Análisis termo-hidráulico de captadores solares cilindroparabólicos para generación directa de vapor con RELAP5
Análisis termo-hidráulico de captadores solares cilindroparabólicos para generación directa de vapor con RELAP5
Tecnología y Ciencias del Agua, vol. VII, núm. 3, pp. 75-91, 2016
Instituto Mexicano de Tecnología del Agua
Recepción: 06/12/2014
Aprobación: 11/11/2015
Financiamiento
Fuente: Conacyt
Beneficiario: Jacobo Saynes
Financiamiento
Fuente: Secretaría de Estado de Investigación, Desarrollo e Innovación del Gobierno de España
Nº de contrato: ENE2014-56079-R
Beneficiario: Plataforma Solar de Almería
Financiamiento
Fuente: Tecnológico Nacional de México (TecNM, antes DGEST)
Nº de contrato: DGEST 2578.O9-P
Beneficiario: Cenidet
Resumen:
Valenzuela, L., Saynes, J., & Moya, S. L. (mayo-junio, 2016). Análisis termo-hidráulico de captadores solares cilindroparabólicos para generación directa de vapor con RELAP5. Tecnología y Ciencias del Agua, 7(3), 75-91. Este trabajo presenta un estudio termo-hidráulico numérico de una fila tipo de captadores solares cilindroparabólicos (CCP) para generación directa de vapor (GDV), que opera en la configuración “un solo paso” (once-through). El estudio se realizó mediante el simulador RELAP5/MOD3. La fila de CCP considerada consta de 10 unidades, con una longitud total de 1 000 m. El estudio de la fila incluye un análisis del comportamiento del sistema bajo condiciones nominales (70 bar y 723 K), y un análisis de sensibilidad a variables de funcionamiento y parámetros de diseño, como temperatura del agua de alimentación, distribución perimetral de radiación solar concentrada en la pared exterior del tubo absorbedor, y diámetro interior y material del tubo absorbedor. Se encontró una relación directa entre el incremento de la temperatura de alimentación y el desplazamiento de las regiones de evaporación y sobrecalentamiento; este desplazamiento es de 22 m para los saltos de temperatura considerados, permaneciendo constante la longitud de la región de evaporación, puesto que ni el caudal de agua de alimentación ni la radiación solar directa se modificaron para este tipo de análisis. El perfil perimetral de radiación solar concentrada en el tubo absorbedor afecta de manera importante tanto en los coeficientes de transferencia de calor convectivos como en la ubicación de las zonas de transición precalentamiento/ evaporación y evaporación/sobrecalentamiento, en especial para la segunda de ellas, con un desfasamiento de hasta 18 m. En cuanto al efecto del diámetro interno del tubo absorbedor, se determinó que el número de patrones de flujo es menor cuando el diámetro interior es mayor, con independencia del espesor de pared o material del tubo. El material del tubo absorberdor, acero inoxidable 316Ti y acero ferrítico A355 P22 afecta en particular el comportamiento transitorio del flujo y las diferencias máximas de temperatura en la sección transversal de la pared del tubo absorbedor, siendo dichas diferencias más altas cuando el absorbedor está fabricado en acero inoxidable.
Palabras clave: captadores solares cilindroparabólicos, generación directa de vapor, estudio termo-hidráulico.
Abstract:
Valenzuela, L., Saynes, J., & Moya, S. L. (May-June, 2016). Thermo- Hydraulic Analysis of Parabolic trough Collectors for Direct Steam Generation with Relap5. Water Technology and Sciences (in Spanish), 7(3), 75-91. This paper presents a numerical thermo-hydraulic study of a standard row of parabolic-trough solar collector (PTC) for direct steam generation (GDV) working in the configuration oncethrough. The research was carried out with the simulator RELAP5/ MOD3. The considered PTC row has 10 units with a total length of 1000 m. The study of the row includes a performance analysis of the system under nominal conditions (70 bar and 723 K), and a sensitivity analysis to functioning variables and design parameters, such as: feed water temperature; perimeter distribution of the concentrated solar radiation in the wall of the absorber tube; and inner diameter and material of the absorber tube. It was found direct relation between the increase of the inlet temperature and the shift of the evaporation and superheating regions; this shift is 22m for the different temperature considered, remaining constant the length of the evaporation region, because neither the feed water flow nor the direct solar radiation were modified for this type of analysis. The perimeter profile of the concentrated solar radiation on the absorber tube seriously affects the convective heat transfer coefficients as well as the transition position in the preheating/evaporation and evaporation/superheating, especially for the second one with a difference of 18 m. With regard to the absorber tube inner diameter it was determined that the number of flux patterns is smaller when the inner diameter is bigger, regardless to the wall thickness or tube material. The material of the absorber tube, stainless steel 316Ti and ferritic steel A355 P22, affects mainly the flow transient behavior and the maximum differences in temperature in the transversal section of the absorber tube wall, being these differences higher when the absorber is made of stainless steel.
