Artículos
Factores que explican el valor del suelo. Caso Hermosillo, Sonora, México.
Factors that explain the value of land. Case Hermosillo, Sonora, México.
Factores que explican el valor del suelo. Caso Hermosillo, Sonora, México.
Contexto. Revista de la Facultad de Arquitectura de la Universidad Autónoma de Nuevo León, vol. XII, núm. 16, pp. 93-108, 2018
Universidad Autónoma de Nuevo León

Recepción: 24 Enero 2017
Aprobación: 11 Febrero 2018
Resumen:
El documento muestra las relaciones del valor del suelo habitacional y las principales variables inmobiliarias. A partir de la evidente diferenciación del valor del suelo a través de la ciudad, enmarcada en conceptos de deseabilidad del entorno edificado, de la accesibilidad urbana y de la jerarquía social; obtenida a través de indicadores de educación, renta, accesibilidad, consumo de agua y criminalidad. El análisis parte de una base de datos, geográficamente referenciada, con 427 mediciones de valores del suelo y sus características inmobiliarias, además de, indicadores del Instituto Nacional de Estadística y Geografía, mediciones del Organismo Operador Municipal Agua de Hermosillo y datos publicados por la Secretaría de Seguridad Pública del Estado de Sonora. Datos que se integran en un sistema de información geográfica, que permiten establecer modelos de precios hedónicos, que se obtienen utilizando análisis estadísticos y geoestadísticos multivariados, resueltos con la técnica de regresión lineal múltiple y la regresión geográficamente ponderada. Los resultados indican una importante asociación positiva del valor del suelo con el nivel de ingreso, el consumo de agua y la educación; y en este caso, la accesibilidad y la criminalidad en la ciudad parecen ser características que no aportan valor al suelo urbano habitacional.
Palabras clave: Valor del suelo, educación, renta.
Abstract:
The document shows the relationship between the value of housing land and the main real estate variables. This from the evident differentiation of land value through the city, framed in concepts of desirability of the built environment, urban accessibility and social hierarchy; obtained through education, income, accessibility, water consumption and crime. The analysis of a database, geographically referenced, with 427 measurements of land values and property characteristics, in addition, indicators of the National Institute of Statistics and Geography, field measurements of the Municipal Agency Water Operator of Hermosillo, data obtained from the Secretariat of Public Security of the State of Sonora. Data are integrated into a geographic information system, which allows for hedonic pricing models, whose are obtained by applying multivariate statistical analysis and the geographically weighted regression technique. The results indicate a significant positive association of land value with the level of income, water consumption and education; until this moment, the accessibility and the crime in the city, seem to be characteristics that do not contribute value to the residential urban land.
Keywords: Land values, education, income.
Introducción
La ciudad se conforma de suelo urbano, con distintos usos y distintas clasificaciones, es decir, dentro de la ciudad tenemos usos: habitacionales, comerciales, servicios e industriales; y cada uno de ellos, se clasifica en diferentes calidades, entendiendo por calidad, las características inmobiliarias del suelo que prefieren los consumidores, lo que lleva a tener suelos de alta, media y baja preferencia.
El objetivo de este documento es mostrar un procedimiento con el cual se estime el comportamiento del valor del suelo habitacional en la geografía de la ciudad de Hermosillo, Sonora, a partir del concepto de modelos de precios hedónicos, que considere, además, posibles asociaciones espaciales de las variables inmobiliarias del mercado local.
Con lo cual se pretende verificar si, el valor del suelo urbano es resultado de una combinación de factores de educación, de ingreso familiar, de accesibilidad urbana, de criminalidad y de consumo de agua residencial; con lo cual sea posible explicar la formación actual del valor del suelo urbano habitacional.
La educación de los habitantes de un lugar es sin duda uno de los elementos principales que le otorgan valor al suelo. De acuerdo con (Roca, 1982) en su interpretación de los valores del suelo en la ciudad de Barcelona, los individuos prefieren vivir en zonas donde los niveles de educación son similares o mayores al suyo; en este mismo tenor, es sentido común, que las personas prefieren zonas habitacionales con indicadores de criminalidad bajos, ya que los barrios criminalizados son castigados por los compradores inmobiliarios en sus diferentes usos, tal como lo encuentra (Brasington, 2001) en su estudio de tasas de capitalización y tamaños de comunidades, donde una de las variables más importantes es la tasa de criminalidad.
La forma en que se produce y consume el recurso hídrico, está presente cada vez con mayor importancia en la economía, fue considerado por primera vez en la Cumbre de la Tierra en Río de Janeiro en 1992 y de Johannesburgo en el 2002; esto muestra la preocupación internacional por la sostenibilidad en los procesos de producción y consumo, de acuerdo con (Área de Gobierno de Medio Ambiente y Servicios de la Ciudad de Madrid, 2005).
El nivel de ingreso de las personas se relaciona directamente con las preferencias que están dispuestos a pagar, en el proceso de adquisición del suelo urbano de uso habitacional. Esto es, las personas con altos niveles de ingreso están en condiciones de pagar las mejores zonas para localizar su vivienda en la ciudad; donde se satisfagan la mayoría de sus preferencias, mientras que las personas con niveles de ingresos bajos, se deberán limitar en la cantidad de preferencias que les permitan sus ingresos acceder.
El proceso anterior genera una serie de asociaciones, donde las personas con niveles de ingresos altos, se ubican en las mejores zonas, mientras que las de menores ingresos van quedando agrupadas de acuerdo a su capacidad de compra. Estas asociaciones en primera instancia económica, genera nuevos deseos, como los de vivir cerca de personas con niveles de educación similares, problemas similares, mismas culturas, llegando incluso a la formación de agrupaciones con composiciones del mismo origen étnico.
La accesibilidad desde los primeros estudios de Von Thünen en Alemania, ha estado presente como un factor importante en el valor del suelo, a partir del modelo simplista de ciudad monocéntrica y homogénea, hasta sistemas más complejos con múltiples centros y características heterogéneas.
La criminalidad, es el resultado de hechos que transgreden las leyes y reglamentos, establecidos por el gobierno, son actitudes y acciones que lesionan a otras personas, sea esto en su integridad física, intelectual o en su patrimonio. La presencia de este tipo de acciones en una zona de la ciudad, es usualmente una característica que impacta negativamente en las preferencias de las personas. Si estas zonas no son preferidas por los demandantes de suelo urbano habitacional, provocan una baja en los precios de venta del suelo urbano, independientemente de otros tipos de atributos, como la accesibilidad, entorno urbano, etcétera.
El valor del suelo urbano, es resultado principal de una combinación de características como: la educación, el ingreso familiar, la accesibilidad urbana, la criminalidad y el consumo de agua; a partir de las cuales, es posible integrar modelos que expliquen su formación y comportamiento.
El valor del suelo se estudia a partir de la formación espacial de los valores urbanos, que se define con base en la teoría económica espacial, donde es posible identificar tres componentes principales: la accesibilidad, las externalidades físicas y ambientales y los factores sociales.
Rentas de accesibilidad
