ARTÍCULO ORIGINAL
Entre luces y sombras: Factores clave en la fuga anastomótica en cirugía colorrectal, estudio de casos y controles en dos centros de alto volumen en Bogotá
Between lights and shadows: Key factors in anastomotic leak in colorectal surgery, case-control study in two high-volume centers in Bogotá
Entre luces y sombras: Factores clave en la fuga anastomótica en cirugía colorrectal, estudio de casos y controles en dos centros de alto volumen en Bogotá
Revista Colombiana de Cirugía, vol. 40, no. 1, pp. 99-110, 2025
Asociación Colombiana de Cirugía
Received: 27 July 2024
Accepted: 17 September 2024
Published: 20 November 2024
Resumen
Introducción.: La fuga anastomótica es una complicación que en las últimas tres décadas ha mantenido sus tasas de incidencia entre 1 % y 19 % y ha alcanzado una mortalidad que varía entre 6 % y 22 %. Tiene una alta morbilidad, siendo responsable del 56 % de los estomas definitivos en pacientes sometidos a cirugía colorrectal. El objetivo de este estudio fue identificar los factores asociados con un mayor riesgo de incidencia de fuga anastomótica, para lograr impactar en la morbilidad y mortalidad de los pacientes llevados a cirugía colorrectal.
Métodos.: Estudio de casos y controles multicéntrico enfocado en los factores de riesgo preoperatorios e intraoperatorios asociados con la fuga anastomótica después de la resección de colon.
Resultados.: Se incluyeron 480 pacientes llevados a cirugía colorrectal entre enero de 2014 y diciembre de 2019. Se estimó que existe mayor riesgo de presentar dehiscencia de anastomosis con nivel de hemoglobina menor de 9 g/dl (p=0,001; OR=3,2; IC95%: 1,64-6,25), clasificación ASA > 3 (p=0,001; OR=9,96; IC95%: 4,75-20,9), duración prolongada de la cirugía (p=0,005) y necesidad de transfusión intraoperatoria (p=0,001; OR=4,57; IC95%: 2,32-9,01). El reforzamiento de la anastomosis se relacionó a un menor número de fugas anastomóticas (p=0,001; OR=0,14; IC95%: 0,04-0,46).
Conclusión.: La anemia y la transfusión de glóbulos rojos se relacionaron con un aumento de fuga anastomótica. Por otro lado, el refuerzo de la anastomosis se presenta como una medida potencialmente beneficiosa para mitigar la incidencia de esta complicación. La identificación precisa de estos factores de riesgo ofrece la oportunidad de transformar la fuga anastomótica en una complicación prevenible.
Palabras clave: Neoplasias colorrectales+ cirugía colorrectal+ fuga anastomótica+ factores de riesgo+ anemia+ grapado quirúrgico.
Abstract
Introduction.: Anastomotic leak is a complication that in the last three decades has maintained its incidence rates between 1% and 19% and has reached a mortality rate that varies between 6% and 22%. It has a high morbidity rate, being responsible for 56% of definitive stomas in patients undergoing colorectal surgery. The objective of this study was to identify factors associated with a higher risk of anastomotic leak incidence, in order to impact the morbidity and mortality of patients undergoing colorectal surgery.
Methods.: Multicentric case-control study focused on preoperative and intraoperative risk factors associated with anastomotic leak after colon resection.
Results.: 480 patients who underwent colorectal surgery between January 2014 and December 2019 were included. It was estimated that there is a higher risk of anastomotic dehiscence with hemoglobin levels <9 mg/dl (p=0.001; OR=3.2; 95% CI: 1.64-6.25), ASA classification >3 (p=0.001; OR=9.96; 95% CI: 4.75-20.9), prolonged surgery duration (p=0.005), and the need for intraoperative transfusion (p=0.001; OR=4.57; 95% CI: 2.32-9.01). Anastomosis reinforcement was related to fewer anastomotic leaks (p=0.001; OR=0.14; 95% CI: 0.04-0.46).
Conclusion.: Anemia and red blood cell transfusion were associated with an increased anastomotic leak. On the other hand, anastomosis reinforcement is presented as a potentially beneficial measure to mitigate the incidence of this complication. Accurate identification of these risk factors offers the opportunity to transform anastomotic leak into a preventable complication.
