Modelación de la variación del consumo de agua potable con métodos estocásticos
Modelación de la variación del consumo de agua potable con métodos estocásticos
Tecnología y Ciencias del Agua, vol. VII, núm. 3, pp. 115-133, 2016
Instituto Mexicano de Tecnología del Agua
Recepción: 26/06/2015
Aprobación: 12/11/2015
Financiamiento
Fuente: Fondo Sectorial de Investigación y Desarrollo Sobre el Agua Conacyt-Conagua
Financiamiento
Fuente: Comisión Estatal de Servicios Públicos de Tijuana
Resumen:
Tzatchkov, V. G., & Alcocer-Yamanaka, V. H. (mayo-junio, 2016). Modelación de la variación del consumo de agua potable con métodos estocásticos. Tecnología y Ciencias del Agua, 7(3), 115-133. A pesar de su importancia, en la práctica, la variación de la demanda de agua potable se estima de manera muy aproximada de mediciones continuas del gasto en la tubería que abastece a una zona; por su lado, la curva de variación de la demanda medida se asume válida para cualquier otra tubería de la red, independientemente del número de usuarios al que da servicio. El presente artículo describe una metodología para obtener la variación diaria estocástica de la demanda instantánea de agua potable, aplicable a una sola casa o cualquier número de casas con base en los parámetros estadísticos del consumo de agua en casas individuales, nivel de fugas dado y la variación del gasto medida en la tubería de abastecimiento, considerando casos de suministro continuo e intermitente. La metodología propuesta ofrece una base racional para la determinación de la variación de la demanda a cualquier nivel de agregación, que puede combinarse con la correspondiente manera tradicional o sustituirla. Los resultados se compararon con mediciones de campo en una ciudad mexicana donde el suministro de agua potable es continuo. La variación de los gastos en las tuberías con suministro intermitente o con servicio continuo, pero con cisternas y tinacos en los domicilios, es muy diferente de aquella en tuberías con suministro continuo sin cisternas y tinacos. El coeficiente de demanda máxima horaria es más alto en suministro intermitente que en suministro continuo, pero más bajo en redes que tienen servicio continuo, y cisternas o tinacos en los domicilios.
Palabras clave: demanda estocástica de agua potable, método de pulsos rectangulares de Poisson (PRP), curva de la variación horaria de la demanda, coeficiente de variación horaria, agregación de la demanda de agua, suministro continuo e intermitente de agua potable.
Abstract:
Tzatchkov, V. G., & Alcocer-Yamanaka, V. H. (May-June, 2016). Stochastic Method Water Demand Variation Modelling. Water Technology and Sciences (in Spanish), 7(3), 115-133. Despite its importance, water demand variation in current practice is estimated very approximately by observing water flow in a pipe supplying certain zone, and the demand variation curve thus obtained is assumed to be valid for any other pipe in the network, regardless the number of water users served. This paper describes a methodology for obtaining the daily instantaneous water demand stochastic variation based on statistical parameters of water consumption at individual homes, given leakage level, and observed flow variation at the supplying pipe. Continuous and intermittent supplies are considered. The methodology is applicable to a single home or a group of any number of homes. It provides a rational base for determining water demand variation at any aggregation level and can be combined with the corresponding traditional way of such determination, or substitute it. The results were compared with field measurements in a Mexican city where water supply is continuous. Flow variation in intermittent water supply pipes, or in continuous supply pipes with ground level cisterns and roof tanks, is very different from that in continuous supply pipes. The hourly water demand coefficient is higher in intermittent water supply, compared to continuous supply, but lower in networks with continuous supply and ground level cisterns and roof tanks.
Keywords: Stochastic water demand, PRP method, Hourly demand variation curve, Hourly demand variation coefficient, Water demand aggregation, Continuous and intermittent water supply.
Introducción
La estimación correcta de la demanda de agua potable representa una condición indispensable para la planeación y el diseño de los sistemas de suministro, que en gran medida determina las inversiones necesarias y calidad del servicio. La demanda está sujeta a variaciones interanuales, estacionales, semanales y diarias. La variación interanual se expresa por la evolución de la demanda durante varios años debida a la dinámica de la población, alteraciones en su estilo de vida y, recientemente, por el cambio climático. La variación estacional se influye por las diferencias en el clima en las estaciones del año; y la variación semanal muestra carácter cíclico con cierto patrón diario, que es similar entre un día y otro, con algunas diferencias para los fines de semana y días festivos. A pesar de su importancia, en la práctica, la demanda de agua potable y su variación se estima de manera muy aproximada. En la ingeniería del abastecimiento de agua potable es común utilizar los conceptos coeficientes de variación diaria y horaria de la demanda y curva de variación horaria de la demanda. Llamado en algunos países también coeficiente pico o coeficiente punta, el coeficiente de variación de la demanda expresa, para una tubería dada, la relación entre el gasto máximo y el gasto medio que conduciría la tubería, que se utiliza ante todo para revisar la capacidad de la tubería en el diseño. La curva de variación horaria de la demanda para una localidad normalmente se obtiene de mediciones continuas del gasto en una tubería que sale de una fuente o un tanque para abastecer la red de distribución. Una vez obtenidos de esta manera para cierta tubería, los coeficientes de variación y curva de variación de la demanda se asumen válidos para cualquier otra tubería de la red, con independencia del número de usuarios a que da servicio, e incluso para los propios domicilios. La figura 1 muestra la curva de variación de la demanda que maneja la Comisión Nacional del Agua (MAPAS-Conagua 2007a), obtenida para varias poblaciones de México.