La teoría de la ubicación de (Von Thünen, 1826), tiene su origen en los trabajos publicados en Alemania, donde aplica a un modelo de tierras con explotación agrícola y considera que el terreno es plano e isótropo, esto es, las características de las parcelas no varían a excepción de su localización respecto al centro o mercado, donde se comercializan los productos, resultados de la actividad agrícola. Von Thünen se preguntó porque las parcelas con las mismas características, a excepción de la localización (distancia al centro) tenían diferentes usos.
Posteriormente, la teoría de uso del suelo agrícola que presentó Von Thünen, es desarrollada en el ámbito urbano por los economistas urbanos americanos, entre ellos (Hurd, 1903) y (Haig, 1926). Que finalmente presentan un modelo urbano caracterizado por: el centro de negocios (CBD)1, que sustituye al centro de consumo en el esquema agrícola de Von Thünen. Donde la población urbana trabaja en el CBD, por lo que tiene que desplazarse diariamente del hogar al centro de trabajo.
El enfoque agrícola, trasladado a las características de la ciudad, genera que el espacio próximo al CBD sea el más solicitado, con el propósito de minimizar los costos de transporte. Esto genera valores de suelo urbano más altos conforme se acerca al CBD y más bajos conforme se aleja de este. Bajo este comportamiento, se explica la formación de zonas de uso exclusivo de suelo, esto es: zona de uso terciario, zona de uso residencial, zona de uso industrial.(Alonso, 1964) presenta un trabajo que intenta conciliar la teoría de la localización con la teoría del valor, donde su principal aportación es la relación denominada bid-rent, con la cual se puede establecer para cada individuo o familia, una gama de posibilidades de consumo de valores de suelo y distancias al CBD, de tal forma que todas ellas conservan constante un nivel de utilidad.
Por lo que, el valor del suelo urbano residencial es un intercambio entre la accesibilidad y el valor; ya que la accesibilidad permite tener menores tiempos de traslado y menores costos de transporte, pero a su vez mayores valores de suelo y por tanto un menor consumo; a la inversa el individuo puede optar por menor valor y mayor consumo de suelo, a costa de pagar mayores costos de transporte y mayores consumos de tiempo.
Rentas de externalidades urbanísticas
El modelo estándar de estructuración espacial de valor del suelo, no permite explicar completamente lo que pasa en las ciudades, ya que existen aspectos como la cantidad y calidad de servicios públicos, polución, racismo, etcétera; que intervienen de una forma importante en la construcción del valor del suelo urbano. Estos elementos no considerados por la teoría estándar y que tienen influencia significativa en la estructuración de los valores urbanos, se les denomina externalidades.
Las externalidades de los bienes inmuebles, son todos aquellos factores que no se controlan por el poseedor del bien inmueble, pero que de una forma directa o indirecta tienen un efecto en el valor del inmueble. La externalidad se presenta fundamentalmente por la característica de inamovilidad del bien inmueble, que queda sujeto a los efectos de todos los elementos que lo circundan.
Es en este sentido, que las rentas de externalidad complementan con nuevos elementos a la formación del valor del suelo, al considerar otros factores tanto físicos como sociales, del entorno de los bienes inmuebles. Para su estudio se diferencian en dos tipos, las externalidades físicas y ambientales y las sociales; en donde las primeras se subdividen en externalidades de la edificación, de la infraestructura y del medio ambiente.
En el caso de las características físicas que conforman los índices de calidad de la edificación del entorno (externalidades), se tienen trabajos como el de (Mills & Simenauer, 1996) que muestra cómo se han tratado de obtener índices de calidad de las viviendas a través de los años, encontrándose un comportamiento creciente en un periodo de 1986 a 1992 de valores de vivienda en Estados Unidos. Algunas de las variables introducidas en el modelo, son: la edad de la vivienda, el tamaño del lote, el número de baños, garaje, entre otras.
Así también existen trabajos como el desarrollado por (Humarán & Roca, 2010), donde encuentran una medida del factor de localización en la ciudad de Mazatlán, Sinaloa, México; para lo cual realizan una cuantificación de la participación de las diferentes factores tanto intrínsecos como extrínsecos al inmueble, donde mencionan: “…una participación del 44% es adjudicadle a elementos endógenos; los elementos exógenos tienen al frente las externalidades urbano ambientales con un 50%; seguida de la jerarquía social con un 33% y con 17% la accesibilidad”.
Las externalidades de tipo ambiental como elementos integrantes del valor de los inmuebles, son tratados por (Marshall, 1890), quien fue uno de los primeros en bosquejar la influencia de factores como la densificación y la calidad del aire, en los valores del suelo urbano. Lo anterior a partir de sus observaciones, de cómo se desarrolla la sociedad, que, buscando aquellos elementos de salud y calidad de vida, en realidad los individuos los confunden con el uso intensivo del suelo, en detrimento de la calidad de vivir en zonas menos densas o suburbios, con excelentes sistemas de drenaje, suministro de agua y luz, junto a buenas escuelas y oportunidades de jugar al aire libre.
Respecto a la variable ruido, que puede impactar en los valores de los bienes inmuebles, (Marmolejo, 2008) menciona la aparente correlación positiva entre el precio de la vivienda y el nivel de ruido, sin embargo, al realizar una aproximación utilizando el enfoque de preferencias declaradas, encuentra que no existe una relación estadística significativa que relacione el valor de la vivienda y la intensidad del ruido. Ahora bien, al realizar una segmentación de la muestra encuentra que para los grupos socio-profesionales de renta alta, existe una correlación negativa con la percepción del ruido y menciona “…esto sugiere que la demanda de espacios silenciosos es elástica ante la variación de otros atributos urbanos; así los grupos de renta media y baja valoran más la presencia de servicios de proximidad y la accesibilidad (que generan ruido), mientras que los grupos de renta alta parecen preferir vivir en entornos silenciosos a costa de no tener, a mano, los servicios personales ni de transporte”.
(Fitch & García, 2008) desarrollan un trabajo para el Área Metropolitana de Barcelona, que explica el comportamiento de los valores de la vivienda en función de indicadores socio-económicos, de accesibilidad y medio ambientales. Donde muestran la influencia de variables como la antigüedad de la vivienda y densidad del municipio, en los valores de las viviendas. Aplica la técnica de modelos hedónicos para estimar indirectamente los valores de aquellos bienes de carácter medio ambiental, que no tienen una estimación directa del valor.
Rentas de Jerarquía social
Las externalidades sociales son aquellos factores con origen en las características de las personas que habitan el lugar; esto es, su historia en cuanto a su capacidad económica, cultural, educativa o profesional, que le proporciona un carácter social, de cohesión y armonía a la zona.
Las rentas de jerarquía social se muestran sobre todo en trabajos empíricos donde la explicación de la teoría estándar de la formación de los valores del suelo, no es suficiente. Apareciendo aspectos difíciles de tratar, como el origen étnico y otros no tan complicados como, la educación, la renta familiar, entre otros.
En trabajos como el de (Halbwachs, 1909) se introduce el factor de localización, como uno de los elementos principales del valor del suelo, esto es, la ubicación de la vivienda en un determinado lugar (barrio, zona o distrito) como el factor determinante del valor. Este valor a partir de elementos que reflejan la imagen de lugar, como son las características sociales, relativas al nivel de renta, a la educación, al prestigio, etcétera.
Por su parte (Anderson, 1962), realiza un estudio de valores del suelo, considerando la teoría de la accesibilidad donde existe una relación significante entre el centro y el valor; sin embargo, encuentra que el comportamiento no es consistente y que en muchos de los casos esta influencia es menor que la que proporciona los sectores. De donde concluye que el valor del suelo viene dado más por la influencia de los sectores (estructura socioeconómica) que por la accesibilidad; esto es, que el valor del suelo se ve más influido por las preferencias de los individuos a interrelacionarse socialmente con otros similares, formando así zonas socialmente homogéneas.
