Notas
Cuantificación de sequías meteorológicas mensuales: cotejo de cuatro índices en tres localidades de San Luis Potosí, México.
Quantification of monthly meteorological droughts: Comparison of four indices in three locations of San Luis Potosí, Mexico.
Cuantificación de sequías meteorológicas mensuales: cotejo de cuatro índices en tres localidades de San Luis Potosí, México.
Tecnología y Ciencias del Agua, vol. VIII, núm. 3, pp. 159-172, 2017
Instituto Mexicano de Tecnología del Agua

Recepción: 28 Enero 2016
Aprobación: 11 Noviembre 2016
Resumen:
Campos-Aranda, D. F. (mayo-junio, 2017). Cuantificación de sequías meteorológicas mensuales: cotejo de cuatro índices en tres localidades de San Luis Potosí, México. Tecnología y Ciencias del Agua, 8(3), 159-172. Las sequías meteorológicas son eventos temporales y recurrentes que originan escasez de precipitación. Son una característica de todos los climas y quizás sean el riesgo natural más complejo debido a su evolución lenta, lo cual dificulta su detección oportuna. En este trabajo se contrastan cuatro índices de detección de sequías mensuales, que las clasifican en leves, moderadas, severas y extremas. Tales índices son: (1) el índice de deciles modificado (IDM), (2) el índice estadístico Z (IEZ), (3) el índice Z de China (IZC) y (4) el índice de precipitación estandarizada (SPI). Los índices citados se aplican a los datos de precipitación mensual de tres estaciones climatológicas de amplio registro (≥ 50 años), representativas de los tres climas disímiles del estado de San Luis Potosí, México. Se analizaron 12 duraciones de sequía, que variaron de 1 a 72 meses y el procesamiento de la información pluviométrica se llevó a cabo con la técnica de sumas móviles. El estudio de los resultados mostró que los índices IDM e IEZ no son recomendables debido a que sus estimaciones presentan anomalías. Los resultados de los índices IZC y SPI son bastante similares y libres de anomalías; por lo anterior, se recomienda su aplicación sistemática. Con base en los resultados de los índices IZC y SPI se establecen los porcentajes de cada tipo de sequía en los tres registros procesados. Con los resultados del SPI se forman sus gráficas de evolución y con ellas se definen las características temporales de las sequías; también se estima el número total de sequías de cada duración en un lapso de 100 años.
Palabras clave: deciles, sumas móviles, distribución gamma mixta, variable normal estandarizada, aproximación Wilson-Hilferty, pruebas de homogeneidad, frecuencia de sequías.
Abstract:
Campos-Aranda, D. F. (May-June, 2017). Quantification of monthly meteorological droughts: Comparison of four indices in three locations of San Luis Potosí, Mexico. Water Technology and Sciences (in Spanish), 8(3), 159-172. Meteorological droughts are temporal recurring events that cause a lack of precipitation. They are a feature of all climates and are, perhaps, the most complex natural hazard due to their slow evolution, which renders their opportune detection quite difficult. In this work, four indexes for monthly drought detection are contrasted, classifying them as light, moderate, severe and extreme. Such indexes are: (1) modified deciles index (MDI), (2) the statistical Z index Z (SZI), (3) the China Z index (CZI) and (4) the standardized precipitation index (SPI). The above-listed indexes are applied to monthly precipitation data in three climatological stations with large records (≥ 50 years), which represent the three dissimilar climates of the state of San Luis Potosi, Mexico. Twelve durations of droughts were analyzed, ranging from one to 72 months and processing of the rainfall information was performed with the technique of moving sums. The study results showed that the MDI and SZI indexes are not recommended, because their estimates have anomalies. The results of the CZI and SPI indexes are largely similar and free of defects; therefore, their systematic application is recommended. Based on results of the CZI and SPI indexes, the percentages of each type of drought are set in the three records processed. With the results of SPI, its evolution graphs are formed and with them the temporal characteristics of drought are defined; also, the total number of droughts, of each duration, is estimated in a lapse of 100 years.
Keywords: Deciles, moving sums, Mixed Gamma distribution, standard normal variable, Wilson-Hilferty approximation, homogeneity tests, droughts frequency.
Introducción
