Artículo Original
Diseño y validación de una herramienta para la predicción de desenlaces adversos en pacientes con obstrucción intestinal por bridas: La escala HALVIC
Design and validation of a predicting adverse outcomes toll for patients with adhesive small bowel obstruction: HALVIC score
Diseño y validación de una herramienta para la predicción de desenlaces adversos en pacientes con obstrucción intestinal por bridas: La escala HALVIC
Revista Colombiana de Cirugía, vol. 38, núm. 1, pp. 84-100, 2023
Asociación Colombiana de Cirugía
Recepción: 22 Octubre 2022
Aprobación: 05 Noviembre 2022
Publicación: 27 Diciembre 2022
Resumen
Introducción.: La obstrucción intestinal por bridas representa una causa común de consulta a los servicios de urgencias, pero hay poca claridad sobre qué pacientes tienen mayor riesgo de desarrollar complicaciones. El objetivo de este estudio fue diseñar y validar una escala de predicción de riesgo de desenlaces adversos en pacientes con obstrucción intestinal por bridas.
Métodos.: Estudio de cohorte retrospectivo realizado a partir de la base de datos MIMIC-IV. Se incluyeron pacientes adultos admitidos al servicio de urgencias entre 2008 y 2019, con diagnóstico de obstrucción intestinal por bridas. El desenlace principal fue el compuesto de resección intestinal, ingreso a unidad de cuidados intensivos y mortalidad por cualquier causa. Se diseñó una escala de predicción de riesgo asignando un puntaje a cada variable.
Resultados.: Se incluyeron 513 pacientes, 63,7 % hombres. El desenlace compuesto se presentó en el 25,7 % de los casos. La edad, historia de insuficiencia cardiaca y enfermedad arterial periférica, nivel de hemoglobina, recuento de leucocitos e INR constituyeron el mejor modelo de predicción de estos desenlaces (AUC 0,75). A partir de este modelo, se creó la escala simplificada HALVIC, clasificando el riesgo del desenlace compuesto en bajo (0-2 puntos), medio (3-4 puntos) y alto (5-7 puntos).
Conclusión.: La escala HALVIC es una herramienta de predicción simple y fácilmente aplicable. Puede identificar de manera precisa los pacientes con obstrucción intestinal por bridas con alto riesgo de complicaciones, permitiendo el ajuste individualizado de las estrategias de manejo para mejorar los desenlaces.
Palabras clave: Obstrucción intestinal+ adherencias tisulares+ isquemia+ mortalidad+ valor predictivo+ cirugía.
Abstract
Introduction.: Adhesive Small Bowel Obstruction (ASBO) represents a common cause of consultation to the emergency department. Currently there is little clarity about which patients with ASBO are at increased risk of developing complications, potentially benefiting from early surgical management. The present study aims to design and validate a risk prediction scale for adverse outcomes in patients with ASBO.
Methods.: Retrospective cohort study performed from the MIMIC-IV database between 2008 and 2019. Adult patients admitted to the emergency department with a diagnosis of ASBO were included. The primary outcome was the composite of bowel resection, intensive care unit admission, and all-cause mortality. A risk prediction scale was designed by assigning a score to each variable according to the measure of association obtained in the logistic regression model. All analyses were performed in R statistical software (version 3.5.3).
Results.: Five-hundred-thirteen patients were included (men 63.7%, median age: 61 years). Composite outcome was present in 25.7% of cases. Age, history of heart failure and peripheral arterial disease, hemoglobin level, leukocyte count, and INR were the best predictors of these outcomes (AUC 0.75). Based on this model, the simplified HALVIC scale was created, classifying the risk of the composite outcome as low (0-2 points), medium (3-4 points) and high (5-7 points).
Conclusion.: The HALVIC scale is presented as a simple and easily applicable predictive tool in the clinical setting, which can accurately identify patients with ASBO at high risk of complications, allowing the surgeon to adjust management strategies individually and potentially improving the outcomes of these patients.
Keywords: Intestinal obstruction, tissue adhesions, ischemia, mortality, predictive value, surgery.
Introducción
La obstrucción del intestino delgado representa una de las causas más comunes de admisiones quirúrgicas en los servicios de urgencias a nivel mundial y su etiología más frecuente son las adherencias o bridas, en hasta el 75 % de los casos 1-7. Aunque la mayoría de los pacientes evolucionan favorablemente con el manejo médico, la intervención quirúrgica oportuna representa en algunos casos el tratamiento de elección, para evitar la progresión de la isquemia intestinal o la sepsis abdominal, cuya instauración conlleva al aumento de la morbimortalidad 4,6,8,9. El retraso en la intervención quirúrgica se ha relacionado con un aumento significativo del riesgo de resección intestinal, la estancia hospitalaria, el ingreso a unidad de cuidados intensivos y la morbilidad 1,4,6,7,10,11. La obstrucción del intestino por bridas se ha asociado con una mortalidad de hasta 8 %, por lo que el reconocimiento temprano de los pacientes más propensos a desenlaces adversos se convierte en un reto para los cirujanos 11-13.
Múltiples estudios han sugerido que los hallazgos clínicos, paraclínicos e imagenológicos pueden ser útiles para determinar la necesidad de un manejo operatorio temprano 4,6,8,9. Dentro de los aspectos clínicos más mencionados está la edad avanzada, puesto que es frecuente que en esta población se presente un retraso en el diagnóstico en relación con la sintomatología atípica 4,6.