Keywords: Colorectal neoplasms, colorectal surgery, anastomotic leak, risk factors, anemia, surgical stapling.
Introducción
La cirugía colorrectal ha experimentado una notable evolución en los últimos 50 años, gracias a avances significativos como la optimización preoperatoria, la profilaxis antibiótica, la cirugía mínimamente invasiva y el manejo posoperatorio adecuado. Entre los hitos más destacados se encuentra la introducción de la grapadora quirúrgica, que ha facilitado la realización de anastomosis de manera rápida y segura. Estos avances, junto con la cirugía mínimamente invasiva, han contribuido a mejorar los resultados, acelerando la recuperación, reduciendo la morbilidad y la estancia hospitalaria 1.
A lo largo de su carrera, todo cirujano se enfrenta a la fuga anastomótica (FA), una complicación común en la cirugía colorrectal que, a pesar de los avances tecnológicos, sigue siendo inevitable. La FA representa una complicación mayor, con un significativo impacto epidemiológico y económico. Se considera que es una de las complicaciones más temidas y devastadoras, tanto desde el punto de vista quirúrgico como oncológico, ya que aumenta el tiempo y los costos de la hospitalización y deteriora el pronóstico a corto y largo plazo. Varios estudios han sugerido que está asociada con una reducción en la supervivencia general y una mayor tasa de recurrencia local después de la resección del cáncer colorrectal 2,3.
La incidencia de FA varía según la ubicación de la anastomosis a lo largo del tracto gastrointestinal. Según la literatura, las tasas de fuga en general oscilan del 1 % al 19 % 2 y, a pesar de los avances que buscan reducir su incidencia, no ha habido una disminución significativa en las últimas tres décadas 2. Además, la tasa de mortalidad varía del 6 % al 22 % 4. La FA con frecuencia requiere reintervención y la creación de un estoma, el cual puede ser temporal o definitivo, lo que impacta considerable en la calidad de vida de los pacientes; se ha reportado, que esta complicación es responsable del 56 % de los estomas definitivos en pacientes sometidos a cirugía colorrectal 5. En cuanto a la mortalidad, ésta alcanza el 7,5 % en los casos de fuga anastomótica, en comparación con solo el 1,4 % en aquellos pacientes que no experimentan esta complicación 6.
Los factores predisponentes y las causas de las FA son multifactoriales y frecuentemente múltiples. El sexo masculino, la edad avanzada, la historia de quimio-radiación previa, la hipotensión intraoperatoria y la diabetes mellitus se han identificado como factores que afectan las fases de la cicatrización 4,6. La diabetes mal controlada puede provocar daño vascular y disminución del flujo sanguíneo. Además, ciertos medicamentos como los corticosteroides y los agentes quimioterapéuticos, que alteran la función del sistema inmunológico, pueden tener efectos negativos en la cicatrización de las heridas. Es crucial prestar atención especial a los fumadores de tabaco y a los pacientes con enfermedad arterioesclerótica, quienes pueden presentar oclusión frecuente de la arteria mesentérica inferior. Otros factores por considerar incluyen variables anatómicas, como la ubicación del tumor, la presentación clínica (oclusión, perforación), el estadio de la enfermedad, el tipo de procedimiento quirúrgico y el nivel de la anastomosis 2,3,7.
Se han implementado técnicas intraoperatorias que permiten evaluar la integridad de la anastomosis, como las pruebas mecánicas de permeabilidad mediante la insuflación de aire o líquido con solución salina o azul de metileno, o la visualización directa de la perfusión del muñón intestinal y la anastomosis, incluyendo la evaluación del color de la pared intestinal, la peristalsis y el sangrado de las arterias marginales. Adicionalmente se utiliza la colonoscopia intraoperatoria, y más recientemente, la angiografía de fluorescencia intraoperatoria con verde de indocianina 7.
En Colombia, los datos son limitados. En el 2014, Gualdrón O, et al. 8, identificaron como factores de riesgo el antecedente de diabetes mellitus, obstrucción intestinal, sangrado intraoperatorio, anastomosis íleo-transversa y obesidad; entre estos, los dos últimos fueron los únicos estadísticamente significativos. En un segundo estudio, Pacheco MA, et al. 9, encontraron que antecedentes de cirugía abdominal, la cirugía de urgencia y la experiencia del cirujano, medida por el tiempo de práctica como cirujano general o en formación, fueron factores de riesgo.
