso lluvia-infiltración y la menor alteración de la parcela de ensayo; es decir, se intentan subsanar las limitaciones del procedimiento del infiltrómetro de doble anillo anteriormente utilizado.
Objetivos
El objetivo general de esta línea de trabajo es la caracterización del proceso de infiltración en las áreas permeables de la ciudad de Córdoba, Argentina.
En particular, en este trabajo se propone como objetivo la determinación de los parámetros de los modelos de Kostiakov y de Lewis-Kostiakov (Mecenzev) (Ravi & Williams, 1998) para estas áreas, atendiendo a características como el uso y tipo de suelo, y con base en las observaciones experimentales obtenidas mediante el uso de un simulador de lluvia; así como explorar posibles relaciones entre estos valores, con el fin de reducir el número de parámetros y por tanto facilitar su selección en tareas de diseño hidrológico urbano. Cabe destacar que para estos mismos datos experimentales, el grupo de trabajo ha determinado los parámetros de otros modelos de infiltración, como Horton (Weber, 2014a), Green-Ampt (Weber & Apestegui, 2013), Philip (Weber, 2015a) y CN-SCS (Weber, 2014b), los cuales no son motivo del presente trabajo.
Metodología
El aparato simulador de lluvia
Se describen a continuación las características generales del equipo usado en el desarrollo de la presente campaña de medición (Weber, Paoli, & Apestegui, 2009, 2010).
El microsimulador de lluvia tiene la ventaja de reproducir con más fidelidad el fenómeno de la precipitación. Numerosos autores (Marelli, 1989) muestran la importancia del impacto de las gotas en la microcapa superior del suelo en el balance hídrico, además del efecto evidente sobre la erosión superficial. Por otra parte, en este tipo de dispositivos es posible simular una precipitación de intensidad variable en el tiempo, incluso una precipitación discontinua. La necesidad de reproducir bajo condiciones controladas los efectos de la precipitación, y en especial el impacto de las gotas de lluvia sobre las propiedades físicas del suelo superficial, y las consecuencias que ello provoca en la infiltración, escorrentía y erosión, condujeron desde hace años al desarrollo de diferentes mecanismos e instrumentos que tratan de simular la lluvia natural (Pla-Sentis, 1981; Rostagno & Garayzar, 1995). El mayor de estos problemas recae sobre la reproducción de gotas que se asemejen a las de una lluvia natural.
El formador de gotas utilizado se compone de una aguja hipodérmica de 2 pulgadas de longitud y 0.8 mm de diámetros interno, introducida en tubo rígido, el cual se obtiene de cortar su propio estuche, al ras de dicha aguja. Se decidió colocar un total de 289 formadores, distribuidos en 17 filas por 17 columnas, y separados a una distancia de 5.30 cm entre ejes, cubriendo de esta manera cada formador un área aproximada de 28.10 cm2 sobre la base de una batea de 96 x 96 cm de lado.
El equipo (figura 1) consta básicamente de una estructura metálica de caño de acero de sección cuadrada, formando un prisma cuadrado de 2 m de altura y 1 m de lado. Este prisma se forma a través de cuatro columnas y cerrado por medio de cortinas rompevientos. Las columnas sostienen el sistema de alimentación de agua que está compuesto por dos tanques: uno de alimentación, solamente, y el otro de alimentación y regulación de intensidad. La regulación de la intensidad se produce a través de un flotante (Achutegui, Abreu, & Páez, 1996). Debajo del sistema de alimentación de agua se encuentra la batea con los 289 formadores de gotas, que producen la lluvia simulada. La base de este prisma está constituida por un marco cuadrado de hierro de 1 m de lado y 0.10 m de altura, con vertederos en sus cuatro lados y canales para el transporte del agua escurrida. Este marco se hinca en el suelo, constituyendo así las paredes límites de la parcela de medición. El peso total del equipo armado es de 110.6 kg; el peso del fluido puede llegar hasta los 100 kg.

Este equipo dispone de una curva de calibración empírica (la cual fue determinada a través de un proceso experimental en este laboratorio) que relaciona la carga hidráulica disponible sobre el extremo de las agujas formadoras de gota con la intensidad de lluvia generada. La ecuación de regresión obtenida entre estas dos variables, con un coeficiente de determinación R2 = 0.997 fue:
(1)En esta ecuación, i es la intensidad de lluvia producida (en mm/h) y h es la carga (en cm) sobre los formadores. En la figura 2 se presenta gráficamente la relación obtenida.