Keywords: Parabolic-Trough Collectors, Direct Steam Generation, Thermo-Hydraulic Model.
Introducción
La tecnología de generación directa de vapor (GDV) mediante concentradores solares de foco lineal ha experimentado un creciente interés en la última década debido a la puesta en funcionamiento de sistemas experimentales, primero, y comerciales, después, que utilizan la tecnología de captadores de canal parabólico o cilindroparabólicos (CCP) (Zarza, 2004; Zarza et al., 2004; Fernández-García, Zarza, Valenzuela, & Pérez, 2010), o la tecnología de concentradores lineales tipo Fresnel (Zhu, Wendelin, Wagner, & Kutscher, 2014). La mayor parte de las investigaciones experimentales que se ha realizado hasta el momento se ha desarrollado en la planta experimental DISS (Direct Solar Steam) de la Plataforma Solar de Almería (PSA), España (Zarza et al., 2004). Dicha instalación solar está actualmente compuesta por un único lazo de captadores solares cilindroparabólicos de longitud total igual a 1 000 m, aproximadamente, y formada por 15 captadores solares con longitudes de apertura de entre 5.00 y 5.76 m (Feldhoff et al., 2014). Tales investigaciones han demostrado la viabilidad técnica de la tecnología GDV con CCP para generar energía eléctrica en el ámbito comercial (Zarza, Rojas, González, Caballero, & Rueda, 2006). Hay diversas problemáticas identificadas relacionadas con la GDV en concentradores solares de foco lineal. La estratificación de la fase líquida que se presenta por debajo de ciertos caudales de agua, en función de la presión de operación, es uno de los problemas detectados en los estudios previos del sistema DISS (Zarza, 2004) (figura 1). El patrón de flujo estratificado, al igual que la presencia del patrón de flujo dryout (o anular abierto), son causantes de elevadas diferencias de temperatura en la sección transversal del tubo absorbedor y sobrecalentamiento del tubo bajo ciertas condiciones de operación, sobre todo en la configuración de campo solar conocida como modo once-through (“un solo paso”) (Roldán et al., 2013; Serrano- Aguilera, Valenzuela, & Parras, 2014). Este sobrecalentamiento del tubo absorbedor puede provocar su deformación y el subsiguiente fracturamiento del tubo transparente que lo encapsula. Es necesario, por tanto, profundizar aún más en el conocimiento de los fenómenos termo-hidráulicos que ocurren en este tipo de sistemas de flujo bifásico con transferencia de calor.

Previo a los trabajos experimentales realizados en la instalación DISS, Almanza, Lentz y Jiménez (1997) hicieron un estudio experimental del comportamiento térmico en un sistema de CCP para diferentes materiales del tubo absorbedor (acero y cobre). Determinaron la eficiencia de generación de vapor en el tubo absorbedor para ambos casos, por ejemplo, utilizando materiales diferentes para el tubo absorbedor. Encontraron que al reemplazar los tubos absorbedores de acero por tubos de cobre se redujo la diferencia máxima de temperatura en las paredes de forma significativa de valores medidos en torno a 50 °C para el acero, a valores de unos 10 °C para el cobre.
En el trabajo de Ishii y Takashi (2006) se estableció que la variedad de patrones de flujo reflejan las diferentes formas en que las fases gaseosa y líquida están distribuidas en una tubería, y que el mecanismo de la transferencia de calor depende de esta distribución. Wojtan, Ursenbacher y Thome (2005a y b) obtuvieron un mapa de patrones de flujo que involucra la transferencia de calor en flujos con evaporación en tuberías horizontales. Numerosos investigadores se han dedicado a estudiar los patrones de flujo que se presentan cuando líquido y vapor fluyen de modo simultáneo en tuberías, siendo uno de ellos el trabajo de Kattan, Thome y Favrat (1998), para diferentes fluidos refrigerantes y diámetros pequeños de tubería (diámetro interior < 16 mm). En el caso particular de los estudios realizados en sistemas de GDV en concentradores solares, empleando la metodología de Taitel y Dukler (1976), Odeh, Behnia y Morrison (1998) determinaron los patrones de flujo que se presentan para diferentes niveles de radiación incidente y diámetros de la tubería. Estos autores encontraron que para el caso de diámetro interior pequeño (54 mm) son más factibles los patrones de flujo intermitente y anular, mientras que para diámetros mayores, y niveles bajos de radiación, es más factible la presencia de flujo estratificado, causante de fuertes diferencias de temperatura en el perfil perimetral del tubo absorbedor y de su posible fracturamiento.