El objetivo de este estudio fue analizar los factores de riesgo que influyen en el desarrollo de dehiscencia de la anastomosis en cirugía colorrectal, considerando los factores preoperatorios, intraoperatorios y anatomopatológicos.
Métodos
Tipo de estudio y población
Estudio de casos y controles, multicéntrico, enfocado en los factores de riesgo preoperatorios e intraoperatorios asociados con la fuga anastomótica después de la resección de colon. Se llevó a cabo una revisión retrospectiva de las historias clínicas de todos los pacientes sometidos a resección intestinal y anastomosis gastrointestinal en la Clínica Universitaria Colombia y la Clínica Reina Sofía, de Bogotá, D.C., Colombia, entre enero de 2014 y mayo de 2024.
Se incluyeron consecutivamente todos los pacientes llevados a cirugía colorrectal con técnicas de anastomosis, mediante grapadora o sutura manual, durante los últimos 10 años. Los pacientes se dividieron en dos grupos, así:
Casos: Pacientes sometidos a cirugía colorrectal con técnicas de anastomosis mediante grapadora o sutura manual, que experimentaron una fuga anastomótica. Estos pacientes pueden haber tenido anastomosis configuradas de manera latero-lateral, término-terminal o término-lateral, seleccionadas principalmente según la preferencia del cirujano.
Controles: Pacientes sometidos a cirugía colorrectal con técnicas de anastomosis mediante grapas o sutura manual, que no experimentaron una fuga anastomótica. Al igual que en los casos, estas anastomosis pueden haber sido configuradas de manera latero-lateral, término-terminal o término-lateral, según la preferencia del cirujano.
De acuerdo con la definición más ampliamente adoptada y la clasificación de la gravedad propuestas por el Grupo de Estudio Internacional del Cáncer de Recto (ISREC), la fuga anastomótica fue definida como un defecto de la integridad de la pared intestinal en el sitio de anastomosis colorrectal o colo-anal, que conlleva a la comunicación entre los compartimientos intra y extra luminales 1.
Variables
Los datos recopilados incluyeron información demográfica, como edad, sexo e índice de masa corporal (IMC), estado físico preoperatorio (sistema de clasificación de estado físico de la American Society of Anesthesiologists - ASA), detalles operatorios como la configuración de la anastomosis (grapada de lado a lado, grapada de extremo a lado o sutura manual), vía de abordaje (laparoscópico o abierto), urgencia operatoria (emergencia o electiva), resultado del análisis de patología, detalles oncológicos (estadio general) y curabilidad, presencia de fuga anastomótica, tiempo hasta la identificación de la fuga, e información posoperatoria, incluido aparición de complicaciones, duración de la estadía, regreso al quirófano, readmisión dentro de los 30 días y mortalidad hospitalaria.
Análisis estadístico
Se analizaron las variables cualitativas mediante frecuencias absolutas y relativas, y las variables cuantitativas mediante medidas de tendencia central y dispersión, según el resultado de las pruebas de normalidad. Se realizó un análisis bivariado comparando estas variables entre pacientes con y sin fuga anastomótica, utilizando la prueba de Chi cuadrado o exacta de Fisher, según los valores esperados para las variables cualitativas. Para las variables cuantitativas fue necesario el uso de la prueba T de student o U de Mann-Whitney, según la distribución de los datos. Se calcularon los Odds Ratios (OR) con intervalos de confianza del 95 %.
Posteriormente, se llevó a cabo un análisis multivariado de regresión logística binomial para ajustar los OR crudos, presentándolos con sus respectivos intervalos de confianza del 95 %. El análisis se realizó utilizando el programa estadístico R (R Core Team. R Foundation for Statistical Computing, Vienna, Austria) versión 4.0.