Comorbilidades como diabetes mellitus pudieran representar un signo de alarma para realizar manejo quirúrgico más temprano, ya que su retraso se ha asociado con una mayor incidencia de lesión renal aguda (7,5 %) e infarto agudo de miocardio (4,8 %) 9. Otras comorbilidades que sugieren tener un impacto en la evolución tórpida de la obstrucción intestinal por bridas son la falla cardíaca, enfermedad coronaria, falla renal, neumopatía crónica y malignidad 2. Por otra parte, algunas pruebas de laboratorio han mostrado tener utilidad diagnóstica para evaluar el riesgo de compromiso intestinal. Por ejemplo, la proteína C-reactiva, el conteo leucocitario y el lactato sérico han sido los exámenes más ampliamente estudiados, insinuándose su capacidad de predecir desenlaces adversos secundarios a isquemia y perforación intestinal 4,6,14.
Aunque las guías de manejo y publicaciones recientes han sugerido el uso algunos de estos parámetros en conjunto para predecir la necesidad de manejo quirúrgico, hasta la fecha no existe una herramienta práctica que integre variables clínicas y de laboratorio ampliamente disponibles para estratificar de manera objetiva el riesgo de desenlaces adversos asociados a obstrucción del intestino por bridas 1,8,12-17. Su aplicación podría ayudar a establecer, de forma dinámica, la necesidad de ajustes en el manejo médico y de intervención quirúrgica temprana en los pacientes de mayor riesgo. Por tanto, el objetivo del presente estudio fue diseñar y validar una escala de riesgo de desenlaces adversos en pacientes con obstrucción intestinal por bridas que sea aplicable en la práctica quirúrgica diaria.
Métodos
Fuente de datos y pacientes
La base de datos Medical Information Mart for Intensive Care IV (MIMIC-IV) corresponde a un registro de más de 40.000 pacientes ingresados al Beth Israel Deaconess Medical Center, ubicado en Boston, Massachusetts, Estados Unidos de América, durante el periodo 2008-2019. Esta base de datos es pionera en el uso automático de registros de historia clínica, poniendo a disposición de la comunidad científica internacional de manera abierta una amplia gama de datos deidentificados derivados de la atención hospitalaria con mínima intervención humana, gracias a las herramientas de aprendizaje automático desarrolladas por los miembros del equipo del Laboratorio de Fisiología Computacional del Massachusetts Institute of Technology.
Los datos de los pacientes se obtuvieron de la MIMIC-IV e incluyeron características sociodemográficas (edad, sexo, raza, estado marital), administrativas (seguro médico), clínicas (diagnósticos, comorbilidades, signos vitales al ingreso), de laboratorio (hemograma, creatinina sérica, pruebas de coagulación) y desenlaces (estancia hospitalaria, resección intestinal, ingreso a UCI y mortalidad).
Se identificaron los ingresos hospitalarios a través del servicio de urgencias asociados con un diagnóstico principal de obstrucción intestinal secundaria a adherencias peritoneales postoperatorias, haciendo uso de la Clasificación Internacional de Enfermedades en sus ediciones novena y décima (CIE-9 e CIE-10). Los códigos utilizados fueron 560.81 (“Adherencias intestinales o peritoneales con obstrucción (postoperatoria) (postinfección)”) y K56.5 (“Adherencias intestinales [bandas] con obstrucción (postinfección)”). Se incluyeron solo aquellos pacientes en quienes el código de diagnóstico de obstrucción intestinal por adherencias fuera el principal y se consideró solo el primer ingreso por esta causa, esto con el fin de promover la homogeneidad de los individuos y datos a evaluar. Se excluyeron pacientes menores de 18 años, así como los ingresos a repetición por la misma causa y los que presentaran información incompleta en componentes relevantes, como los parámetros sociodemográficos o de seguimiento.
Desenlaces
El desenlace principal del presente estudio correspondió a un desenlace compuesto de resección de un segmento intestinal, ingreso a unidad de cuidados intensivos y mortalidad por cualquier causa durante la estancia hospitalaria. Se identificaron aquellos pacientes en quienes se realizó resección intestinal a través de los siguientes códigos de procedimientos CIE (CIE-9: 4561, 4562, 4563; CIE-10: 0DT80ZZ, 0DT87ZZ, 0DT88ZZ). Por otra parte, se analizó como desenlace secundario la duración de la estancia hospitalaria en días.
Análisis estadístico
Las variables evaluadas se describieron de acuerdo con su naturaleza, presentando aquellas categóricas como valores absolutos y proporciones y aquellas cuantitativas como medianas y cuartiles 1 y 3. Inicialmente se completaron los datos en las variables cuyos datos faltantes fueran inferiores al 20 % a través de un abordaje de imputación múltiple, haciendo uso del paquete estadístico mice disponible en el software estadístico R, versión 3.6 (R Core Team). Posteriormente, se dividió la muestra en un grupo de entrenamiento y otro de validación con una distribución 70 % - 30 % respectivamente, haciendo uso del paquete dplyr. Se verificó la asignación aleatoria de los participantes en ambos grupos comparando las variables evaluadas a través de la prueba de Chi cuadrado para variables categóricas y la U de Mann-Whitney para variables cuantitativas.
Se realizó un análisis bivariado en el grupo de entrenamiento a través de modelos de regresión logística simples, en los cuales se evaluaron todas las variables potencialmente asociadas al desenlace compuesto. Las variables cuantitativas fueron analizadas haciendo uso de la técnica LOESS (locally weighted smoothing). Esta representa una técnica no paramétrica que permite visualizar la relación entre las variables independientes cuantitativas y la variable dependiente, siempre y cuando esta última posea una distribución binomial. A través de la visualización de las curvas LOESS se identificaron los potenciales puntos de corte y se direccionó la categorización de las variables cuantitativas con una asociación significativa con el desenlace compuesto. Estos puntos de corte fueron posteriormente validados haciendo uso del índice de Youden. Se calculó el área bajo la curva (AUC) de los modelos como parámetro discriminatorio y la prueba de Hosmer-Lemeshow como medida de calibración.