A pesar de los esfuerzos realizados para caracterizar el comportamiento del flujo aguavapor a través de tuberías con transferencia de calor aún no existe información suficiente para predecir con certeza las condiciones bajo las cuales se presentan cada uno de los patrones de flujo ni sus transiciones para las características y condiciones de operación de las centrales solares de concentración que utilizan la tecnología GDV. El lazo de ensayos experimental DISS es una instalación solar muy útil, al estar proporcionando este tipo de información experimental bajo condiciones de operación reales. Con esta información experimental y otra complementaria que se puede obtener mediante simuladores numéricos, es posible proponer correlaciones más pertinentes para el cálculo de los coeficientes de transferencia de calor por convección, y cálculo de las caídas de presión para cada uno de los patrones de flujo.
Recientemente se han utilizado códigos de computación fluido-dinámica como FLUENT (Roldán et al., 2013) o STAR-CCM+ (Lobón, Valenzuela, & Baglietto, 2014) para avanzar en el conocimiento del comportamiento fluidodinámico del vapor sobrecalentado o flujo bifásico líquido-vapor, respectivamente, en los tubos absorbedores de captadores solares cilindroparabólicos. Sin embargo, este tipo de herramientas requiere de recursos computacionales ingentes cuando se pretende simular de forma numérica el comportamiento termo-hidráulico de una instalación solar de, por ejemplo, el tamaño de la instalación experimental DISS. En este trabajo se utiliza el código RELAP5 (2001) para la simulación de una fila de CCP con GDV, herramienta de simulación que ya ha sido previamente utilizada para estudiar el comportamiento de la instalación DISS (Moya, Valenzuela, & Zarza, 2011) con resultados positivos. El estudio previo permitió aumentar el conocimiento del comportamiento del flujo líquido-vapor a lo largo del tubo absorbedor, pues, por un lado, para las condiciones de operación consideradas, se pudieron delimitar los tramos de receptor (tubo absorbedor) en los que se presentan determinados patrones de flujo y, por otro lado, se identificaron con detalle los diferentes modos de transferencia de calor que transcurren en la interfase fluido-pared del tubo absorbedor.
En el estudio realizado que se presenta en este trabajo se considera una fila tipo de CCP para GDV para una central termosolar de generación eléctrica. Se realiza un análisis termo-hidráulico del sistema para las condiciones de trabajo en el punto de diseño, y se complementa el trabajo con un estudio de sensibilidad en función de diferentes variables de proceso y parámetros característicos del captador considerado.
Metodología
El estudio se hace con el simulador comercial RELAP5/MOD3 (Reactor Excursion and Leak Analysis Program), código utilizado de manera amplia para modelar reactores nucleares, pero que en principio es capaz de modelar también otro tipo de sistemas de flujo bifásico líquidovapor con transferencia de calor.
RELAP5 es un simulador basado en el modelo a dos fluidos, que consiste en resolver las ecuaciones de conservación de masa, cantidad de movimiento y energía para cada una de las fases, y en el cual se establecen también las interacciones interfaciales y las interacciones de las fases con la pared. En RELAP5, las seis ecuaciones de conservación del modelo a dos fluidos se formulan de modo unidimensional en términos de valores promediados en volumen y tiempo, requiriendo para su solución relaciones de cerradura para los diferentes patrones de flujo. Las seis variables dependientes son presión; energías internas específicas para cada fase; fracción volumétrica de vapor (fracción volumétrica de vapor en una mezcla bifásica líquido-vapor), y velocidades de cada fase. RELAP5 emplea la fracción volumétrica de vapor (denominada también fracción de huecos o fracción de vacío) para determinar los patrones de flujo, parámetro más adecuado que la velocidad superficial cuando se trata con problemas transitorios y de flujo no totalmente desarrollado, para los cuales un modelo a dos fluidos es más apropiado que un modelo homogéneo.