Resultados
Características de los pacientes
Un total de 586 pacientes fueron sometidos a cirugía colorrectal entre enero de 2014 y mayo de 2024; de estos, 437 cumplieron con los criterios de inclusión para el estudio. El 53,6 % eran mujeres, la edad media al momento de la cirugía fue de 65 años (rango: 21-97 años) y la mediana del IMC de 24,9 kg/m2. Las principales comorbilidades registradas fueron hipertensión arterial (38 %), hipotiroidismo (18 %) y diabetes mellitus (8 %) (Tabla 1).

La tasa general de fuga fue del 10 % (n=47), distribuida de la siguiente manera: 89,4 % (n=42) en colectomía segmentaria, 6,8 % (n=3) en resecciones rectales y 3,3 % (n=2) en resección ileocecal. La enfermedad neoplásica representó el 87,8 % de las resecciones, de las cuales el 8,5 % presentaron fuga (p=0,004; OR=9,96; IC95% 0,180-0,736). Además, la enfermedad diverticular estuvo presente en el 2,3 % de los casos, el vólvulo en el 3,2 % y la patología apendicular en el 1,6 % (Tabla 2).

En el análisis de los especímenes quirúrgicos, el adenocarcinoma predominó en el 82 % de los casos (n=300), seguido por los adenomas túbulo- vellosos en el 33 % (n=9). Se identificó invasión linfovascular en el 28 % (n=105) e invasión perineural en el 15 % (n=57) de los especímenes. Entre los pacientes diagnosticados con adenocarcinoma mediante histopatología, el 76 % (n=32) presentó FA.
Factores operatorios
Se empleó cirugía mínimamente invasiva en el 85,6 % de los casos, requiriendo conversión en el 2,7 % (n=12). Los procedimientos índices se realizaron predominantemente de forma electiva (94,5 %). El tiempo quirúrgico promedio de la cirugía fue de 152 minutos (rango: 41-560 minutos), con un sangrado intraoperatorio promedio de 200 ml. El 14,8 % de los pacientes (n=64) requirió transfusión intraoperatoria, y de estos, el 12 % (n=47) presentaron fuga (Tabla 3).

Se hizo refuerzo de la sutura en el 44 % de los casos y se realizó ileostomía de protección en el 6 % (n=26), teniendo en cuenta la distancia de la anastomosis al borde anal, la quimio-radioterapia neoadyuvante, una prueba de fuga intraoperatoria positiva, la pérdida de sangre y la terapia de inmunosupresión, según el criterio del cirujano y en función de la localización de la anastomosis colorrectal.
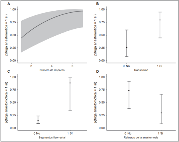
La configuración de las anastomosis en la mayoría fue latero-lateral (57 %), seguida de la término-terminal (41 %). Respecto a los segmentos anastomosados, las anastomosis ileo-rectales tuvieron un riesgo 22 veces mayor de fuga, en comparación con los pacientes que requirieron otro tipo de anastomosis (p=0,001; IC95% 4,31-122).
Factores de riesgo asociados con la fuga anastomótica
En la Tabla 4 se presentan los factores del paciente y del procedimiento asociados con la FA. El análisis logístico multivariado identificó varios factores significativos en relación con este riesgo. Entre ellos se encuentran el nivel de hemoglobina < 9 g/dl (p=0,001; OR=3,2; IC95%: 1,64-6,25), clasificación de ASA ³ 3 (p=0,001; OR=9,96; IC95%: 4,75-20,9), duración prolongada de la cirugía (p=0,005) y la necesidad de transfusión intraoperatoria (p=0,001; OR=4,57; IC95%: 2,32-9,01). Además, se observó que las anastomosis íleo-rectales presentaron una tasa significativamente mayor de fuga (p=0,005; OR=49; IC95%: 0,04-0,46).

Se estimó una relación directa entre el tiempo quirúrgico y la probabilidad de fuga anastomótica (probabilidad=0,43; IC95%: 0,14-0,77) (Figura 1). La probabilidad de fuga fue de 43 % si el tiempo quirúrgico era alrededor de 100 minutos, de un 53 % si el tiempo era alrededor de 167 minutos y de un 63 % si estaba alrededor de 233 minutos.