Posteriormente, se identificó el predictor que tenía la mayor capacidad discriminativa para el desenlace compuesto y se incluyó de primero en el modelo multivariado; a partir de allí se fueron incluyendo las variables con un valor de p < 0,2 en el análisis bivariado en función del valor de su AUC. Una variable era conservada en el modelo multivariado si su inclusión en el mismo se asociaba a un aumento significativo en el AUC y el valor de p permanecía por debajo de 0,1. La inclusión de variables en el modelo multivariado finalizó cuando el agregar una nueva al mismo no se asociaba a un incremento significativo del AUC del modelo. El rendimiento del modelo final se validó en el grupo de validación registrándose los valores de AUC y el resultado de la prueba de Hosmer-Lemeshow.
Para el diseño de la escala, los coeficientes del modelo de regresión logística final fueron convertidos en puntos para simplificar su uso: el puntaje individual de cada variable se calculó restando el valor de cada categoría a la categoría de referencia y luego multiplicando el resultado por el valor del coeficiente de regresión global de la variable de acuerdo con lo sugerido por Sullivan LM et. al. 18. El valor resultante para cada variable se redondeó al entero más cercano.
Finalmente, se evaluó la incidencia del desenlace compuesto de acuerdo con la puntuación total por paciente, calculándose la sensibilidad, especificidad, razones de verosimilitud (positivo y negativo) y la proporción de casos correctamente clasificados en la cohorte de validación, para de acuerdo con esto diseñar los grupos de riesgo. Un nivel de α de 0,05 (bilateral) se consideró estadísticamente significativo. El conjunto de datos se construyó utilizando la herramienta de Google BigQuery® y se analizó realizados usando R, versión 3.6 (R Core Team).
Resultados
Características de los pacientes incluidos
El proceso de búsqueda en la base de datos MIMIC IV permitió identificar 753 pacientes con diagnóstico de obstrucción intestinal por bridas, de los cuales 513 fueron finalmente incluidos después de aplicar los criterios de exclusión (Figura 1).

Del total de los pacientes incluidos, 359 fueron asignados en la cohorte de diseño y 154 en la de validación. El grupo de diseño fue utilizado para la validación interna del modelo, mientras que el de validación fue usado para su validación externa. Las características de los pacientes, incluyendo aspectos sociodemográficos, clínicos y de laboratorio se presentan en la Tabla 1. No se identificaron diferencias significativas en ninguna de las variables evaluadas entre los dos grupos de estudio, lo cual sugirió que el proceso de aleatorización se llevó a cabo de manera adecuada.


En la cohorte global, la mediana de edad de presentación de obstrucción intestinal por bridas fue de 61 años (Q1: 49; Q3: 74), siendo más frecuentes los hombres durante el periodo evaluado (63,7 %). La raza blanca (73,9 %) y afroamericana (16,2 %) fueron las más prevalentes, así como el estado marital casado (47,6 %). En relación con las comorbilidades, la enfermedad pulmonar obstructiva crónica fue la más prevalente (18,5 %), seguida de diabetes mellitus (15,9 %), falla cardiaca (9,4 %) y enfermedad renal (9,0 %). A destacar por grupos de comorbilidades, el 16,3 % de los pacientes padecían de alguna patología cardiovascular y el 11,1 % tenían historia de enfermedad neoplásica.
Aunque la mediana de los valores de los signos vitales al momento del ingreso se encontraba dentro de los rangos de normalidad, la dispersión de las mediciones incluyó algunos valores anormales. De igual manera, la mediana de la mayoría de los resultados de exámenes de laboratorio se encontraba en rango normal, excepto el nivel de hemoglobina cuya mediana se encontraba en rango de anemia leve (10,7 g/dl).
Respecto a los desenlaces adversos asociados a la obstrucción intestinal por bridas, se encontró que 298 (58 %) fueron llevados a cirugía, de los cuales 68 (13,3 %) requirieron resección intestinal. El segundo desenlace más frecuente fue la necesidad de manejo en Unidad de Cuidado Intensivo (UCI), en el 17 % de los casos. Adicionalmente, 1,4 % de los pacientes fallecieron durante la atención médica y el desenlace compuesto se presentó en más un cuarto de los casos (25,7 %). Finalmente, la mediana de estancia hospitalaria fue de 7,3 días (Q1: 4,3; Q3: 10,6).
Factores asociados al desenlace compuesto y diseño del modelo de predicción
Se identificaron múltiples factores asociados significativamente con el desenlace compuesto en el análisis bivariado (Tabla 2).


Se inició la construcción del modelo multivariado con inclusión de la variable de enfermedad arterial periférica (EAP), dado que el modelo bivariado con esta variable presentó la mayor capacidad predictiva (OR 15,98; IC95% 5,21-48,99, p<0,001; AUC 0,602). Siguiendo el proceso descrito en la sección de métodos, se hizo la secuencia de adición de variables al modelo y como resultado, seis factores constituyeron el mejor modelo de predicción de estos desenlaces en el análisis multivariado: la edad, la historia de insuficiencia cardiaca (IC) y EAP, y tres parámetros de laboratorio medidos al ingreso, nivel de hemoglobina, recuento de leucocitos e INR (por su denominación en inglés, international normalized ratio) (Tabla 3).