(Ozanne & Thinodeau, 1983) explican las diferencias de los valores de alquiler y valores de venta de vivienda en diferentes ciudades de los Estados Unidos, encuentra que las variables solteros no ancianos tiene una influencia positiva en el mercado de alquiler y una influencia mucho mayor en el mercado de ventas; por otro lado, la variable negro o hispano tiene una influencia pequeña, pero negativa en los valores de alquiler y positiva en el caso del mercado de venta. Lo anterior muestra como factores de tipo social, en cuanto a la forma de vida de los individuos y los aspectos de tipo étnico, finalmente suelen impactar en los valores de los inmuebles.
El consumo de agua
En México, según datos de la (Consejo Nacional de Población, 2010), se identificó que el 78% del total de habitantes es población urbana; y que, en Sonora, el 86% de la población ya está radicando en zonas urbanas en el estado; siendo que dicho proceso de asentamiento de la población en las localidades urbanas ha implicado fuertes presiones sobre el medio ambiente y las instituciones, lo cual es derivado del incremento de la demanda de los servicios urbanos.
En otro contexto, (Shandas & Parandvash, 2009) desarrollan una investigación en Portland, Oregon, E.E.U.U. para cuantificar la influencia de zonas específicas y las características estructurales de desarrollos urbanos en el consumo de agua en una región metropolitana. Para ello, utilizaron Sistemas de Información Geográfica (SIG) para caracterizar 122,550 lotes de diferentes usos del suelo y estadísticamente asociadas a las formas urbanas y las características sociodemográficas de los usuarios del agua, con los datos empíricos sobre el consumo de agua durante un período de cinco años. Evaluaron el consumo de agua para las viviendas residencial unifamiliar (SFR), residencial multifamiliar (MFR), comercial, industrial y el uso del suelo a nivel de lote. En el análisis estadístico buscaron la asociación entre el consumo del agua y el uso del suelo para cada año, y posteriormente determinan el modelo utilizando regresión múltiple, efectuando diversas combinaciones con las variables independientes. Para el año 1999 encontraron una correlación fuerte y significativa entre el área de cada uso del suelo y el consumo de agua (R²= 0.74). Para el año 2002-05, las viviendas SFR, el uso comercial-industrial y el uso MFR son significativas, lo que ayuda a explicar el 55% a 64% del consumo total de agua.
Criminalidad
La criminalidad de acuerdo con (Cook, 1986), supone que los criminales y las víctimas son individuos racionales, que toman decisiones siguiendo procesos de optimización; esto es, que el criminal conoce las posibilidades de tener éxito o ser detenido, si tiene éxito las potenciales ganancias asociadas con el delito y en lo opuesto, los costos de ser detenido, el castigo o pena que le imponen las autoridades. Por otro lado, las víctimas también conocen las pérdidas potenciales que pueden tener en sus pertenencias y en este sentido incurren en gastos que aumenten las medidas de seguridad para prevenir el éxito de los delincuentes.
(Aguayo & Chapa, 2012) encuentran en su trabajo de El robo a casa habitación en Monterrey, Nuevo León, que la localización de la vivienda y las características del vecindario son los elementos importantes para predecir la probabilidad del robo, como son las características de la vivienda y no así las características de sus ocupantes
Por su parte (Urquijo, 2016), menciona que los datos de la Coordinación de Seguridad Ciudadana en Hermosillo, el 60% de los robos en casa habitación se llevan a cabo en los fraccionamientos tipo cerrada, sin diferenciar el nivel económico de los mismos. Esto fundamentalmente, por la poca atención en la prevención de estos delitos, pues el ciudadano confía en los vecinos de su cerrada.
De acuerdo con (Hindelang, Gottfredson, & Garofalo, 1978) el robo de vehículos es un delito complejo de combatir, pues se manifiesta de diversas formas; es decir, se presenta el robo de motocicletas, vehículos particulares, transporte de pasajeros, de carga, etcétera. Además, los robos se pueden llevar a cabo, sin violencia o con violencia, con la víctima conduciendo, caminando hacia el vehículo o estacionándolo. Los robos se llevan a cabo en estacionamientos de centros comerciales, de diversión, de oficinas públicas, sobre las calles, en caminos vecinales o en carreteras.
En este sentido, (Vilalta, 2011) muestra que el robo de vehículo es un fenómeno que se presenta con una lógica geográfica y temporal, por lo que es un delito que puede ser combatido. Esto es, que es posible identificar los lugares más frecuentados por estos delincuentes y los momentos en que prefieren actuar.
El narcomenudeo es un fenómeno normalmente asociado al narcotráfico, como parte de su estructura final para llegar al consumidor. Es la parte perceptible por los ciudadanos en la compraventa y consumo de sustancias ilegales relacionadas con la alteración de la conducta de los individuos y normalmente suele tener una estructura territorial dominada por grupos delincuenciales organizados.
Por su parte (Cortés & Parra, 2011) caracteriza el mercado del narcomenudeo a partir de tres aspectos básicos: puntos de venta, la monetización y el consumo. Esto es, el narcomenudeo es una actividad ilegal, que con el tiempo genera espacios y actitudes al desarrollo de otro tipo de actividades ilegales, como el robo, la extorsión, la deserción escolar y la violencia intrafamiliar y urbana.
Metodología
Descripción del caso de estudio.
El estado de Sonora se localiza al noroeste de México, en la zona más árida del territorio nacional conocida como Desierto de Sonora que se extiende al sur de Estados Unidos de América a través de los estados de Arizona y California, y en México por el Estado de Baja California y Sonora. La ciudad de Hermosillo, capital del estado se localizada a 29°05’56”N y 110°57’15”O en el noroeste de la República Mexicana y a 289 km de la frontera con los Estados Unidos de América FIGURA 1.
La ciudad con una altitud promedio de 216 MSNMM, una topografía sensiblemente plana, una mancha urbana de 160.93 km2, donde 125.68 km2 corresponden a superficies de lotes y predios urbanos, de los cuales el 37.25% se encuentran baldíos (Instituto Municipal de Planeacion Urbana, 2006). De donde es posible inferir la flexibilidad de la autoridad municipal en el planeamiento del desarrollo de la ciudad, lo cual es aprovechado por algunos sectores de la población para mantener de cierta forma el poder adquisitivo de su dinero y obtener una renta importante (plusvalía) a costa de las inversiones públicas en servicios y los costos que el resto de la población tiene que pagar al recorrer cada vez mayores distancias del hogar al trabajo, escuela o comercio.
La ciudad de Hermosillo registra una población de 715,061 habitantes y un stock de vivienda compuesto por 213,304 viviendas particulares habitadas, donde el 95.24% posee agua entubada, el 94.59% sistema de drenaje y el 97.49% servicio de energía eléctrica (Instituto Nacional de Estadística Geografía, 2010).
La ciudad de Hermosillo, con una creciente mancha urbana, producto del crecimiento poblacional y de los pocos esfuerzos de las autoridades responsables, por generar un modelo sostenible y compacto; que ha dejado que las fuerzas del mercado, desarrollen un tipo de ciudad, expandida, fragmentada y porosa que se adapta a sus objetivos económicos inmediatos.
La ciudad presenta zonas con valores de suelo habitacional heterogéneas, se parte de la región central de la ciudad, compuesta por el antiguo casco de la ciudad, donde se localiza principalmente comercio de segundo nivel. De este centro de atracción se desprenden varías vías de comunicación, como los bulevares Francisco E. Kino, Morelos, Luis Encinas, Colosio, Navarrete, entre otros; los cuales se muestran en la FIGURA 2.