En el ámbito domiciliario, la demanda real de agua potable —definida por las necesidades y costumbres de sus habitantes—dista mucho, sin embargo, de la representación dada por la figura 1. La figura 2 muestra el consumo de agua registrado en un día en una casa mexicana con resolución ultra fina (cada segundo). El consumo se presenta con pulsos instantáneos, periodos prolongados sin consumo. En un estudio previo (Tzatchkov, Alcocer, Arreguín, & Feliciano, 2005; Alcocer, 2007), se obtuvo que sólo de 3 a 5% del total del día se destina a actividades de consumo de agua. Dado que los momentos de tiempo exactos en que los usuarios hacen uso del agua no serán los mismos entre un día y otro, y entre una casa y otra casa, la variación del consumo tiene también un carácter estocástico, sobre todo en escalas de tiempo finas del orden de segundos. El consumo total de un pequeño grupo de domicilios sería similar al mostrado en la figura 2, y tenderá al mostrado en la figura 1 para un gran número de usuarios en que también se incluyen fugas.


Aparte de la determinación del coeficiente de variación de la demanda, que se emplea para revisar la capacidad de las tuberías en el diseño, es necesario considerar la variación temporal de la demanda de agua potable en al menos otros dos tipos de análisis:
En el análisis del balance de las masas de agua que entran y salen de un tanque, para determinar o revisar el volumen de almacenamiento necesario.
En una simulación (modelación) dinámica del comportamiento hidráulico y de calidad de agua en el sistema de distribución (esta simulación puede incluir también el punto (a) anterior). En las últimas décadas se han realizado avances importantes en la modelación matemática de redes de distribución de agua. Existen ahora sistemas computacionales (software) de libre acceso, como Epanet (Rossman, 2002), o comerciales, como InfoWorks® (Innovyze, 2015), y otros (MAPAS-Conagua, 2007b), que permiten introducir la red completa (incluyendo red secundaria) en un ambiente gráfico. Algunos de estos sistemas pueden integrarse con sistemas de información geográfica, con grado de detalle que puede incluir hasta cada toma domiciliaria en el modelo (Rodríguez et al., 2010). Con independencia del grado de detalle del modelo (un nodo por toma o un nodo por grupo de tomas), el modelo debe ser alimentado con la variación temporal de la demanda en cada nodo, que a su vez depende de la cantidad de tomas servidas por el nodo y es estocástica. En los modelos de redes de agua potable actuales esto normalmente no se hace, asumiendo una curva de variación horaria igual y determinista para todos los nodos. La modelación de las redes con el uso de ese tipo de curvas resulta aceptable para las tuberías principales, donde la variación del caudal conducido es continua, pero es poco realista en las tuberías secundarias que proporcionan el servicio, generando sobre o sub dimensionamiento en los diseños, e incertidumbre en los resultados de los modelos de redes existentes, que se expresa en discrepancias entre los valores medidos y calculados de gastos y presiones.
Ante esta situación, para modelar con mayor certeza el comportamiento hidráulico y de calidad del agua dentro de las redes de distribución, incluyendo tuberías secundarias, surge la necesidad de enfoques más realistas, que incluyan una definición temporal precisa del consumo doméstico con escalas inferiores a la horaria, considerando su carácter estocástico. Para responder a esta necesidad, en el presente artículo se propone una metodología que permite obtener la variación diaria estocástica de la demanda instantánea de agua potable a diferentes niveles de agregación temporal, aplicable a una sola casa o un grupo de N casas. Con el uso de esta metodología se hace un nuevo planteamiento del concepto y la obtención del coeficiente de variación de la demanda, que ahora se considera dependiente de la cantidad de usuarios abastecidos.