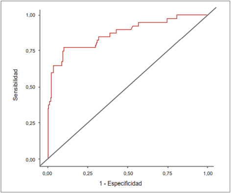
Además, el número de disparos utilizados durante la anastomosis también influyó significativamente en esta probabilidad: un disparo aumentó la probabilidad en un rango del 40 % al 53 %, mientras que dos disparos incrementaron la probabilidad hasta un 66 % (Figura 2). La probabilidad de fuga asociada con la transfusión intraoperatoria fue del 79 %. En cuanto a factores protectores, se encontró que el refuerzo de la anastomosis se relacionó con una reducción significativa en la incidencia de fugas anastomóticas (p=0,001; OR=0,14; IC95%: 0,04-0,46). En la Figura 3 se presenta la curva ROC (Receiver operating characteristic) del modelo.

El área bajo la curva (AUC) = 0,87: Indica que el modelo tiene una buena capacidad para discriminar entre pacientes con y sin fuga de la anastomosis. Un AUC de 0,87 significa que hay un 87 % de probabilidad de que la prueba clasifique correctamente a un paciente con fuga por encima de un paciente sin fuga.

Discusión
La incidencia de la fuga anastomótica en la cirugía colorrectal ha permanecido estable en los últimos años. Este suceso ha tenido múltiples consecuencias negativas, como el aumento en la mortalidad posoperatoria, mayor riesgo de requerir un estoma permanente y peores resultados oncológicos como resultado de complicaciones sépticas y hospitalizaciones prolongadas. Esto puede llevar a retrasos en la administración de quimioterapia adicional o incluso a la omisión de esta terapia, lo que aumenta los costos de atención médica 10.
Hammond J, et al. 11, en 2014 calcularon el costo adicional de hospitalización para pacientes que requieren una semana más de tratamiento médico y lo estimaron en (24,000 USD). En mil pacientes, esto equivale aproximadamente 72,9 millones de dólares, en comparación con los 44,3 millones de dólares que se gastarían en el mismo número de pacientes que no presenten esta complicación.
Nuestro estudio describe los pacientes llevados a cirugía colorrectal en dos hospitales de alto volumen en Bogotá, D.C., Colombia, lo que proporciona información valiosa sobre la práctica clínica actual y encontró que la cirugía laparoscópica se ha posicionado ampliamente y con óptimos resultados.
En términos de las comorbilidades que aumentan el riesgo de dehiscencia de la anastomosis, varios estudios han identificado la diabetes mellitus y la enfermedad cardiovascular como factores de riesgo independientes para fuga. Esto tiene relación con el impacto negativo sobre la microcirculación, requerida para la perfusión de la anastomosis 12-14. En nuestro estudio, las comorbilidades más frecuentes fueron hipertensión arterial, hipotiroidismo y diabetes mellitus.
En cuanto al sexo, no hubo diferencias estadísticamente significativas. La clasificación ASA igual o mayor de 3 se vio asociada con un riesgo 7 veces mayor de presentar fuga, en comparación con aquellos pacientes con clasificación de ASA menor a 3, que coincide con los resultados de las ultimas publicaciones 4,5.
La anemia perioperatoria se ha descrito como factor de riesgo para desenlaces negativos posoperatorios 4,15, siendo el hematocrito menor de 30 % un factor de riesgo independiente para fuga anastomótica 16. Los valores de hemoglobina menor de 9,4 g/dl 17 o la pérdida sanguínea mayor a 100 ml 18 durante el procedimiento también se asocian a fallo de la anastomosis. Sin embargo, la transfusión liberal de hemoderivados también aumenta el riesgo de fuga en 2,92 veces 19. Por eso, asumir un protocolo restrictivo en donde se estipula un límite de hemoglobina mínimo de 7 g/dl como indicación para transfusión y no antes, puede reducir la incidencia de infección del sitio operatorio, y a pesar de no tener un resultado estadísticamente significativo, puede reducir también las fugas anastomóticas 20,21. Estos dos factores tuvieron significancia estadística en este estudio, siendo un valor de hemoglobina menor de 9 g/dl el grupo de mayor riesgo. La necesidad de transfusión intraoperatoria se asoció con un riesgo 11 veces mayor en el grupo que recibió hemoderivados en el intraoperatorio en comparación con aquellos que no.