Modelo matemático
Las ecuaciones de conservación para cada fase k (modelo a dos fluidos) de un flujo bifásico unidimensional líquido-vapor (k = l, g), promediadas en volumen y tiempo, son las que se enuncian a continuación (RELAP5, 2001), derivadas del modelo general desarrollado por Lahey y Drew (1989), e Ishii (1975):
Conservación de masa:
(1)Donde ρ denota densidad; α, fracción volumétrica; A, área de flujo; ν, velocidad, y Γ es la transferencia de masa interfacial (evaporación/ condensación), determinada a través de una condición de cerradura.
Conservación de cantidad de movimiento:
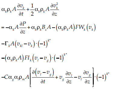
(2)El lado izquierdo de la ecuación comprende el término de acumulación y término de convección forzada, respectivamente. El lado derecho abarca los términos de gradiente de presión, fuerza de cuerpo, fuerza de arrastre fase-pared, transferencia de momento interfacial, fuerza de arrastre interfacial y fuerza de masa virtual; respectivamente. Bz denota la componente del vector de la fuerza de cuerpo g, y C es el coeficiente de masa virtual. FW y FI forman parte de los coeficientes de fricción fase-pared e interfacial, respectivamente. El subíndice I denota valor interfacial y el subíndice m, valor de mezcla. El exponente k* tiene un valor de 1 para k = g y de 2 para k = l. La ecuación implica que los esfuerzos de Reynolds y los viscosos son muy pequeños en relación con los demás términos. El código RELAP utiliza dos métodos para el cálculo de la fuerza de fricción interfacial: el método del coeficiente de arrastre y el método drift flux. Debido a que el sistema bajo estudio puede considerarse prácticamente una tubería horizontal (si se exceptúan los pequeños tramos de interconexiones entre captadores solares), sólo se va a considerar el primer método, pues el segundo está enfocado a regímenes de flujo burbuja y slug para flujos verticales.
(3 )Donde U es la energía interna específica; Qw denota el flujo de calor fase-pared; Ql el flujo de calor interfacial; h*k es la entalpía específica asociada con la transferencia de masa interfacial; h´k es la entalpía específica vinculada con la transferencia de masa en la pared y DISSk es el término de disipación de energía. En el simulador RELAP5, el flujo de calor a través de la pared del tubo absorbedor se establece en dirección radial y pueden considerarse diferentes materiales.
Las relaciones de cerradura para cada una de las ecuaciones de conservación y para cada patrón de flujo, así como el método del coeficiente de arrastre pueden consultarse en RELAP5 (2001). RELAP5 resuelve numéricamente las ecuaciones mediante la técnica de diferencias finitas con un esquema semi-implícito.
Modelo físico del sistema
La fila de CCP considerada (figura 2) consta de 10 unidades de captadores solares con una geometría tal que cada captador tiene una apertura de 5.76 m y una longitud de 100 m, siendo la distancia focal de la parábola de 1.71 m. El tubo absorbedor metálico, por cuyo interior circula el fluido de transferencia térmica (agua), tiene un diámetro exterior de 70 mm. La fila está orientada en dirección norte-sur. Para todos los casos, el estado cuasi-estacionario se consideró con el concentrador solar posicionado en el instante de mediodía solar, i.e. con la perpendicular a la apertura dirigida hacia el cenit, y una distribución perimetral de la radiación solar concentrada tipo 90/10 en el tubo absorbedor; esta aproximación significa que 90% de la radiación solar concentrada incide en la mitad inferior del tubo y 10% de la radiación en la mitad superior. En este estudio no se ha considerado la existencia de interconexiones entre captadores con tramos rectos de tubería y codos para simplificar el modelo de simulación.