En estas vialidades se generan zonas comerciales de primer, segundo y tercer nivel, que marcan el crecimiento urbano de la ciudad. Las áreas comprendidas entre estas vialidades forman entornos habitacionales de alto, medio y bajo nivel; donde parece existir una asociación espacial de niveles altos con altos y bajos con bajos, con transiciones graduales.
Hermosillo, una urbanización de tamaño medio en el país, con un enfoque hacia los servicios, con una industria poco desarrollada, con pocas posibilidades de actividades primarias, debido a su limitante hídrica. Presenta un rango de valores de suelo que van de los $65.00/m2, hasta valores de $4,500.00/m2 (Colegio de Valuadores Profesionales del Estado de Sonora, 2013).
Diseño de la investigación
Se recolectó directamente en campo mediante recorridos por la ciudad, localizando los espacios de suelo habitacional disponibles, de ahí se conformó en gabinete una muestra de valores del suelo urbano habitacional unifamiliar, utilizando una hoja electrónica en Excel. Además de los datos de campo, se colectó información de diferentes bases de datos de sitios en internet publicadas por empresas dedicadas a la compraventa de bienes raíces, asesores de crédito y personas físicas. De igual forma se llevó a cabo la recolección de información consultando las bases de datos utilizados en sistemas de gestión de captura de avalúos en unidades de valuación acreditadas en la Sociedad Hipotecaria Federal, en las cuales se almacena la información utilizada en la realización de los diferentes trabajos de valuación, como comparables de ofertas de mercado. Finalmente se logra integrar 427 casos de valores unitarios de terrenos urbanos habitacionales.
Por otro lado, la variable FAC_AGUA consumo de agua doméstica, se integra a partir de información del Organismo Operador Agua de Hermosillo, con información de los consumo de agua potable generados en las viviendas para el año 2015, con lo que se obtiene el consumo medio mensual, representativo de los doce meses del año para cada una de las viviendas pertenecientes a las colonias de la ciudad, de acuerdo con el procedimiento establecido en (Ojeda A. , 2013). En la FIGURA 3 se muestran los distintos valores de consumo de agua en la geografía de la ciudad, observándose zonas como Los Lagos y áreas cercanas al Bulevar Morelos que presentan altos consumos de agua y se asocian con valores de suelos altos; y los menores consumos, se presentan en zonas periféricas al norte, sur y noroeste, características de valores de suelos bajos.