Metodología
Existen técnicas con enfoque estocástico para representar el consumo doméstico de agua, desarrolladas básicamente en los últimos años, tales como el Método de Pulsos Rectangulares de Poisson (en inglés, Poisson Rectangular Pulse Method, abreviado como PRP method) (Buchberger & Wu, 1995; Buchberger, Carter, Lee, & Schade, 2003) y el Método de Pulsos Rectangulares de Neyman-Scott (en inglés, Neyman- Scott Rectangular Pulse Method, abreviado como NSRPM; Neyman & Scott, 1958.) (Alvisi, Estos dos métodos manejan la demanda de agua y los parámetros para modelarla, en el nivel toma domiciliaria, sin necesitar información de los aparatos sanitarios que se tienen dentro de las casas. El método PRP maneja directamente la demanda instantánea (con intervalo de medición, registro y modelación de un segundo), mientras que NSRPM puede trabajar con diferentes intervalos de registro, al considerar una desagregación temporal de la demanda (Alcocer et al., 2008). En los trabajos de Blokker (Blokker, 2010; Blokker, Pieterse-Quirijns, Vreeburg, & Van Dijk, 2011), el método PRP se extiende a modelar, empleando el método de Monte Carlo, los pulsos de demanda que generan los aparatos sanitarios individuales en cada domicilio, que luego son agregados al nivel deseado para obtener los gastos en la tubería que suministra a un grupo de domicilios. Este método es conceptualmente más completo y exacto, pero requiere de datos detallados de la cantidad, tipo, frecuencia, patrón de uso y capacidad de todos los aparatos sanitarios en cada domicilio. En una comparación entre su método, que es implementado en un software llamado SIMDEUM, Blokker, Buchberger, Vreeburg y Van Dijk (2008) reportan que se necesitaron 99 parámetros para modelar la demanda con SIMDEUM, comparado con sólo cinco parámetros en el método PRP. Esto lo vuelve impráctico, en particular para países como México, donde es problemático obtener información de lo que hay dentro de los domicilios.
Magini, Pallavicini y Guercio (2008), y Vertommen, Magini y Cunha (2012) enfocan el problema del carácter estocástico y la incertidumbre de la demanda de agua potable por medio de escalamiento temporal y especial. Otros autores que han tratado la modelación de la demanda estocástica y sus efectos son García, García, Cabrera, Arregui y García (2004) (que usan el método PRP), y Van Zyl (Van Zyl, 1996; Van Zyl, le Gat, Piller, & Walski, 2012), cuyo trabajo ha sido dedicado ante todo a los efectos sobre la confiabilidad de los sistemas de agua potable. Alcocer, Tzatchkov y Arreguín (2012) propusieron una metodología para la modelación de redes de agua potable con demanda estocástica y compararon los resultados con mediciones en una red real.
Desarrollo del presente estudio
Para lograr el propósito planteado, el estudio se desarrolló de la manera siguiente:
Parámetros que caracterizan la variación del consumo
El modelo PRP asume que la demanda se presenta en pulsos rectangulares (en el plano tiempo-demanda), con duración e intensidad aleatorias, cuyo surgimiento en el tiempo obedece a un proceso de Poisson no homogéneo. La aplicación de ese modelo requiere de varios parámetros básicos de la demanda local en los domicilios, como la frecuencia de uso del agua por hora del día (u otro intervalo de tiempo), intensidad y duración promedio de los pulsos, y sus coeficientes de variación. Buchberger et al. (2003), Alcocer, Tzatchkov, Buchberger y Feliciano (2004), y Tzatchkov et al. (2005) obtuvieron parámetros de este tipo para la demanda de agua potable en localidades de los Estados Unidos de América y México.
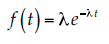
El proceso de Poisson describe las series de ocurrencias independientes en el eje del tiempo mediante el mecanismo estocástico, separadas entre sí por intervalos cuya distribución de probabilidades es exponencial, dada por la ecuación:
(1)donde λ expresa la frecuencia media con que ocurren los pulsos de demanda; λ se mide en pulsos por unidad de tiempo, y el contexto del método PRR se conoce por lo común con el nombre tasa de llegada.
La función de distribución cumulativa correspondiente a la distribución (1) es:
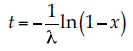
(2)donde por definición 0 ≤ F(t) ≤ 1. El valor medio es igual a 1/λ. Señalando F(t) con x, la solución de la ecuación (2) con respecto al tiempo t es:
(3)El proceso es aditivo (Buchberger et al., 2003), por lo que para un grupo de N casas de parámetros de demanda de agua similares, la ecuación (3) se convierte en:
(4)Si x es un número aleatorio obtenido de la distribución uniforme U(0,1), entonces 1 – x también pertenece a U(0,1), con lo que la ecuación (4) se puede simplificar como:
(5)La ecuación (5) proporciona el tiempo entre las ocurrencias (pulsos de demanda de agua), correspondiente a cierta probabilidad x, y permite obtener este tiempo en el proceso de simulación para valores de x (x > 0) generados de una distribución de probabilidades uniforme. La figura 3 muestra una representación gráfica de la ecuación (5) para N.λ = 3 600 pulsos/hora (un pulso/segundo), que podría ser obtenido por 3 600 casas con un pulso por hora en cada casa, u otra combinación entre N.λ. La figura 4 muestra lo mismo para para N.λ = 4 pulsos/hora.