Análisis de independencia de malla
Una vez definido el sistema de captadores solares para GDV (ver figura 2) y las condiciones de trabajo en el punto de diseño (ver cuadro 1), se realizó un análisis de independencia de malla con objeto de determinar el tamaño de celda más adecuado para realizar el estudio del sistema, considerando el tiempo de computación, exactitud y convergencia en la solución de las variables involucradas. En la superficie del tubo se consideraron cinco nodos en la dirección radial para cada tamaño de celda considerado (ver cuadro 2). Para cada tamaño de celda se especifican los resultados de la temperatura del vapor en la salida de la fila y también la posición en la fila donde se inicia la zona de evaporación, así como los patrones de flujo predichos en distintas zonas de la fila de CCP. Se observa que para todas las mallas se predicen los mismos patrones de flujo y la diferencia máxima en cuanto a la posición donde se presentan es menor a 1 m para las mallas más finas. Se decide, por tanto, abordar el estudio termo-hidráulico utilizando una malla compuesta por 178 nodos para cada captador de 100 m, de modo que el paso espacial para la simulación es Δx = 0.5618 m.



Objetivos del estudio
El estudio consiste en analizar el comportamiento termo-hidráulico de la fila bajo condiciones nominales y analizar la sensibilidad de diferentes variables de proceso y parámetros, como temperatura de entrada del agua (380, 400, 423, 440 y 460 K); diámetro interno del tubo absorbedor (50 y 61 mm); tipo de material del tubo absorbedor (acero inoxidable A316Ti y acero ferrítico A335 grado P22), y distribución de la radiación solar concentrada en el perímetro del tubo absorbedor. En el caso particular de la distribución de radiación se han considerado dos estructuras de calor con distribución 90/10; dos estructuras con distribución 80/20; seis estructuras y siete estructuras (ver figura 3); estas dos últimas distribuciones tienen como objeto lograr una aproximación a la distribución más realista, que es de tipo gaussiano, como la que se muestra en la figura 4 (Roldan, Valenzuela, & Zarza, 2013).


Las condiciones de operación nominales de partida consideradas en el estudio son presión igual a 70 bar y temperatura de vapor igual a 723 K en la salida del lazo; caudal de agua de alimentación igual a 1 kg/s, y un flujo de radiación concentrada en la pared exterior del tubo absorbedor igual a 31.7 kW/m2.
Para los materiales del tubo receptor considerados en el modelo de simulación, el calor específico y conductividad térmica del material están tabulados según los datos que se muestran en el cuadro 3.

En general, el tubo absorbedor de un captador cilindroparabólico tiene una parte del tubo expuesto a un flujo de radiación solar concentrada que puede llegar a valores pico de hasta 50 kW/m2, dependiendo del diseño de captador solar, y otra parte del tubo absorbedor que sólo recibe la radiación solar directa y difusa, pero sin estar concentrada por el sistema concentrador del captador. A la primera zona del tubo absorbedor se le denomina zona con concentración (ZCC), que en los gráficos de la figura 3 se corresponde con la mitad inferior del tubo, donde el nivel de radiación solar incidente es superior; la segunda zona del tubo absorbedor se denomina zona sin concentración (ZSC), que en los gráficos de la figura 3 se corresponde con la mitad superior del tubo.
Resultados y discusión
En esta sección se presentan los resultados que se consideran representativos para demostrar la factibilidad de la GDV en CCP con distintas configuraciones y condiciones de operación. Por otro lado, estos resultados permiten mostrar la utilidad de la herramienta de simulación RELAP para realizar análisis muy completos del comportamiento térmico e hidráulico de este tipo de sistemas.
Sensibilidad al diámetro interior del tubo absorbedor con diámetro exterior constante
En la figura 5 se presentan perfiles de temperatura del fluido, calidad del vapor, fracción volumétrica del vapor y los patrones de flujo a lo largo de la fila de CCP para los dos diámetros de tubo absorbedor (receptor) considerados. Para la tubería de 50 mm de diámetro interior se observa la presencia de seis tipos de patrones de flujo a lo largo del receptor. Para el diámetro de 61 mm se presentan sólo tres patrones e iniciando prácticamente en las mismas posiciones a lo largo del receptor. Tales diferencias están relacionadas con las discrepancias en la caída de presión que se produce en la zona bifásica en uno y otro caso.