De manera similar a otros ensayos 3, en este estudio se encontró que un tiempo operatorio significativamente más largo se asocia a un riesgo mayor de complicaciones.
La incidencia de FA depende del sitio de la anastomosis. Las de más baja incidencia son las ileo-cólicas (1-4 %), seguidas por las colo-colónicas (2-3 %), ileo-rectales (3-7 %), íleo-anales (4-7 %) y, finalmente, las de mayor incidencia son las colo-anales (5-19 %) 22. Mientras más distal es la resección, más riesgo hay de fuga. En nuestro estudio se encontró que las anastomosis ileo-rectales poseen un factor de riesgo de 22 veces mayor en comparación con los pacientes que requirieron otro tipo de anastomosis (p=0,001; IC95% 4,31-122).
En la revisión de Zarnescu EC, et al. 4, el factor individual más importante fue la distancia de la resección con el margen anal: la tasa de fístulas fue de 0,14 % por encima de 15 cm del margen, de 5,4 % entre 10 y 15 cm y de 8,4 % por debajo de los 10 cm. Por su parte, Rullier E, et al. 23 identificaron un riesgo de 6,5 veces mayor de FA a menos de 5 cm del margen anal. Sin embargo, la alta heterogeneidad de los estudios dificulta una medición precisa de estos riesgos.
Sobre la configuración de la anastomosis no hay evidencia que respalde ninguno de los métodos de construcción utilizados para la anastomosis colorrectal (latero-lateral, termino-lateral, termino-terminal). La evidencia parece ser más directa con respecto al número de disparos, estimando una proporcionalidad directa con el número de disparos: un disparo aumenta la probabilidad de fuga entre un 40-53 % y dos disparos aumentan la probabilidad de fuga hasta un 66 %, como se observó en nuestro estudio.
Un dato de particular interés es la influencia del refuerzo de la anastomosis como factor protector contra la fuga anastomótica en la cirugía colorrectal. Si bien existen múltiples alternativas para el reforzamiento de las anastomosis, como el pericardio bovino 24, el uso de adhesivos de cianoacrilato 22 o la plastia con omento, en el meta-análisis de Wiggins T, et al. 25, no se identificó un beneficio con esta medida en cirugía colorrectal.
También se ha propuesto la aplicación de puntos anti-tensión en la anastomosis de cirugía de colon izquierdo, como medida para disminuir la realización de ostomías de protección 26, o el refuerzo circunferencial con inversión de la línea de sutura para las anastomosis ileocólicas, descrito
por Karam C, et al. 27, para disminuir la tasa de fuga. Sin embargo, la calidad de la evidencia es baja y se basada en estudio de casos y controles o retrospectivos, a diferencia de los reportes para cirugía bariátrica, en donde el refuerzo con puntos de Lembert tienen menor tasa de fugas comparado con el no refuerzo de la línea de sutura 28. Estas diferencias resaltan la necesidad de estudios prospectivos que puedan validar la efectividad de estas estrategias protectoras en la prevención de las FA en cirugía colorrectal.
Las limitaciones de este estudio se basan en su carácter retrospectivo. Durante la recolección de datos no fue posible identificar la descripción de la altura de la anastomosis, un factor influyente en la presencia de fugas. Aunque es importante destacar que se trata de un estudio en dos centros con limitaciones inherentes, que caracterizó los resultados clínicos a corto plazo, los hallazgos deben considerarse como generadores de hipótesis para futuras investigaciones.
Conclusión
Los factores de riesgo más relevantes asociados con la fuga anastomótica incluyen la anemia perioperatoria, especialmente cuando los niveles de hemoglobina son inferiores a 9 g/dl, y la transfusión de glóbulos rojos. Sin embargo, aún no se ha establecido el momento óptimo para corregir esta anemia de manera efectiva durante el proceso quirúrgico. Por otro lado, el refuerzo de la anastomosis se presenta como una medida potencialmente beneficiosa para mitigar la incidencia de esta complicación. La identificación precisa de estos factores de riesgo ofrece la oportunidad de transformar la fuga anastomótica en una complicación prevenible. Estrategias como el refuerzo meticuloso de la anastomosis con suturas adecuadas, la gestión eficaz del sangrado intraoperatorio y una preparación prequirúrgica integral que aborde y corrija la anemia preoperatoria pueden desempeñar un papel crucial en la reducción de las tasas de fuga anastomótica 29.