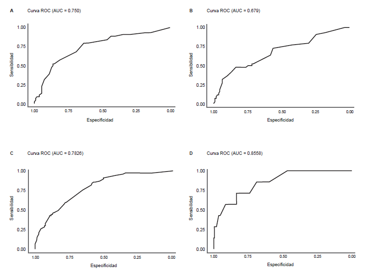
De estos factores, la historia de EAP tuvo la asociación mayor con el riesgo de resección intestinal, ingreso a UCI y mortalidad, en comparación con pacientes sin esta condición (OR 10,23; IC95% 3,03-34,47, p<0,001). En segundo lugar, la anemia con niveles de Hb ≤ 11,3 g/dl se asoció con el aumento de más de tres veces el riesgo de estos desenlaces (OR 3,46; IC95% 1,89-6,31, p<0,001). Por su parte, la historia de IC se asoció con más del doble de riesgo (OR 2,28; IC95% 1,01-5,15, p=0,047). Finalmente, un recuento de leucocitos > 9000/ml, INR > 1,2 y la edad mayor a 70 años se asociaron con un aumento del riesgo de desenlaces adversos en este contexto en un 83 %, 76 % y 72 %, respectivamente. A pesar de que la edad no tuvo un valor de p estadísticamente significativo, fue incluida en el modelo multivariado debido a que su adición al modelo incrementó significativamente la capacidad discriminativa del mismo (AUC del modelo sin edad= 0,739 vs. AUC del modelo con edad= 0,750; p<0,001) (Figura 2A). Finalmente, el resultado de la prueba de Hosmer-Lemeshow no sugirió un ajuste inadecuado del modelo a la población evaluada (p=0,965).

Para el análisis de sensibilidad, se evaluó el rendimiento del modelo multivariado para la predicción de los desenlaces individuales, observando una capacidad predictiva aceptable para el desenlace de resección intestinal (AUC 0,679) (Figura 2B), sobresaliente para la predicción de ingreso a UCI (AUC=0,783) (Figura 2C) y excelente para el desenlace de mortalidad intrahospitalaria (AUC = 0,856) (Figura 2D).
Puntaje simplificado
Una vez identificados los factores asociados independientemente al desenlace compuesto, se procedió a usar estas variables en el modelo para generar una escala de riesgo clínicamente aplicable. De acuerdo con lo descrito, se asignó un puntaje individual a cada uno de los niveles de las variables incluidas en el modelo multivariado final en función de la medida del efecto de asociación con el desenlace compuesto.
Se determinó un puntaje de 1 a la edad > 70 años, el diagnóstico de IC, el nivel de Hb de ingreso ≤ 11,3 gr/dl, recuento de leucocitos > 9000/ml y al valor de INR > 1,2. Por otra parte, se le asignó un puntaje de 2 al diagnóstico de EAP. Por tanto, un paciente puede tener un puntaje en la escala HALVIC de 0 a 7 (Tabla 3).
Como resultado, la mediana del puntaje de esta escala en la cohorte de diseño fue de 2 puntos (Q1: 1 punto, Q3: 2 puntos, rango 0-7 puntos). Se observó una asociación significativa entre el valor de la escala y el desenlace compuesto, con un riesgo significativamente mayor a medida que aumentaba el puntaje (OR 2,23; IC95% 1,79-2,79, p<0,001) (Figura 3). A partir de esto, se identificaron tres grupos de riesgo: aquellos pacientes con puntaje HALVIC ≤ 2 puntos (riesgo bajo: incidencia del DC = 16,2 %), puntaje de 3-4 puntos (riesgo intermedio: incidencia del DC = 41,7 %) y puntaje ≥ 5 (riesgo alto: incidencia del DC = 87,5 %) (Tabla 4, Figura 4).



Validación de la escala
Finalmente, se realizó una validación de estos resultados en la segunda cohorte, cuya mediana del puntaje de la escala fue de 2 puntos (Q1: 1 punto, Q3: 3 puntos, rango: 0-6 puntos). Se corroboró la asociación significativa entre el valor de la escala y el desenlace compuesto (OR 2,06; IC95% 1,47-2,89, p<0,001). De manera similar, se caracterizaron los tres grupos de riesgo: aquellos pacientes con puntaje HALVIC ≤ 2 puntos (riesgo bajo: incidencia del DC = 17,2 %), puntaje de 3-4 puntos (riesgo intermedio: incidencia del DC = 48,9 %) y puntaje ≥ 5 (riesgo alto: incidencia el DC = 72,8 %).
Discusión
En este estudio se diseñó y validó la escala HALVIC de predicción del riesgo de desenlaces adversos en pacientes con obstrucción del intestino por bridas (OIB), la cual está compuesta por seis variables fácilmente evaluables, edad, insuficiencia cardíaca, enfermedad arterial periférica, nivel de hemoglobina, recuento de leucocitos e INR.
Destacamos que el rendimiento de la escala para la predicción del desenlace compuesto de resección intestinal, ingreso a unidad de cuidado intensivo y mortalidad fue sobresaliente, siendo menos preciso para el desenlace individual de resección intestinal y más preciso para el desenlace de mortalidad. Por tanto, es menester analizar los potenciales mecanismos fisiopatológicos que pueden explicar la relación entre las variables que componen la escala HALVIC con la progresión de la OIB, al tiempo que se compara el rendimiento de esta escala con otras herramientas similares publicadas en la literatura.
Con respecto a la edad, se ha reportado que la obstrucción intestinal es un diagnóstico relativamente frecuente en mayores de 65 años, representando aproximadamente el 10-12 % de los diagnósticos en pacientes de este grupo etario que acuden al servicio de urgencias 19. En concordancia con nuestro estudio, dentro de la literatura se ha señalado la edad avanzada como un predictor de complicaciones mayores y mortalidad 20. Sin embargo, hasta el momento no existe una clara asociación entre la edad avanzada y el riesgo de resección intestinal 21.
Dentro de los principales planteamientos que soportan los hallazgos de nuestro estudio, se propone que la disminución de la reserva fisiológica y la fragilidad, ambas asociadas a la presencia de comorbilidades en este grupo etario son los principales factores que podrían explicar la evolución clínica tórpida en el contexto de urgencia de esta población 20. Adicionalmente, se ha propuesto que pacientes de edad avanzada presentan un cuadro clínico atípico, caracterizado por menor intensidad del dolor, temperaturas basales más bajas y cambios leves en la respuesta leucocitaria. Estos cambios pueden conllevar a la consulta tardía y al retraso en el diagnóstico, limitando el oportuno manejo médico o quirúrgico 19,22,23.