Procedimiento de simulación del consumo de agua potable
Se desarrolló un procedimiento de simulación del consumo de agua potable en un domicilio, o en un grupo de domicilios, basado en el método de los pulsos rectangulares de Poisson (Método PRP). Se considera que los pulsos de demanda ocurren en instantes aleatorios, y cada pulso tiene una duración e intensidad aleatorias. La tasa de llegada varía durante el día, por lo que se tiene un proceso de Poisson no homogéneo. Los datos que se requieren para la simulación son los siguientes:
Intervalo de tiempo que se quiere modelar; por lo normal se maneja un intervalo de un día.
Tasa de llegada de los pulsos (pulsos/hora) por cada hora (u otro intervalo dado) del día.
Duración media de los pulsos (s).
Distribución de probabilidades de la duración de los pulsos. Las investigaciones realizadas por Buchberger et al. (2003) mostraron que la duración de los pulsos se describe de forma satisfactoria por una distribución log normal, por lo que se usó ese tipo de distribución probabilística.
Desviación estándar de la duración de los pulsos (s). Dado que se emplea una distribución log normal, debe ser expresada por el logaritmo natural (ln x) de dicha duración (s).
Intensidad media de los pulsos (l/s).
Distribución de probabilidades de la intensidad de los pulsos. Las investigaciones realizadas por Buchberger et al. (2003) mostraron que la intensidad de los pulsos se describe también por una distribución log normal, por lo que se usó ese tipo de distribución probabilística.
Desviación estándar de la intensidad de los pulsos (l/s). De manera similar, dado que se emplea una distribución log normal, debe ser expresada por el logaritmo natural (ln x) de dicha intensidad (l/s).
Cantidad de casas.
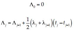
En el caso de un proceso de Poisson no homogéneo (es decir, con λ variable en el tiempo), la aplicación directa de la ecuación (5) produciría resultados incorrectos, dado que λ ya tendría otro valor para el momento t que se busca; es decir, se despreciaría la variación de λ en el intervalo de tiempo entre los dos pulsos consecutivos. Se han propuesto varios métodos para tratar este problema (Leemis & Park, 2006), entre los cuales se seleccionó el de inversión de la función de la tasa de llegada acumulada, planteado por Çinlar (1975). Sea la tasa de llegada de los pulsos de demanda λ, variable durante el periodo T a modelar, representada por medio de k + 1 puntos (tj, λj ), con 0 = t0 < t1 <… < tk = T, donde λj ≥ 0. Se asume que λ varía linealmente entre cada punto tj y tj+1. La tasa de llegada acumulada se define como:
(6)y se calcula recursivamente como:
(7)La pendiente de cada segmento sj se calcula como:
(8)Para el subintervalo tj ≤ t ≥ j+1
(9)
(10)Ahora bien, para obtener los momentos en que se producen los pulsos de demanda, se genera un proceso auxiliar de Poisson homogéneo, en el intervalo de 0 a 1, con tasa de llegada unitaria, es decir, con λ = 1 en la ecuación (3). Este proceso obtendrá una serie de sucesos u1, u2,… un. Luego, para cada u se obtendrá el instante en que se produce un pulso de demanda despejando t de la ecuación (10):
(11)La figura 5 ilustra este proceso.En términos algorítmicos, este proceso sedescribe de la manera siguiente:
Inicializar t0 = 0.0; u0 = 0.0; n = 0.
Generar un número aleatorio x entre 0 y 1 basado en distribución de probabilidades uniforme.
Calcular con este número aleatorio, por la ecuación (5) y λ = 1, el lapso en que ocurre el siguiente suceso, es decir, un+1 = un – ln x.
Obtener el instante en que inicia el pulso de demanda siguiente de la ecuación (11).
Generar otro número aleatorio x entre 0 y 1 basado en distribución uniforme.
Evaluar la función inversa de la distribución log normal con este número. El resultado, un número aleatorio de distribución de probabilidades log normal, se multiplica por la duración media de los pulsos, obteniéndose la duración aleatoria del pulso. Se ejecuta el mismo proceso para lograr la intensidad aleatoria del pulso.
Se registra el pulso con su instante de inicio (en segundos), duración e intensidad así conseguidos; es decir, se suma la demanda con la intensidad obtenida en los tiempos que corresponden a su momento de inicio tn y su duración.
Como resultado de los puntos 1 a 4 del algoritmo se obtiene una serie de demanda estocástica para el intervalo deseado que tiene resolución temporal de un segundo. Se calculan los parámetros estadísticos de esta serie, como media y varianza.

Los datos que se ocupan en el procedimiento propuesto, es decir, los parámetros estadísticos de la duración e intensidad de los pulsos de demanda, así como su tasa de llegada por cada hora del día, son en principio diferentes para cada lugar y pueden conseguirse por medición directa en cierto número de tomas que abastecen a domicilios. La metodología correspondiente de esta medición está descrita en Alcocer et al. (2004), Tzatchkov et al. (2005), y Alcocer (2007), con resultados para una ciudad mexicana. Estas mediciones se pueden complementar con mediciones del gasto suministrado en las fuentes de abastecimiento para determinar el porcentaje de fugas de la siguiente manera:
El producto de la duración media e intensidad media proporciona el volumen de agua promedio de un pulso de demanda.