Del análisis estadístico de los datos de calibración se pudo concluir que los valores de intensidad obtenidos a partir de la ecuación (1) tienen una incertidumbre asociada de 3 mm/h, lo cual representa un error de entre 3 y 5% de la intensidad producida.

Selección de los sitios
Al igual que en tareas previas (Weber et al., 2005), para la definición de los sitios de ensayo se consideró que las dos variables a priori más influyentes sobre los resultados a obtener eran el tipo de suelo y uso del suelo. Con respecto al tipo, más que a una clasificación geotécnica, se asumió que una clasificación de características regionales resultaría con mayor representatividad hidrológica. Para ello, se fijó como criterio la clasificación de ambientes geomorfológicos desarrollada por Quintana-Salvat y Barbeito (1994). Este trabajo detectó básicamente dos ambientes diferenciados en el ejido de la ciudad de Córdoba: la planicie loessoide (correspondiente a un suelo del tipo limo arenoso, de gran cohesión en condiciones de baja humedad) y la terraza de inundación del antiguo cauce del río Suquía (primero), la cual fue a su vez clasificada por los autores citados en tres subambientes: terraza baja, media y alta, según su cercanía al actual cauce del río que atraviesa la ciudad.
En cuanto al uso del suelo, se distinguió básicamente en tres tipos fundamentales: patios y jardines de viviendas residenciales (espacios verdes con bajo tránsito); plazas, parques y paseos públicos (espacios verdes con medio tránsito); y calles no pavimentadas (calles de tierra). El principal criterio de selección se basó en la intensidad del tránsito tanto peatonal como vehicular debido a su impacto directo en la capacidad de infiltración del suelo. Además, se agregó como punto de interés especial el lecho de una laguna de detención en la zona norte de la ciudad.
En la figura 3 se muestra el plano geomorfológico de la ciudad de Córdoba, con la indicación de los sitios seleccionados (clasificados según el uso de suelo) y los diversos ambientes geomorfológicos descritos (Weber, Apestegui, & Baldazar, 2011). Puede observarse la amplitud geográfica de la región involucrada. El cuadro 1 muestra los sitios de ensayo seleccionados clasificados según el uso del suelo y el ambiente geomorfológico. Como puede verse, no fue posible conseguir terreno disponible para realizar el ensayo correspondiente a espacios verdes de bajo tránsito en la terraza media del río Suquía debido a que este ambiente cubre un área relativamente pequeña y fuertemente urbanizada de la ciudad. En total se ensayaron 12 sitios a lo largo del ejido urbano de la ciudad.


Aplicación del simulador de lluvia
En cada uno de los sitios seleccionados se realizaron tres ensayos con el simulador de lluvia bajo intensidades relativamente constantes (del orden de los 70 mm/h) con diferentes condiciones iniciales de humedad, las cuales fueron obtenidas bien por las condiciones climáticas imperantes o porque los terrenos fueron humedecidos (regados) previamente a partir de condiciones secas. Además, en la mayoría de los sitios se realizó de modo simultáneo el ensayo clásico de infiltración mediante el infiltrómetro de doble anillo, como control y contraste de las mediciones efectuadas. La campaña de medición se extendió durante siete meses e implicó el trabajo de tres personas en forma simultánea, realizando entre dos y tres ensayos por semana. La duración de los ensayos fue variable, comprendida en general entre 1.5 y 2 h, dependiendo del comportamiento observado in situ del proceso de infiltración, en cuanto a la velocidad con que se alcanzó la condición de régimen. El número y la frecuencia de las observaciones también fue dependiente de las condiciones locales encontradas, observándose una menor frecuencia de medición en el simulador (y, por tanto, una mayor frecuencia en el infiltrómetro) en los suelos de mayor capacidad de infiltración. Para facilitar la tarea de medición, se seleccionó en cada caso el volumen de medición, el cual varió desde 50 hasta 500 cm3.