Las sequías meteorológicas son uno de los grandes desastres naturales que amenazan a la población del mundo, cuyos impactos negativos alcanzan aspectos ambientales, económicos y sociales. Las sequías meteorológicas son una anomalía natural recurrente y regional, que ocasiona falta de precipitación, lo cual origina escasez en los recursos hídricos, generando las sequías hidrológicas y también las sequías agrícolas, cuando se conjuga el déficit por lluvia con el de abastecimiento y se produce una deficiencia en la humedad del suelo para los cultivos. Los déficits hidrológico y agrícola crean las sequías económicas, que finalmente desencadenan impactos sociales (Mishra & Singh, 2010; Fuchs, Svoboda, Wilhite, & Hayes, 2014).
Los principales factores globales que controlan las características de las sequías meteorológicas son los siguientes: el comportamiento del sistema océano-atmósfera, las anomalías en la temperatura superficial de los océanos, las relaciones clima solar-tiempo atmosférico y los mecanismos de formación de los ciclones. Estos factores no actúan de forma individual, sino que se interrelacionan; por ello, el pronóstico de las sequías meteorológicas está todavía bajo desarrollo e investigación (Morid, Smakhtin, & Bagherzadeh, 2007; Mishra & Singh, 2011).
Por otra parte, la cuantificación exacta, oportuna y consistente de las sequías meteorológicas se puede emplear para minimizar sus daños, lo cual se realiza a través de los llamados índices de sequía (Ntale & Gan, 2003). Estos índices por lo general utilizan los datos de precipitación mensual o anual, por ser los de registro disponible más amplio y también los de mayor cobertura espacial, en comparación con otras variables climáticas y/o hidrológicas (Morid, Smakhtin, & Moghaddasi, 2006; Pandey, Dash, Mishra, & Singh, 2008). Dependiendo de la manera en que se procesan los datos de precipitación, los índices de sequías permiten su detección, o bien estiman su severidad, frecuencia y cobertura espacial.
El objetivo de este estudio radica en contrastar los resultados de cuatro índices de sequías que se basan en datos de precipitación mensual; tal comparación se realiza en tres estaciones pluviométricas de registro amplio (≥ 50 años) del estado de San Luis Potosí, México, representativas de sus tres climas disímiles. Cada índice clasifica las sequías en leves, moderadas, severas y extremas, obteniendo sus porcentajes respectivos; con estos valores se efectúa la comparación y discusión de los resultados. Se emplean las 12 duraciones mensuales que por lo común se analizan en los estudios de sequías, las cuales varían de 1 a 72 meses. Además, se obtiene el número total de sequías de las duraciones más comunes de análisis en un lapso de 100 años. También se estudian las gráficas de evolución del índice recomendado, para definir de manera precisa las características temporales de las sequías.
Teoría operativa y datos utilizados
Índice de deciles modificado (IDM)
El índice de deciles original es uno de los primeros indicadores climáticos sugeridos (Gibbs & Maher, 1967) para cuantificar y dar seguimiento a las sequías regionales y continentales; se aplicó de manera extensa en Australia (WMO, 1975; Fuchs et al., 2014). En este índice, los primeros cuatro deciles de la precipitación mensual definen las condiciones secas; los deciles 5 y 6 establecen los valores medios o normales, y los últimos cuatro las condiciones húmedas (Campos-Aranda, 2005; Morid et al., 2006; Smakhtin & Hughes, 2007; Pandey et al., 2008; Dogan, Berktay, & Singh, 2012).
La versión modificada de este índice (IDM), empleada en este estudio, consiste en usar la mitad inferior de la curva de frecuencias acumuladas para definir las sequías: sequías extremas [P(X ≤ x) ≤ 0.125]; severas [0.125 < P(X ≤ x) ≤ 0.25]; moderadas [0.25 < P(X ≤ x) ≤ 0.375], y leves [0.375 < P(X ≤ x) ≤ 0.50]. Además, no se construye la curva de frecuencias acumuladas empírica, sino que se ajusta la distribución gamma mixta (Campos-Aranda, 2005) y con ella se definen los límites que permiten contabilizar los cuatro tipos de sequías.
Respecto a las duraciones (k) en meses de las sequías, se analizó todo el intervalo de las utilizadas en los estudios respectivos, por ello se analizaron las 12 siguientes: 1, 3, 6, 9, 12, 18, 24, 30, 36, 48, 60 y 72, obtenidas como sumas móviles al procesar cada registro de precipitación mensual. Las sumas móviles forman las secuencias a las que se aplican los cuatro índices que se contrastan. Para la duración de un mes, el número de datos (secuencias) es nd = 12·NA, siendo NA el número años del registro completo de precipitación mensual. Para la duración de tres meses, el primer dato es la suma de los tres primeros meses del registro y el segundo dato será la suma del mes dos al cuarto, y así sucesivamente. Por lo anterior, el nuevo nd será:

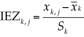
Índice estadístico Z (IEZ)
Permite la comparación entre observaciones procedentes de poblaciones normales diferentes; su designación proviene de la variable normal estandarizada (Z), definida en el estudio de sequías como (Wu, Hayes, Weiss, & Hu, 2001; Morid et al., 2006; Dogan et al., 2012):

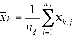
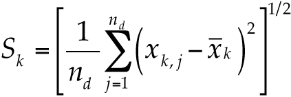
en la cual xk,j es la precipitación de la secuencia j y de un periodo k, que será 1, 3, 6, 9, 12, 18, 24, 30, 36, 48, 60 y 72 meses. La media y desviación estándar de la ecuación (2) son:


Tres índices de sequías (IEZ, IZC y SPI), de los cuatro que se contrastarán, reportan valores estandarizados, los cuales permiten la comparación, en relación con la severidad de las sequías, en dos o más localidades, sin importar las diferencias climáticas entre ellas. Los valores umbral de los índices positivos definen lapsos húmedos y sus valores negativos los episodios de sequía de acuerdo con el cuadro 1 (Morid et al., 2006; Smakhtin & Hughes, 2007; Dogan et al., 2012).
Índice Z de China (IZC)

Clasificación de los periodos húmedos y secos (sequías) con base en el valor del índice IEZ, IZC y SPI.
Introducido por el Centro Nacional de Meteorología de China a inicios de la década de 1990, asume que la precipitación mensual procede de una distribución Pearson tipo III y por ello emplea la aproximación Wilson-Hilferty (expuesta en el inciso siguiente) para relacionar al IEZ con este índice, según la expresión siguiente (Wu et al., 2001; Morid et al., 2006; Dogan et al., 2012):

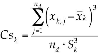
siendo Csk el coeficiente de asimetría, cuya ecuación es:

Índice de Precipitación Estandarizada (SPI)
Propuesto por McKee, Doesken y Kleist (1993), sus siglas proceden de su designación en inglés (Standardized Precipitation Index). El SPI es actualmente la técnica más utilizada para definir y monitorear sequías meteorológicas. La distribución gamma mixta de dos parámetros de ajuste ha sido ratificada para evaluar el SPI, según Stagge, Tallaksen, Gudmundsson, Van Loon y Stahl (2015); pero Wu, Svoboda, Hayes, Wilhite y Wen (2007) destacan que en climas áridos se deben usar registros amplios y enfocarse en la ocurrencia de las sequías, en lugar de su severidad definida con el SPI. Por otra parte, Wu, Hayes, Wilhite y Svoboda (2005) encontraron que los valores estimados para el SPI, con diferentes longitudes de registro, están altamente correlacionados y son consistentes cuando las distribuciones gamma mixta de cada registro son similares; esto es, tienen parámetros de forma y escala semejantes numéricamente.
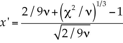
Al inicio se aplicó el SPI con el procedimiento operativo descrito por Campos-Aranda (2014), el cual utiliza la distribución gamma mixta y una expansión en serie como aproximación en la estimación de la probabilidad de no excedencia de la distribución χ2. Se observó que tal procedimiento no conduce a resultados consistentes en las duraciones extremas de las sequías; en las duraciones de 1 a 6 meses debido a la gran dispersión de las secuencias, y en los lapsos de 30 o más meses por la gran magnitud de sus valores.
Al utilizar la aproximación Wilson-Hilferty, que se recomienda para valores elevados de los grados de libertad (ν > 30), se obtuvieron resultados consistentes en las 12 duraciones de sequías analizadas (k). Las ecuaciones de tal aproximación son (Zelen & Severo, 1972; Kite, 1977; Campos-Aranda, 2005):