Referencias
. Chiarello MM, Fransvea P, Cariati M, Adams NJ, Bianchi V, Brisinda G. Anastomotic leakage in colorectal cancer surgery. Surg Oncol. 2022;40:101708. https://doi.org/10.1016/j.suronc.2022.101708
. La Regina D, Di Giuseppe M, Lucchelli M, Saporito A, Boni L, Efthymiou C, et al. Financial impact of anastomotic leakage in colorectal surgery. J Gastrointest Surg. 2019;23:580-6. https://doi.org/10.1007/s11605-018-3954-z
. Chaouch MA, Kellil T, Jeddi C, Saidani A, Chebbi F, Zouari K. How to prevent anastomotic leak in colorectal surgery? A systematic review. Ann Coloproctol. 2020;36:213-22. https://doi.org/10.3393/ac.2020.05.14.2
. Zarnescu Vasiliu EC, Zarnescu NO, Costea R, Neagu S. Review of risk factors for anastomotic leakage in colorectal surgery. Chirurgia (Bucur). 2015;110:319-26.
. Daams F, Luyer M, Lange JF. Colorectal anastomotic leakage: Aspects of prevention, detection and treatment. World J Gastroenterol. 2013;19:2293-7. https://doi:10.3748/wjg.v19.i15.2293
. Jannasch O, Klinge T, Otto R, Chiapponi C, Udelnow A, Lippert H, et al. Risk factors, short and long term outcome of anastomotic leaks in rectal cancer. Oncotarget. 2015;6:36884-93. https://doi.org/10.18632/oncotarget.5170
. Meyer J, Naiken S, Christou N, Liot E, Toso C, Buchs NC, et al. Reducing anastomotic leak in colorectal surgery: The old dogmas and the new challenges. World J Gastroenterol. 2019;25:5017-25. https://doi.org/10.3748/wjg.v25.i34.5017
. Ortiz-Gualdrón CA. Determinantes de fuga anastomótica en cirugía gastrointestinal. Tesis (Especialista en Cirugía General). Facultad de Medicina. Departamento Quirúrgico, Universidad de Cartagena; 2015. Repositorio digital. Disponible en: https://hdl.handle.net/11227/1730http://dx.doi.org/10.57799/11227/232
. Pacheco MA, Aldana GE, Martínez LE, Forero JC, Gomez CA, Coral EM, et al. Incidencia de falla anastomótica en intestino delgado, colon y recto, Bogotá, Colombia. Rev Colomb Cir. 2017:32:269-76. https://doi.org/10.30944/20117582.34
. Gao J, Gu X, Pang M, Zhang H, Lian Y, Zhou L, et al. Risk factors for anastomotic leak and postoperative morbidity after right hemicolectomy for colon cancer: Results from a prospective, multi-centre, snapshot study in China. Br J Surg. 2024;111:znad316. https://doi.org/10.1093/bjs/znad316
. Hammond J, Lim S, Wan Y, Gao X, Patkar A. The burden of gastrointestinal anastomotic leaks: An evaluation of clinical and economic outcomes. J Gastrointest Surg. 2014;18:1176-85. https://doi.org/10.1007/s11605-014-2506-4
. Parthasarathy M, Greensmith M, Bowers D, Groot-Wassink T. Risk factors for anastomotic leakage after colorectal resection: A retrospective analysis of 17518 patients. Colorectal Dis. 2017;19:288-98. https://doi.org/10.1111/codi.13476
. Kingham PT, Pachter LH. Colonic anastomotic leak: Risk factors, diagnosis, and treatment. J Am Coll Surg. 2009;208:269-78 https://doi.org/10.1016/j.jamcollsurg.2008.10.015
. Lipska MA, Bissett IP, Parry BR, Merrie AEH. Anastomotic leakage after lower gastrointestinal anastomosis: Men are at a higher risk. ANZ J Surg. 2006;76:579-85. https://doi.org/10.1111/j.1445-2197.2006.03780.x
. van Rooijen SJ, Huisman D, Stuijvenberg M, Stens J, Roumen RMH, Daams F, et al. Intraoperative modifiable risk factors of colorectal anastomotic leakage: Why surgeons and anesthesiologists should act together. Int J Surg. 2016;36:183-200. https://doi.org/10.1016/j.ijsu.2016.09.098
. Leichtle SW, Mouawad NJ, Welch KB, Lampman RM, Cleary RK. Risk factors for anastomotic leakage after colectomy. Dis Colon Rectum. 2012;55:569-75. https://doi.org/10.1097/DCR.0b013e3182423c0d
. Iancu C, Mocan LC, Todea-Iancu D, Mocan T, Acalovschi I, Ionescu D, et al. Host-related predictive factors for anastomotic leakage following large bowel resections for colorectal cancer. J Gastrointestin Liver Dis. 2008;17:299-303.