El volumen promedio del pulso de demanda se multiplica por la cantidad de pulsos en una hora para obtener el volumen consumido en los pulsos de demanda durante la misma hora.
La diferencia entre el volumen de agua registrado en una hora y el volumen consumido proporciona el volumen de fugas.
De otro modo, si se conoce el porcentaje de fugas, la medición del gasto suministrado en las fuentes se puede usar para ajustar el número de pulsos por hora (la tasa de llegada λ) de la siguiente manera:
Del volumen de agua registrado en una hora se restan las fugas. El resultado es el volumen consumido en los pulsos de demanda durante la misma hora.
El volumen consumido en los pulsos de demanda se divide entre el volumen de agua promedio de un pulso de demanda para obtener la cantidad de pulsos en la hora.
Aplicación a un sistema real
A manera de ejemplo, se presenta la aplicación del procedimiento propuesto a una zona aislada de Tijuana, Baja California, abastecida de una sola fuente, para la cual se tienen mediciones del gasto en la fuente, con resolución de 60 s. La figura 6 muestra la variación medida del gasto en un día típico. El servicio de agua en la zona es continuo y las casas no tienen tinacos o cisternas. El gasto medio medido durante este día es de 33.01 l/s, correspondiente a unas 3 300 casas.

Los parámetros estadísticos de los pulsos de demanda, tomados de un estudio anterior de caracterización de la demanda estocástica en domicilios mexicanos con servicio continuo (Alcocer et al., 2004; Alcocer, 2007; Tzatchkov et al., 2005) se muestran en el cuadro 1.

La tasa de llegada de los pulsos, determinada con el procedimiento arriba descrito, asumiendo un 18% de fugas, se representa gráficamente en la figura 7.
La figura 8 muestra la serie de demanda generada por el procedimiento propuesto con anterioridad para la misma cantidad de 3 300 casas. Esta serie tiene una resolución temporal de un segundo. Tratándose de un proceso estocástico, con cada corrida del procedimiento se obtendrá una serie de demanda diferente, que en los términos de la modelación estocástica se llamaría una realización del proceso. Las realizaciones obtenidas deben exhibir los mismos parámetros estadísticos de las series generadas, tales como media y desviación estándar.
Una vez generada una serie sintética, la misma puede ser agregada a cualquier intervalo deseado. La figura 9 muestra la serie de demanda de la figura 8, agregada a 60 segundos, y comparada con el gasto medido, ambas en forma adimensional. Tratándose de un proceso estocástico, la coincidencia se puede calificar de muy buena a excelente. La figura 10 muestra la serie agregada a una hora, que replica aproximadamente la variación dada de la tasa de llegada de los pulsos.




Una ventaja importante del procedimiento desarrollado es que permite generar series para diferente número de casas. Una vez obtenida la serie de demanda para la cantidad de casas para la cual se dispone de medición de la variación del gasto, y verificada por comparación con la serie medida, con el procedimiento propuesto se pueden obtener series de demanda para cualquier cantidad de casas, para su uso en modelos dinámicos de redes de distribución o para otros fines. La figura 11 muestra la serie generada para una sola casa, la figura 12 para 20 casas, y la figura 13 para 100 000 casas. La serie para 100 000 casas, sin ser una serie agregada, prácticamente replica la forma de la curva que representa la tasa de llegada de los pulsos, que es de esperarse, pues para gran número de casas (para N grande), la ecuación (4) da tiempos entre la llegada de pulsos incluso mucho menores de un segundo.



A pesar del procedimiento estocástico de generación de los pulsos de demanda, no se producen valores excesivos de su intensidad para un número pequeño de domicilios, como puede suceder en otros métodos de simulación de la demanda estocástica, por ejemplo en el NSRPM (Alvisi et al., 2003; Alcocer et al., 2008; Alcocer, 2007), que pueden requerir de restricciones adicionales para limitar tales valores excesivos. Esto es otra ventaja del método propuesto en este artículo.