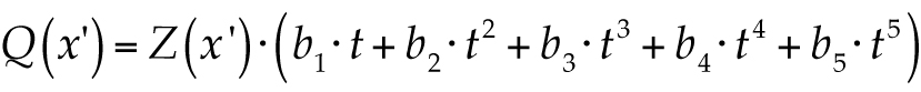
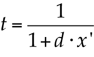
siendo Q la probabilidad de excedencia y Q(x’) la correspondiente a la distribución normal de la variable x’; se estima con la expresión:

en donde:

d = 0.2316419 b1 = 0.31938153 b2 = -0.356563782 b3 = 1.781477937 b4 = -1.821255978 b5 = 1.330274429
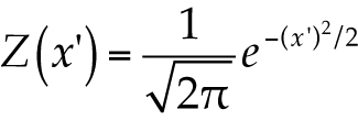
en la ecuación (9), Z(x’) es la ordenada de la curva normal, cuya expresión es:

Por último, la probabilidad de no excedencia buscada H(x) de la distribución gamma mixta será:


en la cual q es la probabilidad de que se presenten valores nulos y p = 1 - q. Habiendo estimado la probabilidad H(x), se emplea una aproximación numérica racional, expuesta en Zelen y Severo (1972), para convertirla en la variable normal estandarizada Z de media cero y varianza unitaria, la cual es el índice SPI. Las ecuaciones de tal aproximación han sido expuestas por Campos-Aranda (2014) y se encuentran en diversos trabajos sobre sequías, por ejemplo en Rossi, Vega y Bonaccorso (2007).
Número de sequías esperadas en 100 años
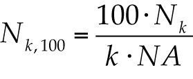
Para estimar el número de sequías esperadas de cada tipo (leves, moderadas, severas y extremas) en un lapso de 100 años (Nk,100) y de cada duración k, se utilizó la fórmula empírica propuesta por Labedzki (2007), que procede de una proporcionalidad entre los números de sequías y las extensiones de registros, uno de 100 años y otro de k por NA o número de años del registro procesado; este último indica, en teoría, el número de veces que se utiliza el registro histórico al formar las sumas móviles. La fórmula es:

en la cual Nk es el número de sequías obtenidas de cada tipo con el registro histórico y el índice de sequías utilizado (IDM, IEZ, IZC o SPI).
Registros pluviométricos procesados
El estado de San Luis Potosí se puede considerar dividido en tres regiones climáticas: Altiplano Potosino, Zona Media y Región Huasteca. La primera tiene clima semiárido, la segunda templado y la tercera cálido-húmedo. En cada una de estas regiones se buscaron las estaciones climatológicas de más amplio registro y con el menor número de datos faltantes de precipitación mensual. Se seleccionaron las tres siguientes: Villa de Arriaga, Río Verde y Xilitla. Los pocos datos faltantes se consideraron igual a la moda (Campos-Aranda, 2005). La precipitación media mensual (Pmm) se cita en el cuadro 2, así como sus respectivos periodos de registro. En la figura 1 se muestra la ubicación de las tres estaciones citadas.
Análisis de los resultados
Verificación de la homogeneidad de los registros pluviométricos
Con base en los valores anuales de cada registro se realizó el análisis de calidad estadística del registro, para lo cual se aplicó una prueba general y seis específicas (Machiwal & Jha, 2012), todas con un nivel de significancia (α) del 5%. Exclusivamente los registros de Villa de Arriaga y Río Verde muestran persistencia, en el primero incluso detectada en la prueba general de Von Neumann debido a que su coeficiente de correlación serial (r1) es de 0.523. En la estación Río Verde, r1 = 0.285. Al tomar en cuenta que la persistencia es una componente de las series cronológicas, se pueden continuar los análisis encaminados a cuantificar sequías, pues los tres registros no presentan tendencia ni cambios en la media, es decir, pérdida de homogeneidad.