En la figura 6 se observa que para la región de flujo bifásico se tiene un aumento muy notable del coeficiente de transferencia de calor en la parte inferior del receptor expuesta a la radiación solar concentrada (ZCC, zona con concentración) y un aumento más tenue en la parte superior del receptor no expuesta a radiación concentrada (ZSC, zona sin concentración), siendo de mayor magnitud en la zona ZCC, porque se ha supuesto que el captador solar está en posición tal que la normal a su apertura está en la dirección del cenit y, por tanto, por efecto de la gravedad, el agua líquida se encuentra en la parte inferior del tubo receptor y recibe la radiación solar concentrada. Al llegar a la región de transición de flujo bifásico a vapor sobrecalentado, los coeficientes convectivos en las zonas ZCC y ZSC disminuyen de forma brusca a un valor prácticamente uniforme e inferior a los de la zona de líquido debido a que el vapor sobrecalentado tiene un coeficiente de transferencia de calor por convección más bajo. Esto origina un aumento súbito de la diferencia de temperatura en la pared del receptor entre ZCC y ZSC en la posición 750 m de la fila de CCP (ver figura 6), pocos metros antes de la transición a vapor sobrecalentado (ver figura 5).


Sensibilidad a la temperatura del agua de alimentación
En la figura 8 se presentan la temperatura del fluido y los patrones de flujo a lo largo de la fila de CCP para distintas temperaturas del agua de alimentación de la fila. Para este análisis particular se ha considerado que el diámetro interior del tubo absorbedor es 61 mm. Como era de esperar, al incrementar la temperatura de entrada se adelanta la región de flujo bifásico y la de sobrecalentamiento. Se observa una relación directa entre el aumento de temperatura y el desplazamiento de las regiones de evaporación y sobrecalentamiento. Este desplazamiento es de 22 m para los saltos de temperatura considerados, permaneciendo constante la longitud de la región de evaporación, puesto que ni el caudal de agua de alimentación, ni la radiación solar directa se están modificando. Las zonas donde se presentan los distintos patrones de flujo también sufren un desfase, pero estos son los mismos en todos los casos. En la figura 9 se puede observar también que la diferencia máxima de temperatura en la pared del tubo absorbedor —si éste se examina en un corte transversal del tubo absorbedor en la región de precalentamiento de agua, i.e., primeros metros de la fila de CCP— es mayor cuanto menor es la temperatura del agua de alimentación por debajo de la temperatura de saturación. Aunque esta diferencia máxima de temperatura no llega a ser crítico para el tubo absorbedor en los casos considerados —i.e., no se alcanzan valores que originen una flexión mecánica del tubo—, es importante resaltar también este fenómeno, porque es una consideración a tener en cuenta cuando se está diseñando un campo solar para la producción de vapor o incluso calentamiento de agua.


Efecto de la distribución perimetral de la radiación solar concentrada en el tubo absorbedor
En los anteriores estudios se ha considerado que la radiación solar concentrada incide en el tubo absorbedor en una proporción 90/10 para las zonas ZCC y ZSC, respectivamente. Es decir, 90% de la radiación incide en la parte inferior del tubo absorbedor y 10% en la parte superior. Sin embargo, la distribución perimetral de la radiación solar concentrada cambia a lo largo del día y además depende de la geometría del captador solar (ver figura 4). Por eso, en este apartado se analiza el efecto que la distribución perimetral de la radiación puede tener en el comportamiento termo-hidráulico de la fila propuesta. Se han considerado las distribuciones perimetrales que se muestran en la figura 3.
En la figura 10 se presenta el perfil de temperatura del fluido a lo largo de la fila de CCP para cada configuración de distribución de flujo de calor sobre el tubo absorbedor. Aunque en apariencia el efecto global no es importante, en el acercamiento a las regiones de transición de fases (figura 11a y b), el efecto sí es notorio en cuanto a ubicación y forma de las transiciones. Los perfiles más realistas, i.e., los que consideran 6 o 7 estructuras de calor, propician transiciones más suaves y desplazadas hacia adelante, con un desfasamiento de hasta 4 m respecto de los casos de distribución uniforme o 90/10, para la transición precalentamiento/evaporación, y un desfasamiento de hasta 18 m para la transición evaporación/sobrecalentamiento. Estas transiciones más suaves son a causa de que los perfiles perimetrales de radiación con 6 o 7 estructuras no tienen cambios bruscos en las intercaras entre ambas zonas (inferior y superior).