FAC_CRIM criminalidad, es una variable que se integra a partir de información que proporciona la Secretaría de Seguridad Pública del Gobierno del Estado de Sonora, en su portal http://sspsonora.gob.mx/, donde se consideran los delitos registrados (Secretaría de Seguridad Pública, 2016): narcomenudeo, robo de vehículo, robo a casa habitación, robo a comercio, lesiones dolosas.
Esta información se utiliza para obtener un factor que integre esta información, para lo cual se aplica el análisis estadístico de reducción de dimensiones, en particular el Análisis Factorial aplicando el método de Componentes Principales, usando el SPSS 19. Los resultados muestran una extracción muy cercana a la unidad y una varianza total explicada de 63.2%
El comportamiento del factor de criminalidad a partir de estas cuatro variables, se muestra en la FIGURA 4. Donde es posible observar, zonas como el Centro de la ciudad, junto con colonias como el Sahuaro, Solidaridad y el Palo Verde con alta incidencia de este tipo de delitos; y en menor grado colonias como la Balderrama, San Benito, Altares, Ley 57, Las Lomas, Nuevo Hermosillo, entre otras; dejando a gran parte de la ciudad con indicadores bajos en el aspecto delictivo.

FAC_ACC accesibilidad, es un componente obtenido de información de campo y cálculos de (Morales, 2015), para integrar una medida de accesibilidad en la ciudad de Hermosillo, a partir de las tres variables siguientes: accesibilidad en distancia, accesibilidad en tiempo, accesibilidad en costo.
Se reducen las dimensiones, utilizando el Análisis Factorial, donde se obtiene una extracción del 95 al 99%, con una varianza total explicada del 97.7%.
Finalmente, el comportamiento del factor de accesibilidad obtenido a partir de estas tres medidas, se muestra en la FIGURA 5. Donde es posible observar, como de forma natural, las partes cercanas al centro de la ciudad comparten factores de accesibilidad importantes y de forma gradual van disminuyendo conforme se aleja del centro de la ciudad.

FAC_REN la renta, es la estimación del indicador de ingresos y se obtiene a partir de variables económicas y de viviendas, derivadas de (Instituto Nacional de Estadística Geografía, 2010), siguientes: población ocupada (ECO4), población ocupada de 12 años y más con al menos un grado aprobado de educación superior o posgrado (ECO22), promedio de ocupantes por cuarto (VIV5) y viviendas particulares habitadas que disponen de internet (VIV36).
Se reducen las dimensiones, utilizando el Análisis Factorial. En este proceso se excluye la variable ECO4 que presenta una pobre integración y poca varianza explicada; una vez realizado esto, el componente final presenta extracciones del 80 al 84% y una varianza total explicada de 82.3%
Finalmente, el comportamiento del factor de renta obtenido a partir de estas tres variables, se muestra en la FIGURA 6. Donde es posible observar valores de renta alta en la zona Centro, Los Lagos y sus alrededores, así como la zona del Morelos, con acentuación hacia el Cerro del Bachoco; mientras que los valores de renta baja se presentan fundamentalmente en la periferia, con excepción de las terminaciones de los Bulevares Colosio y Morelos.