Valores promedio mensuales de precipitación en las tres estaciones pluviométricas procesadas del estado
de San Luis Potosí, México.

Ubicación de las tres estaciones pluviométricas procesadas del estado de San Luis Potosí, México.
Planeamiento de los contrastes
Como se procesó una estación pluviométrica por región climática del estado de San Luis Potosí, México, el contraste de los cuatro índices de sequías se realizará por comparación simultánea de sus resultados relativos al porcentaje de sequías leves, moderadas, severas y extremas, que se definen en cada una de las 12 duraciones analizadas y en cada estación. Un indicador importante de la veracidad de los resultados de cada índice es el número total de sequías que define, el cual, de acuerdo con su planteamiento teórico, debería ser de la mitad del número de secuencias calculadas (ecuación (1)).
Cuando se procesen varias estaciones pluviométricas de una misma región climática, es necesario tener un periodo común mínimo de 30 años en sus registros, lo cual ayudará a contar con una comparación imparcial y adecuada de los índices de sequías. En tal caso, la comparación de resultados podrá realizarse por inspección de las series de tiempo de cada índice o a través de la búsqueda de discrepancias o similitudes con pruebas estadísticas u otros indicadores, como la correlación lineal (Pandey et al., 2008; Dogan et al., 2012).
Variabilidad de las secuencias móviles mensuales
En Villa de Arriaga, las secuencias con ceros llegan hasta duraciones (k) de nueve meses. En las duraciones extremas (k = 1 y 72), el coeficiente de variación (Cv) cambia de 1.718 a 0.346, y el de asimetría (Cs) de 4.087 a 1.104. En Río Verde, las secuencias con ceros llegan hasta los tres meses de duración y en las duraciones extremas, el Cv fluctúa de 1.285 a 0.151, y el Cs de 2.087 a 0.364. En la estación Xilitla, las secuencias con ceros sólo se presentan en la duración de un mes. En las duraciones extremas, los Cv y Cs tienen los intervalos siguientes: 1.031 a 0.102 y 1.736 a -0.0249. En resumen, en la estación Villa de Arriaga, sus secuencias de sumas móviles tienen gran variación y son bastante sesgadas a la derecha. Por el contrario, en la estación Xilitla se tienen las condiciones más regulares, de manera que su sesgo incluso cambia. La estación Río Verde presenta condiciones intermedias.
Porcentajes de ocurrencia de cada tipo de sequía
En los cuadros 3, 4 y 5 se exponen los porcentajes de cada tipo de sequía obtenidos en cada estación pluviométrica, con los cuatro índices por contrastar. Se observa que el IDM produce una sobreestimación de las sequías extremas, en comparación con los resultados de los otros tres índices y, en general, tiende a definir porcentajes similares de ocurrencia de cada tipo de sequía, sin importar el clima. Lo anterior se ilustra en la figura 2. En el clima seco y en las duraciones extremas, el número total de sequías tiende a alejarse de la media; por ejemplo, en Villa de Arriaga, en las duraciones de 1 y 3 meses subes-tima tal cantidad, y en las duraciones de 60 y 72 meses la sobreestima. Lo contrario ocurre en el clima húmedo, en Xilitla.