La anemia como factor de riesgo independiente para peores desenlaces clínicos y quirúrgicos ya ha sido sugerida en el área de cirugía gastrointestinal 24,25. El estudio de casos y controles de Wang et. al. 26, que evaluó recientemente la utilidad de la sonda nasoenteral en obstrucción intestinal, sugiere que la anemia es un factor de riesgo de fracaso en el manejo médico, debido a que el descenso del nivel de hemoglobina podría ser indicador de hipoxia tisular e isquemia intestinal secundaria. El mecanismo subyacente a esta asociación corresponde al menor aporte de oxígeno al tejido que está sometido a compresión mecánica por las adherencias en el paciente anémico, lo cual lo expone a un mayor riesgo de isquemia en esta condición 27.
Por su parte, la asociación entre un mayor recuento leucocitario y el riesgo de desenlaces adversos es más compleja, teniendo un potencial origen multifactorial. En principio, el estrés mecánico sobre la pared intestinal se ha asociado con un incremento en la producción de marcadores proinflamatorios como la interleuquina-6 y la proteína quimioatrayente de monocitos 1 a nivel del segmento proximal a la obstrucción 28. Además, la hipoperfusión tisular, presente en estadios más avanzados de la enfermedad, condiciona un aumento en los radicales libres de oxígeno, que a su vez promueven la permeabilidad de la mucosa intestinal. Como consecuencia, se genera una translocación, tanto bacteriana como de componentes inflamatorios, lo cual se traduce en mayor reclutamiento y circulación de leucocitos 29.
Este estado proinflamatorio también puede favorecer el desarrollo de un proceso de coagulopatía, el cual puede variar desde una activación subclínica de la cascada de la coagulación hasta condiciones avanzadas de coagulación intravascular diseminada 30,31. Adicional a la activación del sistema inmune, el daño celular presente en la isquemia intestinal promueve la liberación de ADN y proteínas nucleares, también con efectos procoagulantes. Sin embargo, la perpetuación de estas condiciones promueve la desregulación de la cascada de coagulación a través de la expresión aberrante del factor tisular por monocitos/macrófagos y disfunción endotelial, que puede traducirse en la prolongación del INR 32-35. Por tanto, valores elevados del INR han sido identificados como marcadores tempranos de compromiso severo y desenlaces adversos en pacientes con sepsis 36-38.
De manera especial, la EAP fue la variable individual más fuertemente asociada con el desenlace compuesto en el presente estudio. Actualmente se estiman más de 200 millones de personas con esta patología a nivel mundial, teniendo solo un 10-30 % sintomatología típica de claudicación intermitente, mientras que el 20-50 % de los casos son asintomáticos 39. La EAP es una enfermedad de compromiso sistémico, caracterizada por la pérdida de elasticidad de las paredes arteriales y estrechez luminal secundaria, que condicionan un aporte reducido de oxígeno en los diferentes tejidos, incluidos aquellos irrigados por la circulación esplácnica.
A pesar de los procesos compensatorios de neovascularización, la demanda tisular en situaciones de estrés termina superando la oferta de oxígeno, forzando a un metabolismo anaerobio con productos metabólicos ácidos, que afectarán el ATP intraeritrocitario, disminuyendo la flexibilidad de su membrana y llevando así a un aumento en la viscosidad sanguínea y a un incremento de la agregación plaquetaria, concluyendo en una afección aún mayor del proceso de oxigenación tisular 39,40 sumado a un permanente estado proinflamatorio del segmento vascular afectado 41. Esta combinación de perfusión sub-óptima e hipo-oxigenación de base podría favorecer la hipoperfusión e isquemia tisular secundaria al estrés mecánico en la OIB, exponiendo al paciente con EAP a un mayor riesgo de complicaciones.
Por último, la asociación entre IC y el incremento de la morbimortalidad en pacientes sometidos a cirugía no cardiaca está bien establecida 42. Estudios previos han mostrado una relación estadísticamente significativa entre la insuficiencia cardiaca congestiva y el incremento en el riesgo de complicaciones postoperatorias en pacientes con diagnóstico de obstrucción intestinal 13,43-45. Los mecanismos subyacentes a esta asociación son múltiples, destacando los cambios a nivel intestinal secundarios a la hipoperfusión crónica característica en la IC. Esto se traduce en el crecimiento desproporcionado de las poblaciones bacterianas y edema de la mucosa, lo cual puede reducir su tolerancia a la isquemia en condiciones de estrés 46-48.
A pesar de la importancia de la obstrucción intestinal por bridas en términos de morbilidad y mortalidad, la literatura mundial actual sobre factores asociados a desenlaces adversos en obstrucción intestinal por bridas es relativamente escasa. Existen dos estudios que han propuesto escalas de predicción similares a la descrita en el presente estudio y se destaca el estudio de Hernández et. al. 15, en el cual se evaluó el valor pronóstico del sistema de clasificación de la severidad anatómica de la American Association for the Surgery of Trauma (AAST) en pacientes con diagnóstico de OIB. Esta escala utiliza características radiográficas e intraoperatorias para clasificar a los pacientes en cinco estadios: I, OIB parcial; II, OIB completa con viabilidad del intestino; III, OIB completa con compromiso de la viabilidad intestinal; IV, OIB con evidencia de intestino no viable o perforación con contaminación localizada, y V, OIB con perforación intestinal y contaminación peritoneal difusa. Los autores del estudio observaron que, a medida que la severidad de la escala aumentaba, había un mayor riesgo de necesidad de conversión de cirugía laparoscópica a abierta, resección intestinal, abdomen abierto y creación de estomas, además de una mayor duración de la estancia hospitalaria y necesidad de ingreso a UCI. Finalmente, el modelo compuesto por la escala de la AAST presentó una capacidad discriminativa sobresaliente para predecir el desarrollo de alguna complicación postoperatoria (AUC 0,76).