Efecto del material del tubo absorbedor
El tubo absorbedor (receptor) es uno de los componentes principales en un captador cilindroparabólico, porque influye en el rendimiento térmico global del sistema. El receptor consta de dos tubos dispuestos de forma concéntrica: uno de vidrio, que envuelve a otro metálico, por donde circula el fluido de transferencia térmica. Los dos tubos van unidos mediante un fuelle de dilatación donde hay una soldadura vidriometal. En la cámara entre los dos tubos hay normalmente vacío para reducir las pérdidas térmicas por convección y también evitar la degradación del tratamiento selectivo que lleva el tubo metálico, tratamiento que aumenta la absorptancia de la radiación solar y disminuye la emitancia térmica. El material que conforma el tubo metálico (verdadero “absorbedor”) debe soportar altos gradientes o diferencias de temperatura de pared y exposición prolongada a elevadas temperaturas. Para este análisis, además del acero inoxidable tipo A316Ti, se ha estudiado el comportamiento del sistema cuando el material del absorbedor es acero ferrítico A335 grado P22.
En la figura 12 se presentan los perfiles longitudinales de la fracción volumétrica de vapor, calidad, temperatura y patrones de flujo para ambos materiales. Se comprueba que el comportamiento de todas las variables es prácticamente el mismo en los dos casos, pues se están comparando en el estado estacionario. Pero si se analiza lo que ocurre en estado transitorio (ver figura 13), se pone de manifiesto que el fluido se calienta más rápido cuando el tubo es de acero ferrítico, que es lo esperado, puesto que este material es más conductivo. Esto explica también que las diferencias máximas circunferenciales de temperatura en el tubo absorbedor son mayores cuando el material es acero inoxidable (ver figura 14), debido a que su conductividad térmica es entre 2 y 3 veces inferior a la del acero ferrítico considerado (ver cuadro 3).



Conclusiones
Se realizó un estudio numérico del comportamiento termo-hidráulico de una fila tipo de captadores solares de canal parabólico para la generación directa de vapor de una central termosolar de generación de electricidad. El sistema considerado consiste de una fila de captadores solares con apertura de 5.76 m y una longitud de 100 m cada uno, siendo la distancia focal de 1.71 m, y el tamaño total de la fila de 1 000 m. Para el estudio numérico, se utilizó el simulador comercial RELAP5. El estudio incluyó el análisis del comportamiento del sistema bajo unas condiciones nominales de diseño, pero también la sensibilidad de los resultados a distintas variables de proceso y parámetros de los componentes. Previo al estudio del sistema se hizo un análisis de independencia de malla y se encontró un buen compromiso entre convergencia de resultados y tiempo de computación para tamaños de celda de longitud 0.5618 m. Como resultado del estudio se encontró que, para los dos diámetros internos del tubo absorbedor considerados (50 y 61 mm) se presentan patrones de flujo diferentes, siendo el número de patrones menor cuando el diámetro interior es mayor, independientemente del espesor de pared o material del tubo. Se encontró, además, que el perfil perimetral de radiación solar concentrada en el tubo absorbedor (sección transversal) afecta de manera importante tanto en los coeficientes de transferencia de calor convectivos como en la ubicación de las zonas de transición precalentamiento/evaporación y evaporación/sobrecalentamiento, en especial para la segunda de ellas. Las transiciones de fase son más suaves cuando se consideran 6 o 7 estructuras de calor en el perfil perimetral del tubo, frente a las que se producen cuando se consideran dos estructuras de calor. En cuanto al tipo de material del tubo absorberdor, acero inoxidable 316Ti y acero ferrítico A355 P22, se encontró que afecta en especial el comportamiento transitorio del flujo y las diferencias máximas de temperatura en la sección transversal de pared del tubo absorbedor, siendo dichas diferencias más altas cuando el absorbedor está fabricado en acero inoxidable. En cualquier caso, en todos los casos analizados, se observa que las diferencias máximas de temperatura en las secciones transversales del tubo absorbedor nunca alcanzan valores superiores a los límites definidos en la literatura para tubos receptores de la misma geometría y fabricados en acero A335
Agradecimiento
Jacobo Saynes agradece al Conacyt por la financiación concedida para la realización de una estancia en la Plataforma Solar de Almería, España, y por la beca para los estudios de maestría realizados en Cenidet. La Plataforma Solar de Almería agradece a la Secretaría de Estado de Investigación, Desarrollo e Innovación del Gobierno de España la financiación recibida para la realización del proyecto DETECSOL (ENE2014-56079-R). El Cenidet agradece al Tecnológico Nacional de México (TecNM, antes DGEST) por la financiación recibida para la adquisición del código RELAP y realización del proyecto DGEST 2578.O9-P.
Referencias
Almanza, R., Lentz, A., & Jiménez, G. (1997). Receiver Behavior in Direct Steam Generation with Parabolic Troughs. Solar Energy, 61(4), 275-278.