Porcentajes de ocurrencia de los tipos de sequía obtenidos con los cuatro índices aplicados (IDM, IEZ, IZC, SPI) en la estación climatológica Villa de Arriaga, San Luis Potosí, México.

Resultados del índice IDM en la estación pluviométrica Villa de Arriaga, San Luis Potosí, México.

Porcentajes de ocurrencia de los tipos de sequía obtenidos con los cuatro índices aplicados (IDM, IEZ, IZC, SPI) en la estación climatológica Río Verde, San Luis Potosí, México.
El índice IEZ no detecta sequías extremas en el clima seco y en los otros lo hace con estimaciones que se consideran escasas. Esto último aplica para las sequías severas en los tres tipos de climas analizados. En general, el índice IEZ sobreestima el número total de sequías, principalmente en las duraciones extremas y en mayor cantidad en el clima seco, y menos en el húmedo. Lo anterior se muestra en la figura 3.
Los resultados de los índices IZC y SPI son, en general, bastante similares en las tres estaciones estudiadas, como se deduce de los cuadros 3, 4 y 5, y se observa en la figura 4. Ambos índices conducen a números totales de sequías próximos a la mitad del número de secuencias, principalmente en las duraciones de 9 a 24 meses, en los tres climas estudiados.
Una ventaja del índice IZC es su facilidad de cálculo, pero algunas veces su estimación no puede realizarse en el clima seco debido al valor grande del coeficiente de asimetría (Cs) y al hecho de tener un IEZ negativo, pues provoca que el paréntesis de la ecuación (5) resulte negativo y no se pueda elevar a la potencia de un tercio.
La similitud de resultados de los índices IZC y SPI permite ratificar los porcentajes de sequías leves y moderadas en los tres climas estudiados; sin embargo, se aprecian diferencias sutiles en las sequías severas y extremas del clima seco (cuadro 3), las cuales se incrementan conforme el clima es más húmedo. Esto último es notable en el cuadro 5, para las sequías extremas.
Es importante observar la consistencia que muestran los resultados del SPI, los cuales varían de manera ordenada de las duraciones extremas reducidas de 1 y 3 meses, hacia unos valores estables en las duraciones de 9 a 24 meses, y de ahí hacia las duraciones extremas amplias de 48 a 72 meses. Debido a tal consistencia de resultados del SPI, es conveniente adoptarlos para los procesos de detección y seguimiento de las sequías, empleando lógicamente duraciones de 9 a 24 meses.
Detección de los periodos de sequías
En las figuras 5, 6 y 7 se muestra la evolución de los valores del SPI obtenidos en las secuencias de duración de 6, 12 y 24 meses en las estaciones Villa de Arriaga, Río Verde y Xilitla. Con tales gráficas resulta fácil establecer los periodos de sequía, los más severos, los de mayor duración y aquellos con eventos más extremos. Las secuencias del SPI con duraciones de 3 y 6 meses fluctúan bastante y no permiten apreciar fácilmente los lapsos de sequías, los cuales comienzan a verse claramente con la duración de 12 meses.

Resultados del índice IEZ en la estación pluviométrica Río Verde, San Luis Potosí, México.

Porcentajes de ocurrencia de los tipos de sequía obtenidos con los cuatro índices aplicados (IDM, IEZ, IZC, SPI) en la estación climatológica Xilitla, San Luis Potosí, México.
Entre las características relevantes que se aprecian en las gráficas de evolución del SPI, se pueden citar: (1) en la figura 5 se detecta que la sequía más severa en la estación Villa de Arriaga fue la última, la cual comenzó en secuencia 584, es decir, enero de 2011, según la ecuación (1); (2) en la figura 6 se observa que en la estación Río Verde comienza con su sequía más larga y severa, la cual termina en la secuencia 54, esto es, en mayo de 1966; (3) en la figura 7 se aprecian tres periodos de sequía que comienzan en la secuencia 343 y terminan en la 499; la secuencia más extrema ocurre en el primer lapso de sequías y le corresponde el número 375, con -3.293 de valor del SPI, es decir, ocurrió en febrero de 1998, de acuerdo con la ecuación (1).