Determinación del contenido de humedad en laboratorio
Antes del inicio de cada ensayo se extrajeron muestras de suelo para determinar el contenido de humedad antecedente. El contenido de humedad fue determinado gravimétricamente, a través de la extracción de muestras de suelo a 10 cm de profundidad, secándolas en estufa a 110 ºC y pesando la muestra seca. La humedad gravimétrica ω se determina a través de la expresión (2):
(2)donde ma es la masa de agua en la muestra de suelo, que resulta de la diferencia entre la masa de la muestra húmeda menos la masa de la muestra seca; mses la masa de la muestra seca. Para relacionar la humedad gravimétrica ω (de uso principal en geotecnia) con la humedad volumétrica θ (más frecuentemente usada en hidrología subterránea) se utilizó la expresión (3) (Tucci, 1993):
(3)En esta expresión, da es la densidad del agua (asumida 1 g/cm3) y ds es la densidad (peso unitario) del suelo. Este valor se estimó a partir de las observaciones in situ realizadas en tareas anteriores en cada uno de los ambientes geomorfológicos descriptos (Weber et al., 2005).
Digitalización y proceso de datos
Los datos obtenidos en la campaña descrita fueron digitalizados y procesados mediante el uso de planillas de cálculo, y después exportados en formato de texto plano para su procesamiento a través de los códigos desarrollados en específico para este trabajo. Cabe destacar que el procesamiento implica también la suma de las series temporales de escurrimiento parcial en cada uno de los vasos recolectores, para obtener un único registro del escurrimiento superficial por ensayo. Como una medida del volumen de la información experimental generada, se puede citar que los 34 ensayos efectuados produjeron 6 259 pares de valores tiempo-infiltración (un promedio de 184 observaciones por ensayo).
El marco teórico
El modelo de Kostiakov
Kostiakov, en 1932 (Ravi & Williams, 1998), propuso las siguientes ecuaciones de carácter empírico para estimar la tasa de infiltración y la infiltración acumulada:
(4)
(5)donde K y a son los parámetros del modelo, que cumplen las restricciones K > 0 y 0 < a < 1. Es de notar que la ecuación (5) tiende a 0 cuando t tiende a infinito, por lo que el modelo no suele dar buenos resultados para periodos extendidos. Además, para las restricciones mencionadas, la expresión (5) queda indeterminada para t = 0, esto es, no es posible definir la tasa inicial de infiltración.
Modificaciones al modelo de Kostiakov
En razón de lo mencionado, se propusieron diversas modificaciones al modelo de Kostiakov, en particular el denominado método de Kostiakov modificado (Al-Azawi, 1985), método de Lewis-Kostiakov (Ahuja, Kozak, Andales, & Ma, 2007) o método de Mecenzev (Ravi & Williams, 1998), que incluye como parámetro adicional la tasa base de infiltraciónfb:
(6)
(7)En esta formulación, la tasa de infiltración tiende a la tasa base fb cuando t tiende a infinito; de todos modos sigue siendo indefinido el valor de f(0). Esto último podría ser significativo en la representación de procesos de muy corta duración y baja intensidad, que en general no tienen aplicación práctica en el diseño hidrológico urbano.
Otros modelos
Otros autores han presentado versiones mejoradas del modelo descrito. Clemens (1981, citado por Ahuja et al., 2007) describe una mejora del modelo de Lewis-Kostiakov mediante la introducción de una función escalón sin incrementar el número de parámetros del modelo, que ha mostrado una mejora sustancial en la predicción de la capacidad de infiltración a largo plazo.
Análisis y definición del modelo a utilizar
A pesar de las ventajas mencionadas de las versiones modificadas, es usual aún encontrar aplicaciones de las ecuaciones originales de Kostiakov (4), (5) debido principalmente a su simplicidad matemática y, a causa de ello, a que mediante la aplicación de logaritmos a ambos miembros de la expresión (4) se obtenga una relación lineal en un papel doble logarítmico:
(8)lo que permite encontrar gráficamente, o a través de una simple herramienta de regresión lineal, los parámetros del modelo, ya que ln K es la ordenada al origen y a la pendiente de la recta de regresión en papel log-log.