. McDermott FD, Heeney A, Kelly ME, Steele RJ, Carlson GL, Winter DC. Systematic review of preoperative, intraoperative and postoperative risk factors for colorectal anastomotic leaks. Br J Surgery. 2015;102:462-79. https://doi.org/10.1002/bjs.9697
. Qu H, Liu Y, Bi DS. Clinical risk factors for anastomotic leakage after laparoscopic anterior resection for rectal cancer: A systematic review and meta-analysis. Surg Endosc. 2015;29:3608-17. https://doi.org/10.1007/s00464-015-4117-x
. Ozben V, Stocchi L, Ashburn J, Liu X, Gorgun E. Impact of a restrictive versus liberal transfusion strategy on anastomotic leakage and infectious complications after restorative surgery for rectal cancer. Colorectal Dis. 2017;19:772-80. https://doi.org/10.1111/codi.13641
. Sciuto A, Merola G, De Palma GD, Sodo M, Pirozzi F, Bracale UM, et al. Predictive factors for anastomotic leakage after laparoscopic colorectal surgery. World J Gastroenterol. 2018;24:2247-60. https://doi.org/10.3748/wjg.v24.i21.2247
. Vallance A, Wexner S, Berho M, Cahill R, Coleman M, Haboubi N, et al. A collaborative review of the current concepts and challenges of anastomotic leaks in colorectal surgery. Colorectal Dis. 2017;19:O1-O12. https://doi.org/10.1111/codi.13534
. Rullier E, Laurent C, Garrelon JL, Michel P, Saric J, Parneix M. Risk factors for anastomotic leakage after resection of rectal cancer. Br J Surg. 1998;85:355-8. https://doi.org/10.1046/j.1365-2168.1998.00615.x
. Fang AH, Chao W, Ecker M. Review of colonic anastomotic leakage and prevention methods. J Clin Med. 2020;9:4061. https://doi.org/10.3390/jcm9124061
. Wiggins T, Markar SR, Arya S, Hanna GB. Anastomotic reinforcement with omentoplasty following gastrointestinal anastomosis: A systematic review and meta-analysis. Surg Oncol. 2015;24:181-6. http://doi.org/10.1016/j.suronc.2015.06.011
. Gadiot RPM, Dunker MS, Mearadji A, Mannaerts GHH. Reduction of anastomotic failure in laparoscopic colorectal surgery using antitraction sutures. Surg Endosc. 2011;25:68-71. https://doi.org/10.1007/s00464-010-1131-x
. Karam C, Lord S, Gett R, Meagher AP. Circumferentially oversewn inverted stapled anastomosis. ANZ J Surg. 2018;88:E232-E236. https://doi.org/10.1111/ans.13803
. Rogula T, Khorgami Z, Bazan M, Mamolea C, Acquafresca P, El-Shazly O, et al. Comparison of reinforcement techniques using suture on staple-line in sleeve gastrectomy. Obes Surg. 2015;25:2219-24. https://doi.org/10.1007/s11695-015-1864-7
Cumplimiento de normas éticas
Author notes
aCorrespondencia: Carolina Riscanevo, Calle 23 # 66-46, Departamento de Cirugía General, Fundación Universitaria Sanitas, Clínica Universitaria Colombia, Bogotá, D.C., Colombia. Teléfono: +57 3193186513. Dirección electrónica: caroriscanevo@unisanitas.edu.co caroriscanevo@gmail.com
Conflict of interest declaration