Coeficientes de variación de la demanda
El método de modelación de las series de demanda propuesto hace posible obtener también estimados para el coeficiente de variación de la demanda, dado por la relación del gasto máximo producido entre el gasto medio (no confundir con el coeficiente de variación de la serie que se maneja en estadística, que se define como la relación entre desviación estándar y media aritmética). En la práctica de la ingeniería hidráulica se maneja el coeficiente de variación horaria de la demanda, pero el método de modelación de las series de demanda propuesto hace posible que se obtenga para cualquier intervalo deseado. Este coeficiente será tanto menor cuanto mayor sea el periodo de agregación temporal, debido al promediado en la agregación, y tanto menor cuanto mayor sea la cantidad de casas a que corresponde la serie de demanda. La figura 14 compara la serie medida de gasto cada 60 s del ejemplo anteriormente presentado (con gasto medio de 33.01 l/s, correspondiente a 3 300 casas) y su promediado horario. La figura 15 realiza la misma comparación para una serie de gasto medido cada 60 s en otro sector más pequeño de Tijuana, Baja California (gasto medio igual a 1.14 l/s, correspondiente a 123 casas). La diferencia entre el gasto a cada 60 s y el promedio horario es mucho mayor en el segundo caso (con el menor número de casas). Esta diferencia será aún mayor si el gasto se midiera cada segundo, algo que puede ser problemático de realizar con los medidores de gasto, pero se obtiene directamente con el método que se propone en este artículo, permitiendo introducir en los estudios y proyectos de agua potable el concepto de coeficiente de gasto máximo instantáneo, algo que por el momento sólo se maneja en los estudios y proyectos de alcantarillado. Se puede esgrimir también el concepto de gasto mínimo instantáneo.


Se llevaron a cabo corridas con el procedimiento propuesto en este artículo, para porcentaje de fugas igual a 18%, tasa de llegada de los pulsos de demanda deducida de la variación de la demanda de la figura 14, y diferente número de casas, desde una sola hasta 100 000 casas, y se obtuvieron los coeficientes de demanda máxima instantánea y demanda máxima horaria para cada número de casas. Dado que se trata de un proceso estocástico, las corridas se realizaron 10 veces (10 realizaciones) para cada cantidad de casas, y se obtuvieron los promedios de tales corridas. Las figuras 16 y 17 muestran el coeficiente de demanda máxima instantánea y demanda máxima horaria obtenidos, comparados con el valor único del coeficiente de variación horaria de la demanda que maneja Conagua, que es igual a 1.55 (MAPAS-Conagua, 2007a). Se obtuvieron también los coeficientes de demanda mínima instantánea y otros parámetros. Cabe señalar que los coeficientes obtenidos son válidos sólo para los datos (pulsos de demanda y medición del gasto en la fuente) del lugar, y pueden ser distintos para otros sitios (en particular serán diferentes para la medición de la figura 15). Una descripción detallada y discusión de los resultados de los coeficientes de demanda obtenidos está fuera del alcance de este artículo, cuyo objetivo es presentar el propio procedimiento de modelación de la demanda, por lo que serán presentados después en otra publicación.


Variación de la demanda en suministro intermitente (tandeos)
El procedimiento arriba explicado es aplicable para un servicio continuo de agua potable a domicilios sin tinacos o cisternas. Una parte de los domicilios en México cuenta con tinacos o cisternas y tinacos, debido al servicio discontinuo (intermitente) de agua potable. El Instituto Mexicano de Tecnología del Agua (IMTA) mantiene un sitio web de Internet de libre acceso (http://www.pigoo.gob.mx/), creado para transparentar la información de una serie de indicadores de un gran número de organismos operadores de agua potable, alcantarillado y saneamiento del país. Uno de los indicadores que se maneja en este sitio es el porcentaje de tomas domiciliarias con servicio continuo de agua potable de 24 horas al día, expresado por la relación del número de tomas domiciliarias con servicio continuo y el número total de tomas en la ciudad. Para el año 2013 participaron con información 76 organismos operadores del país, que reportaron en promedio un 78% de tomas con servicio continuo. Varios organismos operadores han realizado esfuerzos importantes para reducir, o incluso eliminar, el servicio de agua por tandeo, mediante programas de reducción de pérdidas de agua o aumento de la extracción en las fuentes de agua. Se ha notado, no obstante, que la mayoría de los usuarios del servicio prefiere mantener las cisternas y tinacos en sus casas aun cuando en las tuberías de la red se tiene suministro continuo. Algunos aspectos hidráulicos del servicio intermitente de agua potable, y su modelación, se presentan en Cabrera- Bejar y Tzatchkov (2009), y Cabrera-Bejar y Tzatchkov (2012). La variación de los gastos en las tuberías con suministro intermitente, o con servicio continuo, pero con cisternas y tinacos en los domicilios, es muy diferente de aquella en tuberías con suministro continuo sin cisternas y tinacos. El concepto coeficiente de variación horaria de la demanda pierde su significado en el caso del suministro intermitente, donde la población recibe el agua en horarios preestablecidos. Dependiendo de la topografía, la red de tuberías puede vaciarse cuando concluye el horario de servicio y se volverá a llenar al reanudar el servicio. En el llenado presentará un flujo a tubo parcialmente lleno, cuya magnitud dependerá de la topografía y desniveles existentes, hasta que el agua que entra llene las tuberías y expulse el aire. Una vez llenas de agua las tuberías, el gasto en las tuberías será aproximadamente uniforme. El coeficiente de variación, para fines de revisar si la capacidad de la tubería es suficiente, en este caso se define por la duración del servicio, sin considerar el periodo con flujo a tubo parcialmente lleno. Si el gasto medio, en litros por hora, se define como el volumen de agua suministrado en un día en litros entre 24 horas, y el mismo volumen se suministra en N horas, el coeficiente de variación CV es simplemente:
(12)Para un servicio de seis horas diarias, por ejemplo, se tendría un coeficiente de variación de 4, mucho más alto que aquel de un servicio continuo, que normalmente se maneja del orden de 1.40 a 1.60 (MAPAS-Conagua, 2007a). Es decir, los gastos y velocidades correspondientes en las tuberías que operan con servicio intermitente son mucho más altos que aquellos del servicio continuo.