A diferencia de otros modelos, como el de Horton, por ejemplo, donde los parámetros tienen una correlación directa con alguna propiedad de la función f(t), los parámetros K y a del modelo de Kostiakov impactan tanto en el valor de la tasa inicial de infiltración (entendida como el valor de f para un tiempo positivo suficientemente pequeño) como en la infiltración base (entendiendo como tal el valor mínimo que alcanza f(t) en un intervalo de tiempo finito). En la figura 4 se muestran diversas curvas de la función f(t) para distintos valores de los parámetros K y a. Puede observarse que, a igualdad de K, si a aumenta, la tasa de infiltración inicial disminuye y la tasa base de infiltración sube; y que, a igualdad de a, si K se incrementa, tanto la tasa inicial como la final de infiltración se acrecientan (K representa un factor de escala). Para el modelo de Lewis-Kostiakov, el comportamiento es similar, pero al sumarse la constante fb se establece como tasa mínima absoluta ese propio valor.

Resultados
La información experimental así generada fue expresada para las variables escurrimiento superficial acumulado, infiltración acumulada y tasa de infiltración. En las figuras 5y 6 se presentan, a modo de ejemplo, la tasa de escurrimiento superficial y la infiltración acumulada obtenidas para un ensayo en uno de los sitios en particular (L. Suárez de Figueroa-Bº M. de Sobremonte) bajo una intensidad de lluvia de 66.6 mm/h.


La variable considerada para el ajuste fue la infiltración acumulada, dado que por su naturaleza presenta menor dispersión que su derivada, la tasa.
Ajuste de parámetros
Con base en la información recopilada en campaña mediante el uso del simulador de lluvia, se realizó el ajuste de los parámetros de los modelos descritos, buscando la minimización de la función objetivo (FO) representada por la suma de las desviaciones cuadráticas entre los n valores de infiltración acumulada observados (Fi) y calculados (Fci), para cada sitio de ensayo y cada condición inicial de humedad:
(9)El proceso se automatizó utilizando un código ad hoc desarrollado en GNU Octave (Eaton, Bateman, & Hauberg, 2007), que para el caso del modelo de Kostiakov consistió en la aplicación de la regresión lineal al conjunto de datos linealizados por la expresión (8), mientras que para el modelo de Lewis-Kostiakov se aplicó el mismo procedimiento, pero para la variable reducida F0 definida como:
(10)de forma que el problema del ajuste se reduce al de optimación de la variable fb, el que se realizó por fuerza bruta con un decimal de precisión.
El método de la fuerza bruta o de búsqueda directa (Chapra & Canale, 2006) consiste en discretizar el dominio de búsqueda con un paso fijo y evaluar la función en la malla así generada, detectando de esa forma el mínimo buscado. Es claro que la precisión y exactitud del método son una función directa del paso o intervalo seleccionado. De este modo se obtuvieron 34 juegos de parámetros para cada modelo (ya que hubo dos mediciones que se consideraron no válidas), junto con el propio valor de la función objetivo, el cual es una medida de la bondad del ajuste realizado. En el cuadro 2 se presentan los valores ajustados de estos parámetros para cada sitio de ensayo y para cada medición para el modelo de Kostiakov, y en el cuadro 3 el equivalente para el modelo de Mecenzev o Lewis-Kostiakov.


Como puede verse, los valores de R2 son altos, comprendidos entre 0.9301 y 0.9998 para el modelo de Kostiakov, y 0.9575 y 0.9999 para Lewis-Kostiakov. De hecho, y como era de esperar, se obtienen mejores ajustes con este último, lo que se ve reflejado en la figura 7, donde se presentan los valores de R2 obtenidos con el modelo de Lewis-Kostiakov, en función de los R2 obtenidos con Kostiakov; puede verse que el conjunto de puntos se ubica por encima de la recta identidad.

Es de notar que en algunas mediciones, el parámetro a del modelo de Lewis-Kostiakov resultó negativo; esto se explica porque la capacidad de infiltración creció ligeramente durante el ensayo, pudiéndose justificar por una ligera disminución en la intensidad de la lluvia generada o a particularidades en el sitio de ensayo.
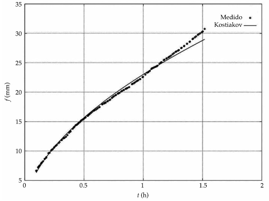
En las figuras 8 y 9, a título de ejemplo, se presenta la infiltración acumulada, resultado de una medición en particular (primera medición calle Gauss), junto con el ajuste obtenido con los modelos de Kostiakov y Lewis-Kostiakov, respectivamente. En los cuadros 4 y 5 se presentan los valores medios (junto con su rango de variación) de los parámetros de los modelos de Kostiakov y Lewis-Kostiakov, respectivamente, en función del uso del suelo.