De manera similar, el estudio de Morris et. al. 14 evaluó el rendimiento pronóstico del denominado “bowel ischemia score” (BIS) en pacientes con diagnóstico de OIB. Esta escala se basó en los hallazgos tomográficos en OIB sugeridos por las guías de la Asociación del Este para la Cirugía de Trauma (EAST, por sus siglas en inglés), otorgando un punto por cada hallazgo. Los autores observaron que el puntaje del BIS fue un predictor excelente de cirugía temprana (AUC 0,812), sobresaliente de necesidad de cualquier cirugía (AUC 0,705) y aceptable para el desenlace de resección intestinal (AUC 0,614).
Por tanto, podemos concluir que, en ausencia de información sobre los hallazgos en estudios imagenológicos, la escala HALVIC tuvo un rendimiento comparable a la escala de la AAST para predicción de cualquier desenlace adverso y superior al BIS para la predicción de resección intestinal. Esto representa una ventaja relevante ya que las escalas anteriormente mencionadas dependen de la disponibilidad de una imagen tomográfica, la cual puede no estar a disposición del médico en todos los contextos, especialmente en países en vía de desarrollo. Mas aún, los hallazgos tomográficos reflejan la presencia de un proceso de isquemia incipiente o ya instaurado, sin embargo, no permiten identificar aquel paciente que al momento de la evaluación no presenta signos de compromiso intestinal, pero los va a desarrollar en corto plazo. Adicionalmente, la escala de la AAST también depende de criterios intraoperatorios, lo cual limita de manera significativa su uso como herramienta pronóstica para definir una conducta terapéutica en el paciente con OIB al momento del ingreso hospitalario.
Fortalezas y limitaciones del estudio
Dentro de las fortalezas del estudio, se destaca el tamaño de muestra evaluado, el cual es superior a una buena parte de los estudios publicados que evaluaron factores asociados a desenlaces adversos en OIB. Por otra parte, la disponibilidad de información fisiológica detallada permitió evaluar variables habitualmente excluidas de los análisis en esta área, tales como los signos vitales de ingreso y exámenes de laboratorio. Adicionalmente, se hizo validación de la escala propuesta, haciendo uso de un abordaje estadístico estándar, lo cual permite la reproducibilidad del estudio.
Sin embargo, es importante mencionar algunas limitaciones relevantes del presente estudio. En primera medida, la ausencia de información de imágenes diagnósticas limitó la posibilidad de desarrollar un modelo/escala integral, dada la importancia que tienen los hallazgos tomográficos para la evaluación del paciente con OIB. Por tanto, se requieren estudios adicionales que evalúen el beneficio de integrar las variables sociodemográficas y clínicas predictivas descritas en la escala HALVIC a los hallazgos de imágenes diagnósticas sugestivos de compromiso de asa intestinal, lo cual permitiría disponer de herramientas más precisas para la predicción de desenlaces adversos y la toma de decisiones tempranas en estos pacientes.
No se dispuso de información relacionada al tiempo de duración de los síntomas obstructivos, lo cual tiene una relación directa con el grado de compromiso al momento del ingreso hospitalario. Tampoco se obtuvo información acerca del tiempo desde el ingreso hasta la intervención quirúrgica en los pacientes que fueron operados, lo cual imposibilitó el ajuste de las variables evaluadas por este relevante factor. Finalmente, a pesar del tamaño de muestra relativamente alto, la cantidad de pacientes con puntajes HALVIC de 6 y 7 puntos fue escasa, lo cual limitó la evaluación del modelo en estos pacientes. A pesar de esto, la muy alta proporción de pacientes con puntajes elevados de HALVIC que tuvieron alguno de los desenlaces sugiere fuertemente un mayor riesgo en estos individuos.
Conclusiones
La escala HALVIC se presenta como una herramienta de predicción simple y fácilmente aplicable en el contexto clínico, que puede identificar de manera precisa los pacientes con OIB con alto riesgo de complicaciones, haciendo uso de datos clínicos y de laboratorio de amplia disponibilidad. La identificación de los pacientes con alto riesgo de desenlaces adversos tiene el potencial de promover el ajuste individualizado de las estrategias de manejo, mejorando los desenlaces.