Resultados del índice IZC en la estación pluviométrica Xilitla, San Luis Potosí, México.

Evolución del SPI, duración de seis meses en la estación pluviométrica Villa de Arriaga, San Luis Potosí, México.
Número de sequías esperadas en 100 años
En el cuadro 6 se exponen los resultados de la aplicación de la ecuación (14) a los resultados del índice SPI citados en los cuadros 3, 4 y 5. Se observa que conforme se duplica la duración de las sequías, comenzando en tres meses y terminado en 48 meses, el número total de sequías en 100 años se va reduciendo un 50%, por ello cambia de 208 a 12 eventos en Xilitla en las duraciones extremas citadas.

Evolución del SPI, duración de 12 meses en la estación pluviométrica Río Verde, San Luis Potosí, México.

Evolución del SPI, duración de 24 meses en la estación pluviométrica Xilitla, San Luis Potosí, México.
Conclusiones
El índice de deciles modificado (IDM) tiende a sobreestimar los porcentajes de sequías severas y extremas; además, conduce a porcentajes similares en los cuatro tipos de sequías, lo cual es una anomalía. Lo anterior, en las tres estaciones pluviométricas analizadas. Debido a ello, no se recomienda su aplicación sistemática. Por el contrario, el índice estadístico Z (IEZ) tiende a subestimar los porcentajes de sequías severas y extremas y, en general, sobreestima el número total de sequías en las tres estaciones pluviométricas estudiadas. Por lo anterior, tampoco se recomienda su aplicación sistemática.
Los resultados del índice Z de China (IZC) y del índice de precipitación estandarizada (SPI) son bastante similares y se puede decir que el primero es una simplificación numérica del segundo. El IZC es más simple de aplicar, pero algunas veces falla su cálculo; caso observado en la estación Villa de Arriaga de clima semiárido. Con base en lo anterior, se recomienda la aplicación sistemática de ambos índices, para comparar y facilitar la selección de resultados o conclusiones; pero se considera más consistente y confiable el índice SPI, como ha sido reportado en muchos trabajos técnicos.
De acuerdo con las observaciones anteriores y los resultados de los cuadros 3, 4 y 5, se concluye que los porcentajes de sequías leves, moderadas, severas y extremas en la estación Villa de Arriaga ―de clima semiárido― son 34, 7, 5 y 4%, respectivamente. De manera similar, en la estación Río Verde de clima menos árido, pero cálido, se aceptan 33, 11, 4 y 2%, respectivamente. Por último, en la estación Xilitla de clima cálido-húmedo se concluyen los siguientes porcentajes de sequías 31, 11, 6 y 2%, respectivamente.
Las gráficas de evolución del índice SPI con duraciones de 12 meses o ligeramente mayores permiten visualizar con facilidad los periodos de sequías y definir de forma clara sus fechas de inicio y terminación, así como aquellas relativas sus eventos extremos.
Respecto del número total de sequías en 100 años, tal cantidad es función de la duración k, con 204, 96, 50, 25 y 12 eventos, para las sequías de 3, 6, 12, 24 y 48 meses de duración, según resultados generalizados del cuadro 6.