En todos los casos, la inclusión del término fbt en la expresión de Lewis-Kostiakov de la infiltración acumulada (6) se tradujo en una reducción de los valores de los parámetros K y a, como puede observarse en las figuras 10 y 11.


Se analizó una posible relación de dependencia entre los parámetros de ambos modelos, graficando, para el modelo de Kostiakov, K versus a, y para el modelo de Lewis-Kostiakov, K versus a, K versus fb, fb versusa; observándose una posible relación en el caso de Kversusa para Lewis-Kostiakov (figura 12). En estos gráficos también se clasificaron los puntos de acuerdo con el uso del suelo, no pudiéndose identificar un agrupamiento a partir del uso, aunque se aprecia que los valores del parámetro K del modelo de Lewis-Kostiakov para calles no pavimentadas presenta un rango más bajo y acotado que para los otros usos del suelo (figura 12).
En la figura 12 puede apreciarse un valor atípico (outlier) en K = 2.2488 y a = 0.8125. Extrayendo este valor de la serie fue posible ajustar una expresión de la forma:

(11)con
= 0.261145,
= 0.203251 y R2 = 0.76586. A partir de este resultado, se planteó entonces la posibilidad de
una modificación al modelo de Lewis-Kostiakov,
denominado LK-2p (Lewis-Kostiakov a dos parámetros)
de la forma:
(12)donde fb y
K deberían ajustarse en cada
medición, y
serían constantes en el nivel regional.
Para explorar esta hipótesis, se desarrolló un código ad hoc en Octave que permitió ajustar de modo global (es decir, sobre
las 34 mediciones) los valores óptimos de
, y localmente (esto es, para cada una de las 34 mediciones) los valores óptimos de fb y K. La
optimación global de
se realizó
por medio de un autómata celular sencillo, minimizando la suma de los residuos
cuadráticos (ecuación (9)).
En este procedimiento, un apuntador recorre una malla regular bidimensional a partir de
una solución aproximada central en
las ocho direcciones posibles, identificando la posición del mínimo,
reposicionando la malla, y repitiendo el proceso hasta que la posición del
mínimo no varíe. La optimación local de los valores de fb y
K se realizó aplicando el método de Nelder-Mead (Mathews & Fink, 2004). En ambos casos se hizo una optimación no restringida. Como
valores óptimos se obtuvieron
, valores relativamente cercanos
a los originales.
Los valores locales de los parámetros fb y K pueden observarse en el cuadro 6. Si bien en algunos casos los parámetros así ajustados dan lugar a inconsistencias —valores negativos— en un valor de K y en tres valores de fb, en la generalidad los resultados son aceptables. Como es de esperar, los valores de R2 son, en general, ligeramente menores para LK-2p frente a Lewis-Kostiakov (sólo en tres de los 34 ensayos R2es mayor para LK-2p), pero la reducción de tres a dos parámetros locales libres podría justificar no tener tanta exactitud.

Conclusiones y recomendaciones
A partir de la información recopilada in situ durante la campaña llevada a cabo en diversos sitios de la ciudad de Córdoba ha sido posible ajustar los parámetros de los modelos de infiltración de Kostiakov y Lewis-Kostiakov (Mecenzev), resultando en la mayoría de los casos este último como el de mejor desempeño. Al analizar una relación entre los parámetros a y K de este último, se observó una tendencia a una relación logarítmica, cuyas constantes de carácter global fueron ajustadas de manera simultánea con los parámetros locales fb y K, dando lugar a un modelo de dos parámetros denominado LK-2p, que presenta algunas inconsistencias, producto de la no imposición de restricciones al ajuste; pero, en términos generales, se obtienen resultados aceptables, con valores de R2 superiores a los del modelo de Kostiakov y ligeramente inferiores a los de Lewis-Kostiakov.
Si bien los modelos de Kostiakov y Lewis-Kostiakov no representan las formulaciones algebraicas más sofisticadas para la representación del proceso de infiltración, sí han mostrado un buen ajuste a los datos experimentales recolectados, incluso superior al de otros métodos de amplio uso, como el del CN-SCS (Weber, 2015b), y resulta atractiva la idea de aumentar la parsimonia a través de una relación empírica como la que da origen al denominado modelo LK-2p.