Referencias
Maung AA, Johnson DC, Piper GL, Barbosa RR, Rowell SE, Bokhari F, et al. Evaluation and management of small-bowel obstruction: an Eastern Association for the Surgery of Trauma practice management guideline. J Trauma Acute Care Surg. 2012;73(5 Suppl. 4):S362-9. https://doi.org/10.1097/TA.0b013e31827019de
Vercruysse G, Busch R, Dimcheff D, Al-Hawary M, Saad R, Seagull FJ, et al. Evaluation and management of mechanical small bowel obstruction in adults. Ann Arbor (MI): Michigan Medicine University of Michigan. 2021. Fecha de consulta: 10 de septiembre de 2022. Disponible en: Disponible en: http://www.ncbi.nlm.nih.gov/books/NBK572336/
Behman R, Nathens AB, Haas B, Look-Hong N, Pechlivanoglou P, Karanicolas P. Surgery for adhesive small-bowel obstruction is associated with improved long-term survival mediated through recurrence prevention: A population-based, propensity-matched analysis. J Trauma Acute Care Surg. 2019;87:636-44. https://doi.org/10.1097/TA.0000000000002366
Ten Broek RPG, Krielen P, Di Saverio S, Coccolini F, Biffl WL, Ansaloni L, et al. Bologna guidelines for diagnosis and management of adhesive small bowel obstruction (ASBO): 2017 update of the evidence-based guidelines from the world society of emergency surgery ASBO working group. World J Emerg Surg. 2018;13:24. https://doi.org/10.1186/s13017-018-0185-2
atena F, De Simone B, Coccolini F, Di Saverio S, Sartelli M, Ansaloni L. Bowel obstruction: a narrative review for all physicians. World J Emerg Surg. 2019;14:20. https://doi.org/10.1186/s13017-019-0240-7
Tong JWV, Lingam P, Shelat VG. Adhesive small bowel obstruction - an update. Acute Med Surg. 2020;7:e587. https://doi.org/10.1002/ams2.587
Aquina CT, Fleming FJ. Who should manage patients with adhesive small bowel obstruction? Adv Surg. 2017;51:125-40. https://doi.org/10.1016/j.yasu.2017.03.010
Tanaka S, Yamamoto T, Kubota D, Matsuyama M, Uenishi T, Kubo S, Ono K. Predictive factors for surgical indication in adhesive small bowel obstruction. Am J Surg. 2008;196:23-7. https://doi.org/10.1016/j.amjsurg.2007.05.048
Karamanos E, Dulchavsky S, Beale E, Inaba K, Demetriades D. Diabetes mellitus in patients presenting with adhesive small bowel obstruction: Delaying surgical intervention results in worse outcomes. World J Surg. 2016;40:863-9. https://doi.org/10.1007/s00268-015-3338-4
Bower KL, Lollar DI, Williams SL, Adkins FC, Luyimbazi DT, Bower CE. Small bowel obstruction. Surg Clin North Am. 2018;98:945-71. https://doi.org/10.1016/j.suc.2018.05.007
Musiienko AM, Shakerian R, Gorelik A, Thomson BNJ, Skandarajah AR. Impact of introduction of an acute surgical unit on management and outcomes of small bowel obstruction. ANZ J Surg. 2016;86:831-5. https://doi.org/10.1111/ans.13238
Mu JF, Wang Q, Wang SD, Wang C, Song JX, Jiang J, Cao XY. Clinical factors associated with intestinal strangulating obstruction and recurrence in adhesive small bowel obstruction: A retrospective study of 288 cases. Medicine (Baltimore). 2018;97:e12011. https://doi.org/10.1097/MD.0000000000012011
Asuzu D, Pei KY, Davis KA. A simple predictor of post-operative complications after open surgical adhesiolysis for small bowel obstruction. Am J Surg. 2018;216:67-72. https://doi.org/10.1016/j.amjsurg.2018.02.031
Morris RS, Murphy P, Boyle K, Somberg L, Webb T, Milia D, et al. Bowel ischemia score predicts early operation in patients with adhesive small bowel obstruction. Am Surg. 2022;88:205-11. https://doi.org/10.1177/0003134820988820
Hernandez MC, Haddad NN, Cullinane DC, Yeh DD, Wydo S, Inaba K, et al. The American Association for the Surgery of Trauma Severity Grade is valid and generalizable in adhesive small bowel obstruction. J Trauma Acute Care Surg. 2018;84:372-8. https://doi.org/10.1097/ta.0000000000001736
Zielinski MD, Eiken PW, Heller SF, Lohse CM, Huebner M, Sarr MG, Bannon MP. Prospective, observational validation of a multivariate small-bowel obstruction model to predict the need for operative intervention. J Am Coll Surg. 2011;212:1068-76. https://doi.org/10.1016/j.jamcollsurg.2011.02.023
Deng Y, Wang Y, Guo C. Prediction of surgical management for operated adhesive postoperative small bowel obstruction in a pediatric population. Medicine (Baltimore). 2019;98:e14919. https://doi.org/10.1097/MD.0000000000014919
Sullivan LM, Massaro JM, D’Agostino RB. Presentation of multivariate data for clinical use: The Framingham Study risk score functions. Stat Med. 2004;23:1631-60. https://doi.org/10.1002/sim.1742
Ozturk E, van Iersel M, Stommel MM, Schoon Y, Ten Broek RR, van Goor H. Small bowel obstruction in the elderly: a plea for comprehensive acute geriatric care. World J Emerg Surg. 2018;13:48. https://doi.org/10.1186/s13017-018-0208-z
Quero G, Covino M, Laterza V, Fiorillo C, Rosa F, Menghi R, et al. Adhesive small bowel obstruction in elderly patients: a single-center analysis of treatment strategies and clinical outcomes. Scand J Gastroenterol. 2021;56:784-90. https://doi.org/10.1080/00365521.2021.1921256
Krause WR, Webb TP. Geriatric small bowel obstruction: an analysis of treatment and outcomes compared with a younger cohort. Am J Surg. 2015;209:347-51. https://doi.org/10.1016/j.amjsurg.2014.04.008
Liang SY. Sepsis and other infectious disease emergencies in the elderly. Emerg Med Clin North Am. 2016;34:501-22. https://doi.org/10.1016/j.emc.2016.04.005
Springer JE, Bailey JG, Davis PJB, Johnson PM. Management and outcomes of small bowel obstruction in older adult patients: a prospective cohort study. Can J Surg. 2014;57:379-84. https://doi.org/10.1503/cjs.029513
Sincavage J, Robinson B, Msosa VJ, Katete C, Purcell LN, Charles A. Preoperative anemia and surgical outcomes following laparotomy in a resource-limited setting. Am J Surg. 2021;222:424-30. https://doi.org/10.1016/j.amjsurg.2020.12.032
Michailidou M, Nfonsam VN. Preoperative anemia and outcomes in patients undergoing surgery for inflammatory bowel disease. Am J Surg. 2018;215:78-81. https://doi.org/10.1016/j.amjsurg.2017.02.016
Wang H, Zhang JR, Chen S, Hou P, Chen QF, Weng ZQ, et al. Who would avoid severe adverse events from nasointestinal tube in small bowel obstruction? A matched case-control study. BMC Gastroenterol. 2022;22:332. https://doi.org/10.1186/s12876-022-02405-8
Kärkkäinen JM. Acute mesenteric ischemia: A challenge for the acute care surgeon. Scand J Surg. 2021;110:150-8. https://doi.org/10.1177/14574969211007590
Lin YM, Li F, Shi XZ. Mechanical stress is a pro-inflammatory stimulus in the gut: in vitro, in vivo and ex vivo evidence. PLoS One. 2014;9:e106242. https://doi.org/10.1371/journal.pone.0106242
Vaishnavi C. Translocation of gut flora and its role in sepsis. Indian J Med Microbiol. 2013;31:334-42. https://doi.org/10.4103/0255-0857.118870
Lipinska-Gediga M. Coagulopathy in sepsis - a new look at an old problem. Anaesthesiol Intensive Ther. 2016;48:352-9. https://doi.org/10.5603/AIT.a2016.0051
Semeraro N, Ammollo CT, Semeraro F, Colucci M. Coagulopathy of acute sepsis. Semin Thromb Hemost. 2015;41:650-8. https://doi.org/10.1055/s-0035-1556730
Iba T, Levy JH. Sepsis-induced coagulopathy and disseminated intravascular coagulation. Anesthesiology. 2020;132:1238-45. https://doi.org/10.1097/ALN.0000000000003122
Dorgalaleh A, Daneshi M, Rashidpanah J, Yasaghi ER. An overview of hemostasis. En: Dorgalaleh A, ed. Congenital bleeding disorders. Diagnosis and management. Cham: Springer International Publishing; 2018. p. 3-26.