Número de sequías esperadas en 100 años de cada tipo y duración, según resultados del SPI, en las estaciones climatológicas Villa de Arriaga, Río Verde y Xilitla del estado de San Luis Potosí, México.
Referencias
Campos-Aranda, D. F. (2005). Agroclimatología cuantitativa de cultivos. México, DF: Editorial Trillas.
Campos-Aranda, D. F. (2014). Comparación de tres métodos estadísticos para detección y monitoreo de sequías meteorológicas. Agrociencia, 48(5), 463-476.
Dogan, S., Berktay, A., & Singh, V. P. (2012). Comparison of multi-monthly rainfall-based drought severity indices, with application to semi-arid Konya closed basin, Turkey. Journal of Hydrology, 470-471, 255-268.
Fuchs, B. A., Svoboda, M. D., Wilhite, D. A., & Hayes, H. J. (2014). Drought indices for drought risk assessment in a changing climate (pp. 217-231). In Handbook of Engineering Hydrology. Modeling, Climate Change and Variability. Eslamian, S. (ed.). Boca Raton, USA: CRC Press.
Gibbs, W. J., & Maher, J. V. (1967). Rainfall deciles as drought indicators. Bulletin No. 48. Melbourne, Australia: Bureau of Meteorology, Commonwealth of Australia.
Kite, G. W. (1977). Pearson type III distribution. Chapter 9 (pp. 105-122). In Frequency and risk analysis in hydrology. Fort Collins, USA: Water Resources Publications.
Labedzki, L. (2007). Estimation of local drought frequency in central Poland using the standardized precipitation index SPI. Irrigation and Drainage, 56(1), 67-77.
Machiwal, D., & Jha, M. K. (2012). Hydrologic time series analysis: Theory and practice (303 pp.). Dordrecht, The Netherlands: Springer.
McKee, T. B., Doesken, N. J., & Kleist, J. (1993). The relationship of drought frequency and duration to time scales (pp. 179-184). In 8th. Conference on Applied Climatology, Anaheim, California, USA, January, 17-22.
Mishra, A. K., & Singh, V. P. (2010). A review of drought concepts. Journal of Hydrology, 391(1-2), 202-216.
Mishra, A. K., & Singh, V. P. (2011). Drought modeling-A review. Journal of Hydrology, 403(1-2), 157-175.
Morid, S., Smakhtin, V., & Moghaddasi, M. (2006). Comparison of seven meteorological indices for drought monitoring in Iran. International Journal of Climatology, 26(7), 971-985.
Morid, S., Smakhtin, V., & Bagherzadeh, K. (2007). Drought forecasting using artificial neural networks and time series of drought indices. International Journal of Climatology, 27(15), 2103-2111.
Ntale, H. K., & Gan, T. Y. (2003). Drought indices and their application to East Africa. International Journal of Climatology, 23(11), 1335-1357.
Pandey, R. P., Dash, B. B., Mishra, S. K., & Singh, R. (2008). Study of indices for drought characterization in KBK districts in Orissa (India). Hydrological Processes, 22(12), 1895-1907.
Rossi G., Vega T., & Bonaccorso, B. (2007). Methods and tools for drought analysis and management (418 pp.). Dordrecht, The Netherlands: Springer.
Smakhtin, V. U., & Hughes, D. A. (2007). Automated estimation and analysis of meteorological drought characteristics from monthly rainfall data. Environmental Modelling & Software, 22(6), 880-890.
Stagge, J. H., Tallaksen, L. M., Gudmundsson, L., Van Loon, A. F., & Stahl, K. (2015). Candidate distributions for climatological drought indices (SPI and SPEI). International Journal of Climatology, 35(13), 4027-4040.
WMO (1975). Methods of analysis. Technical Note No. 138 (pp. 27-52). In Drought and Agriculture. Geneva: Secretariat of the World Meteorological Organization.
Wu, H., Hayes, M. J., Weiss, A., & Hu, Q. (2001). An evaluation of the standardized precipitation index, the China-Z index and the statistical Z-score. International Journal of Climatology, 21(6), 745-758.
Wu, H., Hayes, M. J., Wilhite, D. A., & Svoboda, M. D. (2005). The effect of the length of record on the Standardized Precipitation Index calculation. International Journal of Climatology, 25(4), 505-520.
Wu, H., Svoboda, M. D., Hayes, M. J., Wilhite, D. A., & Wen, F. (2007). Appropriate application of the Standardized Precipitation Index in arid locations and dry seasons. International Journal of Climatology, 27(1), 5-79.
Zelen, M., & Severo, N. C. (1972). Probability functions. Chapter 26 (pp. 925-995). In Handbook of mathematical functions. Abramowitz, M., & Stegun, I. (eds.). Ninth printing. New York: Dover Publications.