Resta investigar si la relación logarítmica (12) es propia de la información local obtenida en las mediciones realizadas en la ciudad de Córdoba o responde a un carácter más general.
En cualquier caso, se considera que el conjunto de parámetros así ajustados será de interés para los proyectistas vinculados con el manejo del escurrimiento pluvial urbano en la ciudad.
Agradecimiento
A la Secretaría de Ciencia y Tecnología (UTN) por el apoyo recibido a través del subsidio al Proyecto de Investigación consolidado “Caracterización experimental y modelación numérica de los procesos de infiltración, intercepción vegetal e impacto por incendios en cuencas de Córdoba”, Código 25/E157. Al Laboratorio de Geotecnia de la Facultad Regional Córdoba de la Universidad Tecnológica Nacional. A la Dirección de Parques y Paseos, municipalidad de la ciudad de Córdoba. A los becarios y colaboradores Eliana Baldazar, Matías Bupo, Edwin Rondan, Franco Cosiansi, Emiliano Cobelas, Oscar Gribosqui, Ana María Guerrero, Diego Apestegui, Jorge Apestegui, Darío Ferrero, Ignacio Paoli, Francisco Obregón, y al Instituto Técnico Salesiano Villada.
Referencias
Achutegui, A., Abreu, X., & Páez, M. L. (1996). Diseño y evaluación de un simulador de lluvias tipo gotero con efecto vibratorio. Venesuelos, 4, 24-28.
Ahuja, L. R., Kozak, J. A., Andales, A. A., & Ma, L. (2007). Scaling Parameters of the Lewis-Kostiakov water Infiltration Equation across Soil Textural Classes and Extension to Rain Infiltration. Transactions of the ASABE (American Society of Agricultural and Biological Engineers), 50(5), 1525-1541.
Al-Azawi, S. A. (1985). Experimental Evaluation of Infiltration Models. Journal of Hydrology (NZ), 24(2), 77-88.
Chapra, S. C., & Canale, R. P. (2006). Métodos numéricos para ingenieros. México, DF: McGraw-Hill Interamericana.
Chow, V. T., Maidment, D. R., & Mays, L. W. (1994). Hidrología aplicada. Santafé de Bogotá: McGraw-Hill Interamericana S.A.
Custodio, E., & Llamas, M. R. (Eds.) (1976). Hidrología subterránea. Barcelona: Ediciones Omega.
Eaton, J. W., Bateman, D., & Hauberg, S. (2007). GNU Octave: A High-Level Interactive Language for Numerical Computations. Recovered from www.octave.org .
Horton, R. E. (1939). Analysis of Runoff-Plot Experiments with Varying Infiltration Capacity (pp. 693-711). Washington, DC: Transactions American Goephysical Union.
Marelli, H. J. (1989). La erosión hídrica. Proyecto: alternativas mejoradas conservacionistas de producción agrícola ganadera en el sur de Córdoba. Publicación técnica 1. Córdoba, Argentina: INTA, Estación Experimental Agropecuaria Marco Juárez.
Mathews, J. H., & Fink, K. D. (2004). Numerical Methods using Matlab (4th Ed.). Upper Saddle River, USA: Pearson Prentice Hall.
Paoli, H. I., & Rojas, J. A. (2006). Estudio Hidráulico, Teórico y Experimental, sobre Formadores de Gotas. Mendoza, Argentina: Jornada de Estudiantes Investigadores.
Pla-Sentis, I. (1981). Simuladores de lluvia para el estudio de relaciones suelo agua bajo agricultura de secano en los trópicos. Rev. Fac. Agron., 12(1-2), 81-93.
Quintana-Salvat, F., & Barbeito, O. (1994). Base geológica-geomorfológica para la planificación territorial de la ciudad de Córdoba y su entorno-Ejido Municipal Fotointerpretación, 1(2), 209-256.
Ravi, V., & Williams, J. R. (1998). Estimation of Infiltration Rate in the Vadose Zone: Compilation of Simple Mathematical Models. Volume I. Technical Report No. EPA/600/R-97/128a. Ada, USA: United States Environmental Protection Agency, National Risk Management Research Laboratory.