Levi M, Schultz MJ. What do sepsis-induced coagulation test result abnormalities mean to intensivists? Intensive Care Med. 2017;43:581-3. https://doi.org/10.1007/s00134-017-4725-0
Lyons PG, Micek ST, Hampton N, Kollef MH. Sepsis-associated coagulopathy severity predicts hospital mortality. Crit Care Med. 2018;46:736-42. https://doi.org/10.1097/CCM.0000000000002997
Zhang J, Du HM, Cheng MX, He FM, Niu BL. Role of international normalized ratio in nonpulmonary sepsis screening: An observational study. World J Clin Cases. 2021;9:7405-16. https://doi.org/10.12998/wjcc.v9.i25.7405
Winer LK, Salyer C, Beckmann N, Caldwell CC, Nomellini V. Enigmatic role of coagulopathy among sepsis survivors: a review of coagulation abnormalities and their possible link to chronic critical illness. Trauma Surg Acute Care Open. 2020;5:e000462. https://doi.org/10.1136/tsaco-2020-000462
Liu J, Bai C, Li B, Shan A, Shi F, Yao C, et al. Mortality prediction using a novel combination of biomarkers in the first day of sepsis in intensive care units. Sci Rep. 2021;11:1275. https://doi.org/10.1038/s41598-020-79843-5
Criqui MH, Aboyans V. Epidemiology of peripheral artery disease. Circ Res. 2015;116:1509-26. https://doi.org/10.1161/CIRCRESAHA.116.303849
Emma LA. Chronic arterial occlusive disease. J Cardiovasc Nurs. 1992;7:14-24. https://doi.org/10.1097/00005082-199210000-00004
Moore KJ, Sheedy FJ, Fisher EA. Macrophages in atherosclerosis: a dynamic balance. Nat Rev Immunol. 2013;13:709-21. https://doi.org/10.1038/nri3520
Smilowitz NR, Banco D, Katz SD, Beckman JA, Berger JS. Association between heart failure and perioperative outcomes in patients undergoing non-cardiac surgery. Eur Heart J Qual Care Clin Outcomes. 2021;7:68-75. https://doi.org/10.1093/ehjqcco/qcz066
Margenthaler JA, Longo WE, Virgo KS, Johnson FE, Grossmann EM, Schifftner TL, et al. Risk factors for adverse outcomes following surgery for small bowel obstruction. Ann Surg. 2006;243:456-64. https://doi.org/10.1097/01.sla.0000205668.58519.76
Sharma R, Reddy S, Thoman D, Grotts J, Ferrigno L. Laparoscopic versus open bowel resection in emergency small bowel obstruction: Analysis of the National Surgical Quality Improvement Program Database. J Laparoendosc Adv Surg Tech A. 2015;25:625-30. https://doi.org/10.1089/lap.2014.0446
Chang E, Chung PJ, Smith MC, Lee MJ, Gross DJ, Kao E, Sugiyama G. Can the laparoscopic approach for adhesive small bowel obstruction be used in octogenarians? An observational study using ACS NSQIP. J Surg Res. 2019;233:345-50. https://doi.org/10.1016/j.jss.2018.07.064
Sandek A, Bauditz J, Swidsinski A, Buhner S, Weber-Eibel J, von Haehling S, et al. Altered intestinal function in patients with chronic heart failure. J Am Coll Cardiol. 2007;50:1561-9. https://doi.org/10.1016/j.jacc.2007.07.016
Romeiro FG, Okoshi K, Zornoff LAM, Okoshi MP. Gastrointestinal changes associated to heart failure. Arq Bras Cardiol. 2012;98:273-7. https://doi.org/10.1590/S0066-782X2012000300011
Sandek A, Swidsinski A, Schroedl W, Watson A, Valentova M, Herrmann R, et al. Intestinal blood flow in patients with chronic heart failure: A link with bacterial growth, gastrointestinal symptoms, and cachexia. J Am Coll Cardiol. 2014;64:1092-102. https://doi.org/10.1016/j.jacc.2014.06.1179
Notas
Notas de autor
aCorrespondencia: Andrea Carolina Quiroga-Centeno, Carrera 33 # 28-126, Bucaramanga, Colombia. Teléfono: 6910030 Ext. 341; Celular: 3005688335. Dirección electrónica: caroline_aqc@hotmail.com
Declaración de intereses