Feldhoff, J. F., Eickhoff, M., Keller, L., León, J., Meyer- Grünefeldt, M., Valenzuela, L., Pernpeintner, J., & Hirsch, T. (2014). Status and First Results of the DUKE Project – Component Qualification of New Receivers and Collectors. Energy Procedia , 49, 1766-1776.
Fernández-García, A., Zarza, E., Valenzuela, L., & Pérez, M. (2010). Parabolic-Trough Solar Collectors and their Applications. Renewable & Sustainable Energy Reviews , 14, 1695-1721.
Ishii, M. (1975). Thermo-Fluid Dynamic Theory of Two-Phase Flow . Paris: Eyrolles.
Ishii, M., & Takashi, H. (2006). Thermo-Fluid Dynamics of Two- Phase Flow. Berlin: Springer.
Kattan, N., Thome, J. R., & Favrat, D. (1998). Flow Boiling in Horizontal Tubes: Part I – Development of Adiabatic Two-Phase Flow Pattern Map. Trans. ASME, J. Heat Transfer , 120, 140-147.
Lahey, R. T., & Drew, D. A. (1989). The Three Dimensional Time and Volume Averaged Conservations Equations of Two Phases Flow. Adv. Nucl. Sci. Technol., 20, 1-69.
Lobón, D. H., Valenzuela, L., & Baglietto, E. (2014). Modeling the Dynamics of the Multiphase Fluid in Parabolic-Trough Solar Steam Generating Systems. Energy Conversion and Management , 78, 393-404.
Moya, S. L., Valenzuela, L., & Zarza, E. (2011). Numerical Study of the Thermal Hydraulic Behaviour of Water- Steam Flow in the Absorber Tube of the DISS System Using RELAP. Proceedings of the International Symposium SolarPACES 2011 , Granada, España, 21-24 septiembre, 2011.
Odeh, S., Behnia, M., & Morrison, G. (1998). Modelling of Parabolic-Through Direct Generation Solar Collectors. Solar Energy , 62, 395-406.
Serrano-Aguilera, J. J., Valenzuela, L., & Parras, L. (2014). Thermal 3D Model for Direct Solar Steam Generation under Superheated Conditions. Applied Energy , 132, 370- 382.
Hohorst, J. K. & Johnsen, E. C. (1995). SCDAP/RELAP5/ MOD 3.1 Code Manual. NUREG/CR-6150 . Idaho Falls. Idaho National Engineering Laboratory.
Roldan, M. I., Valenzuela, L., & Zarza, E. (2013). Thermal Analysis of Solar Receiver Pipes with Superheated Steam. Applied Energy , 103, 73-84.
Taitel, Y., & Dukler, A. E. (1976). A Model for Predicting Flow Regime Transitions in Horizontal and Near Horizontal Gas-liquid Flow. AIChe Journal , 22(1), 47-55.
Wojtan, L., Ursenbacher, T., & Thome, J. R. (2005a). Investigation of Flow Boiling in Horizontal Tubes: Part I. A New Diabatic Two-Phase Flow Pattern Map. International Journal of Heat and Mass Transfer , 48, 2955–2969.
Wojtan, L., Ursenbacher, T., & Thome J. R. (2005b). Investigation of Flow Boiling in Horizontal Tubes: Part IIDevelopment of a New Heat Transfer Model for Stratifiedwavy Dryout and Mist Flow Regimes. International Journal of Heat and Mass Transfer , 48, 2970–2985.
Zarza, E. (2004). Generación directa de vapor con colectores solares cilindro parabólicos, Proyecto Direct Solar Steam (DISS) . Madrid: Ciemat.
Zarza, E., Valenzuela, L., León, J., Hennecke, K., Eck, M., Weyers, H.-D., & Eickhoff, M. (2004). Direct Steam Generation in Parabolic Troughs: Final Results and Conclusions of the DISS Project. Energy , 29(5-6), 635-644.
Zarza, E., Rojas, M. E., González, L., Caballero, J. M., & Rueda, F. (2006). INDITEP: The First Pre-Commercial DSG Solar Power Plant. Solar Energy , 80, 1270-1276.
Zhu, G., Wendelin, T., Wagner, M. J., & Kutscher, C. (2014). History, Current State, and Future of Linear Fresnel Concentrating Solar Collectors. Solar Energy , 103, 639-652.
Notas de autor
loreto.valenzuela@psa.es