Rostagno, C. M., & Garayzar, D. (1995). Diseño de un simulador de lluvia para estudios de infiltración y erosión de suelos. Ciencia del Suelo, 13, 41-43.
SCS (1972). National Engineering Handbook. Section 4: Hydrology. Washington, DC: U.S. Dept. of Agriculture, Soil Conservation Service.
Tucci, C. E. M. (2001). Urban Drainage in Humid Tropics. Volume I. In C. Maksimovic. Urban Drainage in Specific Climates. IHP-V-Technical Documents in Hydrology, 40(1). Paris: UNESCO.
Tucci, C. E. M. (Ed.) (1993). Hidrologia: Ciência e Aplicação. Porto Alegre: Editora da Universidade, UFRGS.
USACE (1981). HEC-1 Flood Hydrograph Package User’s Manual. Davis, USA: U.S. Army Corps of Engineers.
USACE (2001). HEC-HMS Hydrologic Modeling System User’s Manual. Davis, USA: U.S. Army Corps of Engineers.
USEPA (1977). SWMM: Stormwater Management Model. Washington, DC: U.S. Environmental Protection Agency.
Weber, J. F. (marzo, 2015a). Parámetros del modelo de infiltración de Philip para áreas permeables del ejido urbano de la ciudad de Córdoba, Argentina. Aqua-LAC – Revista del Programa Hidrológico Internacional para América Latina y el Caribe, 7(1), 39-48.
Weber, J. F. (2015b). Eficiencia relativa de modelos de infiltración: caso ciudad de Córdoba (Argentina). XXV Congreso Nacional del Agua – Conagua, del 15 al 19 de junio de 2015, Paraná, Entre Ríos, República Argentina.
Weber, J. F. (enero-marzo, 2014a). Parámetros del modelo de infiltración de Horton obtenidos mediante el uso de un simulador de lluvia – Córdoba, Argentina. Revista Ambiente & Água, 9(1), 161-172.
Weber, J. F. (2014b). Parámetros del modelo de pérdidas CN-SCS para áreas permeables de la ciudad de Córdoba, Argentina. V Congreso Internacional sobre Gestión y Tratamiento Integral del Agua, del 12 al 14 de noviembre de 2014, Córdoba, Argentina.
Weber, J. F., & Apestegui, L. (2013). Parámetros del modelo de infiltración de Green y Ampt en suelos de la ciudad de Córdoba, Argentina. Cuadernos del Curiham, 19, 87-103.
Weber, J. F., Apestegui, L., & Baldazar, E. (2011). Medición de la capacidad de infiltración in situ de suelos de la ciudad de Córdoba mediante un microsimulador de lluvia portátil. XXIII Congreso Nacional del Agua-Conagua, Resistencia, República de Argentina.
Weber, J. F., Paoli, H., & Apestegui, L. (2009). Diseño, construcción y puesta a punto de un microsimulador de lluvia portátil para estudios hidrológicos. XXII Congreso Nacional del Agua, Trelew, República de Argentina.
Weber, J. F., Paoli, H. I., &Apestegui, L. (2010). Microsimulador de lluvia portátil para estudios hidrológicos. Tecnología y Ciencia, 9(18), 47-53.
Weber, J. F., Urbano, J. M., Stuyck, E. E., Azelart, D., & Martínez, N. B. (2005). Caracterización de los parámetros del modelo de Infiltración de Horton en suelos de la ciudad de Córdoba. Cuadernos del Curiham, 11(1), 29-38.
Notas de autor
Universidad Tecnológica Nacional, Facultad Regional Córdoba, Departamento de Ingeniería Civil, Laboratorio de Hidráulica. Maestro M. López esq. Cruz Roja, Argentina, Ciudad Universitaria X5016ZAA Córdoba, Argentina. Teléfono: +54(351)4684215; jweber@civil.frc.utn.edu.ar
Universidad Tecnológica Nacional, Facultad Regional Córdoba, Departamento de Ingeniería Civil, Laboratorio de Hidráulica. Maestro M. López esq. Cruz Roja, Argentina, Ciudad Universitaria X5016ZAA Córdoba, Argentina. Teléfono: +54(351)4684215; lapestegui@civil.frc.unt.edu.ar