FAC_EDU educación, es la estimación del indicador de educación, a partir de las variables de (Instituto Nacional de Estadística Geografía, 2010), que se listan en seguida: población de 15 años o más con educación pos-básica (EDU40), población de 25 años y más con al menos un grado aprobado de educación superior (EDU46), grado promedio de escolaridad (EDU49).
Se reducen las dimensiones, utilizando el Análisis Factorial. Los resultados muestran una extracción de 95 al 98% y una varianza total explicada de 96.6%.
Finalmente, el comportamiento del factor de educación obtenido a partir de estas tres variables, se muestra en la FIGURA 7, donde, como el anterior, presenta zonas de educación altas en Los Lagos y sus alrededores, llegando hasta el centro de la ciudad, así como en el Bulevar Morelos y alrededores hacia el cerro del Bachoco; sin embargo los valores de educación más bajos se encuentran situados hacia las periferias propias de viviendas autoconstruidas, con asentamientos de hace unos 20 años o más.

Una vez integrados los cinco factores descritos, se lleva a cabo un análisis estadístico multivariado ordinario y geoespacial (OLS y GWR, en inglés) mediante el uso de SPSS 22 y ArcGis 10.2, con las cuales se procede a explicar las relaciones existentes entre los valores del suelo y los factores más influyentes que sean estadísticamente significativos. Previo a esto, se revisa la normalidad de la variable dependiente V_U_SUELO, determinando la situación de datos atípicos posibles (outliers). Seguidamente se revisa el comportamiento normal de la variable dependiente aplicando la prueba de Kolmogorov-Smirnov (K-S) para verificar la “bondad de ajuste” que permite medir el grado de concordancia existente entre la distribución de un conjunto de datos y una distribución de probabilidad de tipo normal.
Ahora bien, la exhaustiva recolección de datos del valor del suelo habitacional y la diversidad de sus datos produjo una concentración de información sesgada, por lo que es necesario realizar una reducción de los casos en exceso. Esto exige una reducción aleatoria en los rangos de alta concentración de casos, hasta obtener un comportamiento normal en la variable dependiente y su transformación de los datos con el LN_V_U_SUELO. Por lo que, de acuerdo a esto, en el análisis exploratorio de la prueba K- S se obtiene un p-valor = 0.048, lo cual es estadísticamente significativo puesto que para ser acepado, el p-valor obtenido deberá ser mayor o igual a 0.05, lo cual se considera suficiente y se puede afirmar que no existen problemas importantes de normalidad en la variable dependiente transformada, TABLA 1.

b. Se han calculado a partir de los datos.
Lo anterior reduce la cantidad de casos de 427 datos del mercado inmobiliario del suelo, a una muestra normalmente distribuida de 218 casos, donde ya se pueden llevar a cabo procedimientos como la regresión lineal múltiple, en la solución de modelos de precios hedónicos que expliquen el comportamiento del valor del suelo a partir de los factores presentados. En la FIGURA 8, se muestra el histograma de distribución de frecuencias observando su parecido el cumplimiento de la normalidad de los datos de la variable dependiente transformada LN_V_U_SUELO.

RESULTADOS
Análisis estadístico simple
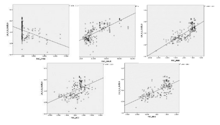
El primer análisis se realiza explicando el valor del suelo (LN_V_U_SUELO), a partir de cada uno de los factores por separado, obteniéndose los resultados de la TABLA 2, donde se observa explicaciones de R2 muy importantes en los factores de educación, consumo de agua y renta.

En la FIGURA 9 se muestran los gráficos de dispersión del LN_V_U_SUELO y los factores, donde por si solos, cada uno de estos factores presentan explicaciones del logaritmo natural del valor del suelo, con R2 que oscilan del 12.4% al 58.8%.

Modelo de Precios Hedónicos resuelto con estadística multivariada OLS
Se plantea el modelo de precios hedónico y se resuelve con la técnica de regresión lineal múltiple, en el software SPSS19, introduciendo el LN_V_U_SUELO como la variable dependiente y los cinco factores como las variables independientes, se procede a la solución del sistema aplicando como criterio de optimización los mínimos cuadrados ordinarios (OLS), en un proceso de pasos sucesivos, con una probabilidad F de Snedecor de entrada 0.5 y de salida de 0.10. Los resultados se muestran en la TABLA 3.

Las variables reconocidas en el proceso corresponden a FAC_REN y FAC_AGUA, obteniendo una explicación de R2 corregida de 69.5%, un error de 0.333, un Durbin Watson de 1.857, muy cercano al 2 que representa la nula existencia de correlación de los residuos del modelo, el análisis de la varianza con significancia muy cercana a cero, representativa de una fuerte correlación lineal de la variable dependiente con las independientes del modelo. De igual forma se revisa que los residuos presenten media cero y una desviación estándar cercana a la unidad y que el modelo no presente indicios de hetereocedasticidad.
Lo anterior muestra que el valor del suelo se asocia fuertemente, en primera instancia, con zonas donde las personas presentan altos ingresos; y en segundo lugar, con consumidores de altos volúmenes de agua. La ecuación muestra de forma más explícita estas relaciones.

Modelos de Precio Hedónicos resuelto con geoestadística multivariada GWR
Una vez obtenido el modelo estadístico que define el valor del suelo, a partir de los factores inmobiliarios, es necesario revisar posibles asociaciones espaciales de los indicadores del valor del suelo y del valor mismo. Para esto se obtiene un mapa temático de los residuos del modelo estadístico obtenido, mismo que para efectos de visualización se interpola en la mancha urbana de la ciudad, resultado que se muestra en la FIGURA 10.