La variación de los gastos en las tuberías con suministro continuo, pero con cisternas y tinacos en los domicilios, es también diferente de aquel en tuberías sin cisternas y tinacos. Es de esperar que la variación sea menor en estos casos, dado que la demanda de agua en el interior de los domicilios no llega directamente a las tuberías de la red, sino a través de los tinacos o cisternas. El problema está bajo investigación por los autores.
Conclusiones
La variación del caudal en una tubería de agua potable tiene carácter estocástico y depende en gran medida de la cantidad de casas que abastece dicha tubería. En este artículo se presenta una metodología de simulación numérica, basada en el método PRP con inversión de la función de la tasa de llegada acumulada, para modelar la variación diaria estocástica de la demanda instantánea de agua potable, aplicable para una sola casa o para un grupo de N casas, con base en los parámetros estadísticos del consumo de agua en las casas individuales, nivel de fugas dado, y medición de la variación del gasto medida en la fuente de abastecimiento. La metodología propuesta ofrece una base racional para la determinación de la variación de la demanda, que puede sustituir o combinarse con la manera tradicional de obtener esta variación, que se basa solamente en mediciones en fuentes de suministro. Los resultados se compararon con mediciones de campo en una zona aislada de una ciudad mexicana, donde el suministro de agua potable es continuo. Para esta zona aislada, con la metodología propuesta, se obtuvo que el coeficiente de variación horaria de la demanda varía de manera no lineal con el número de casas, con valores de 3.23 para una sola casa hasta 1.64 para 500 o más casas, en contraste con el valor constante de 1.55 que maneja la Comisión Nacional del Agua. Se introduce también el concepto de coeficiente de variación instantánea de la demanda de agua potable, cuyos valores se obtuvieron desde 30.58 para una sola casa hasta 1.66 para 100 000 o más casas. Por otro lado, la variación de los gastos en las tuberías con suministro intermitente, o con servicio continuo, pero con cisternas y tinacos en los domicilios es muy diferente de aquella en tuberías con suministro continuo sin cisternas y tinacos. El coeficiente de demanda máxima horaria es más alto en suministro intermitente que en suministro continuo, pero más bajo en redes que tienen servicio continuo y cisternas, o tinacos en los domicilios.
Agradecimiento
El estudio que se reporta en este artículo fue realizado en el marco del proyecto “Modelación y diseño de redes de agua potable con demanda estocástica integrados con sistema de información geográfica”, financiado por el Fondo Sectorial de Investigación y Desarrollo Sobre el Agua Conacyt-Conagua. Los autores agradecen a Conacyt y a Conagua este financiamiento, y el apoyo durante el proyecto. Se agradece también el apoyo en mediciones de campo e información proporcionada por parte de la Comisión Estatal de Servicios Públicos de Tijuana, Baja California.
Referencias
Alcocer, V. H. (2007). Flujo estocástico y transporte en redes de distribución de agua potable. Tesis de doctorado. Ciudad de México: Universidad Nacional Autónoma de México.
Alcocer, V. H., Tzatchkov, V. G. & Arreguín C., F. I. (2012). Modeling of Drinking Water Networks Using Stochastic Demand. Water Resources Management , 26(7), 1779-1792, doi:10.1007/s11269-012-9979-2.
Alcocer, V. H., Tzatchkov, V. G., García B., R, Buchberger, S. G., Arreguín C., F. I. & León, T. (2008). Modelación estocástica del consumo doméstico empleando el esquema de Neyman-Scott. Ingeniería Hidráulica en México , 23(3), 105-121.
Alcocer, V. H., Tzatchkov, V. G., Buchberger, S. G., & Feliciano, D. (June 27-July 1, 2004). Stochastic Residential Water Demand Characterization. In: World Water & Environmental Resources Congress, ASCE-EWRI, Salt Lake City, UT, doi: 10.1061/40737(2004)459.
Alvisi, S., Franchini, M., & Marinelli, A. (2003). A Stochastic Model for Representing Drinking Water Demand at Residential Level. Water Resources Management , 17(3), 197-222, doi:10.1023/A:1024100518186.
Blokker, E. J. M. (2010). Stochastic Water Demand Modelling: Hydraulics in Water Distribution Networks . London: IWA.