Donde se observa que los residuos altos se asocian con otros residuos altos y los bajos con bajos, síntoma de una posible asociación espacial de los residuos del modelo, por lo que es conveniente revisar formalmente este tipo de fenómeno.
Se aplica el Índice de Moran a los residuos del modelo de precios hedónicos resuelto por OLS y no presentan una autocorrelación espacial significativa, sin embargo, la variable dependiente LN_V_U_SUELO si presentan el fenómeno de asociación espacial. En la FIGURA 11, se muestra un p-valor inferior a 0.05, con lo cual se muestra que la presencia de la autocorrelación espacial positiva es significativa en más del 95%.

Lo anterior sugiere una posible asociación espacial, por lo que se aplica la técnica de regresión geográficamente ponderada GWR, considerando una ponderación del tipo Gaussiano (kernel adaptativo) y un modelo de optimización por un número de vecinos de acuerdo con el Criterio de Información de Akaike (AICc).
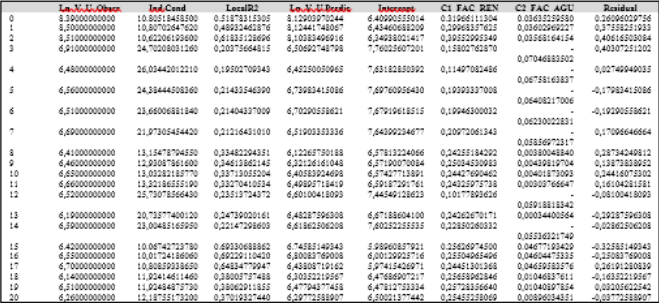
La TABLA 4, muestra el número de vecinos promedio utilizado y sobre todo el valor de R2 ajustada con el 78.99%, valor mayor que el obtenido a través de la regresión lineal múltiple, que proporcionó un R2 ajustada de 69.65%. Así como el resto de los parámetros: cuadrado de los residuos, sigma, número efectivo y valor AICc, todos ellos dentro de lo que se considera un buen modelo.

En la TABLA 5, se presentan los valores principales obtenidos con la aplicación de la técnica GWR, en los primeros 21 puntos, de los 218 que componen la muestra.

Finalmente, en la TABLA 6, se comparan las características del modelo de regresión lineal múltiple, optimizado por mínimos cuadrados ordinarios (OLS) y el modelo GWR, donde se observan mejoras en los valores de R2, pero, sobre todo, el valor de AICc que es menor en GWR, lo que implica la mejora del modelo GWR sobre el OLS.

CONCLUSIONES
El valor del suelo en la ciudad está fuertemente influido por la renta, la educación y el consumo de agua, esto en realidad es un valor del suelo definido por características de jerarquía social. Lo cual reafirma lo encontrado por Roca en Barcelona, donde el valor del suelo se asocia con el nivel de renta y educación; Halbwachs en París, encontró que el valor refleja la imagen del lugar con características sociales de nivel de renta, educación y prestigio; y Anderson concluyó que la accesibilidad es menos importante que la estructura socioeconómica en la localización de las zonas habitacionales.
Los análisis de regresión lineal simple muestran como el valor del suelo puede ser explicado por el factor de educación en un 49% o por el de consumo de agua en un 49% o por el de renta en un 59%, esto es, los factores de jerarquía social predominan en la formación del valor del suelo en la ciudad.
Los modelos obtenidos con la regresión lineal multivariada, muestran resultados que explica el valor del suelo en la ciudad, con un 69.65% de R2 ajustada, a partir de los factores de renta y consumo de agua de la población. Donde la principal variable asociada es la renta de la población; esto es, las personas se ubican principalmente en función de sus características económicas. En segundo lugar, aparece el consumo de agua, como elemento asociado al valor del suelo.
El factor de educación por si solo tiene una explicación del 49% del valor del suelo, pero no aparece en el modelo final ya que presenta una fuerte correlación (0.901) con el factor de renta. Esto es el valor del suelo urbano habitacional en la ciudad de Hermosillo, está fuertemente asociado con la renta, la educación y el consumo de agua.
El análisis de regresión geográficamente ponderado, considera el efecto de asociación espacial de los valores en la ciudad, con lo cual es posible encontrar y concluir con modelos individuales que logran mejorar la explicación anterior. Esto es, se muestra un cierto grado de asociación espacial de los valores de suelo altos con altos y valores bajos con bajos.
Quedando, en este trabajo, la accesibilidad y la criminalidad como aspectos no apreciados por el grueso de la población, en sus preferencias de consumo de suelo urbano habitacional. Situación que requiere replantear el proceso de recolección de información, realizando una labor más cercana con los organismos gubernamentales para tener acceso a datos más completos de estos indicadores y estar en condiciones de precisar la influencia de estos factores.
BIBLIOGRAFÍA
Aguayo, E., & Chapa, J. C. (2012). El robo a casa habitación en Monterrey, Nuevo León. ¿Un problema de localización? Suplemento Vol. 9, No. 1, 189- 201.
Alonso, W. (1964). Location and Land Use. Cambridge: Harvard University Press.
Anderson, T. (1962). Social and Economic Factor Afecting the Location of Residencial Neighborhoods. Regional Science Association International, Volume 9, Issue 1, 161-170.
Área de Gobierno de Medio Ambiente y Servicios de la Ciudad de Madrid. (2005). Plan Municipal de Gestión de la Demanda de Agua en la Ciudad de Madrid. Madrid: Área de Gobierno de Medio Ambiente y Servicios de la Ciudad de Madrid.
Bourassa, S. C., Hamelink, F., Hoesli, M., & MacGregor, B. D. (1997). Defining housing sub-markets: evidence from Sydney and Melbourne. Cutting Edge RICS Research.
Brasington, D. (2001). Capitalization and Community Size. Journal of Urban Economics 50, 385-395.
Colegio de Valuadores Profesionales del Estado de Sonora. (2013). Valores del suelo para la ciudad de Hermosillo, Sonora. Hermosillo: COVAPROES.
Consejo Nacional de Población. (13 de Marzo de 2010). Índice de marginación por entidad federativa y municipio 2010. Obtenido de http://conapo.gob.mx/en/CONAPO/Indices_de_Marginacion_2010_por_entidad_federativa_y_municipio
Cook, P. J. (1986). The Demand and Supply of Criminal Opportunities. Crime and Justice, Vol. 7, 1-27.
Cortés, Y., & Parra, R. (2011). Narcomenudeo: un neologismo para describir la venta de estupefacientes. Revista Criminalidad, Vol. 53, Num. 2, 37-71.
Espasa, A., & Cancelo, J. R. (2000). Análisis cuantitativo de los precios de la vivienda: principales resultados e implicaciones sobre el funcionamiento del mercado de la vivienda en España. Universidad Carlos III de Madrid. Departamento de Estadística.
Fitch, J. M., & García, P. (2008). La Incidencia de las Externalidades Ambientales en la Formación Espacial de los Valores Inmobiliarios: El caso de la Región Metropolitana de Barcelona. Arquitectura Ciudad y Entorno Año II, No. 6, 673-692.
Haig, R. (1926). Toward an Undertanding of the Metropolis: I. Some Speculations Regarding the Economic Basis of Urban Concentration. The Quartely Journal of Economics, Volume 40, Issue 2, 179-208.
Halbwachs, M. (1909). Les expropriations et le prix des terrains à Paris (1860-1900). Paris: E. Cornély.
Hindelang, M. J., Gottfredson, M. R., & Garofalo, J. (1978). Victims of personal crime - an empirical foundation for a theory of personal victimization. Cambridge MA: Ballinger Publishing Co.
Humarán, I., & Roca, J. (2010). Hacia una Medida Integrada del Factor de Localización en la Valoración Residencial: El caso de Mazatlán. Arquitectura, Ciudad y Entorno, Año V, No.13, 185-218.
Hurd, R. (1903). Principles of City Land Values. New York: Record and Guide.
Instituto Municipal de Planeacion Urbana. (18 de Octubre de 2006). implanhermosillo.gob.mx. Recuperado el Noviembre de 2014, de http://www.implanhermosillo.gob.mx: http://www.implanhermosillo.gob.mx
Instituto Nacional de Estadística Geografía. (2010). Censos y Conteos de Población y Vivienda. Obtenido de http://www.inegi.org.mx/est/contenidos/proyectos/ccpv/cpv2010/Municipios.aspx
Marmolejo, C. (2008). La Incidencia de la Percepción del Ruido Ambiental sobre la Formación Espacial de los Valores Residenciales: Un Análisis para Barcelona. Revista de la Construcción No. 1, Vol. 7, 4-19.
Marshall, A. (1890). Principles of Economics. London England: Macmillan and Co. Ltd.
Mills, E. S., & Simenauer, R. (1996). New Hedonic Estimates of Regional Constant Quality House Prices. Journal of Urban Economics 39, 209-215.
Morales, E. E. (2015). Ponderación del costo en el sistema de transporte que determine una tarifa equitativa. Hermosillo: Universidad de Sonora.
Ojeda, A. (2013). Análisis Socioespacial del Consumo de Agua Doméstica en Hermosillo Sonora. Monterrey: Universidad Autónoma de Nuevo León.
Ojeda, A., Narváez, A., & Quintana, J. (2014). Gestión del agua doméstica urbana en Hermosillo, Sonora. Cuadernos de Geografía 23 (1), 147-164.
Ozanne, L., & Thinodeau, T. (1983). Explaning Metropolitan Housing Price Differences. Journal of Urban Economics 13, 51-66.
Roca, J. (1982). Vers una interpretació de la formació i distribució dels valors del sòl a Barcelona. Barcelona: Tesis Doctoral, Escola Tècnica Superior d'Arquitectura de Barcelona .
Roca, J. (1988). La estructura de los valores urbanos: un análisis teórico- empírico. Madrid, España: Instituto de Estudios de Administración Local.
Secretaría de Seguridad Pública. (22 de Agosto de 2016). http://sspsonora.gob.mx/. Obtenido de https://drive.google.com/file/d/0B8wkB_wp-pwZWTExbGtHMzNwVjA/view: https://drive.google.com/file/d/0B8wkB_wp-pwZWTExbGtHMzNwVjA/view
Shandas, V., & Parandvash, G. (2009). Integrating Urban Form and Demographics in Water-demand Management: An Empirical Case Study of Portland Oregon. Environment and Planning B: Planning and Design 37, 1-18.
United Nations Educational, Scientific and Cultural Organization. (1 de Abril de 2009). United Nations World Water Development Report, Water in a Changing World. [pdf] Paris. Obtenidomde http://webworld.unesco.org/water/wwap/wwdr/wwdr3/pdf/WWDR3_Water_in_a_C
Urquijo, M. (15 de Octubre de 2016). El 60% de los robos se dan en cerradas. EL imparcial, pág. 1.
Vilalta, C. J. (2011). El robo de vehículos en la ciudad de México Patrones espaciales y series de tiempo. Gestión y Política Pública, Vol. XX, No. 1 , 97-139.
Von Thünen, J. (1826). Der Isoliert Staat in Beziehung auf Landwirtschaft und Nationaloëkonomie. Hamburgo.
Notas
Notas de autor