Blokker, E. J. M., Buchberger, S. G., Vreeburg, J. H. G., & Van Dijk, J. C. (2008). Comparison of Water Demand Models: PRP and SIMDEUM Applied to Milford, Ohio Data. In: Water Distribution Systems Analysis Conference, J. E. Van Zyl, A. A. Ilemobade, and H. E. Jacobs (eds.). Kruger National Park, South Africa, 182-195, doi:10.1061/41024(340)17.
Blokker, E. J. M., Pieterse-Quirijns, E. J., Vreeburg, J. H. G., & Van Dijk, J. C. (2011). Simulating Nonresidential Water Demand with a Stochastic End-Use Model, Journal of Water Resources Planning and Management , 137(6), 511- 520, doi: 10.1061/(ASCE)WR.1943-5452.0000146.
Buchberger, S. G., Carter, J. T., Lee, Y., & Schade, T. G. (2003). Random Demands, Travel Times, and Water Quality in Deadends. Denver: AWWA Research Foundation.
Buchberger, S. G., & Wells, G. J. (1996). Intensity, Duration and Frequency of Residential Water Demands. Journal of Water Resources Planning and Management , 122(1), 11-19, doi: 10.1061/(ASCE)0733-9496(1996)122:1(11).
Buchberger, S. G., & Wu, L. (1995). Model for Instantaneous Residential Water Demands. Journal of Hydraulic Engineering , 121(3), 232-246, doi: 10.1061/(ASCE)0733- 9429(1995)121:3(232).
Cabrera-Bejar, J. A., & Tzatchkov, V. G. (May 2009). Inexpensive modeling of intermittent service water distribution networks . EWRI-ASCE World Environmental & Water Resources Congress, Kansas City, Missouri, doi: 10.1061/41036(342)29.
Cabrera-Bejar, J. A., & Tzatchkov, V. G. (2012) Modelación de redes de distribución de agua con suministro intermitente. Tecnología y Ciencias del Agua , 3(2), 5-25.
Çinlar, E. (1975). Introduction to Stochastic Processes . Englewood Cliffs, USA: Prentice-Hall.
García, V. J., García, R., Cabrera, E., Arregui, F., & García, J. (2004). Stochastic Model to Evaluate Residential Water Demands. Journal of Water Resources Planning and Management , 130(5), 386-394, doi: 10.1061/(ASCE)0733- 9496(2004)130:5(386).
Innovyze (2015). Recuperado de http://www.innovyze.com/products/infoworks_ws/
Leemis, L. M., & Park, S. K. (2006) Discrete-Event Simulation: A First Course. Upper Saddle River, USA: Pearson Education Inc.
Magini, R., Pallavicini, I., & Guercio, R. (2008). Spatial and Temporal Scaling Properties of Water Demand. Journal of Water Resources Planning and Management , 134(3), 276-284, doi: 10.1061/(ASCE)0733-9496(2008)134:3(276).
MAPAS-Conagua (2007a). Datos básicos. Manual de diseño de agua potable, alcantarillado y saneamiento (Mapas). Ciudad de México: Comisión Nacional del Agua.
MAPAS-Conagua (2007b). Modelación hidráulica y de calidad del agua en redes de agua potable. Manual de diseño de agua potable, alcantarillado y saneamiento (Mapas). Ciudad de México: Comisión Nacional del Agua.
Neyman, J., & Scott, E. L. (1958). Statistical Approach to Problems of Cosmology. J. R. Stat. Soc. Serie B 20, 1-43.
Rodríguez, J. M., Alcocer, V. H., Bourguett, V. J., Cortez, P. E., Rubalcaba, S., Ballesteros, C., Navarro, C. J., & Issa, B. E. (2010). Planificación de sectores en redes de agua potable con el uso de un modelo de simulación hidráulica. Revista Tláloc AMH , (48).
Rossman, L. (2002). EPANET2, Users Manual. USA: Water Supply and Water Resources Division, United States Environmental Protection Agency. Recuperado de http://www.epa.gov/nrmrl/wswrd/dw/epanet.html .
Tzatchkov, V. G., Alcocer, V. H., Arreguín, F. I., & Feliciano, D. (2005). Medición y caracterización estocástica de la demanda instantánea de agua potable. Ingeniería Hidráulica en México , 20(1), 67-76.
Van Zyl, J. (1996) Peak Factors in Municipal Water Reticulation Networks. Procedures . WISA Biennial Conference, 20-23 May, 1996, Port Elizabeth.
Van Zyl, J., le Gat, Y., Piller, O., & Walski, T. (2012). Impact of Water Demand Parameters on the Reliability of Municipal Storage Tanks. Journal of Water Resources Planning and Management , 138(5), 553-561, doi: 10.1061/ (ASCE)WR.1943-5452.0000200.
Vertommen, I., Magini, R., & Cunha, M. C. (2012). Water Demand Uncertainty: The Scaling Laws Approach. In: Water Supply Systems Analysis: Selected topics. D. A. Ostfeld (ed.). InTech. Recuperado de http://www.intechopen.com/books/water-supply-system-analysis-selected-topics
Notas de autor
velitchk@tlaloc.imta.mx